Lower Limb Maneuver Investigation of Chasse Steps Among Male Elite Table Tennis Players
Abstract
1. Introduction
2. Methods
2.1. Participants
2.2. Experimental Setup and Data Processing
2.3. Date Recording and Statistics Analysis
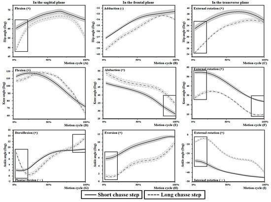
3. Results
4. Discussion
5. Conclusions
Author Contributions
Funding
Conflicts of Interest
References
- Zhang, Z. Biomechanical Analysis and Model Development Applied to Table Tennis Forehand Strokes. Ph.D. Thesis, Loughborough University, Loughborough, UK, 2017. [Google Scholar]
- Nikolić, I.; Furjan–Mandić, G.; Kondrič, M. The relationship of morphology and motor abilities to specific table tennis tasks in youngsters. Coll. Antropol. 2014, 38, 241–245. [Google Scholar]
- Yin, Y.; Qu, F. The analysis of plantar biomechanics at the three footwork in table tennis. J. Beijing Sport Univ. 2013, 5, 49–53. [Google Scholar]
- Malagoli Lanzoni, I.; Di Michele, R.; Merni, F. A notational analysis of shot characteristics in top-level table tennis players. Eur. J. Sport Sci. 2014, 14, 309–317. [Google Scholar] [CrossRef]
- Malagoli Lanzoni, I.; Lobietti, R.; Merni, F. Footwork techniques used in table tennis: A qualitative analysis. In Proceedings of the 10th ITTF Sports Science Congress, Zagreb, Croatia, 18–20 May 2007; pp. 401–408. [Google Scholar]
- Fang, Q. Comparisons of foot pressure between teenager girls and young female adults. Phys. Act. Health 2018, 2, 24–28. [Google Scholar] [CrossRef][Green Version]
- Elliott, B. Biomechanics and tennis. Br. J. Sports Med. 2006, 40, 392–396. [Google Scholar] [CrossRef]
- Qian, J.; Zhang, Y.; Baker, J.S.; Gu, Y. Effects of performance level on lower limb kinematics during table tennis forehand loop. Acta Bioeng. Biomech. 2016, 18, 149. [Google Scholar]
- Girard, O.; Millet, G.P. Neuromuscular fatigue in racquet sports. Phys. Med. Rehabil. Clin. N. Am. 2009, 20, 161–173. [Google Scholar] [CrossRef]
- Elliott, B.K.R. The Art and Science of Tennis; Saunders College Publications: New York, NJ, USA, 1983. [Google Scholar]
- Landlinger, J.; Lindinger, S.; Stoggl, T.; Wagner, H.; Muller, E. Key factors and timing patterns in the tennis forehand of different skill levels. J. Sports Sci Med. 2010, 9, 643–651. [Google Scholar]
- Girard, O.; Micallef, J.P.; Millet, G.P. Lower-limb activity during the power serve in tennis: Effects of performance level. Med. Sci. Sports Exerc. 2005, 37, 1021–1029. [Google Scholar]
- Malagoli Lanzoni, I.; Bartolomei, S.; Di Michele, R.; Fantozzi, S. A kinematic comparison between long-line and cross-court top spin forehand in competitive table tennis players. J. Sports Sci. 2018, 36, 2637–2643. [Google Scholar] [CrossRef]
- Iino, Y.; Kojima, T. Kinematics of table tennis topspin forehands: Effects of performance level and ball spin. J. Sports Sci. 2009, 27, 1311–1321. [Google Scholar] [CrossRef] [PubMed]
- Seeley, M.K.; Funk, M.D.; Denning, W.M.; Hager, R.L.; Hopkins, J.T. Tennis forehand kinematics change as post-impact ball speed is altered. Sports Biomech. 2011, 10, 415–426. [Google Scholar] [CrossRef] [PubMed]
- Iino, Y.; Kojima, T. Torque acting on the pelvis about its superior-inferior axis through the hip joints during a tennis forehand stroke. J. Human Mov. Stud. 2001, 40, 269–290. [Google Scholar]
