The Role of Placental Growth Factor in the Prediction of Carbohydrate and Thyroid Disorders during Pregnancy
Abstract
:1. Introduction
2. Materials and Methods
2.1. Study Setting and Patients
2.2. Measurements
2.3. Data Analysis
3. Results
4. Discussion
Limitations
5. Conclusions
Author Contributions
Funding
Institutional Review Board Statement
Informed Consent Statement
Data Availability Statement
Conflicts of Interest
References
- Toulis, K.A.; Stagnaro-Green, A.; Negro, R. Maternal subclinical hypothyroidsm and gestational diabetes mellitus: A meta-analysis. Endocr. Pract. 2014, 20, 703–714. [Google Scholar] [CrossRef] [PubMed]
- Kumru, P.; Erdogdu, E.; Arisoy, R.; Demirci, O.; Ozkoral, A.; Ardic, C.; Ertekin, A.A.; Erdogan, S.; Ozdemir, N.N. Effect of thyroid dysfunction and autoimmunity on pregnancy outcomes in low risk population. Arch. Gynecol. Obstet. 2015, 291, 1047–1054. [Google Scholar] [CrossRef] [PubMed]
- Napso, T.; Yong, H.E.; Lopez-Tello, J.; Sferruzzi-Perri, A.N. The role of placental hormones in mediating maternal adaptations to support pregnancy and lactation. Front Physiol. 2018, 9, 1091. [Google Scholar] [CrossRef]
- Angueira, A.R.; Ludvik, A.E.; Reddy, T.E.; Wicksteed, B.; Lowe, W.L., Jr.; Layden, B.T. New insights into gestational glucose metabolism: Lessons learned from 21st century approaches. Diabetes 2015, 64, 327–334. [Google Scholar] [CrossRef] [PubMed] [Green Version]
- Glinoer, D. The regulation of thyroid function in pregnancy: Pathways of endocrine adaptation from physiology to pathology. Endocr. Rev. 1997, 18, 404–433. [Google Scholar] [CrossRef]
