Does Multisystem Inflammatory Syndrome Only Mimic Acute Appendicitis in Children or Can It Coexist: When Should We Suspect MIS-C?
Abstract
1. Introduction
2. Materials and Methods
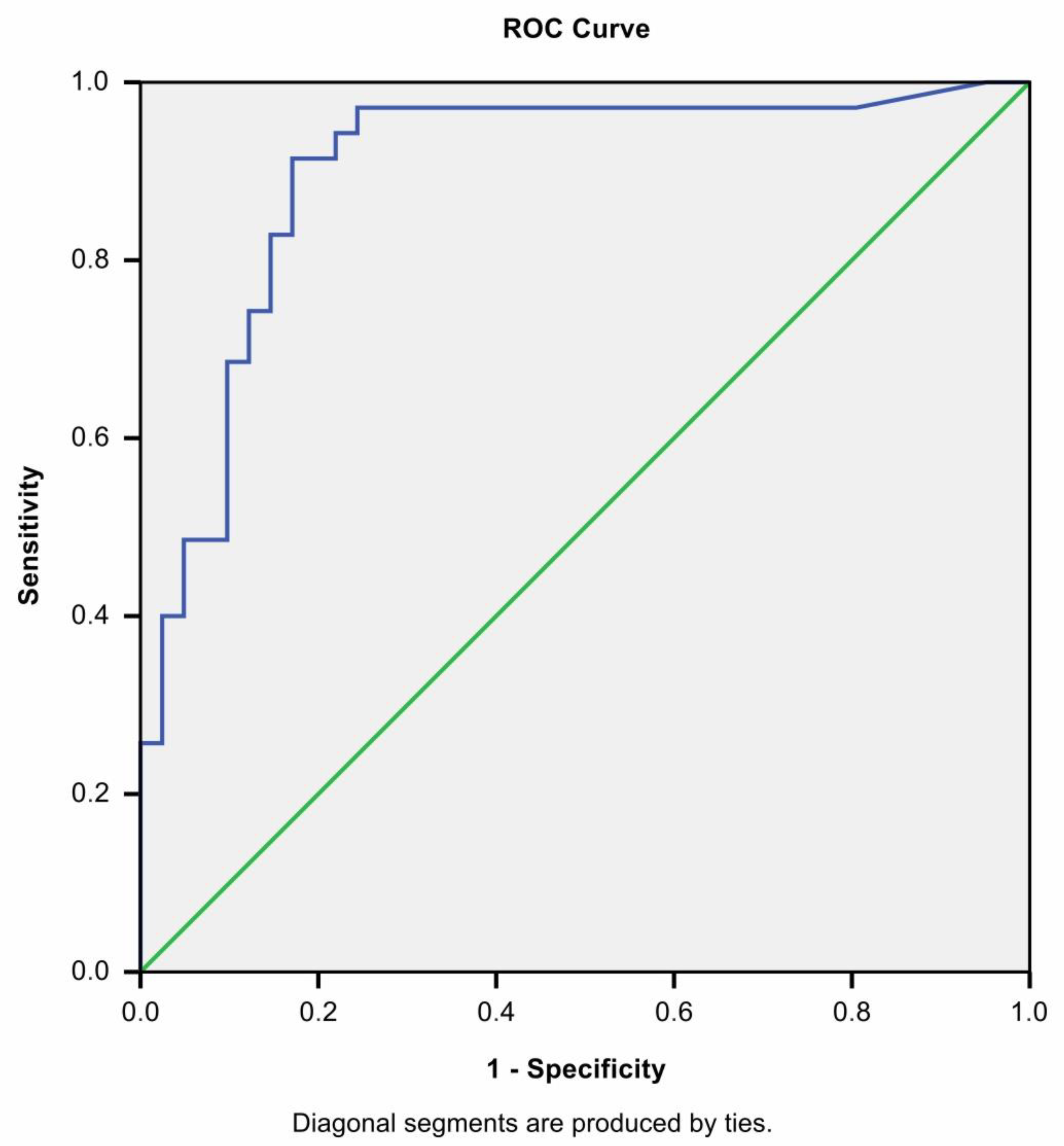
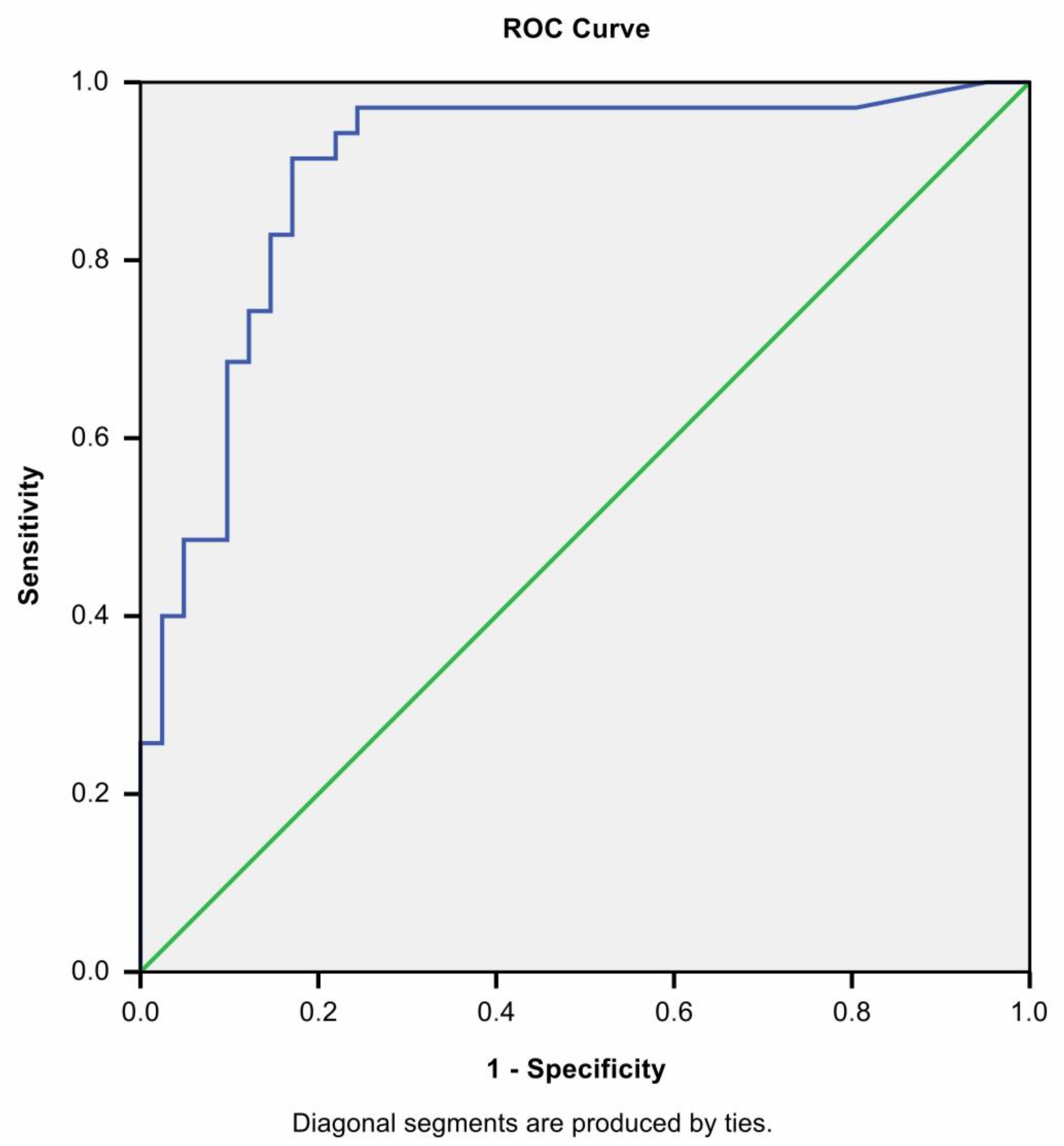
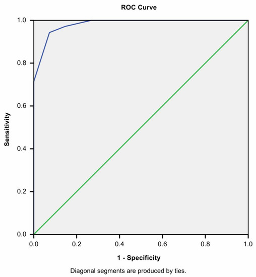
3. Results
4. Discussion
5. Conclusions
Author Contributions
Funding
Institutional Review Board Statement
Informed Consent Statement
Data Availability Statement
Conflicts of Interest
References
- Andina, D.; Belloni-Fortina, A.; Bodemer, C.; Bonifazi, E.; Chiriac, A.; Colmenero, I.; Diociaiuti, A.; El-Hachem, M.; Fertitta, L.; van Gysel, D.; et al. Skin manifestations of COVID-19 in children: Part 3. Clin. Exp. Dermatol. 2020, 46, 462–472. [Google Scholar] [CrossRef]
- Lazova, S.; Dimitrova, Y.; Hristova, D.; Tzotcheva, I.; Velikova, T. Cellular, Antibody and Cytokine Pathways in Children with Acute SARS-CoV-2 Infection and MIS-C—Can We Match the Puzzle? Antibodies 2022, 11, 25. [Google Scholar] [CrossRef]
- Al-Beltagi, M.; Saeed, N.K.; Bediwy, A.S.; El-Sawaf, Y. Paediatric gastrointestinal disorders in SARS-CoV-2 infection: Epidemiological and clinical implications. World J. Gastroenterol. 2021, 27, 1716–1727. [Google Scholar] [CrossRef]
- Nikolopoulou, G.B.; Maltezou, H.C. COVID-19 in Children: Where do we Stand? Arch. Med. Res. 2022, 53, 1–8. [Google Scholar] [CrossRef]