- Elliott, B.C.; Marshall, R.N.; Noffal, G.J. Contributions of upper limb segment rotations during the power serve in tennis. J. Appl. Biomech. 1995, 11, 433–442. [Google Scholar] [CrossRef]
- Van Gheluwe, B.; Hebbelinck, M. Muscle actions and ground reaction forces in tennis. Int. J. Sport Biomech. 1986, 2, 88–99. [Google Scholar] [CrossRef]
- Hutchinson, M.R.; Laprade, R.F.; Burnett, Q.M.; Moss, R.; Terpstra, J. Injury surveillance at the USTA Boys’ Tennis Championships: A 6-yr study. Med. Sci. Sports Exerc. 1995, 27, 826–831. [Google Scholar] [CrossRef] [PubMed][Green Version]
- Kibler, W.B.; Safran, M. Tennis injuries. In Epidemiology of Pediatric Sports Injuries; Karger Publishers: Basel, Switzerland, 2005; Volume 48, pp. 120–137. [Google Scholar]
- Kibler, W.B. Biomechanical analysis of the shoulder during tennis activities. Clin. Sports Med. 1995, 14, 79–85. [Google Scholar] [PubMed]
- Kibler, W.B. Current concepts of shoulder biomechanics for tennis. Tennis Sports Med. Sci. 1995, 14, 59–72. [Google Scholar]
- Lam, W.K.; Fan, J.X.; Zheng, Y.; Lee, W.C.C. Joint and plantar loading in table tennis topspin forehand with different footwork. Eur. J. Sport Sci. 2018, 19, 1–9. [Google Scholar] [CrossRef]
- Shehab, R.; Mirabelli, M.; Gorenflo, D.; Fetters, M.D. Pre-exercise stretching and sports related injuries: Knowledge, attitudes and practices. Clin. J. Sport Med. 2006, 16, 228–231. [Google Scholar] [CrossRef]
- Herman, K.; Barton, C.; Malliaras, P.; Morrissey, D. The effectiveness of neuromuscular warm-up strategies, that require no additional equipment, for preventing lower limb injuries during sports participation: A systematic review. BMC Med. 2012, 10, 75. [Google Scholar] [CrossRef] [PubMed]
- Anderson, M.B. Comparison of muscle patterning in the overarm throw and tennis serve. Res. Quart. Am. Alliance Health Phys. Educ. Recreat. Dance 1979, 50, 541–553. [Google Scholar] [CrossRef]
- Miyashita, M.; Tsunoda, T.; Sakurai, S.; Nishizono, H.; Mizuno, T. Muscular activities in the tennis serve and overhand throwing. Scand. J. Sports Sci. 1980, 2, 52–58. [Google Scholar]
- Chow, J.W.; Shim, J.H.; Lim, Y.T. Lower trunk muscle activity during the tennis serve. J. Sci. Med. Sport 2003, 6, 512–518. [Google Scholar] [CrossRef]
- Brody, L.R. On understanding gender differences in the expression of emotion. In Human Feelings: Explorations in Affect Development and Meaning; Ablon, S.L., Brown, D., Khantzian, E.J., Mack, J.E., Eds.; Analytic Press: Hillsdale, NJ, USA, 1993; pp. 87–121. [Google Scholar]
- Zakas, A. Bilateral isokinetic peak torque of quadriceps and hamstring muscles in professional soccer players with dominance on one or both two sides. J. Sports Med. Phys. Fitness 2006, 46, 28. [Google Scholar]
- Peters, M.; Murphy, K. Cluster analysis reveals at least three, and possibly five distinct handedness groups. Neuropsychologia 1992, 30, 373. [Google Scholar] [CrossRef]
- Li, L.; Caldwell, G.E. Muscle coordination in cycling: Effect of surface incline and posture. J. Appl. Physiol. 1998, 85, 927–934. [Google Scholar] [CrossRef] [PubMed]
