Local and Systemic IL-7 Concentration in Gastrointestinal-Tract Cancers
Abstract
1. Introduction
2. Materials and Methods
2.1. Study Population
2.2. Ethical Considerations
2.3. Analytical Methods
2.4. Statistical Analysis
3. Results
3.1. Patient Characteristics
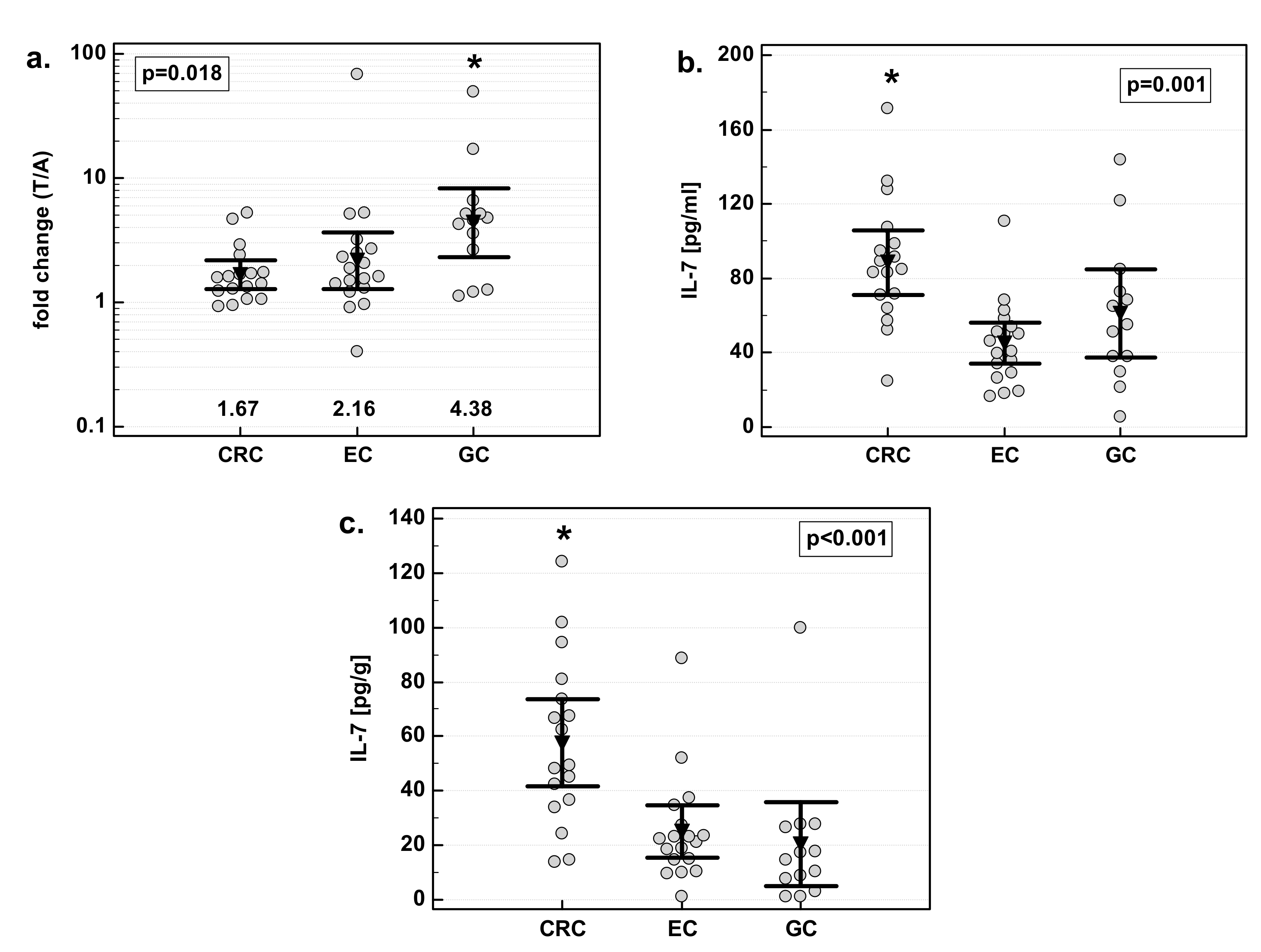
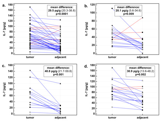
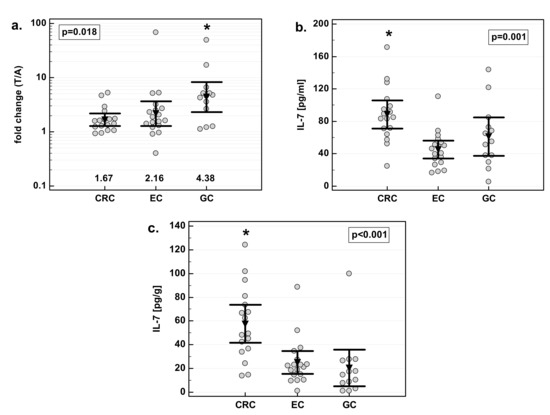
3.2. IL-7 Protein Content in GI Tumors—Effect of Tumor Location
3.3. Effect of Tumor Histological Type on IL-7
3.4. Effect of Cancer Stage on IL-7
3.5. Effect of Primary Tumor Extent on IL-7
3.6. Effect of Lymph-Node Involvement on IL-7
3.7. Effect of Distant Metastases on IL-7
3.8. Independent Predictors of IL-7 Content (Multivariate Analysis)
3.9. Correlation between Local IL-7 Concentration and Its Serum Levels
3.10. Serum Concentrations of IL-7
4. Discussion
5. Conclusions
Author Contributions
Funding
Acknowledgments
Conflicts of Interest
References
- Bray, F.; Ferlay, J.; Soerjomataram, I.; Siegel, R.L.; Torre, L.A.; Jemal, A. Global cancer statistics 2018: GLOBOCAN estimates of incidence and mortality worldwide for 36 cancers in 185 countries. CA Cancer J. Clin. 2018, 68, 394–424. [Google Scholar] [CrossRef]
- Grierson, P.; Lim, K.-H.; Amin, M. Immunotherapy in gastrointestinal cancers. J. Gastrointest. Oncol. 2017, 8, 474–484. [Google Scholar] [CrossRef] [PubMed]
- Bever, K.M.; Le, D.T. An expanding role for immunotherapy in colorectal cancer. J. Natl. Compr. Cancer Netw. 2017, 15, 401–410. [Google Scholar] [CrossRef]
- Dranoff, G. Cytokines in cancer pathogenesis and cancer therapy. Nat. Rev. Cancer 2004, 4, 11–22. [Google Scholar] [CrossRef] [PubMed]
- Conlon, K.C.; Miljkovic, M.D.; Waldmann, T.A. Cytokines in the treatment of cancer. J. Interferon Cytokine Res. 2019, 39, 6–21. [Google Scholar] [CrossRef] [PubMed]
- Sportès, C.; Babb, R.R.; Krumlauf, M.C.; Hakim, F.T.; Steinberg, S.M.; Chow, C.K.; Stetler-Stevenson, M. Phase I study of recombinant human interleukin-7 administration in subjects with refractory malignancy. Clin. Cancer Res. 2010, 16, 727–735. [Google Scholar] [CrossRef] [PubMed]
- Morre, M.; Beq, S. Interleukin-7 and immune reconstitution in cancer patients: a new paradigm for dramatically increasing overall survival. Target Oncol. 2012, 7, 55–68. [Google Scholar] [CrossRef]
