Testing the Accuracy of the ARIMA Models in Forecasting the Spreading of COVID-19 and the Associated Mortality Rate
Abstract
1. Introduction
2. Material and Methods
2.1. Data
2.2. The ARIMA Model
2.3. Mortality Rate
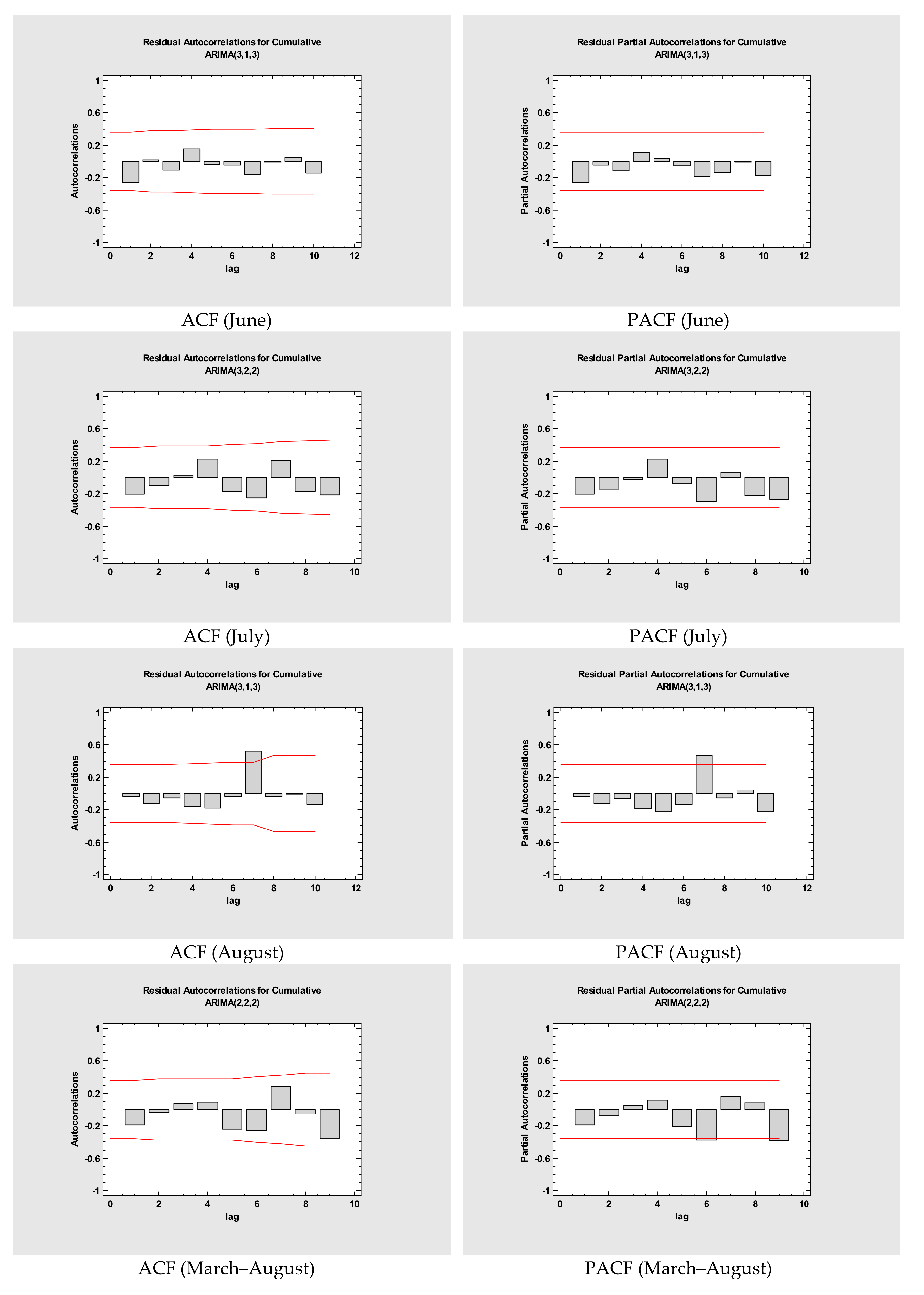
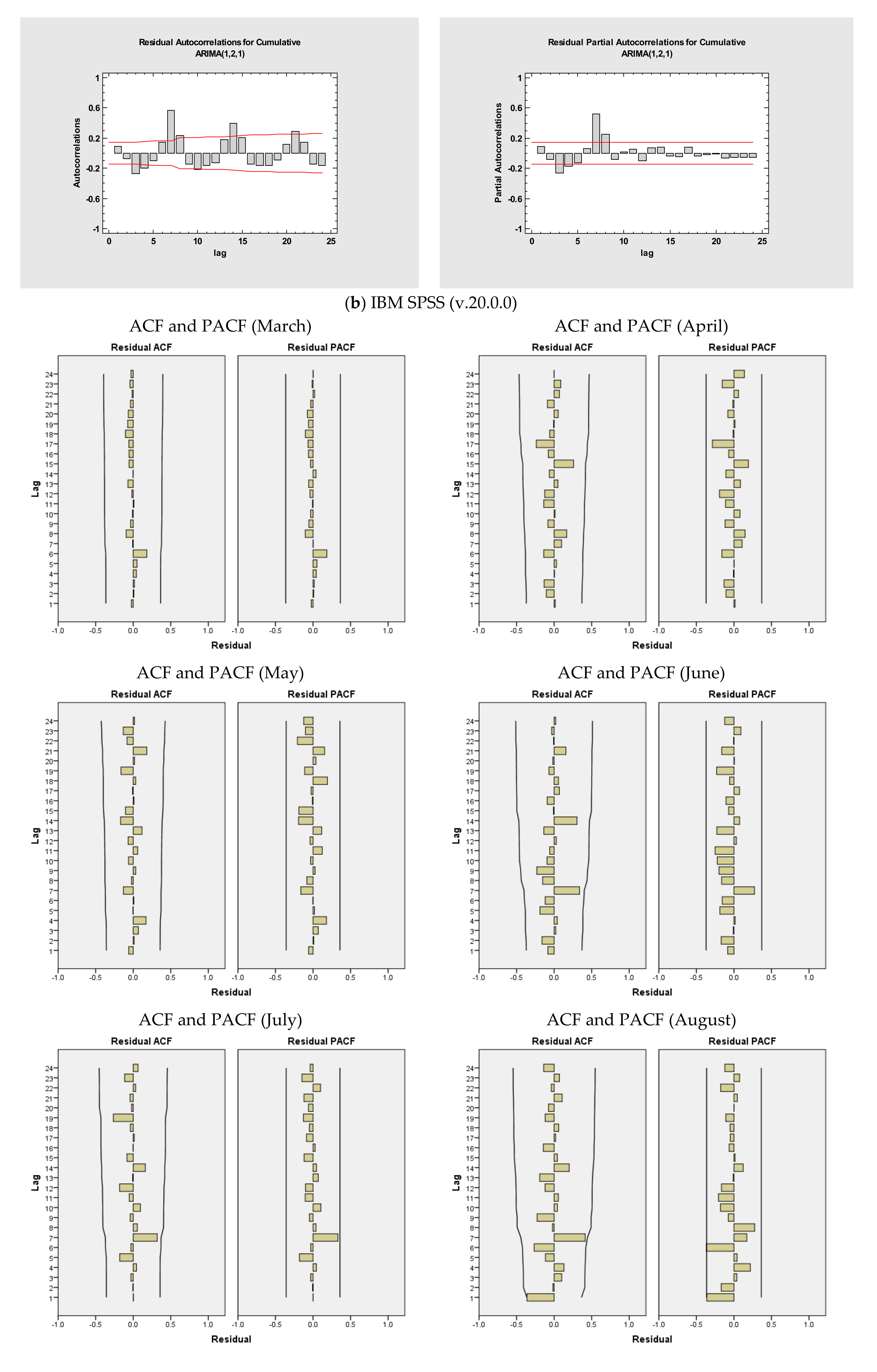
3. Results
4. Discussion
5. Conclusions
Author Contributions
Funding
Conflicts of Interest
References
- Harapan, H.; Itoh, N.; Yufika, A.; Winardi, W.; Keam, S.; Te, H.; Megawati, D.; Hayati, Z.; Wagner, A.L.; Mudatsir, M. Coronavirus disease 2019 (COVID-19): A literature review. J. Infect. Public Health 2020, 13, 667–673. [Google Scholar] [CrossRef]
- Yuki, K.; Fujiogi, M.; Koutsogiannaki, S. COVID-19 pathophysiology: A review. Clin. Immunol. 2020, 215, 108427. [Google Scholar] [CrossRef] [PubMed]
- Singhal, T. A review of coronavirus disease-2019 (COVID-19). Indian J. Pediatr. 2020, 87, 281–286. [Google Scholar] [CrossRef] [PubMed]
- Zhou, J.; Li, C.; Liu, X.; Chiu, M.C.; Zhao, X.; Wang, D.; Wei, Y.; Lee, A.; Zhang, A.J.; Chu, H.; et al. Infection of bat and human intestinal organoids by SARS-CoV-2. Nat. Med. 2020, 26, 1077–1083. [Google Scholar] [CrossRef] [PubMed]
- Taubenberger, J.K.; Morens, D.M. 1918 Influenza: The mother of all pandemics. Emerg. Infect. Dis. 2006, 12, 15–22. [Google Scholar] [CrossRef] [PubMed]
- Wang, L.; Li, J.; Guo, S.; Xie, N.; Yao, L.; Cao, Y.; Day, S.W.; Howard, S.C.; Graff, J.C.; Gu, T.; et al. Real-time estimation and prediction of mortality caused by COVID-19 with patient information based algorithm. Sci. Total Environ. 2020, 727, 138394. [Google Scholar] [CrossRef]
- Ceylan, Z. Estimation of COVID-19 prevalence in Italy, Spain, and France. Sci. Total Environ. 2020, 729, 138817. [Google Scholar] [CrossRef] [PubMed]
- Earnest, A.; Chen, M.I.; Ng, D.; Sin, L.Y. Using autoregressive integrated moving average (ARIMA) models to predict and monitor the number of beds occupied during a SARS outbreak in a tertiary hospital in Singapore. BMC Health Serv. Res. 2005, 5, 36. [Google Scholar] [CrossRef] [PubMed]
- Gaudart, J.; Touré, O.; Dessay, N.; Dicko, A.L.; Ranque, S.; Forest, L.; Demongeot, J.; Doumbo, O.K. Modelling malaria incidence with environmental dependency in a locality of Sudanese savannah area, Mali. Malar. J. 2009, 8, 61. [Google Scholar] [CrossRef] [PubMed]
- Liu, Q.; Liu, X.; Jiang, B.; Yang, W. Forecasting incidence of hemorrhagic fever with renal syndrome in China using ARIMA model. BMC Infect. Dis. 2011, 11, 218. [Google Scholar] [CrossRef]
- Nsoesie, E.; Beckman, R.; Shashaani, S.; Nagaraj, K.; Marathe, M. A simulation optimization approach to epidemic forecasting. PLoS ONE 2013, 8, e67164. [Google Scholar] [CrossRef]
- Zheng, Y.-L.; Zhang, L.; Zhang, X.-L.; Wang, K.; Zheng, Y.-J. Forecast model analysis for the morbidity of tuberculosis in Xinjiang, China. PLoS ONE 2015, 10, e0116832. [Google Scholar] [CrossRef] [PubMed]
- He, Z.; Tao, H. Epidemiology and ARIMA model of positive-rate of influenza viruses among children in Wuhan, China: A nine-year retrospective study. Int. J. Infect. Dis. 2018, 74, 61–70. [Google Scholar] [CrossRef] [PubMed]
- Cao, L.; Liu, H.; Li, J.; Yin, X.; Duan, Y.; Wang, J. Relationship of meteorological factors and human brucellosis in Hebei province, China. Sci. Total Environ. 2020, 703, 135491. [Google Scholar] [CrossRef] [PubMed]
- Wilson, G.T. Time Series Analysis: Forecasting and Control, 5th ed.; Box, G.E.P., Jenkins, G.M., Reinsel, G.C., Ljung, G.M., Eds.; John Wiley and Sons Inc.: Hoboken, NJ, USA, 2015; p. 712. ISBN 978-1-118-67502-1. [Google Scholar]
- Fanoodi, B.; Malmir, B.; Jahantigh, F.F. Reducing demand uncertainty in the platelet supply chain through artificial neural networks and ARIMA models. Comput. Biol. Med. 2019, 113, 103415. [Google Scholar] [CrossRef] [PubMed]
- Benvenuto, D.; Giovanetti, M.; Vassallo, L.; Angeletti, S.; Ciccozzi, M. Application of the ARIMA model on the COVID-2019 epidemic dataset. Data Br. 2020, 29, 105340. [Google Scholar] [CrossRef]
- Brockwell, P.J.; Davis, R.A. ARMA Models BT-Introduction to Time Series and Forecasting; Brockwell, P.J., Davis, R.A., Eds.; Springer International Publishing: Cham, Switzerland, 2016; pp. 73–96. ISBN 978-3-319-29854-2. [Google Scholar]