- Rabaan, A.A.; Al-ahmed, S.H.; Mutair, A.A.; Alhumaid, S. Immunopathogenesis and immunobiology of SARS-CoV-2. Le Infez. Med. 2021, 2, 167–180. [Google Scholar]
- Murillo-Zamora, E.; Aguilar-Sollano, F.; Delgado-Enciso, I.; Hernandez-Suarez, C.M. Predictors of laboratory-positive COVID-19 in children and teenagers. Public Health 2020, 189, 153–157. [Google Scholar] [CrossRef]
- Vakili, S.; Savardashtaki, A.; Jamalnia, S.; Tabrizi, R.; Nematollahi, M.H.; Jafarinia, M.; Akbari, H. Laboratory Findings of COVID-19 Infection are Conflicting in Different Age Groups and Pregnant Women: A Literature Review. Arch. Med. Res. 2020, 51, 603–607. [Google Scholar] [CrossRef]
- Yasuhara, J.; Watanabe, K.; Takagi, H.; Sumimoto, N.; Kuno, T. COVID-19 and multisystem inflammatory syndrome in children: A systematic review and meta-analysis. Pediatr. Pulmonol. 2020, 56, 837–848. [Google Scholar] [CrossRef]
- Ebina-Shibuya, R.; Namkoong, H.; Shibuya, Y.; Horita, N. Multisystem Inflammatory Syndrome in Children (MIS-C) with COVID-19: Insights from simultaneous familial Kawasaki Disease cases. Int. J. Infect. Dis. 2020, 97, 371–373. [Google Scholar] [CrossRef]
- Manz, N.; Höfele-Behrendt, C.; Bielicki, J.; Schmid, H.; Matter, M.S.; Bielicki, I.; Holland-Cunz, S.; Gros, S.J. MIS-C-Implications for the Pediatric Surgeon: An Algorithm for Differential Diagnostic Considerations. Children 2021, 8, 712. [Google Scholar] [CrossRef]