- Rosenberg, S.A.; Sportès, C.; Ahmadzadeh, M.; Fry, T.J.; Ngo, L.T.; Schwarz, S.L.; Buffet, R. IL-7 administration to humans leads to expansion of CD8+ and CD4+ cells but a relative decrease of CD4+ T-regulatory cells. J. Immunother. 2006, 29, 313–319. [Google Scholar] [CrossRef]
- Gao, J.; Zhao, L.; Wan, Y.Y.; Zhu, B. Mechanism of action of IL-7 and its potential applications and limitations in cancer immunotherapy. Int. J. Mol. Sci. 2016, 16, 10267–10280. [Google Scholar] [CrossRef]
- Al-Rawi, M.A.; Mansel, R.E.; Jiang, W.G. Interleukin-7 (IL-7) and IL-7 receptor (IL-7R) signalling complex in human solid tumours. Histol. Histopathol. 2003, 18, 911–923. [Google Scholar] [CrossRef]
- Mengus, C.; le Magnen, C.; Trella, E.; Yousef, K.; Bubendorf, L.; Provenzano, M.; Provenzano, S. Elevated levels of circulating IL-7 and IL-15 in patients with early stage prostate cancer. J. Transl. Med. 2011, 9, 162. [Google Scholar] [CrossRef] [PubMed]
- Roato, I.; Caldo, D.; Godio, L.; D’Amico, L.; Giannoni, P.; Morello, E.; Ferracini, R. Bone invading NSCLC cells produce IL-7: mice model and human histologic data. BMC Cancer 2010, 10, 12. [Google Scholar] [CrossRef] [PubMed]
- Paleri, V.; Pulimood, A.; Davies, G.R.; Birchall, M.A. Interleukins 7 and 12 are expressed in head and neck squamous cancer. Clin. Otolaryngol. Allied Sci. 2001, 26, 302–306. [Google Scholar] [CrossRef]
- Kim, M.J.; Choi, S.K.; Hong, S.H.; Eun, J.W.; Nam, S.W.; Han, J.W.; You, J.S. Oncogenic IL7R is downregulated by histone deacetylase inhibitor in esophageal squamous cell carcinoma via modulation of acetylated FOXO1. Int. J. Oncol. 2018, 53, 395–403. [Google Scholar] [CrossRef] [PubMed]
- Berghella, A.M.; Contasta, I.; Pellegrini, P.; del Beato, T.; Adorno, D. Peripheral blood immunological parameters for use as markers of pre-invasive to invasive colorectal cancer. Cancer Biother. Radiopharm. 2002, 17, 43–50. [Google Scholar] [CrossRef] [PubMed]
- Crucitti, A.; Corbi, M.; Tomaiuolo, P.M.; Fanali, C.; Mazzari, A.; Lucchetti, D.; Sgambato, A. Laparoscopic surgery for colorectal cancer is not associated with an increase in the circulating levels of several inflammation-related factors. Cancer Biol. Ther. 2015, 16, 671–677. [Google Scholar] [CrossRef]