- Al-Douri, Y.; Hamodi, H.; Lundberg, J. Time series forecasting using a two-level multi-objective genetic algorithm: A case study of maintenance cost data for tunnel fans. Algorithms 2018, 11, 123. [Google Scholar] [CrossRef]
- Elevli, S.; Uzgören, N.; Bingöl, D.; Elevli, B. Drinking water quality control: Control charts for turbidity and pH. J. Water Sanit. Hyg. Dev. 2016, 6, 511–518. [Google Scholar] [CrossRef]
- Chen, P.; Niu, A.; Liu, D.; Jiang, W.; Ma, B. Time series forecasting of temperatures using SARIMA: An example from Nanjing. IOP Conf. Ser. Mater. Sci. Eng. 2018, 394, 52024. [Google Scholar] [CrossRef]
- Contoyiannis, Y.; Stavrinides, S.; Hanias, M.; Kampitakis, M.; Papadopoulos, P.; Picos, R.; Potirakis, S. A universal physics-based model describing COVID-19 dynamics in Europe. Int. J. Environ. Res. Public Health 2020, 17, 6525. [Google Scholar] [CrossRef]
- Demertzis, K.; Tsiotas, D.; Magafas, L. Modeling and forecasting the COVID-19 temporal spread in Greece: An exploratory approach based on complex network defined splines. Int. J. Environ. Res. Public Health 2020, 17, 4693. [Google Scholar] [CrossRef] [PubMed]
- Tsiotas, D.; Magafas, L. The effect of anti-COVID-19 policies on the evolution of the disease: A complex network analysis of the successful case of Greece. Physics 2020, 2, 325–339. [Google Scholar] [CrossRef]
- Chintalapudi, N.; Battineni, G.; Amenta, F. COVID-19 virus outbreak forecasting of registered and recovered cases after sixty day lockdown in Italy: A data driven model approach. J. Microbiol. Immunol. Infect. 2020, 53, 396–403. [Google Scholar] [CrossRef] [PubMed]
- Chatterjee, K.; Chauhan, V.S. Epidemics, quarantine and mental health. Med. J. Armed Forces India 2020, 76, 125–127. [Google Scholar] [CrossRef] [PubMed]
- Sharon, G.; Sampson, T.R.; Geschwind, D.H.; Mazmanian, S.K. The central nervous system and the gut microbiome. Cell 2016, 167, 915–932. [Google Scholar] [CrossRef] [PubMed]
- López, L.; Rodó, X. The end of social confinement and COVID-19 re-emergence risk. Nat. Hum. Behav. 2020. [Google Scholar] [CrossRef] [PubMed]
- Chakraborty, T.; Ghosh, I. Real-time forecasts and risk assessment of novel coronavirus (COVID-19) cases: A data-driven analysis. Chaos Solitons Fractals 2020, 135, 109850. [Google Scholar] [CrossRef]
- Williamson, E.J.; Walker, A.J.; Bhaskaran, K.; Bacon, S.; Bates, C.; Morton, C.E.; Curtis, H.J.; Mehrkar, A.; Evans, D.; Inglesby, P.; et al. Factors associated with COVID-19-related death using OpenSAFELY. Nature 2020, 584, 430–436. [Google Scholar] [CrossRef]
- Miller, I.F.; Becker, A.D.; Grenfell, B.T.; Metcalf, C.J.E. Disease and healthcare burden of COVID-19 in the United States. Nat. Med. 2020. [Google Scholar] [CrossRef]
- Worby, C.J.; Chang, H.-H. Face mask use in the general population and optimal resource allocation during the COVID-19 pandemic. Nat. Commun. 2020, 11, 4049. [Google Scholar] [CrossRef]
- Chu, D.K.; Akl, E.A.; Duda, S.; Solo, K.; Yaacoub, S.; Schünemann, H.J.; Chu, D.K.; Akl, E.A.; El-harakeh, A.; Bognanni, A.; et al. Physical distancing, face masks, and eye protection to prevent person-to-person transmission of SARS-CoV-2 and COVID-19: A systematic review and meta-analysis. Lancet 2020, 395, 1973–1987. [Google Scholar] [CrossRef]
- Liang, L.-L.; Tseng, C.-H.; Ho, H.J.; Wu, C.-Y. Covid-19 mortality is negatively associated with test number and government effectiveness. Sci. Rep. 2020, 10, 12567. [Google Scholar] [CrossRef] [PubMed]
- Xu, S.; Li, Y. Beware of the second wave of COVID-19. Lancet 2020, 395, 1321–1322. [Google Scholar] [CrossRef]
- Toyoshima, Y.; Nemoto, K.; Matsumoto, S.; Nakamura, Y.; Kiyotani, K. SARS-CoV-2 genomic variations associated with mortality rate of COVID-19. J. Hum. Genet. 2020. [Google Scholar] [CrossRef] [PubMed]
- Devaux, C.A.; Rolain, J.-M.; Raoult, D. ACE2 receptor polymorphism: Susceptibility to SARS-CoV-2, hypertension, multi-organ failure, and COVID-19 disease outcome. J. Microbiol. Immunol. Infect. 2020, 53, 425–435. [Google Scholar] [CrossRef]
- Liang, W.; Feng, Z.; Rao, S.; Xiao, C.; Xue, X.; Lin, Z.; Zhang, Q.; Qi, W. Diarrhoea may be underestimated: A missing link in 2019 novel coronavirus. Gut 2020, 69, 1141–1143. [Google Scholar] [CrossRef]