- Perico, L.; Benigni, A.; Casiraghi, F.; Ng, L.F.P.; Renia, L.; Remuzzi, G. Immunity, endothelial injury and complement-induced coagulopathy in COVID-19. Nat. Rev. Nephrol. 2020, 17, 46–64. [Google Scholar] [CrossRef]
- Henderson, L.A.; Yeung, R.S.M. MIS-C: Early lessons from immune profiling. Nat. Rev. Rheumatol. 2020, 17, 75–76. [Google Scholar] [CrossRef]
- Radia, T.; Williams, N.; Agrawal, P.; Harman, K.; Weale, J.; Cook, J.; Gupta, A. Multi-system inflammatory syndrome in children & adolescents (MIS-C): A systematic review of clinical features and presentation. Paediatr. Respir. Rev. 2021, 38, 51–57. [Google Scholar] [CrossRef]
- Kabeerdoss, J.; Pilania, R.K.; Karkhele, R.; Kumar, T.S.; Danda, D.; Singh, S. Severe COVID-19, multisystem inflammatory syndrome in children, and Kawasaki disease: Immunological mechanisms, clinical manifestations and management. Rheumatol. Int. 2021, 41, 19–32. [Google Scholar] [CrossRef]
- Patel, J.M. Multisystem Inflammatory Syndrome in Children (MIS-C). Curr. Allergy Asthma Rep. 2022, 22, 53–60. [Google Scholar] [CrossRef]
- WHO. Multisystem Inflammatory Syndrome in Children and Adolescents Temporally Related to COVID-19. 2020. Available online: https://www.who.int/news-room/commentaries/detail/multisystem-inflammatory-syndrome-in-children-and-adolescents-with-covid-19 (accessed on 15 May 2020).