- Ross, D.S.; Burch, H.B.; Cooper, D.S.; Greenlee, M.C.; Laurberg, P.; Maia, A.L.; Rivkees, S.A.; Samuels, M.; Sosa, J.A.; Stan, M.N.; et al. 2016 American Thyroid Association Guidelines for Diagnosis and Management of Hyperthyroidism and Other Causes of Thyrotoxicosis. Thyroid 2016, 26, 1343–1421. [Google Scholar] [CrossRef]
- Bulgarian Society of Endocrinology. Recommendations for Good Clinical Practice for Thyroid Disease; Bulgarian Society of Endocrinology: Sofia, Bulgaria, 2019. [Google Scholar]
- de Groot, L.; Abalovich, M.; Alexander, E.K.; Amino, N.; Barbour, L.; Cobin, R.H.; Eastman, C.J.; Lazarus, J.H.; Luton, D.; Mandel, S.J.; et al. Management of thyroid dysfunction during pregnancy and postpartum: An Endocrine Society clinical practice guideline. J. Clin. Endocrinol. Metab. 2012, 97, 2543–2565. [Google Scholar] [CrossRef] [Green Version]
- Lazarus, J.; Brown, R.S.; Daumerie, C.; Hubalewska-Dydejczyk, A.; Negro, R.; Vaidya, B. 2014 European thyroid association guidelines for the management of subclinical hypothyroidism in pregnancy and in children. Eur. Thyroid J. 2014, 3, 76–94. [Google Scholar] [CrossRef] [Green Version]
- International Diabetes Federation. IDF Diabetes Atlas, 9th ed.; International Diabetes Federation: Brussels, Belgium, 2019. [Google Scholar]
- Hod, M.; Kapur, A.; Sacks, D.A.; Hadar, E.; Agarwal, M.; di Renzo, G.C.; Roura, L.C.; McIntyre, H.D.; Morris, J.L.; Divakar, H. The International Federation of Gynecology and Obstetrics (FIGO) Initiative on gestational diabetes mellitus: A pragmatic guide for diagnosis, management, and care. Int. J. Gynaecol. Obstet. 2015, 131 (Suppl. S3), S173–S211. [Google Scholar] [CrossRef] [Green Version]