- Wu, Y.; Guo, C.; Tang, L.; Hong, Z.; Zhou, J.; Dong, X.; Yin, H.; Xiao, Q.; Tang, Y.; Qu, X.; et al. Prolonged presence of SARS-CoV-2 viral RNA in faecal samples. Lancet Gastroenterol. Hepatol. 2020, 5, 434–435. [Google Scholar] [CrossRef]
- Xu, X.-W.; Wu, X.-X.; Jiang, X.-G.; Xu, K.-J.; Ying, L.-J.; Ma, C.-L.; Li, S.-B.; Wang, H.-Y.; Zhang, S.; Gao, H.-N.; et al. Clinical findings in a group of patients infected with the 2019 novel coronavirus (SARS-Cov-2) outside of Wuhan, China: Retrospective case series. BMJ 2020, 368, m606. [Google Scholar] [CrossRef]
- Holshue, M.L.; DeBolt, C.; Lindquist, S.; Lofy, K.H.; Wiesman, J.; Bruce, H.; Spitters, C.; Ericson, K.; Wilkerson, S.; Tural, A.; et al. First case of 2019 novel coronavirus in the United States. N. Engl. J. Med. 2020, 382, 929–936. [Google Scholar] [CrossRef]
- Zheng, S.; Fan, J.; Yu, F.; Feng, B.; Lou, B.; Zou, Q.; Xie, G.; Lin, S.; Wang, R.; Yang, X.; et al. Viral load dynamics and disease severity in patients infected with SARS-CoV-2 in Zhejiang province, China, January–March 2020: Retrospective cohort study. BMJ 2020, 369, m1443. [Google Scholar] [CrossRef]
- Guan, W.; Ni, Z.; Hu, Y.; Liang, W.; Ou, C.; He, J.; Liu, L.; Shan, H.; Lei, C.; Hui, D.S.C.; et al. Clinical characteristics of coronavirus disease 2019 in China. N. Engl. J. Med. 2020, 382, 1708–1720. [Google Scholar] [CrossRef]
- Huang, C.; Wang, Y.; Li, X.; Ren, L.; Zhao, J.; Hu, Y.; Zhang, L.; Fan, G.; Xu, J.; Gu, X.; et al. Clinical features of patients infected with 2019 novel coronavirus in Wuhan, China. Lancet 2020, 395, 497–506. [Google Scholar] [CrossRef]
- Chen, N.; Zhou, M.; Dong, X.; Qu, J.; Gong, F.; Han, Y.; Qiu, Y.; Wang, J.; Liu, Y.; Wei, Y.; et al. Epidemiological and clinical characteristics of 99 cases of 2019 novel coronavirus pneumonia in Wuhan, China: A descriptive study. Lancet 2020, 395, 507–513. [Google Scholar] [CrossRef]
- Jin, X.; Lian, J.-S.; Hu, J.-H.; Gao, J.; Zheng, L.; Zhang, Y.-M.; Hao, S.-R.; Jia, H.-Y.; Cai, H.; Zhang, X.-L.; et al. Epidemiological, clinical and virological characteristics of 74 cases of coronavirus-infected disease 2019 (COVID-19) with gastrointestinal symptoms. Gut 2020, 69, 1002–1009. [Google Scholar] [CrossRef]
- Zhou, F.; Yu, T.; Du, R.; Fan, G.; Liu, Y.; Liu, Z.; Xiang, J.; Wang, Y.; Song, B.; Gu, X.; et al. Clinical course and risk factors for mortality of adult inpatients with COVID-19 in Wuhan, China: A retrospective cohort study. Lancet 2020, 395, 1054–1062. [Google Scholar] [CrossRef]
- Wang, D.; Hu, B.; Hu, C.; Zhu, F.; Liu, X.; Zhang, J.; Wang, B.; Xiang, H.; Cheng, Z.; Xiong, Y.; et al. Clinical characteristics of 138 hospitalized patients with 2019 novel coronavirus–infected pneumonia in Wuhan, China. JAMA 2020, 323, 1061–1069. [Google Scholar] [CrossRef] [PubMed]
- Lin, L.; Jiang, X.; Zhang, Z.; Huang, S.; Zhang, Z.; Fang, Z.; Gu, Z.; Gao, L.; Shi, H.; Mai, L.; et al. Gastrointestinal symptoms of 95 cases with SARS-CoV-2 infection. Gut 2020, 69, 997–1001. [Google Scholar] [CrossRef] [PubMed]
- Demongeot, J.; Flet-Berliac, Y.; Seligmann, H. Temperature decreases spread parameters of the new covid-19 case dynamics. Biology 2020, 9, 94. [Google Scholar] [CrossRef]
- Gherghel, I.; Bulai, M. Is Romania ready to face the novel coronavirus (COVID-19) outbreak? The role of incoming travelers and that of Romanian diaspora. Travel Med. Infect. Dis. 2020, 34, 101628. [Google Scholar] [CrossRef]








| Year of Publication | Disease | Method | Reference |
|---|---|---|---|
| 2005 | Severe Acute Respiratory Syndrome | ARIMA | [8] |
| 2009 | Malaria | ARIMA | [9] |
| 2011 | Hemorrhagic Fever with Renal Syndrome | ARIMA | [10] |
| 2013 | Hantavirus Pulmonary Syndrome | ARIMA | [11] |
| 2015 | Tuberculosis | ARIMA | [12] |
| 2018 | Influenza | ARIMA | [13] |
| 2020 | Brucellosis | ARIMA | [14] |
| (a) Prevalence | |||||||
| Interval | Mean | SE Mean | St. Dev | Minimum | Maximum | Skewness | Kurtosis |
| 1 March–31 March | 482.866 | 118.415 | 648.588 | 3 | 2245 | 1.49 | 1.21 |
| 1 April–30 April | 7603.551 | 540.324 | 2909.737 | 2738 | 12,240 | −0.03 | −1.23 |
| 1 May–31 May | 16,502.933 | 346.883 | 1899.957 | 12,732 | 19,257 | −0.37 | −0.90 |