- Grynspan, D.; Rabah, R. Adenoviral Appendicitis Presenting Clinically as Acute Appendicitis. Pediatr. Dev. Pathol. 2008, 11, 138–141. [Google Scholar] [CrossRef]
- Richardsen, I.; Schöb, D.S.; Ulmer, T.F.; Steinau, G.; Neumann, U.P.; Klink, C.D.; Lambertz, A. Etiology of Appendicitis in Children: The Role of Bacterial and Viral Pathogens. J. Investig. Surg. 2016, 29, 74–79. [Google Scholar] [CrossRef]
- Katzoli, P.; Sakellaris, G.; Ergazaki, M.; Charissis, G.; Spandidos, D.A.; Sourvinos, G. Detection of herpes viruses in children with acute appendicitis. J. Clin. Virol. 2009, 44, 282–286. [Google Scholar] [CrossRef][Green Version]
- Osuna-Ramos, J.F.; Silva-Gracia, C.; Maya-Vacio, G.J.; Romero-Utrilla, A.; Ríos-Burgueño, E.R.; Velarde-Félix, J.S. Coexistence of acute appendicitis and dengue fever: A case report. Cir. Y Cir. 2017, 85, 44–48. [Google Scholar] [CrossRef]
- Smedegaard, L.M.; Christiansen, C.B.; Melchior, L.C.; Poulsen, A. Appendicitis Caused by Primary Varicella Zoster Virus Infection in a Child with DiGeorge Syndrome. Case Rep. Pediatr. 2017, 2017, 6708046. [Google Scholar] [CrossRef]
- Alder, A.C.; Fomby, T.B.; Woodward, W.A.; Haley, R.W.; Sarosi, G.; Livingston, E.H. Association of viral infection and appendicitis. Arch. Surg. 2010, 145, 63–71. [Google Scholar] [CrossRef]
- Pancharoen, C.; Ruttanamongkol, P.; Suwangool, P.; Likitnukul, S.; Thisyakorn, U.S.A. Measles-Associated Appendicitis: Two Case Reports and Literature Review. Scand. J. Infect. Dis. 2001, 33, 632–633. [Google Scholar] [CrossRef]
- Hassan, S.; Greenstein, J.; Neuman, J.; Hahn, B.J. Viral Appendiceal Lymphoid Hyperplasia. J. Emerg. Med. 2017, 52, 571–572. [Google Scholar] [CrossRef]
- Pogorelić, Z.; Biocić, M.; Jurić, I.; Milunović, K.P.; Mrklić, I. Acute Appendicitis as a Complication of Varicella. Acta Medica (Hradec Králové) 2012, 55, 150–152. [Google Scholar] [CrossRef]
- Waseem, M.; Shariff, M.A.; Tay, E.T.; Mortel, D.; Savadkar, S.; Lee, H.; Kondamudi, N.; Liang, T. Multisystem Inflammatory Syndrome in Children. J. Emerg. Med. 2022, 61, 28–37. [Google Scholar] [CrossRef]
- Al Maskari, N.; Al Mukhaini, K.; Al Abrawi, S.; Al Reesi, M.; Al Abulsalam, J. SARS-Cov-2-related Multisystem Inflammatory Syndrome in Children. Sultan Qaboos Univ. Med. J. 2021, 21, 302–307. [Google Scholar] [CrossRef]
- Gupta, N.; Talathi, S. Factors Differentiating Multisystem Inflammatory Syndrome in Children (MIS-C) From Severe/Critical COVID-19 Infection in Children. Indian Pediatr. 2022, 59, 120–124. [Google Scholar] [CrossRef]
- Ahmed, M.; Advani, S.; Moreira, A.; Zoretic, S.; Martinez, J.; Chorath, K.; Acosta, S.; Naqvi, R.; Burmeister-Morton, F.; Burmeister, F.; et al. Multisystem inflammatory syndrome in children: A systematic review. EClinicalMedicine 2020, 26, 100527. [Google Scholar] [CrossRef]
- Meyer, J.S.; Robinson, G.; Moonah, S.; Levin, D.; McGahren, E.; Herring, K.; Poulter, M.; Waggoner-Fountain, L.; Shirley, D.-A. Acute appendicitis in four children with SARS-CoV-2 infection. J. Pediatr. Surg. Case Rep. 2021, 64, 101734. [Google Scholar] [CrossRef]