- Davey, R.X.; Hamblin, P.S. Selective versus universal screening for gestational diabetes mellitus: An evaluation of predictive risk factors. Med. J. Aust. 2001, 174, 118–121. [Google Scholar] [CrossRef]
- Sonagra, A.D.; Biradar, S.M.; Dattatreya, K.; Ds, J.M. Normal pregnancy—A state of insulin resistance. J. Clin. Diagn. Res. 2014, 8, CC01–CC03. [Google Scholar] [CrossRef] [PubMed]
- Barbour, L.A.; McCurdy, C.E.; Hernandez, T.L.; Kirwan, J.P.; Catalano, P.M.; Friedman, J.E. Cellular mechanisms for insulin resistance in normal pregnancy and gestational diabetes. Diabetes Care 2007, 30 (Suppl. S2), S112–S119. [Google Scholar] [CrossRef] [Green Version]
- Huda, S.S.; Brodie, L.E.; Sattar, N. Obesity in pregnancy: Prevalence and metabolic consequences. Semin Fetal Neonatal Med. 2010, 15, 70–76. [Google Scholar] [CrossRef]
- Hershman, J.M. Physiological and pathological aspects of the effect of human chorionic gonadotropin on the thyroid. Best Pract. Res. Clin. Endocrinol. Metab. 2004, 18, 249–265. [Google Scholar] [CrossRef] [PubMed]
- Korevaar, T.I.M.; Steegers, E.A.P.; de Rijke, Y.B.; Visser, W.E.; Jaddoe, V.W.V.; Visser, T.J.; Medici, M.; Peeters, R.P. Placental Angiogenic Factors Are Associated with Maternal Thyroid Function and Modify hCG-Mediated FT4 Stimulation. J. Clin. Endocrinol. Metab. 2015, 100, E1328–E1334. [Google Scholar] [CrossRef] [Green Version]