| 1 June–30 June | 22,776.689 | 427.610 | 2302.754 | 19,517 | 26,970 | 0.31 | −1.16 |
| 1 July–31 July | 36,874.3 | 1287.582 | 7052.379 | 27,746 | 50,886 | 0.61 | −0.94 |
| 1 August–31 August | 70,602.366 | 1930.889 | 10,575.917 | 53,186 | 87,540 | −0.03 | −1.19 |
| 1 March–31 August | 25,840.071 | 1751.969 | 23,700.201 | 3 | 87,540 | 1.04 | 0.17 |
| (b) Incidence | |||||||
| Interval | Mean | SE Mean | St. Dev | Minimum | Maximum | Skewness | Kurtosis |
| 1 March–31 March | 74.733 | 17.058 | 93.434 | 0 | 308 | 1.33 | 0.69 |
| 1 April–30 April | 337.241 | 16.016 | 86.250 | 190 | 523 | 0.31 | −0.38 |
| 1 May–31 May | 223 | 14.369 | 78.704 | 124 | 431 | 1.08 | 0.59 |
| 1 June–30 June | 261.103 | 16.507 | 88.896 | 119 | 460 | 0.40 | −0.39 |
| 1 July–31 July | 786.333 | 59.450 | 325.623 | 250 | 1356 | 0.19 | −1.28 |
| 1 August–31 August | 1180.966 | 42.478 | 232.664 | 733 | 1504 | −0.63 | −0.85 |
| 1 March–31 August | 478.344 | 31.352 | 424.128 | 0 | 1504 | 1.03 | −0.24 |
| (a) STATGRAPHICS Centurion (v.18.1.13) | ||||
| Romania | Model | RMSE | MAE | MAPE |
| March | (1,2,1) | 40.2064 | 21.7726 | 9.3225 |
| (2,2,0) | 40.1344 | 21.8332 | 9.33149 | |
| (2,1,0) | 37.1349 | 22.3392 | 9.42158 | |
| (3,2,0) | 40.7137 | 22.252 | 9.50679 | |
| (3,0,0) | 36.317 | 21.4381 | 9.58606 | |
| April | (3,2,2) | 84.4845 | 62.4813 | 0.975287 |
| (3,2,3) | 91.4283 | 64.3356 | 0.978607 | |
| (3,2,1) | 86.0235 | 63.5418 | 0.988232 | |
| (1,2,3) | 86.1254 | 66.3094 | 1.03015 | |
| (0,2,3) | 84.8321 | 66.818 | 1.03804 | |
| May | (3,1,3) | 55.1218 | 35.4972 | 0.227675 |
| (3,2,3) | 51.5543 | 37.7316 | 0.233695 | |
| (3,2,2) | 52.2601 | 37.5565 | 0.235246 | |
| (3,2,1) | 52.0651 | 37.7596 | 0.235816 | |
| (3,2,0) | 51.9334 | 38.9065 | 0.243301 | |
| June | (3,2,2) | 53.3883 | 36.8425 | 0.161412 |
| (3,2,3) | 55.042 | 36.8814 | 0.161561 | |
| (3,1,3) | 66.319 | 45.2191 | 0.195068 | |
| (2,1,3) | 66.8927 | 47.8626 | 0.207124 | |
| July | (3,1,3) | 117.982 | 87.1512 | 0.243285 |
| (2,1,1) | 113.198 | 88.1797 | 0.24369 | |
| (2,1,2) | 115.679 | 88.7863 | 0.245774 | |
| (1,1,2) | 115.307 | 92.5001 | 0.256055 | |
| August | (2,2,2) | 153.804 | 113.314 | 0.163873 |
| (3,2,2) | 155.701 | 114.742 | 0.164574 | |
| (3,2,3) | 159.39 | 115.195 | 0.165348 | |
| March–August | (1,2,1) | 121.674 | 85.2619 | 2.29175 |
| (3,2,3) | 118.411 | 82.2194 | 2.37771 | |
| (1,2,3) | 118.36 | 82.5649 | 2.37918 | |
| (3,2,1) | 113.778 | 80.2205 | 2.40063 | |
| (3,2,0) | 121.301 | 84.6413 | 2.41403 | |
| (b) IBM SPSS (v.20.0.0) | ||||
| Romania | Model | RMSE | MAE | MAPE |
| March | (1,2,1) | 38.127 | 24.651 | 57.505 |
| April | (3,2,2) | 96.089 | 68.365 | 1.152 |
| May | (3,1,3) | 68.403 | 39.996 | 0.259 |
| June | (3,2,2) | 58.588 | 41.854 | 0.185 |
| July | (3,1,3) | 156.476 | 106.572 | 0.307 |
| August | (2,2,2) | 179.309 | 129.350 | 0.194 |
| March–August | (1,2,1) | 121.054 | 85.524 | 6.013 |
| (a) STATGRAPHICS Centurion (v.18.1.13) | ||||||
| Romania | Parameters | Estimate | Standard Error | t-Statistic | p-Value | |
| March (1,2,1) | AR(1) MA(1) | −0.865514 −0.209212 | 0.194131 0.291261 | −4.45841 −0.718298 | 0.000131 0.478744 | |
| April (3,2,2) | AR(3) MA(2) | −0.329312 −0.528086 | 0.225307 0.247375 | −1.46161 −2.13475 | 0.157377 0.043660 | |
| May (3,1,3) | AR(3) MA(3) | 0.625887 0.570657 | 0.145922 0.0544548 | 4.28918 10.4795 | 0.000253 0.000000 | |
| June (3,2,2) | AR(3) MA(2) | −0.312216 −0.964198 | 0.209998 0.0269271 | −1.48676 −35.8077 | 0.150660 0.000000 | |
| July (3,1,3) | AR(3) MA(3) | −0.560219 −0.0478648 | 0.258752 0.274587 | −2.16508 −0.174315 | 0.040545 0.863080 | |
| August (2,2,2) | AR(2) MA(2) | −0.826566 −0.782937 | 0.112664 0.171731 | −7.33655 −4.5591 | 0.000000 0.000117 | |
| March–August (1,2,1) | AR(1) MA(1) | 0.479999 0.781228 | 0.122096 0.0765947 | 3.93133 10.1995 | 0.000120 0.000000 | |
| (b) IBM SPSS (v.20.0.0) | ||||||
| ARIMA Model Parameters | ||||||
| Estimate | Standard Error | |||||
| Cumulative-Model (March) | Cumulative | No Transformation | Constant | 8.881 | 3.986 | |
| AR | Lag 1 | −0.740 | 0.206 | |||
| Difference | 2 | |||||
| MA | Lag 1 | 0.037 | 0.287 | |||
| t-statistic | p-value | |||||