- Uğur, C.; Mete, U.C.; Ömeroğlu, E. A Case of Multisystem Inflammatory Syndrome Due to SARS-CoV-2 Presenting With Acute Appendicitis Symptoms. Cureus 2022, 14, e22206. [Google Scholar] [CrossRef]
- Alotaibi, M.A.; Alhumaidan, W.; Alotaibi, A.; Alotaibi, A.M. Pediatric appendicitis in times of COVID-19: Think MIS-C. J. Pediatr. Surg. Case Rep. 2022, 77, 102151. [Google Scholar] [CrossRef]
- Gerall, C.D.; Duron, Ã.Y.V.P.; Griggs, Ã.C.L.; Kabagambe, Ã.S.K.; Maddocks, A.B.; DeFazio, J.R. Multisystem Inflammatory Syndrome in Children Mimicking What Surgeons Need to Know about MIS-C Surgical Pathologies. Ann. Surg. 2021, 273, e146–e148. [Google Scholar] [CrossRef]
- Ahsanuddin, S.; Elfituri, M.; Diaz, E.; Volkin, Y. A Case of Multisystem Inflammatory Syndrome in a Pediatric Patient With Acute Appendicitis. Cureus 2021, 13, e17084. [Google Scholar] [CrossRef]
- Hwang, M.; Wilson, K.; Wendt, L.; Pohlman, J.; Densmore, E.; Kaeppler, C.; Van Arendonk, K.; Yale, S. The Great Gut Mimicker: A case report of MIS-C and appendicitis clinical presentation overlap in a teenage patient. BMC Pediatr. 2021, 21, 258. [Google Scholar] [CrossRef]
- Valitutti, F.; Verde, A.; Pepe, A.; Sorrentino, E.; Veneruso, D.; Ranucci, G.; Orlando, F.; Mastrominico, A.; Grella, M.G.; Mandato, C. Multisystem inflammatory syndrome in children. An emerging clinical challenge for pediatric surgeons in the COVID 19 era. J. Pediatr. Surg. Case Rep. 2021, 69, 101838. [Google Scholar] [CrossRef]
- Yock-Corrales, A.; Lenzi, J.; Ulloa-Gutiérrez, R.; Gómez-Vargas, J.; Antúnez-Montes, O.Y.; Alberto, J.; del Aguila, O.; Arteaga-Menchaca, E.; Campos, F.; Uribe, F.; et al. Acute Abdomen and Appendicitis in 1010 Pediatric Patients With COVID-19 or MIS-C: A Multinational Experience from Latin America. Pediatr. Infect. Dis. J. 2021, 40, e364–e369. [Google Scholar] [CrossRef]
- Serra, A.M.; Ventura, A.M.C.; Xavier, L.F.; Simoes, A.B.; Duarte-Neto, A.N. SARS-CoV-2 identification in an acute appendicitis case: Acute abdomen as manifestation of Multisystem Inflammatory Syndrome in a child with COVID-19. Braz. J. Infect. Dis. 2021, 25, 101651. [Google Scholar] [CrossRef]
- Rowley, A.H. Understanding SARS-CoV-2-related multisystem inflammatory syndrome in children. Nat. Rev. Immunol. 2020, 20, 453–454. [Google Scholar] [CrossRef]
- Sacco, K.; Castagnoli, R.; Vakkilainen, S.; Liu, C.; Delmonte, O.M.; Oguz, C.; Kaplan, I.M.; Alehashemi, S.; Burbelo, P.D.; Bhuyan, F.; et al. Immunopathological signatures in multisystem inflammatory syndrome in children and pediatric COVID-19. Nat. Med. 2022, 28, 1050–1062. [Google Scholar] [CrossRef]
- Esposito, S.; Principi, N. Multisystem Inflammatory Syndrome in Children Related to SARS-CoV-2. Pediatr. Drugs 2021, 23, 119–129. [Google Scholar] [CrossRef]
- Roarty, C.; Waterfield, T. Review and future directions for PIMS-TS (MIS-C). Arch. Dis. Child. 2022. [Google Scholar] [CrossRef]
