The Epidemiological and Clinical Findings from the Latvian Registry of Primary Congenital Glaucoma and Evaluation of Prognostic Factors
Abstract
1. Introduction
2. Materials and Methods
Statistical Data Analysis
3. Results
3.1. Age at Diagnosis and Diagnostic Delay
3.2. Signs and Symptoms
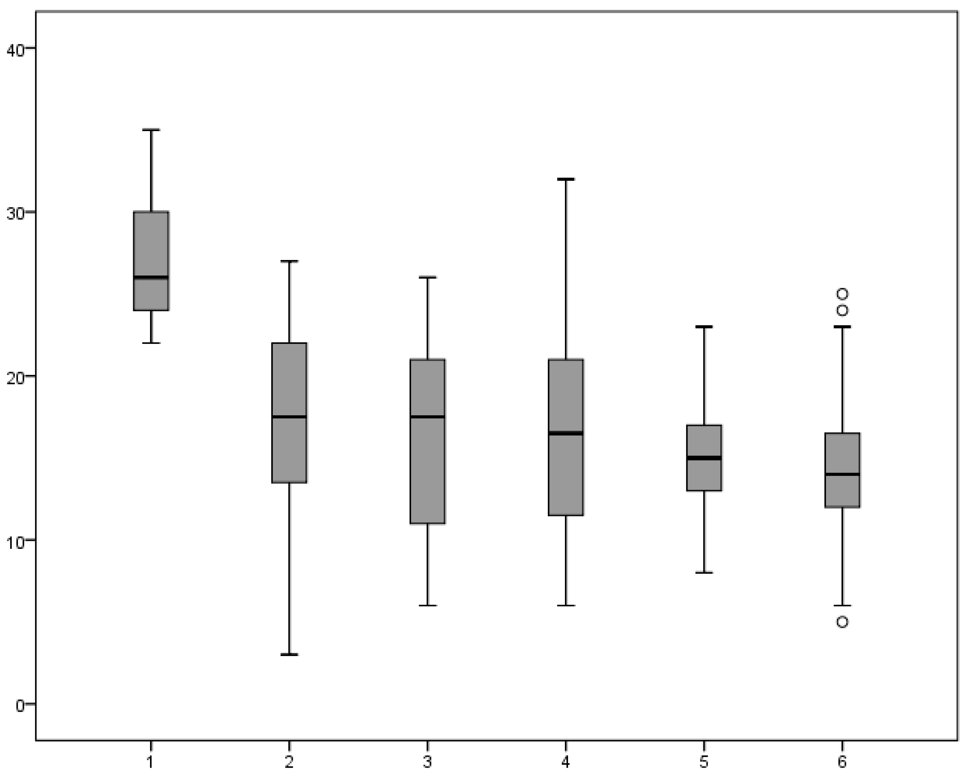
3.3. The Surgical Outcome
3.4. Visual Acuity and Refractive Error
3.5. Prognostic Factors Related to the Outcome
4. Discussion
5. Strengths and Limitations
6. Conclusions
Author Contributions
Funding
Institutional Review Board Statement
Informed Consent Statement
Data Availability Statement
Conflicts of Interest
References
- Papadopoulos, M.; Cable, N.; Rahi, J.; Khaw, P.T. The British Infantile and Childhood Glaucoma (BIG) Eye Study. Investig. Opthalmol. Vis. Sci. 2007, 48, 4100–4106. [Google Scholar] [CrossRef] [PubMed]
- Aponte, E.P.; Diehl, N.; Mohney, B.G. Incidence and clinical characteristics of childhood glaucoma: A population-based study. Arch. Ophthalmol. 2010, 128, 478–482. [Google Scholar] [CrossRef] [PubMed]
- Anderson, D.R. The development of the trabecular meshwork and its abnormality in primary infantile glaucoma. Trans. Am. Ophthalmol. Soc. 1981, 79, 458–485. [Google Scholar] [PubMed]
- Fung, D.S.; Roensch, M.A.; Kooner, K.S.; Cavanagh, H.D.; Whitson, J.T. Epidemiology and characteristics of childhood glaucoma: Results from the Dallas Glaucoma Registry. Clin. Ophthalmol. 2013, 7, 1739–1746. [Google Scholar] [CrossRef] [PubMed]
- Chan, J.Y.Y.; Choy, B.N.; Ng, A.L.; Shum, J.W. Review on the Management of Primary Congenital Glaucoma. J. Curr. Glaucoma Pract. 2015, 9, 92–99. [Google Scholar] [CrossRef] [PubMed]
- Badawi, A.H.; Al-Muhaylib, A.A.; Al Owaifeer, A.M.; Al-Essa, R.S.; Al-Shahwan, S.A. Primary congenital glaucoma: An updated review. Saudi J. Ophthalmol. 2019, 33, 382–388. [Google Scholar] [CrossRef]
- Pedersen, K.B.; Kappelgaard, P.; Kessel, L.; Sandfeld, L.; Zibrandtsen, N.; Bach-Holm, D. Primary congenital glaucoma in Denmark, 1977–2016. Acta Ophthalmol. 2020, 98, 182–189. [Google Scholar] [CrossRef]
- Aziz, A.; Fakhoury, O.; Matonti, F.; Pieri, E.; Denis, D. Epidemiology and clinical characteristics of primary congenital glaucoma. J. Fr. Ophtalmol. 2015, 38, 960–966. [Google Scholar] [CrossRef]
- Beck, A.; Chang, T.C.; Freedman, S. Section 1: Definition, classification, differential diagnosis. In World Glaucoma Association Consensus Series-9: Childhood Glaucoma; Weinreb, R.N., Grajewski, A., Papadopoulos, M.G.J., Freedman, S.E., Eds.; Kugler Publications: Amsterdam, The Netherlands, 2013; pp. 3–10. [Google Scholar]