- Cohen, J. Statistical Power Analysis for the Behavioral Sciences; Hilsdale NJ, Lawrence Earlbaum Associates: Mahwah, NJ, USA, 1988. [Google Scholar]
- Gentili, R.; Papaxanthis, C.; Pozzo, T. Improvement and generalization of arm motor performance through motor imagery practice. Neuroscience 2006, 137, 761–772. [Google Scholar] [CrossRef]
- Fleisig, G.; Nicholls, R.; Elliott, B.; Escamilla, R. Kinematics used by world class tennis players to produce high-velocity serves. Sports Biomech. 2003, 2, 51–64. [Google Scholar] [CrossRef]
- Komi, P.V.; Bosco, C. Utilization of stored elastic energy in leg extensor muscles by men and women. Med. Sci. Sports 1978, 10, 261–265. [Google Scholar] [PubMed]
- Walshe, A.D.; Wilson, G.J.; Ettema, G.J. Stretch-shorten cycle compared with isometric preload: Contributions to enhanced muscular performance. J. Appl. Physiol. 1998, 84, 97–106. [Google Scholar] [CrossRef]
- Elliott, B.; Fleisig, G.; Nicholls, R.; Escamilia, R. Technique effects on upper limb loading in the tennis serve. J. Sci. Med. Sport 2003, 6, 76–87. [Google Scholar] [CrossRef]
- Fong, D.T.; Ha, S.C.; Mok, K.M.; Chan, C.W.; Chan, K.M. Kinematics analysis of ankle inversion ligamentous sprain injuries in sports: Five cases from televised tennis competitions. Am. J. Sports Med. 2012, 40, 2627–2632. [Google Scholar] [CrossRef] [PubMed]
- Kaufman, K.R.; Brodine, S.K.; Shaffer, R.A.; Johnson, C.W.; Cullison, T.R. The effect of foot structure and range of motion on musculoskeletal overuse injuries. Am. J. Sports Med. 1999, 27, 585–593. [Google Scholar] [CrossRef]
- Beynnon, B.D.; Renström, P.A.; Alosa, D.M.; Baumhauer, J.F.; Vacek, P.M. Ankle ligament injury risk factors: A prospective study of college athletes. J. Orthop. Res. 2001, 19, 213–220. [Google Scholar] [CrossRef]
- Ball, K.A.; Best, R.J. Different centre of pressure patterns within the golf stroke II: Group-based analysis. J. Sports Sci. 2007, 25, 771–779. [Google Scholar] [CrossRef] [PubMed]
- Krivickas, L.S.; Feinberg, J.H. Lower extremity injuries in college athletes: Relation between ligamentous laxity and lower extremity muscle tightness. Arch. Phys. Med. Rehabil. 1996, 77, 1139–1143. [Google Scholar] [CrossRef]
- Zazulak, B.T.; Hewett, T.E.; Reeves, N.P.; Goldberg, B.; Cholewicki, J. The effects of core proprioception on knee injury. Am. J. Sports Med. 2007, 35, 368–373. [Google Scholar] [CrossRef] [PubMed]
- Feng, Y.; Song, Y. The categories of AFO and its effect on patients with foot impair: A systemic review. Phys. Act. Health 2017, 1, 8–16. [Google Scholar] [CrossRef]
- Kondrič, M.; Matković, B.; Furjan-Mandić, G.; Hadžić, V.; Dervišević, E. Injuries in racket sports among Slovenian players. Coll. Antropol. 2011, 35, 413–417. [Google Scholar] [PubMed]
- Murray, K.J. Hypermobility disorders in children and adolescents. Best Pract. Res. Clin. Rheumatol. 2006, 20, 329–351. [Google Scholar] [CrossRef] [PubMed]
- Ramesh, R.; Von Arx, O.; Azzopardi, T.; Schranz, P.J. The risk of anterior cruciate ligament rupture with generalised joint laxity. Bone Jt. J. 2005, 87, 800–803. [Google Scholar] [CrossRef] [PubMed]
,
represent the footwork orders for chasse steps.
,
represent the footwork orders for chasse steps.