- Korevaar, T.I.M.; Medici, M.; Visser, T.J.; Peeters, R.P. Thyroid disease in pregnancy: New insights in diagnosis and clinical management. Nat. Rev. Endocrinol. 2017, 13, 610–622. [Google Scholar] [CrossRef] [PubMed]
- Yanachkova, V.; Kamenov, Z. The relationship between thyroid dysfunction during pregnancy and gestational diabetes mellitus. Endokrynol. Pol. 2021, 72, 226–231. [Google Scholar] [CrossRef]
- International Association of Diabetes and Pregnancy Study Groups Consensus Panel. International association of diabetes and pregnancy study groups recommendations on the diagnosis and classification of hyperglycemia in pregnancy. Diabetes Care 2010, 33, 676–682. [Google Scholar] [CrossRef] [Green Version]
- Syngelaki, A.; Kotecha, R.; Pastides, A.; Wright, A.; Nicolaides, K.H. First-trimester biochemical markers of placentation in screening for gestational diabetes mellitus. Metabolism 2015, 64, 1485–1489. [Google Scholar] [CrossRef]
- Nanda, S.; Savvidou, M.; Syngelaki, A.; Akolekar, R.; Nicolaides, K.H. Prediction of gestational diabetes mellitus by maternal factors and biomarkers at 11 to 13 weeks. Prenat. Diagn. 2011, 31, 135–141. [Google Scholar] [CrossRef]
- Ahmed, A.; Dunk, C.; Ahmad, S.; Khaliq, A. Regulation of placental vascular endothelial growth factor (VEGF) and placenta growth factor (PIGF) and soluble Flt-1 by oxygen—A review. Placenta 2000, 21 (Suppl. SA), S16–S24. [Google Scholar] [CrossRef] [PubMed]
- Chau, K.; Hennessy, A.; Makris, A. Placental growth factor and pre-eclampsia. J. Hum. Hypertens. 2017, 31, 782–786. [Google Scholar] [CrossRef] [Green Version]