- Blanco, A.A.; Bagnasco, L.; Bagnis, A.; Barton, K.; Baudouin, C.; Bengtsson, B. European Glaucoma Society Terminology and Guidelines for Glaucoma, —Chapter 2: Classification and terminology supported by the EGS Foundation: Part 1: Foreword; introduction; glossary; Chapter 2 classification and terminology. Br. J. Ophthalmol. 2017, 101, 73–127. [Google Scholar]
- Gilbert, C.; Rahi, J.; Quinn, G. Visual impairment and blindness in children. In Epidemiology of Eye Disease, 3rd ed.; Johnson, G.J., Minassian, D.C., Weale, R.A., West, S.K.E., Eds.; Imperial College Press: London, UK, 2012; pp. 267–368. [Google Scholar]
- Zetterberg, M.; Nyström, A.; Kalaboukhova, L.; Magnusson, G. Outcome of surgical treatment of primary and secondary glaucoma in young children. Acta Ophthalmol. 2014, 93, 269–275. [Google Scholar] [CrossRef]
- Lee, S.J.; Kim, S.; Rim, T.H.; Pak, H.; Kim, D.W.; Park, J.W. Incidence, Comorbidity, and Mortality of Primary Congenital Glaucoma in Korea from 2001 to 2015: A Nationwide Population-based Study. Korean J. Ophthalmol. 2020, 34, 316–321. [Google Scholar] [CrossRef] [PubMed]
- Alanazi, F.F.; Song, J.C.; Mousa, A.; Morales, J.; Al Shahwan, S.; Alodhayb, S.; Al Jadaan, I.; Al-Turkmani, S.; Edward, D.P. Primary and Secondary Congenital Glaucoma: Baseline Features From a Registry at King Khaled Eye Specialist Hospital, Riyadh, Saudi Arabia. Am. J. Ophthalmol. 2013, 155, 882–889. [Google Scholar] [CrossRef] [PubMed]
- Taylor, R.H.; Ainsworth, J.R.; Evans, A.R.; Levin, A.V. The epidemiology of pediatric glaucoma: The Toronto experience. J. AAPOS Off. Publ. Am. Assoc. Pediatr. Ophthalmol. Strabismus 1999, 3, 308–315. [Google Scholar] [CrossRef]
- Bermejo, E.; Martínez-Frías, M.L. Congenital eye malformations: Clinical-epidemiological analysis of 1,124,654 consecutive births in Spain. Am. J. Med. Genet. 1998, 75, 497–504. [Google Scholar] [CrossRef]
- Genĉík, A. Epidemiology and genetics of primary congenital glaucoma in Slovakia. Description of a form of primary congenital glaucoma in gypsies with autosomal-recessive inheritance and complete penetrance. Dev. Ophthalmol. 1989, 16, 76–115. [Google Scholar]
- McGinnity, F.G.; Page, A.B.; Bryars, J.H. Primary congenital glaucoma: Twenty years experience. Ir. J. Med. Sci. 1987, 156, 364–365. [Google Scholar] [CrossRef]
- Senthil, S.; Badakere, S.; Ganesh, J.; Krishnamurthy, R.; Dikshit, S.; Choudhari, N.; Garudadri, C.; Mandal, A.K. Profile of childhood glaucoma at a tertiary center in South India. Indian J. Ophthalmol. 2019, 67, 358–365. [Google Scholar] [CrossRef]
- François, J. Congenital Glaucoma and Its Inheritance. Ophthalmologica 1980, 181, 61–73. [Google Scholar] [CrossRef]
- Tamçelik, N.; Çapar, O.; Özkök, A.; Atalay, E.; Bolukbasi, S. Demographic features of subjects with congenital glaucoma. Indian J. Ophthalmol. 2014, 62, 565–569. [Google Scholar] [CrossRef]