- Komura, T.; Sakai, Y.; Harada, K.; Kawaguchi, K.; Takabatake, H.; Kitagawa, H.; Kaneko, S. Inflammatory features of pancreatic cancer highlighted by monocytes/macrophages and CD4+ T cells with clinical impact. Cancer Sci. 2015, 106, 672–686. [Google Scholar] [CrossRef]
- Provatopoulou, X.; Georgiadou, D.; Sergentanis, T.N.; Kalogera, E.; Spyridakis, J.; Gounaris, A.; Zografos, G.N. Interleukins as markers of inflammation in malignant and benign thyroid disease. Inflamm. Res. 2014, 63, 667–674. [Google Scholar] [CrossRef]
- Chen, Z.Y.; He, W.Z.; Peng, L.X.; Jia, W.H.; Guo, R.P.; Xia, L.P.; Xia, L.P.; Qian, C.N. A prognostic classifier consisting of 17 circulating cytokines is a novel predictor of overall survival for metastatic colorectal cancer patients. Int. J. Cancer 2015, 136, 584–592. [Google Scholar] [CrossRef]
- Lambeck, A.J.; Crijns, A.P.; Leffers, N.; Sluiter, W.J.; ten Hoor, K.A.; Braid, M.; Kast, W.M. Serum cytokine profiling as a diagnostic and prognostic tool in ovarian cancer: A potential role for interleukin 7. Clin. Cancer Res. 2007, 13, 2385–2391. [Google Scholar] [CrossRef]
- Krzystek-Korpacka, M.; Zawadzki, M.; Neubauer, K.; Bednarz-Misa, I.; Górska, S.; Wiśniewski, J.; Witkiewicz, W.; Gamian, A. Elevated systemic interleukin-7 in patients with colorectal cancer and individuals at high risk of cancer: association with lymph node involvement and tumor location in the right colon. Cancer Immunol. Immunother. 2017, 66, 171–179. [Google Scholar] [CrossRef] [PubMed]
- Greenstein, A.E.; Zavodovskaya, M.; Velasquez, M.; Weissburg, P.; Juric, V.; Mikels-Vigdal, A.; Brachmann, C. Effect of andecaliximab (anti-MMP9) on proteolysis of IL-7 in vitro, TCR diversity in mice, and serum IL-7 in gastric cancer patients in combination with chemotherapy. J. Clin. Oncol. 2018, 36 (Suppl. 5), 101. [Google Scholar] [CrossRef]
- Lin, J.; Zhu, Z.; Xiao, H.; Wakefield, M.R.; Ding, V.A.; Bai, Q.; Fang, Y. The role of IL-7 in immunity and cancer. Anticancer Res. 2017, 37, 963–967. [Google Scholar] [CrossRef]
- Krzystek-Korpacka, M.; Zawadzki, M.; Szufnarowski, K.; Bednarz-Misa, I.; Gorska, S.; Witkiewicz, W.; Gamian, A. The perioperative dynamics of IL-7 following robot-assisted and open colorectal surgery. Sci. Rep. 2018, 8, 9126. [Google Scholar] [CrossRef]