- Akolekar, R.; Zaragoza, E.; Poon, L.C.Y.; Pepes, S.; Nicolaides, K.H. Maternal serum placental growth factor at 11 + 0 to 13 + 6 weeks of gestation in the prediction of pre-eclampsia. Ultrasound. Obstet. Gynecol. 2008, 32, 732–739. [Google Scholar] [CrossRef] [PubMed]
- Poon, L.C.Y.; Zaragoza, E.; Akolekar, R.; Anagnostopoulos, E.; Nicolaides, K.H. Maternal serum placental growth factor (PlGF) in small for gestational age pregnancy at 11(+0) to 13(+6) weeks of gestation. Prenat Diagn. 2008, 28, 1110–1115. [Google Scholar] [CrossRef]
- Duhig, K.; Myers, J.; Seed, P.T.; Sparkes, J.; Lowe, J.; Hunter, R.; Shennan, A.H.; Chappell, L.C.; Bahl, R.; Bambridge, G.; et al. Placental growth factor testing to assess women with suspected pre-eclampsia: A multicentre, pragmatic, stepped-wedge cluster-randomised controlled trial. Lancet 2019, 393, 1807–1818. [Google Scholar] [CrossRef] [Green Version]
- Eleftheriades, M.; Papastefanou, I.; Lambrinoudaki, I.; Kappou, D.; Lavranos, D.; Akalestos, A.; Souka, A.P.; Pervanidou, P.; Hassiakos, D.; Chrousos, G.P. Elevated placental growth factor concentrations at 11-14 weeks of gestation to predict gestational diabetes mellitus. Metabolism 2014, 63, 1419–1425. [Google Scholar] [CrossRef]
- Surbek, D.; Raio, L.; Stettler, C.; Risch, L.; Baumann, M.U.; Wiedemann, U.; Amylidi, S.K.; Mosimann, B. First-Trimester Placental Growth Factor in Screening for Gestational Diabetes. Fetal. Diagn. Ther. 2016, 39, 287–291. [Google Scholar]
- Ong, C.Y.T.; Lao, T.T.; Spencer, K.; Nicolaides, K.H. Maternal serum level of placental growth factor in diabetic pregnancies. J. Reprod. Med. 2004, 49, 477–480. [Google Scholar]