| Cumulative-Model (March) | Cumulative | No Transformation | Constant | 2.228 | 0.035 | |
| AR | Lag 1 | −3.595 | −0.001 | |||
| Difference | ||||||
| MA | Lag 1 | 0.130 | 0.898 | |||
| Estimate | Standard Error | |||||
| Cumulative-Model (April) | Cumulative | No Transformation | Constant | −0.902 | 1.468 | |
| AR | Lag 1 | 0.210 | 0.486 | |||
| Lag 2 | −0.216 | 0.203 | ||||
| Lag 3 | −0.268 | 0.257 | ||||
| Difference | 2 | |||||
| MA | Lag 1 | 1.527 | 22.293 | |||
| Lag 2 | −0.528 | 11.600 | ||||
| t-statistic | p-value | |||||
| Cumulative-Model (April) | Cumulative | No Transformation | Constant | −0.615 | 0.545 | |
| AR | Lag 1 | 0.432 | 0.670 | |||
| Lag 2 | −1.065 | 0.298 | ||||
| Lag 3 | −1.042 | 0.309 | ||||
| Difference | ||||||
| MA | Lag 1 | 0.069 | 0.946 | |||
| Lag 2 | −0.046 | 0.964 | ||||
| Estimate | Standard Error | |||||
| Cumulative-Model (May) | Cumulative | No Transformation | Constant | 216.917 | 46.423 | |
| AR | Lag 1 | −0.013 | 0.498 | |||
| Lag 2 | 0.252 | 0.348 | ||||
| Lag 3 | 0.480 | 0.348 | ||||
| Difference | 1 | |||||
| MA | Lag 1 | −0.641 | 3.924 | |||
| Lag 2 | −0.258 | 4.043 | ||||
| Lag 3 | 0.591 | 3.576 | ||||
| t-statistic | p-value | |||||
| Cumulative-Model (May) | Cumulative | No Transformation | Constant | 4.673 | 0.000 | |
| AR | Lag 1 | −0.026 | 0.980 | |||
| Lag 2 | 0.725 | 0.476 | ||||
| Lag 3 | 1.381 | 0.181 | ||||
| Difference | ||||||
| MA | Lag 1 | −0.163 | 0.872 | |||
| Lag 2 | −0.064 | 0.950 | ||||
| Lag 3 | 0.165 | 0.870 | ||||
| Estimate | Standard Error | |||||
| Cumulative-Model (June) | Cumulative | No Transformation | Constant | 8.194 | 1.482 | |
| AR | Lag 1 | 0.161 | 0.487 | |||
| Lag 2 | −0.159 | 0.291 | ||||
| Lag 3 | −0.451 | 0.234 | ||||
| Difference | 2 | |||||
| MA | Lag 1 | 0.914 | 4.922 | |||
| Lag 2 | 0.080 | 0.849 | ||||
| t-statistic | p-value | |||||
| Cumulative-Model (June) | Cumulative | No Transformation | Constant | 5.529 | 0.000 | |
| AR | Lag 1 | 0.332 | 0.743 | |||
| Lag 2 | −0.549 | 0.589 | ||||
| Lag 3 | −1.928 | 0.067 | ||||
| Difference | ||||||
| MA | Lag 1 | 0.186 | 0.854 | |||
| Lag 2 | 0.094 | 0.926 | ||||
| Estimate | Standard Error | |||||
| Cumulative-Model (July) | Cumulative | No Transformation | Constant | 837.899 | 505.059 | |
| AR | Lag 1 | 0.274 | 20.176 | |||
| Lag 2 | 0.753 | 3.824 | ||||
| Lag 3 | −0.087 | 15.011 | ||||
| Difference | 1 | |||||
| MA | Lag 1 | −0.629 | 20.192 | |||
| Lag 2 | 0.259 | 14.442 | ||||
| Lag 3 | −0.003 | 3.383 | ||||
| t-statistic | p-value | |||||
| Cumulative-Model (July) | Cumulative | No Transformation | Constant | 1.659 | 0.111 | |
| AR | Lag 1 | 0.014 | 0.989 | |||
| Lag 2 | 0.197 | 0.846 | ||||
| Lag 3 | −0.006 | 0.995 | ||||
| Difference | ||||||
| MA | Lag 1 | −0.031 | 0.975 | |||
| Lag 2 | 0.018 | 0.986 | ||||
| Lag 3 | −0.001 | 0.999 | ||||
| Estimate | Standard Error | |||||
| Cumulative-Model (August) | Cumulative | No Transformation | Constant | −4.351 | 1.253 | |
| AR | Lag 1 | 1.120 | 0.139 | |||
| Lag 2 | −0.832 | 0.107 | ||||
| Difference | 2 | |||||
| MA | Lag 1 | 1.978 | 6.107 | |||
| Lag 2 | −0.995 | 6.084 | ||||
| t-statistic | p-value | |||||
| Cumulative-Model (August) | Cumulative | No Transformation | Constant | −3.474 | 0.002 | |
| AR | Lag 1 | 8.077 | 0.000 | |||
| Lag 2 | −7.804 | 0.000 | ||||
| Difference | ||||||
| MA | Lag 1 | 0.324 | 0.749 | |||
| Lag 2 | −0.164 | 0.871 | ||||
| Estimate | Standard Error | |||||
| Cumulative-Model (March–August) | Cumulative | No Transformation | Constant | 5.885 | 3.318 | |
| AR | Lag 1 | 0.501 | 0.126 | |||
| Difference | 2 | |||||
| MA | Lag 1 | 0.820 | 0.084 | |||
| t-statistic | p-value | |||||
| Cumulative-Model (March–August) | Cumulative | No Transformation | Constant | 1.773 | 0.078 | |
| AR | Lag 1 | 3.985 | 0.000 | |||
| Difference | ||||||
| MA | Lag 1 | 9.712 | 0.000 | |||
| (a) STATGRAPHICS Centurion (v.18.1.13) | |||||||
| March (1,2,1) | |||||||
| Lower 95% | Upper 95% | ||||||
| Period | Forecast | Limit | Limit | ||||
| 01-4-20 | 2450.74 | 2368.24 | 2533.23 | ||||
| 02-4-20 | 2732.0 | 2593.82 | 2870.18 | ||||
| 03-4-20 | 2947.89 | 2716.13 | 3179.66 | ||||
| 04-4-20 | 3220.37 | 2900.32 | 3540.42 | ||||
| 05-4-20 | 3443.87 | 3011.65 | 3876.09 | ||||