- Lundström, W.; Fewkes, N.; Mackall, C.L. IL-7 in human health and disease. Semin. Immunol 2012, 24, 218–224. [Google Scholar] [CrossRef]
- Sobin, L.H.; Gospodarowicz, M.K.; Wittekind, C. (Eds.) TNM Classification of Malignant Tumours, 7th ed.; UICC: Geneva, Switzerland, 2010; pp. 63–77. [Google Scholar]
- Zhang, W.; Du, J.Y.; Yu, Q.; Jin, J.O. Interleukin-7 produced by intestinal epithelial cells in response to Citrobacter rodentium infection plays a major role in innate immunity against this pathogen. Infect. Immun. 2015, 83, 3213–3223. [Google Scholar] [CrossRef]
- Ming, J.; Zhang, Q.F.; Jiang, Y.D.; Jiang, G.C.; Qiu, X.S. Antilymphangiogenesis effects of a specific antiinterleukin 7 receptor antibody in lung cancer model in vivo. Mol. Carcinog. 2015, 54, 148–155. [Google Scholar] [CrossRef]
- Liu, Z.H.; Wang, M.H.; Ren, H.J.; Qu, W.; Sun, L.M.; Zhang, Q.F.; Wang, E.H. Interleukin 7 signaling prevents apoptosis by regulating bcl-2 and bax via the p53 pathway in human non-small cell lung cancer cells. Int. J. Clin. Exp. Pathol. 2014, 7, 870–881. [Google Scholar]
- Al-Rawi, M.A.; Watkins, G.; Mansel, R.E.; Jiang, W.G. Interleukin 7 upregulates vascular endothelial growth factor D in breast cancer cells and induces lymphangiogenesis in vivo. Br. J. Surg. 2005, 92, 305–310. [Google Scholar] [CrossRef]
- Maeurer, M.J.; Walter, W.; Martin, D.; Zitvogel, L.; Elder, E.; Storkus, W.; Lotze, M.T. Interleukin-7 (IL-7) in colorectal cancer: IL-7 is produced by tissues from colorectal cancer and promotes preferential expansion of tumour infiltrating lymphocytes. Scand. J. Immunol. 1997, 45, 182–192. [Google Scholar] [CrossRef]
- Murphy, W.J.; Back, T.C.; Conlon, K.C.; Komschlies, K.L.; Ortaldo, J.R.; Sayers, T.J.; Wiltrout, R.H.; Longo, D.L. Antitumor effects of interleukin-7 and adoptive immunotherapy on human colon carcinoma xenografts. J. Clin. Investig. 1993, 92, 1918–1924. [Google Scholar] [CrossRef] [PubMed]
- Gou, H.F.; Huang, J.; Shi, H.S.; Chen, X.C.; Wang, Y.S. Chemo-immunotherapy with oxaliplatin and interleukin-7 inhibits colon cancer metastasis in mice. PLoS ONE 2014, 9, e85789l. [Google Scholar] [CrossRef] [PubMed]
- Bartlett, A.; Sanders, A.J.; Ruge, F.; Harding, K.G.; Jiang, W.G. Potential implications of interleukin-7 in chronic wound healing. Exp. Ther. Med. 2016, 12, 33–40. [Google Scholar] [CrossRef] [PubMed]