- Gorkem, U.; Togrul, C.; Arslan, E. Relationship between elevated serum level of placental growth factor and status of gestational diabetes mellitus. J. Matern. Fetal. Neonatal. Med. 2020, 33, 4159–4163. [Google Scholar] [CrossRef]
- Biondi, B.; Kahaly, G.J.; Robertson, R.P. Thyroid Dysfunction and Diabetes Mellitus: Two Closely Associated Disorders. Endocr. Rev. 2019, 40, 789–824. [Google Scholar] [CrossRef] [Green Version]
- Haddow, J.E.; Craig, W.Y.; Neveux, L.M.; Palomaki, G.E.; Lambert-Messerlian, G.; Malone, F.D.; D’Alton, M.E. First and Second Trimester Risk of Aneuploidy (FaSTER) Research Consortium. Free Thyroxine During Early Pregnancy and Risk for Gestational Diabetes. PLoS ONE 2016, 11, e0149065. [Google Scholar] [CrossRef] [PubMed] [Green Version]


| Maternal Characteristics | GDM Group (n = 412) | Control Group (n = 250) | p-Value |
|---|---|---|---|
| Maternal age (years) | 33.3 (4.9) | 32.8 (4.3) | 0.251 |
| BMI (kg/cm2) | 26.1 (5.3) | 22.9 (5.8) | 0.422 |
| FPG (mmol/L) | 5.5 (0.8) | 4.8 (0.7) | 0.001 |
| TSH (mIU/L) | 2.5 (1.4) | 2.46 (0.8) | 0.001 |
| FT4 (pmol/L) | 13.3(2.6) | 14.2(3.1) | 0.001 |
| FT3 (pmol/L) | 4.1 (0.8) | 3.9 (0.7) | 0.019 |
| PlGF MoM | 0.9 (0.7–1.2) | 0.7 (0.6–0.8) | 0.001 |
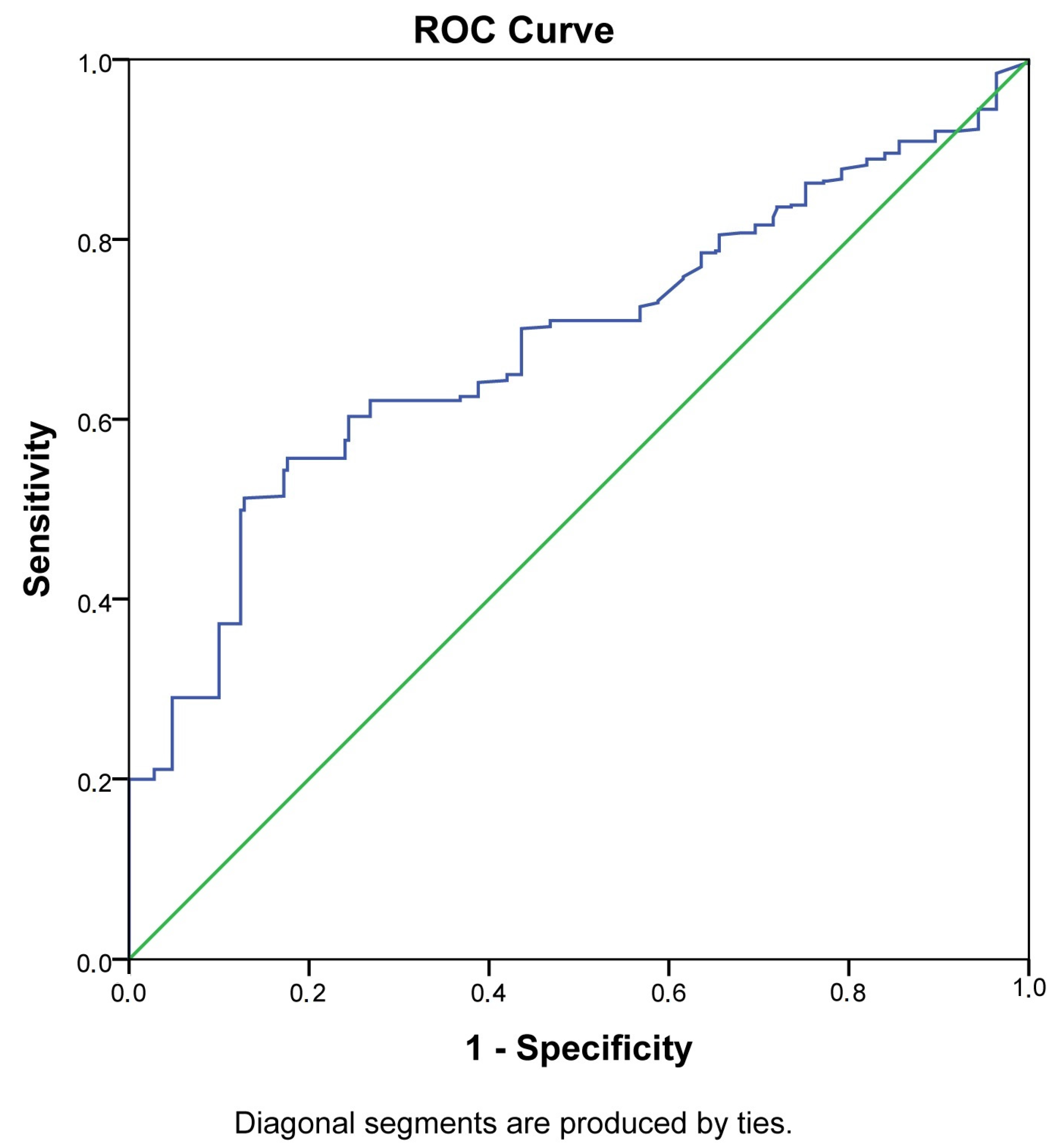
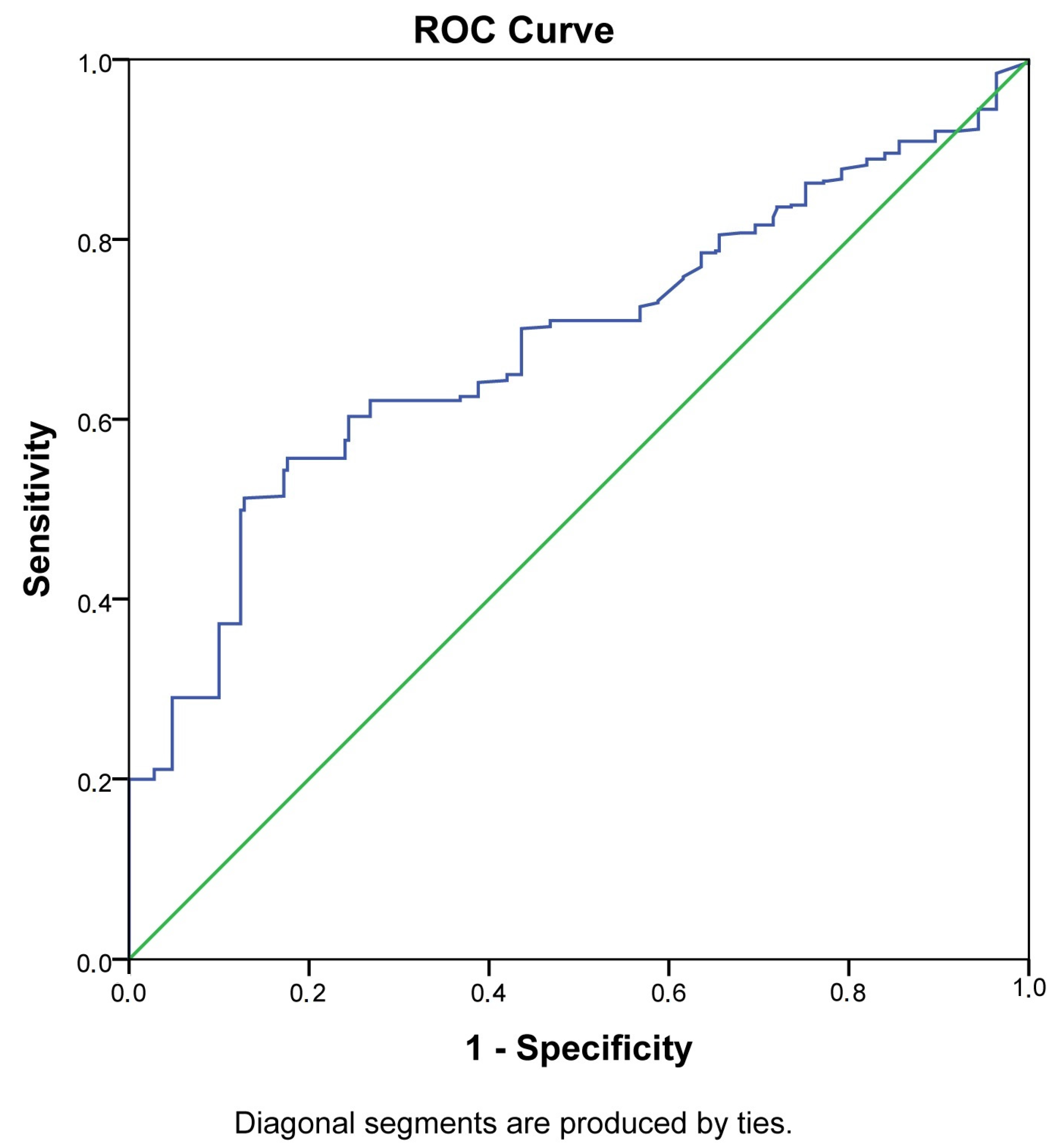
| Variable | Sensitivity (%) | Specificity (%) | Cutoff | AUC (95% CI) | p-Value |
|---|---|---|---|---|---|
| PlGF | 51.2 | 87.2 | 0.89 | 0.68 (0.64–0.72) | <0.001 |
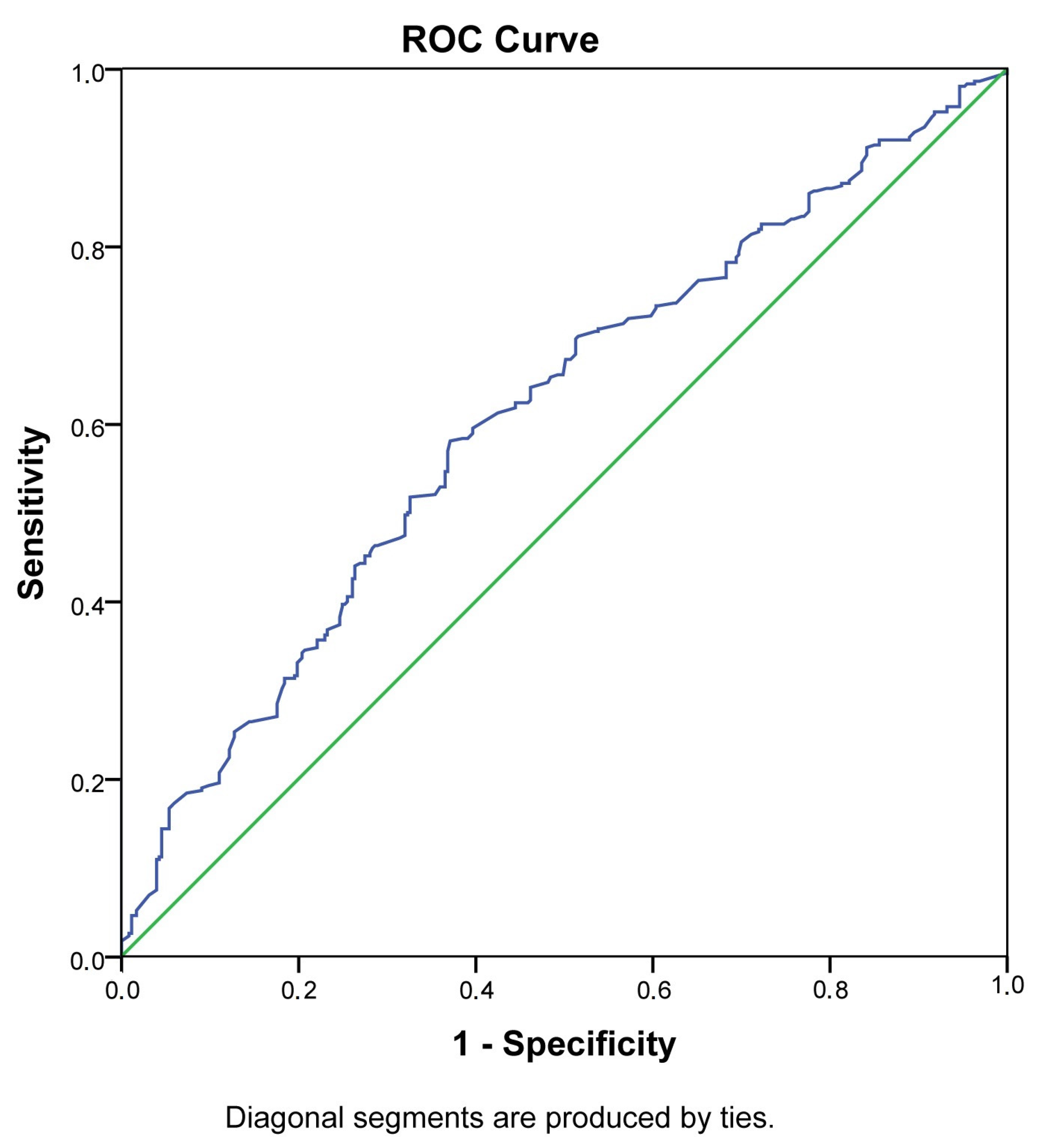