| 06-4-20 | 3709.76 | 3166.05 | 4253.47 | ||||
| 07-4-20 | 3938.96 | 3266.6 | 4611.32 | ||||
| 08-4-20 | 4199.91 | 3397.23 | 5002.6 | ||||
| 09-4-20 | 4433.39 | 3487.15 | 5379.63 | ||||
| 10-4-20 | 4690.65 | 3597.86 | 5783.43 | ||||
| 11-4-20 | 4927.32 | 3677.29 | 6177.34 | ||||
| 12-4-20 | 5181.81 | 3770.81 | 6592.81 | ||||
| 13-4-20 | 5420.88 | 3839.91 | 7001.84 | ||||
| 14-4-20 | 5673.29 | 3918.22 | 7428.36 | ||||
| April (3,2,2) | |||||||
| Lower 95% | Upper 95% | ||||||
| Period | Forecast | Limit | Limit | ||||
| 01-5-20 | 12,616.5 | 12,440.4 | 12,792.5 | ||||
| 02-5-20 | 12,959.9 | 12,738.5 | 13,181.4 | ||||
| 03-5-20 | 13,302.9 | 13,061.4 | 13,544.4 | ||||
| 04-5-20 | 13,615.5 | 13,368.8 | 13,862.3 | ||||
| 05-5-20 | 13,932.3 | 13,674.7 | 14,189.9 | ||||
| 06-5-20 | 14,257.0 | 13,975.5 | 14,538.5 | ||||
| 07-5-20 | 14,592.6 | 14,276.6 | 14,908.7 | ||||
| 08-5-20 | 14,927.5 | 14,579.7 | 15,275.3 | ||||
| 09-5-20 | 15,257.2 | 14,883.3 | 15,631.0 | ||||
| 10-5-20 | 15,582.2 | 15,184.3 | 15,980.1 | ||||
| 11-5-20 | 15,907.6 | 15,482.8 | 16,332.4 | ||||
| 12-5-20 | 16,235.9 | 15,779.8 | 16,692.0 | ||||
| 13-5-20 | 16,566.2 | 16,076.4 | 17,056.0 | ||||
| 14-5-20 | 16,896.3 | 16,372.8 | 17,419.8 | ||||
| May (3,1,3) | |||||||
| Lower 95% | Upper 95% | ||||||
| Period | Forecast | Limit | Limit | ||||
| 01-6-20 | 19,400.9 | 19,280.2 | 19,521.5 | ||||
| 02-6-20 | 19,533.0 | 19,286.3 | 19,779.8 | ||||
| 03-6-20 | 19,689.2 | 19,296.5 | 20,081.9 | ||||
| 04-6-20 | 19,831.8 | 19,307.7 | 20,355.9 | ||||
| 05-6-20 | 19,971.4 | 19,290.8 | 20,651.9 | ||||
| 06-6-20 | 20,122.2 | 19,270.7 | 20,973.7 | ||||
| 07-6-20 | 20,265.2 | 19,240.9 | 21,289.5 | ||||
| 08-6-20 | 20,408.1 | 19,194.8 | 21,621.5 | ||||
| 09-6-20 | 20,556.2 | 19,143.4 | 21,968.9 | ||||
| 10-6-20 | 20,699.9 | 19,081.8 | 22,318.0 | ||||
| 11-6-20 | 20,844.3 | 19,009.0 | 22,679.7 | ||||
| 12-6-20 | 20,991.0 | 18,929.9 | 23,052.1 | ||||
| 13-6-20 | 21,135.4 | 18,841.3 | 23,429.4 | ||||
| 14-6-20 | 21,280.5 | 18,744.1 | 23,816.9 | ||||
| June (3,2,2) | |||||||
| Lower 95% | Upper 95% | ||||||
| Period | Forecast | Limit | Limit | ||||
| 01-7-20 | 27,404.9 | 27,291.5 | 27,518.3 | ||||
| 02-7-20 | 27,860.4 | 27,673.0 | 28,047.7 | ||||
| 03-7-20 | 28,267.6 | 28,019.4 | 28,515.8 | ||||
| 04-7-20 | 28,608.4 | 28,307.9 | 28,908.9 | ||||
| 05-7-20 | 28,916.8 | 28,551.9 | 29,281.8 | ||||
| 06-7-20 | 29,253.3 | 28,792.0 | 29,714.6 | ||||
| 07-7-20 | 29,652.8 | 29,060.9 | 30,244.7 | ||||
| 08-7-20 | 30,097.5 | 29,360.4 | 30,834.6 | ||||
| 09-7-20 | 30,533.1 | 29,658.3 | 31,407.9 | ||||
| 10-7-20 | 30,914.6 | 29,916.3 | 31,912.9 | ||||
| 11-7-20 | 31,243.0 | 30,126.4 | 32,359.6 | ||||
| 12-7-20 | 31,562.8 | 30,317.0 | 32,808.5 | ||||
| 13-7-20 | 31,924.0 | 30,526.8 | 33,321.1 | ||||
| 14-7-20 | 32,340.9 | 30,772.3 | 33,909.5 | ||||
| July (3,1,3) | |||||||
| Lower 95% | Upper 95% | ||||||
| Period | Forecast | Limit | Limit | ||||
| 01-8-20 | 52,247.6 | 51,999.2 | 52,496.1 | ||||
| 02-8-20 | 53,668.7 | 53,169.6 | 54,167.9 | ||||
| 03-8-20 | 55,147.3 | 54,390.9 | 55,903.6 | ||||
| 04-8-20 | 56,685.2 | 55,656.5 | 57,714.0 | ||||
| 05-8-20 | 58,282.6 | 56,976.8 | 59,588.5 | ||||
| 06-8-20 | 59,942.3 | 58,346.7 | 61,537.9 | ||||
| 07-8-20 | 61,665.3 | 59,772.1 | 63,558.4 | ||||
| 08-8-20 | 63,454.6 | 61,250.0 | 65,659.3 | ||||
| 09-8-20 | 65,311.9 | 62,784.7 | 67,839.2 | ||||
| 10-8-20 | 67,240.4 | 64,374.9 | 70,106.0 | ||||
| 11-8-20 | 69,242.1 | 66,024.5 | 72,459.8 | ||||
| 12-8-20 | 71,320.4 | 67,733.2 | 74,907.6 | ||||
| 13-8-20 | 73,477.6 | 69,504.9 | 77,450.3 | ||||
| 14-8-20 | 75,717.2 | 71,340.0 | 80,094.4 | ||||
| August (2,2,2) | |||||||
| Lower 95% | Upper 95% | ||||||
| Period | Forecast | Limit | Limit | ||||
| 01-9-20 | 88,483.4 | 88,163.3 | 88,803.4 | ||||
| 02-9-20 | 89,735.8 | 89,186.2 | 90,285.4 | ||||
| 03-9-20 | 91,171.6 | 90,521.1 | 91,822.0 | ||||
| 04-9-20 | 92,553.1 | 91,883.1 | 93,223.0 | ||||
| 05-9-20 | 93,723.4 | 93,050.4 | 94,396.4 | ||||
| 06-9-20 | 94,707.0 | 94,020.1 | 95,393.9 | ||||
| 07-9-20 | 95,660.3 | 94,899.8 | 96,420.7 | ||||
| 08-9-20 | 96,734.6 | 95,825.9 | 97,643.3 | ||||
| 09-9-20 | 97,966.8 | 96,901.4 | 99,032.2 | ||||
| 10-9-20 | 99,272.2 | 98,093.1 | 100,451. | ||||