- Shi, L.Z.; Fu, T.; Guan, B.; Chen, J.; Blando, J.M.; Allison, J.P.; Xiong, L.; Subudhi, S.K.; Gao, J.; Sharma, P. Interdependent IL-7 and IFN-γ signalling in T-cell controls tumour eradication by combined α-CTLA-4+α-PD-1 therapy. Nat. Commun. 2016, 7, 12335. [Google Scholar] [CrossRef] [PubMed]
- Quan, X.; Ding, Y.; Feng, R.; Zhu, X.; Zhang, Q. Expression profile of cytokines in gastric cancer patients using proteomic antibody microarray. Oncol. Lett. 2017, 14, 7360–7366. [Google Scholar] [CrossRef] [PubMed][Green Version]
- Yamaoka, Y.; Kita, M.; Kodama, T.; Sawai, N.; Imanishi, J. Helicobacter pylori cagA gene and expression of cytokine messenger RNA in gastric mucosa. Gastroenterology 1996, 110, 1744–1752. [Google Scholar] [CrossRef] [PubMed]
- Oka, M.; Hirose, K.; Iizuka, N.; Aoyagi, K.; Yamamoto, K.; Abe, T.; Hazama, S.; Suzuki, T. Cytokine mRNA expression patterns in human esophageal cancer cell lines. J. Interferon. Cytokine Res. 1995, 15, 1005–1009. [Google Scholar] [CrossRef]
- Huang, H. Matrix metalloproteinase-9 (MMP-9) as a cancer biomarker and MMP-9 biosensors: recent advances. Sensors 2018, 18, 3249. [Google Scholar] [CrossRef]
- Shive, C.L.; Mudd, J.C.; Funderburg, N.T.; Sieg, S.F.; Kyi, B.; Bazdar, D.A.; Hardacre, J. Inflammatory cytokines drive CD4+ T-cell cycling and impaired responsiveness to interleukin 7: implications for immune failure in HIV disease. J. Infect. Dis. 2014, 210, 619–629. [Google Scholar] [CrossRef]
- Wang, D.; DuBois, R.N. Immunosuppression associated with chronic inflammation in the tumor microenvironment. Carcinogenesis 2015, 36, 1085–1093. [Google Scholar] [CrossRef]









| Characteristics | EC | GC | CRC | p-Value |
|---|---|---|---|---|
| N | 18 | 13 | 17 | - |
| Sex (F/M), n | 8/10 | 3/10 | 6/11 | 0.471 χ2 |
| Age (yrs.), mean ± SD | 64.1 ± 5.6 | 68.2 ± 9.8 | 68.2 ± 11.5 | 0.331 A |
| Histology | SCC | ADC | ADC | - |
| TNM 1 stage (1/2/3/4), n | 2/6/9/1 | 2/3/5/3 | 5/8/4/0 | 0.147 χ2 |
| Tumor extension, T (1/2/3/4), n | 1/6/9/2 | 1/1/9/2 | 1/6/10/0 | 0.495 χ2 |
| Lymph-node metastasis, N (0/1), n | 9/9 | 5/8 | 13/4 | 0.092 χ2 |
| Distant metastases, M (0/1), n | 17/1 | 10/3 | 17/0 | 0.066 χ2 |
| Characteristics | CONT | EC | CC | GC | P |
|---|---|---|---|---|---|
| N | 54 | 60 | 28 | 28 | - |