- Falqueto, L.E.; Vissoci, C.M.; Ferreira, I.C.B.; Antunes, A.G.; Amado, F.A.B.; Avilla, S.A.G.; Schulz, C.; Motta, F.A.; Silva, E.D.M.E. COVID-19 associated multisystem inflammatory syndrome in children mimicking acute appendicitis—How to differentiate and conduct pediatric patients during the pandemic?—Proposal of a management flowchart. Rev. Col. Bras. Cir. 2022, 48, e20213012. [Google Scholar] [CrossRef]
- Gurlevik, S.L.; Ozsurekci, Y.; Sağ, E.; Oygar, P.D.; Kesici, S.; Akca, Ü.K.; Cuceoglu, M.K.; Basaran, O.; Göncü, S.; Karakaya, J.; et al. The difference of the inflammatory milieu in MIS-C and severe COVID-19. Pediatr. Res. 1–10. [CrossRef]
- Cai, X.; Ma, Y.; Li, S.; Chen, Y.; Rong, Z.; Li, W. Clinical Chracteristics of 5 COVID-19 Cases With Non-respiratory Symptoms as the First Manifestation in Children. Front. Pediatr. 2020, 8, 258. [Google Scholar] [CrossRef]
- Lee, P.Y.; Day-Lewis, M.; Henderson, L.A.; Friedman, K.G.; Lo, J.; Roberts, J.E.; Lo, M.S.; Platt, C.D.; Chou, J.; Hoyt, K.J.; et al. Distinct clinical and immunological features of SARS–CoV-2–induced multisystem inflammatory syndrome in children. J. Clin. Investig. 2020, 130, 5942–5950. [Google Scholar] [CrossRef]
- Rubér, M.; Berg, A.; Ekerfelt, C.; Olaison, G.; Andersson, R.E. Different cytokine profiles in patients with a history of gangrenous or phlegmonous appendicitis. Clin. Exp. Immunol. 2006, 143, 117–124. [Google Scholar] [CrossRef]
- Anielski, R.; Kusnierz-Cabala, B.; Szafraniec, K. An evaluation of the utility of additional tests in the preoperative diagnostics of acute appendicitis. Langenbeck’s Arch. Surg. 2010, 395, 1061–1068. [Google Scholar] [CrossRef]
- Naqvi, S.A.; Thompson, G.C.; Joffe, A.R.; Blackwood, J.; Martin, D.-A.; Brindle, M.; Barkema, H.; Jenne, C.N. Cytokines and Chemokines in Pediatric Appendicitis: A Multiplex Analysis of Inflammatory Protein Mediators. Mediat. Inflamm. 2019, 2019, 2359681. [Google Scholar] [CrossRef]
- Choi, N.H.; Fremed, M.; Starc, T.; Weller, R.; Cheung, E.; Ferris, A.; Silver, E.S.; Liberman, L. MIS-C and Cardiac Conduction Abnormalities. Pediatrics 2020, 146, e2020009738. [Google Scholar] [CrossRef]
- Sperotto, F.; Friedman, K.G.; Son, M.B.F.; VanderPluym, C.J.; Newburger, J.W.; Dionne, A. Cardiac manifestations in SARS-CoV-2-associated multisystem inflammatory syndrome in children: A comprehensive review and proposed clinical approach. Eur. J. Pediatr. 2021, 180, 307–322. [Google Scholar] [CrossRef]
- Agbuduwe, C.; Basu, S. Haematological manifestations of COVID-19: From cytopenia to coagulopathy. Eur. J. Haematol. 2020, 105, 540–546. [Google Scholar] [CrossRef]
- Baccarella, A.; Linder, A.; Spencer, R.; Jonokuchi, A.J.; King, P.B.; Maldonado-Soto, A.; Boneparth, A.; Hooe, B.S.; Schweickert, A.J.; Carlin, R.F.; et al. Increased Intracranial Pressure in the Setting of Multisystem Inflammatory Syndrome in Children, Associated with COVID-19. Pediatr. Neurol. 2021, 115, 48–49. [Google Scholar] [CrossRef]
- Sudeep, K.C.; Muthuvel, R.; Hussain, N.; Awasthi, P.; Angurana, S.K.; Bansal, A. Epididymo-Orchitis: A Rare Manifestation of MIS-C. Indian J. Pediatr. 2022, 89, 209. [Google Scholar] [CrossRef]