| 11-9-20 | 100,527. | 99,273.2 | 101,781. | ||||
| 12-9-20 | 101,667. | 100,347. | 102,986. | ||||
| 13-9-20 | 102,721. | 101,316. | 104,126. | ||||
| 14-9-20 | 103,777. | 102,249. | 105,305. | ||||
| March–August (1,2,1) | |||||||
| Lower 95% | Upper 95% | ||||||
| Period | Forecast | Limit | Limit | ||||
| 01-9-20 | 88,427.4 | 88,187.3 | 88,667.5 | ||||
| 02-9-20 | 89,378.4 | 88,905.1 | 89,851.7 | ||||
| 03-9-20 | 90,359.9 | 89,641.2 | 91,078.7 | ||||
| 04-9-20 | 91,356.1 | 90,382.1 | 92,330.1 | ||||
| 05-9-20 | 92,359.3 | 91,120.4 | 93,598.2 | ||||
| 06-9-20 | 93,365.8 | 91,851.8 | 94,879.9 | ||||
| 07-9-20 | 94,374.0 | 92,574.3 | 96,173.7 | ||||
| 08-9-20 | 95,383.0 | 93,286.8 | 97,479.2 | ||||
| 09-9-20 | 96,392.3 | 93,988.7 | 98,796.0 | ||||
| 10-9-20 | 97,401.8 | 94,679.8 | 100,124. | ||||
| 11-9-20 | 98,411.4 | 95,360.3 | 101,463. | ||||
| 12-9-20 | 99,421.1 | 96,030.1 | 102,812. | ||||
| 13-9-20 | 100,431. | 96,689.5 | 104,172. | ||||
| 14-9-20 | 101,440. | 97,338.6 | 105,542. | ||||
| (b) IBM SPSS (v.20.0.0) | |||||||
| Forecast | |||||||
| Model | Day 1 | Day 2 | Day 3 | Day 4 | Day 5 | Day 6 | |
| Cumulative-Model (March) | Forecast | 2478.78 | 2771.81 | 3036.46 | 3337.56 | 3627.14 | 3940.69 |
| UCL | 2557.11 | 2895.56 | 3237.39 | 3612.37 | 3992.87 | 4399.42 | |
| LCL | 2400.44 | 2648.06 | 2835.53 | 3062.74 | 3261.42 | 3481.96 | |
| Model | Day 7 | Day 8 | Day 9 | Day 10 | Day 11 | Day 12 | |
| Cumulative-Model (March) | Forecast | 4251.96 | 4580.37 | 4911.55 | 5256.13 | 5606.25 | 5967.72 |
| UCL | 4814.73 | 5251.20 | 5698.58 | 6164.03 | 6641.61 | 7135.33 | |
| LCL | 3689.20 | 3909.55 | 4124.53 | 4348.24 | 4570.89 | 4800.11 | |
| Model | Day 13 | Day 14 | |||||
| Cumulative-Model (March) | Forecast | 6336.24 | 6715.00 | ||||
| UCL | 7641.78 | 8163.17 | |||||
| LCL | 5030.71 | 5266.84 | |||||
| Forecast | |||||||
| Model | Day 1 | Day 2 | Day 3 | Day 4 | Day 5 | Day 6 | |
| Cumulative-Model (April) | Forecast | 12,599.76 | 12,935.87 | 13,271.55 | 13,584.87 | 13,898.80 | 14,216.66 |
| UCL | 12,774.44 | 13,150.93 | 13,500.98 | 13,816.96 | 14,136.69 | 14,467.65 | |
| LCL | 12,425.08 | 12,720.81 | 13,042.12 | 13,352.78 | 13,660.91 | 13,965.67 | |
| Model | Day 7 | Day 8 | Day 9 | Day 10 | Day 11 | Day 12 | |
| Cumulative-Model (April) | Forecast | 14,540.05 | 14,862.45 | 15,181.23 | 15,496.84 | 15,811.68 | 16,126.86 |
| UCL | 14,808.71 | 15,145.84 | 15,475.55 | 15,800.64 | 16,125.74 | 16,452.34 | |
| LCL | 14,271.39 | 14,579.05 | 14,886.92 | 15,193.03 | 15,497.61 | 15,801.38 | |
| Model | Day 13 | Day 14 | |||||
| Cumulative-Model (April) | Forecast | 16,441.99 | 16,756.08 | ||||
| UCL | 16,779.10 | 17,104.18 | |||||
| LCL | 16,104.88 | 16,407.98 | |||||
| Forecast | |||||||
| Model | Day 1 | Day 2 | Day 3 | Day 4 | Day 5 | Day 6 | |
| Cumulative-Model (May) | Forecast | 19,412.18 | 19,569.68 | 19,763.17 | 19,935.78 | 20,118.83 | 20,313.78 |
| UCL | 19,543.30 | 19,816.82 | 20,130.38 | 20,397.32 | 20,688.05 | 20,989.84 | |
| LCL | 19,281.05 | 19,322.54 | 19,395.96 | 19,474.23 | 19,549.62 | 19,637.71 | |
| Model | Day 7 | Day 8 | Day 9 | Day 10 | Day 11 | Day 12 | |
| Cumulative-Model (May) | Forecast | 20,501.17 | 20,696.67 | 20,895.88 | 21,093.45 | 21,295.88 | 21,499.60 |
| UCL | 21,277.17 | 21,576.47 | 21,877.30 | 22,173.28 | 22,473.47 | 22,773.08 | |
| LCL | 19,725.17 | 19,816.88 | 19,914.45 | 20,013.63 | 20,118.28 | 20,226.12 | |
| Model | Day 13 | Day 14 | |||||
| Cumulative-Model (May) | Forecast | 21,703.75 | 21,910.55 | ||||
| UCL | 23,071.27 | 23,369.65 | |||||
| LCL | 20,336.23 | 20,451.44 | |||||
| Forecast | |||||||
| Model | Day 1 | Day 2 | Day 3 | Day 4 | Day 5 | Day 6 | |
| Cumulative-Model (June) | Forecast | 27,405.69 | 27,851.25 | 28,248.97 | 28,627.75 | 29,018.52 | 29,447.71 |
| UCL | 27,520.95 | 28,038.23 | 28,481.50 | 28,874.60 | 29,273.56 | 29,714.32 | |
| LCL | 27,290.42 | 27,664.28 | 28,016.44 | 28,380.90 | 28,763.48 | 29,181.10 | |
| Model | Day 7 | Day 8 | Day 9 | Day 10 | Day 11 | Day 12 | |
| Cumulative-Model (June) | Forecast | 29,901.63 | 30,359.87 | 30,809.40 | 31,257.55 | 31,716.79 | 32,193.86 |
| UCL | 30,190.48 | 30,674.74 | 31,145.84 | 31,609.14 | 32,081.24 | 32,572.50 | |