- Bach, A.; Villegas, V.M.; Gold, A.S.; Shi, W.; Murray, T.G. Axial length development in children. Int. J. Ophthalmol. 2019, 12, 815–819. [Google Scholar] [CrossRef]
- Hussain, R.N.; Shahid, F.; Woodruff, G. Axial Length in Apparently Normal Pediatric Eyes. Eur. J. Ophthalmol. 2014, 24, 120–123. [Google Scholar] [CrossRef] [PubMed]
- Lawrence, S.D.; Netland, P.A. Trabeculectomy versus Combined Trabeculotomy-Trabeculectomy in Pediatric Glaucoma. J. Pediatr. Ophthalmol. Strabismus 2012, 49, 359–365. [Google Scholar] [CrossRef] [PubMed]
- Dureau, P.; Dollfus, H.; Cassegrain, C.; Dufier, J.L. Long-term results of trabeculectomy for congenital glaucoma. J. Pediatr. Ophthalmol. Strabismus 1998, 35, 198–202. [Google Scholar] [PubMed]
- Chaudhary, R.S.; Gupta, A.; Sharma, A.; Gupta, S.; Sofi, R.A.; Sundar, D.; Sihota, R.; Somarajan, B.I.; Singh, A.; Sangwan, R.; et al. Long-term functional outcomes of different subtypes of primary congenital glaucoma. Br. J. Ophthalmol. 2019, 104, 1288–1292. [Google Scholar] [CrossRef] [PubMed]
- Zagora, S.L.; Funnell, C.L.; Martin, F.J.; Smith, J.E.; Hing, S.; Billson, F.A.; Veillard, A.-S.; Jamieson, R.V.; Grigg, J.R. Primary Congenital Glaucoma Outcomes: Lessons From 23 Years of Follow-up. Am. J. Ophthalmol. 2015, 159, 788–796. [Google Scholar] [CrossRef] [PubMed]
- Scheie, H.G. The Management of Infantile Glaucoma. Arch. Ophthalmol. 1959, 62, 35–54. [Google Scholar] [CrossRef] [PubMed]
- Levy, J.; Carmi, R.; Rosen, S.; Lifshitz, T. Primary congenital glaucoma presenting within the first three months of life in a Bedouin population: Prognostic factors. J. Glaucoma 2005, 14, 139–144. [Google Scholar] [CrossRef]


| Gender | Number | Bilateral Disease | Unilateral Disease | Number of Live Births | Incidence per 100,000 | Relative Risk |
|---|---|---|---|---|---|---|
| Female | 8 | 5 | 3 | 166,636 | 4.8 | * |
| Male | 10 | 1 | 9 | 175,962 | 5.7 | 1.3 |
| Total | 18 | 6 | 12 | 342,598 | 5.3 |
| <1 Month | ≥1 Month to 3 Months | ≥3 Months to 6 Months | ≥6 Months to 12 Months | ≥12 Months | |
|---|---|---|---|---|---|
| The age at defining diagnosis | 16.7% (3) | 0% | 16.7% (3) | 61.1% (11) | 5.6% (1) |
| Unilateral | 25.0% (3) | 0% | 8.3% (1) | 66.7% (8) | 0% |
| Bilateral | 0% | 0% | 33.3% (2) | 50.0% (3) | 16.7% (1) |
| The diagnostic delay | 27.8% (5) | 27.8% (5) | 16.7% (3) | 27.8% (5) | 0% |
| Unilateral | 25.0% (3) | 25.0% (3) | 16.7% (2) | 33.3% (4) | 0% |
| Bilateral | 33.3% (2) | 33.3% (2) | 16.7% (1) | 16.7% (1) | 0% |
| The First Signs and Symptoms | Eyes % (Number) |
|---|---|
| Enlargement of an eyeball | 75% (18) |
| Tearing | 58.3% (14) |
| Opacity of cornea | 41.7% (10) |
| Photophobia | 29.2% (7) |