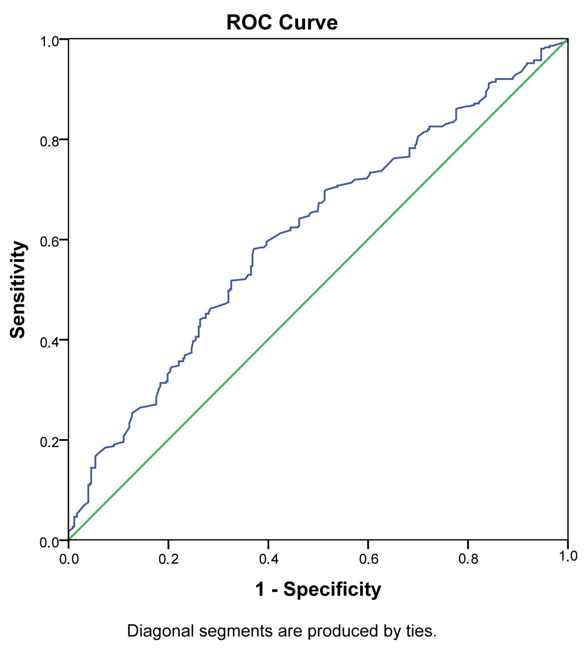
| Variable | Sensitivity (%) | Specificity (%) | Cutoff | AUC (95% CI) | p-Value |
|---|---|---|---|---|---|
| PlGF | 58.2 | 62.9 | 0.81 | 0.61 (0.57–0.65) | <0.001 |
Publisher’s Note: MDPI stays neutral with regard to jurisdictional claims in published maps and institutional affiliations. |
© 2022 by the authors. Licensee MDPI, Basel, Switzerland. This article is an open access article distributed under the terms and conditions of the Creative Commons Attribution (CC BY) license (https://creativecommons.org/licenses/by/4.0/).
Share and Cite
Yanachkova, V.; Staynova, R.; Naseva, E.; Kamenov, Z. The Role of Placental Growth Factor in the Prediction of Carbohydrate and Thyroid Disorders during Pregnancy. Medicina 2022, 58, 232. https://doi.org/10.3390/medicina58020232
Yanachkova V, Staynova R, Naseva E, Kamenov Z. The Role of Placental Growth Factor in the Prediction of Carbohydrate and Thyroid Disorders during Pregnancy. Medicina. 2022; 58(2):232. https://doi.org/10.3390/medicina58020232
Chicago/Turabian StyleYanachkova, Vesselina, Radiana Staynova, Emilia Naseva, and Zdravko Kamenov. 2022. "The Role of Placental Growth Factor in the Prediction of Carbohydrate and Thyroid Disorders during Pregnancy" Medicina 58, no. 2: 232. https://doi.org/10.3390/medicina58020232
APA StyleYanachkova, V., Staynova, R., Naseva, E., & Kamenov, Z. (2022). The Role of Placental Growth Factor in the Prediction of Carbohydrate and Thyroid Disorders during Pregnancy. Medicina, 58(2), 232. https://doi.org/10.3390/medicina58020232