- Hofto, M.E.; Schmit, E.O.; Sharma, M.; Samuy, N. Acute Appendicitis Associated With Multisystem Inflammatory Syndrome in Children Case Presentation. Cureus 2021, 13, 10–15. [Google Scholar] [CrossRef]
- Kabir, S.A.; Kabir, S.I.; Sun, R.; Jafferbhoy, S.; Karim, A. How to diagnose an acutely inflamed appendix; a systematic review of the latest evidence. Int. J. Surg. 2017, 40, 155–162. [Google Scholar] [CrossRef]
- Truter, M.; Karusseit, V.O.L.; Montwedi, D.; Becker, P.; Mokoena, T. Leucocyte count and C-reactive protein cannot be relied upon in the diagnosis of acute appendicitis in HIV-infected patients. BJS Open 2021, 5, zraa016. [Google Scholar] [CrossRef]
- García-Salido, A.; Vicente, J.C.D.; Hofheinz, S.B.; Ramírez, J.B.; Barrio, M.S.; Gordillo, I.L.; Yuste, A.H.; Pardellans, C.G.; Tejedor, M.C.; Labarga, B.H.; et al. Severe manifestations of SARS-CoV-2 in children and adolescents: From COVID-19 pneumonia to multisystem inflammatory syndrome: A multicentre study in pediatric intensive care units in Spain. Crit. Care 2020, 24, 666. [Google Scholar] [CrossRef]
- Malbul, K.; Katwal, S.; Maharjan, S.; Shrestha, S.; Dhital, R.; Rajbhandari, A.P. Appendicitis as a presentation of COVID-19: A case report. Ann. Med. Surg. 2021, 69, 102719. [Google Scholar] [CrossRef]


| AA Group A | AA + MIS-C Group B | MIS-C Group C | AA + COVID-19 Group D | Significance (Group ABCD, Except Otherwise Stated) | |
|---|---|---|---|---|---|
| Number of cases | 36 | 6 | 29 | 5 | |
| Gender M/F | 50/50% | 66.7/33% | 65.5/34.5% | 40/60% | p = 0.496 |
| Age, years | 11.5 (4;17) | 10.5 (7;16) | 8 (1;15) | 13 (2;15) | p = 0.02 |
| Symptom duration, days | 1.4 (1;3) | 4.5 (1;9) | 4 (2;13) | 4 (2;8) | p < 0.0001 |
| Symptoms: | |||||
| RLQ pain | 86.1% | 100% | 31% | 100% | p < 0.0001 |
| Nausea | 75% | 83.3% | 58.6% | 80% | p = 0.4 |
| Vomiting | 66.7% | 66.7% | 62.1% | 60% | p = 0.977 |
| Diarrhea | 13.9% | 50% | 37.9% | 40% | p = 0.078 |
| Pain migration | 44.4% | 0% | 0% | 20% | p < 0.0001 |
| Muscle Rigidity | 77.8% | 50% | 13.8% | 100% | p < 0.0001 |
| Rebound tenderness | 55% | 16.7% | 6.9% | 60% | p < 0.0001 |
| Febrile fever | 13.9% | 66.7% | 96.6% | 40% | p < 0.0001 |
| Other organ system involvement: | 0% | 100% | 100% | 20% | p < 0.0001 |
| * Mucocutaneous | 0/36 | 2/6 (33.3%) | 24/29 (82.8%) | 0/5 | p = 0.012 (Group B-C) |
| * Cardiovascular | 0/36 | 4/6 (66.7%) | 22/29 (75.9%) | 0/5 | p = 0.635 (Group B-C) |
| * Respiratory | 0/36 | 2/6 (33.3%) | 14/29 (48.3%) | 0/5 | p = 0.504 (Group B-C) |
| * Neurologic | 0/36 | 2/6 (33.3%) | 10/29 (34.5%) | 0/5 | p = 0.957 (Group B-C) |
| * Urinary | 0/36 | 0/6 | 1/29 (3%) | 0/5 | p = 0.644 (Group B-C) |
| * Coagulation | 0/36 | 6/6 (100%) | 29/29 (100%) | 1/5 (20%) | p = 1 (Group B-C) |
| Abdominal Ultrasound: | |||||
| Appendix visible | 88.9% | 83.3% | 28.6% | 100% | p < 0.0001 |
| Appendiceal diameter, cm | 0.9 (0.6;1.5) | 1.3 (0.9;1.5) | 0.6 (0.4;1.3) | 1 (0.8;1.3) | p = 0.003 |