| Sex (F/M), n | 23/31 | 20/40 | 7/21 | 9/19 | 0.427 χ2 |
| Age (yrs.), mean ± SD | 65 ± 8 | 63 ± 9 | 63 ± 9 | 64 ± 10 | 0.237 A |
| Histology | - | SCC | ADC | ADC | - |
| TNM 1 stage (1/2/3/4), n | - | 6/11/15/28 | 0/2/4/22 | 1/5/5/17 | 0.132 χ2 |
| Tumor extension, T (1/2/3/4), n | - | 6/10/14/30 | 0/1/3/24 | 1/2/9/16 | 0.030 χ2 |
| Lymph node metastasis, N (0/1), n | - | 19/41 | 2/26 | 6/22 | 0.039 χ2 |
| Distant metastases, M (0/1), n | - | 33/28 | 6/22 | 11/17 | 0.017 χ2 |
| Dependent Variable | Independent Variables | Regression Equation | Model Goodness of Fit (R2) | Analysis of Variance (F-Ratio, p) | |
|---|---|---|---|---|---|
| Constant, Coefficients b | t, p, rp | ||||
| Fold change in IL-7 concentration (log) | GC stage N | const.: 0.235 | t = 3.94 | 0.257 | F = 15.5, p = 0.0003 |
| p < 0.001 | |||||
| coeff.: 0.406 | |||||
| rp = 0.51 | |||||
| IL-7 concentration in tumor tissue (log) | CRC histology | const.: 1.636 | t = 3.59 | 0.219 | F = 12.9, p = 0.0008 |
| p < 0.001 | |||||
| coeff.: 0.278 | |||||
| rp = 0.47 | |||||
| IL-7 concentration in adjacent tissue (log) | CRC stage N | const.: 1.173 | t = 4.1 | 0.268 | F = 16.8, p = 0.0002 |
| p < 0.001 | |||||
| coeff.: 0.518 | |||||
| rp = 0.52 | |||||
© 2019 by the authors. Licensee MDPI, Basel, Switzerland. This article is an open access article distributed under the terms and conditions of the Creative Commons Attribution (CC BY) license (http://creativecommons.org/licenses/by/4.0/).
Share and Cite
Bednarz-Misa, I.; Diakowska, D.; Krzystek-Korpacka, M. Local and Systemic IL-7 Concentration in Gastrointestinal-Tract Cancers. Medicina 2019, 55, 262. https://doi.org/10.3390/medicina55060262
Bednarz-Misa I, Diakowska D, Krzystek-Korpacka M. Local and Systemic IL-7 Concentration in Gastrointestinal-Tract Cancers. Medicina. 2019; 55(6):262. https://doi.org/10.3390/medicina55060262
Chicago/Turabian StyleBednarz-Misa, Iwona, Dorota Diakowska, and Małgorzata Krzystek-Korpacka. 2019. "Local and Systemic IL-7 Concentration in Gastrointestinal-Tract Cancers" Medicina 55, no. 6: 262. https://doi.org/10.3390/medicina55060262
APA StyleBednarz-Misa, I., Diakowska, D., & Krzystek-Korpacka, M. (2019). Local and Systemic IL-7 Concentration in Gastrointestinal-Tract Cancers. Medicina, 55(6), 262. https://doi.org/10.3390/medicina55060262