| LCL | 29,612.78 | 30,045.00 | 30,472.95 | 30,905.96 | 31,352.35 | 31,815.21 | |
| Model | Day 13 | Day 14 | |||||
| Cumulative-Model (June) | Forecast | 32,684.53 | 33,181.42 | ||||
| UCL | 33,079.98 | 33,594.43 | |||||
| LCL | 32,289.08 | 32,768.41 | |||||
| Forecast | |||||||
| Model | Day 1 | Day 2 | Day 3 | Day 4 | Day 5 | Day 6 | |
| Cumulative-Model (July) | Forecast | 52,168.29 | 53,426.67 | 54,674.30 | 55,902.11 | 57,118.49 | 58,317.76 |
| UCL | 52,449.73 | 54,031.51 | 55,633.07 | 57,264.85 | 58,911.15 | 60,573.52 | |
| LCL | 51,886.84 | 52,821.82 | 53,715.54 | 54,539.37 | 55,325.84 | 56,061.99 | |
| Model | Day 7 | Day 8 | Day 9 | Day 10 | Day 11 | Day 12 | |
| Cumulative-Model (July) | Forecast | 59,505.46 | 60,678.11 | 61,839.43 | 62,987.33 | 64,124.34 | 65,249.25 |
| UCL | 62,244.36 | 63,923.34 | 65,606.40 | 67,292.68 | 68,979.84 | 70,666.96 | |
| LCL | 56,766.56 | 57,432.88 | 58,072.46 | 58,681.98 | 59,268.84 | 59,831.54 | |
| Model | Day 13 | Day 14 | |||||
| Cumulative-Model (July) | Forecast | 66,363.83 | 67,467.42 | ||||
| UCL | 72,352.60 | 74,035.96 | |||||
| LCL | 60,375.05 | 60,898.88 | |||||
| Forecast | |||||||
| Model | Day 1 | Day 2 | Day 3 | Day 4 | Day 5 | Day 6 | |
| Cumulative-Model (August) | Forecast | 88,444.38 | 89,634.01 | 91,015.67 | 92,372.04 | 93,537.29 | 94,506.51 |
| UCL | 88,730.43 | 90,079.75 | 91,493.00 | 92,852.85 | 94,048.38 | 95,027.52 | |
| LCL | 88,158.32 | 89,188.27 | 90,538.35 | 91,891.23 | 93,026.19 | 93,985.50 | |
| Model | Day 7 | Day 8 | Day 9 | Day 10 | Day 11 | Day 12 | |
| Cumulative-Model (August) | Forecast | 95,412.10 | 96,406.37 | 97,549.71 | 98,783.13 | 99,990.33 | 101,090.16 |
| UCL | 95,938.80 | 96,978.64 | 98,171.45 | 99,421.94 | 100,629.11 | 101,728.19 | |
| LCL | 94,885.41 | 95,834.09 | 96,927.97 | 98,144.32 | 99,351.54 | 100,452.13 | |
| Model | Day 13 | Day 14 | |||||
| Cumulative-Model (August) | Forecast | 102,088.51 | 103,059.41 | ||||
| UCL | 102,726.16 | 103,708.74 | |||||
| LCL | 101,450.85 | 102,410.08 | |||||
| Forecast | |||||||
| Model | Day 1 | Day 2 | Day 3 | Day 4 | Day 5 | Day 6 | |
| Cumulative-Model (March–August) | Forecast | 88,451.83 | 89,445.12 | 90,482.12 | 91,543.96 | 92,621.15 | 93,708.98 |
| UCL | 88,690.71 | 89,912.30 | 91,185.57 | 92,489.10 | 93,813.54 | 95,154.94 | |
| LCL | 88,212.96 | 88,977.94 | 89,778.67 | 90,598.81 | 91,428.77 | 92,263.03 | |
| Model | Day 7 | Day 8 | Day 9 | Day 10 | Day 11 | Day 12 | |
| Cumulative-Model (March–August) | Forecast | 94,805.08 | 95,908.24 | 97,017.89 | 98,133.72 | 99,255.59 | 100,383.41 |
| UCL | 96,511.68 | 97,883.14 | 99,269.09 | 100,669.45 | 102,084.15 | 103,513.14 | |
| LCL | 93,098.47 | 93,933.34 | 94,766.69 | 95,598.00 | 96,427.02 | 97,253.68 | |
| Model | Day 13 | Day 14 | |||||
| Cumulative-Model (March–August) | Forecast | 101,517.16 | 102,656.81 | ||||
| UCL | 104,956.35 | 106,413.66 | |||||
| LCL | 98,077.97 | 98,899.95 | |||||
Publisher’s Note: MDPI stays neutral with regard to jurisdictional claims in published maps and institutional affiliations. |
© 2020 by the authors. Licensee MDPI, Basel, Switzerland. This article is an open access article distributed under the terms and conditions of the Creative Commons Attribution (CC BY) license (http://creativecommons.org/licenses/by/4.0/).
Share and Cite
Ilie, O.-D.; Ciobica, A.; Doroftei, B. Testing the Accuracy of the ARIMA Models in Forecasting the Spreading of COVID-19 and the Associated Mortality Rate. Medicina 2020, 56, 566. https://doi.org/10.3390/medicina56110566
Ilie O-D, Ciobica A, Doroftei B. Testing the Accuracy of the ARIMA Models in Forecasting the Spreading of COVID-19 and the Associated Mortality Rate. Medicina. 2020; 56(11):566. https://doi.org/10.3390/medicina56110566
Chicago/Turabian StyleIlie, Ovidiu-Dumitru, Alin Ciobica, and Bogdan Doroftei. 2020. "Testing the Accuracy of the ARIMA Models in Forecasting the Spreading of COVID-19 and the Associated Mortality Rate" Medicina 56, no. 11: 566. https://doi.org/10.3390/medicina56110566
APA StyleIlie, O.-D., Ciobica, A., & Doroftei, B. (2020). Testing the Accuracy of the ARIMA Models in Forecasting the Spreading of COVID-19 and the Associated Mortality Rate. Medicina, 56(11), 566. https://doi.org/10.3390/medicina56110566