| L/n hyperplasia | 5.6% | 33.3% | 35.7% | 0% | p = 0.011 |
| Free fluid | 44.4% | 0% | 64.3% | 60% | p = 0.03 |
| Laboratory tests: | |||||
| CRP, mg/L | 19.3 (3;139.6) | 112.5 (5;253) | 143.8 (45;320) | 141 (36.2;196) | p < 0.0001 |
| WBC, ×109/L | 14.1 (5.4;30.8) | 13.8 (8;21.1) | 8.4 (3.2;23.7) | 10.6 (10.2;11.2) | p = 0.004 |
| Neutrophil % | 82.9 (48.4;95.6) | 75.1 (72.7;88.8) | 84 (63;89.5) | 73.3 (57.3;77.7) | p = 0.312 |
| Platelet count, ×1012/L | 270 (163;453) | 320 (234;340) | 168 (51;576) | 253 (112;538) | p < 0.0001 |
| Hemoglobin, g/L | 136 (111;168) | 127 (109;138) | 120 (100;158) | 120 (105;143) | p = 0.001 |
| Histopathologic inflammation stage uncomplicated/ Complicated AA | 50/50% | 33/66.7% | - | 20/80% | p = 0.145 |
| PAS | 6.5 (2;10) | 7.5 (2;9) | 4 (1;9) | 7 (6;9) | p < 0.0001 |
| Prior COVID-19 PCR Antigen positive test | 0% | 16.7% | 27.6% | 0% | p = 0.368 |
| Covid PCR Antigen positive test (admission day or later) | 0% | 0% | 0% | 100% | p < 0.0001 |
| COVID-19 IgG positive test | n/a | 100% (when performed) | 100% (when performed) | n/a | p = 1 |
| Need for Intensive care | n/a | 66.7% | 41.4% | 60% | p = 0.442 |
| Symptom/Test Result | YES | NO |
|---|---|---|
| CRP > 55.8 mg/L | 1 | 0 |
| Fever ≥ 38 °C | 1 | 0 |
| Other organ system involvement | 1 | 0 |
| Gastrointestinal symptom duration > 2 days | 1 | 0 |
Publisher’s Note: MDPI stays neutral with regard to jurisdictional claims in published maps and institutional affiliations. |
© 2022 by the authors. Licensee MDPI, Basel, Switzerland. This article is an open access article distributed under the terms and conditions of the Creative Commons Attribution (CC BY) license (https://creativecommons.org/licenses/by/4.0/).
Share and Cite
Vansevičienė, I.; Krunkaitytė, U.; Dekerytė, I.; Beržanskis, M.; Lukošiūtė-Urbonienė, A.; Malcius, D.; Barauskas, V. Does Multisystem Inflammatory Syndrome Only Mimic Acute Appendicitis in Children or Can It Coexist: When Should We Suspect MIS-C? Medicina 2022, 58, 1101. https://doi.org/10.3390/medicina58081101
Vansevičienė I, Krunkaitytė U, Dekerytė I, Beržanskis M, Lukošiūtė-Urbonienė A, Malcius D, Barauskas V. Does Multisystem Inflammatory Syndrome Only Mimic Acute Appendicitis in Children or Can It Coexist: When Should We Suspect MIS-C? Medicina. 2022; 58(8):1101. https://doi.org/10.3390/medicina58081101
Chicago/Turabian StyleVansevičienė, Idilė, Ugnė Krunkaitytė, Inga Dekerytė, Mindaugas Beržanskis, Aušra Lukošiūtė-Urbonienė, Dalius Malcius, and Vidmantas Barauskas. 2022. "Does Multisystem Inflammatory Syndrome Only Mimic Acute Appendicitis in Children or Can It Coexist: When Should We Suspect MIS-C?" Medicina 58, no. 8: 1101. https://doi.org/10.3390/medicina58081101
APA StyleVansevičienė, I., Krunkaitytė, U., Dekerytė, I., Beržanskis, M., Lukošiūtė-Urbonienė, A., Malcius, D., & Barauskas, V. (2022). Does Multisystem Inflammatory Syndrome Only Mimic Acute Appendicitis in Children or Can It Coexist: When Should We Suspect MIS-C? Medicina, 58(8), 1101. https://doi.org/10.3390/medicina58081101