| Signs of lacrimal system inflammation | 20.8% (5) |
| Objective findings | Value |
| Corneal diameter | Median 12.5 mm (IQR 1) |
| Axial length | 22.4 ± 2.3 mm (range 19 to 28) |
| Intraocular pressure before surgery | 27.4 ± 4.1 mmHg (range 22 to 35) |
| Time | IOP mmHg | p Value * |
|---|---|---|
| Before surgery | 27.4 ± 4.1 | - |
| After surgery | 16.9 ± 5.9 | p < 0.001 |
| After 3 months | 16.3 ± 5.8 | p = 0.63 |
| After 6 months | 16.2 ± 6.2 | p = 0.86 |
| After 12 months | 15.0 ± 3.4 | p = 0.26 |
| At the last follow-up | 14.6 ± 4.9 | p = 0.67 |
| Authors | Population | Incidence per 100,000 Live Born Children |
|---|---|---|
| Pedersen KB et al., 2020 [7] | Denmark | 4.80 |
| Lee SJ et al., 2020 [13] | South Korea | 11.0 |
| Zetterberg M et al., 2015 [12] | Sweden | 4.30 |
| Alanazi FF et al., 2013 [14] | Saudi Arabia | 40.0 |
| Aponte EP et al., 2010 [2] | The United Sates (Minnesota) | 1.46 |
| Papadopoulos M et al., 2007 [1] | United Kingdom | 5.41 |
| Papadopoulos M et al., 2007 [1] | The Republic of Ireland | 3.31 |
| Taylor RH et al., 1999 [15] | Canada | 8.0 |
| Bermejo E et al., 1998 [16] | Spain | 2.85 |
| Gencik A, 1989 [17] | Slovakia (Gypsy population) | 80.0 |
| Gencik A, 1989 [17] | Slovakia (non-Gypsy population) | 4.50 |
Publisher’s Note: MDPI stays neutral with regard to jurisdictional claims in published maps and institutional affiliations. |
© 2021 by the authors. Licensee MDPI, Basel, Switzerland. This article is an open access article distributed under the terms and conditions of the Creative Commons Attribution (CC BY) license (http://creativecommons.org/licenses/by/4.0/).
Share and Cite
Elksne, E.; Baumane, K.; Ozolins, A.; Valeina, S. The Epidemiological and Clinical Findings from the Latvian Registry of Primary Congenital Glaucoma and Evaluation of Prognostic Factors. Medicina 2021, 57, 44. https://doi.org/10.3390/medicina57010044
Elksne E, Baumane K, Ozolins A, Valeina S. The Epidemiological and Clinical Findings from the Latvian Registry of Primary Congenital Glaucoma and Evaluation of Prognostic Factors. Medicina. 2021; 57(1):44. https://doi.org/10.3390/medicina57010044
Chicago/Turabian StyleElksne, Eva, Kristine Baumane, Arturs Ozolins, and Sandra Valeina. 2021. "The Epidemiological and Clinical Findings from the Latvian Registry of Primary Congenital Glaucoma and Evaluation of Prognostic Factors" Medicina 57, no. 1: 44. https://doi.org/10.3390/medicina57010044
APA StyleElksne, E., Baumane, K., Ozolins, A., & Valeina, S. (2021). The Epidemiological and Clinical Findings from the Latvian Registry of Primary Congenital Glaucoma and Evaluation of Prognostic Factors. Medicina, 57(1), 44. https://doi.org/10.3390/medicina57010044