| Short or Long Chasse Steps | Mean ± SD | SEM | CI | ES | |
|---|---|---|---|---|---|
| Hip | |||||
| X | Short | 9.57 ± 1.30 | 0.38 | (8.74, 10.40) | 0.83 |
| Long | 15.11 ± 2.34 * | 0.68 | (13.62, 16.60) | ||
| Y | Short | 4.91± 1.26 | 0.36 | (4.11, 5.71) | 0.31 |
| Long | 4.12 ± 1.17 | 0.34 | (3.38, 4.86) | ||
| Z | Short | 4.70 ± 1.06 | 0.31 | (4.03, 5.38) | 0.91 |
| Long | 11.08 ± 1.82 * | 0.52 | (9.92, 12.23) | ||
| Knee | |||||
| X | Short | 42.23 ± 1.60 | 0.46 | (41.21, 43.24) | 0.20 |
| Long | 42.87 ± 1.60 | 0.46 | (41.85, 43.88) | ||
| Y | Short | 20.70 ± 1.67 | 0.48 | (19.64, 21.77) | 0.83 |
| Long | 16.22 ± 1.27 * | 0.37 | (15.41, 17.03) | ||
| Z | Short | 26.00 ± 1.37 | 0.40 | (25.13, 26.87) | 0.22 |
| Long | 25.39 ± 1.39 | 0.40 | (24.51, 26.27) | ||
| Ankle | |||||
| X | Short | 7.66 ± 1.11 | 0.32 | (6.95, 8.36) | 0.06 |
| Long | 7.10 ± 0.71 | 0.21 | (6.64, 7.55) | ||
| Y | Short | 3.82 ± 1.16 | 0.34 | (3.08, 4.56) | 0.95 |
| Long | 10.00 ± 0.80 * | 0.23 | (9.49, 10.51) | ||
| Z | Short | 14.11 ± 3.83 | 1.12 | (11.68, 16.55) | 0.94 |
| Long | 34.37 ± 3.22 * | 0.93 | (32.32, 36.42) | ||
| Short Chasse Step | Long Chasse Step | ES | |||||||
|---|---|---|---|---|---|---|---|---|---|
| Mean ± SD | SEM | CI | Mean ± SD | SEM | CI | ||||
| TI | Hip | X | 60.16 ± 2.42 | 0.70 | (58.62, 61.70) | 48.85 ± 3.22 * | 0.93 | (46.80, 50.89) | 0.89 |
| Y | −37.78 ± 0.94 | 0.27 | (−38.38, −37.18) | −38.30 ± 1.39 | 0.40 | (−39.18, −37.41) | 0.21 | ||
| Z | 33.01 ± 1.57 | 0.45 | (32.02, 34.01) | 24.53 ± 0.36 * | 0.10 | (24.30, 24.76) | 0.97 | ||
| Knee | X | 109.79 ± 3.38 | 0.97 | (107.65, 111.94) | 107.95 ± 1.42 | 0.41 | (107.05, 108.86) | 0.33 | |
| Y | 49.96 ± 2.00 | 0.58 | (48.69, 51.23) | 51.08 ± 2.04 | 0.59 | (49.78, 52.38) | 0.27 | ||
| Z | 54.15 ± 1.75 | 0.51 | (53.04, 55.27) | 29.26 ± 1.77 * | 0.51 | (28.13, 30.39) | 0.99 | ||
| Ankle | X | 2.06 ± 1.31 | 0.38 | (1.23, 2.89) | 8.21 ± 1.07 * | 0.31 | (7.53, 8.89) | 0.93 | |
| Y | 5.81 ± 1.02 | 0.29 | (5.16, 6.46) | 1.48 ± 0.75 * | 0.22 | (1.00, 1.96) | 0.92 | ||
| Z | −27.10 ± 2.43 | 0.70 | (−28.64, −25.56) | −11.72 ± 1.90 * | 0.55 | (−12.92, −10.51) | 0.96 | ||
| BE | Hip | X | 64.45 ± 2.82 | 0.81 | (62.66, 66.24) | 55.14 ± 3.26 * | 0.94 | (53.07, 57.20) | 0.84 |
| Y | −32.86 ± 1.49 | 0.43 | (−33.81, −31.92) | −33.72 ± 2.03 | 0.59 | (−35.01, −32.43) | 0.23 | ||
| Z | 35.33 ± 1.59 | 0.46 | (34.32, 36.34) | 35.60 ± 2.02 | 0.58 | (34.32, 36.88) | 0.07 | ||
| Knee | X | 69.24 ± 1.85 | 0.53 | (68.06, 70.41) | 69.08 ± 2.13 | 0.61 | (67.73, 70.44) | 0.04 | |
| Y | 29.25 ± 1.88 | 0.54 | (28.06, 30.45) | 34.86 ± 1.45 * | 0.42 | (33.94, 35.78) | 0.86 | ||
| Z | 28.77 ± 1.95 | 0.56 | (27.54, 30.00) | 9.86 ± 0.65 * | 0.19 | (9.45, 10.27) | 0.99 | ||
| Ankle | X | 9.72 ± 0.68 | 0.20 | (9.29, 10.15) | 10.39 ± 0.54 * | 0.15 | (10.05, 10.73) | 0.48 | |
| Y | 9.63 ± 0.90 | 0.26 | (9.06, 10.20) | 9.99 ± 0.88 | 0.26 | (9.42, 10.55) | 0.20 | ||
| Z | −41.21 ± 2.42 | 0.70 | (−42.75, −39.67) | −40.59 ± 3.23 | 0.93 | (−42.64, −38.54) | 0.11 | ||
© 2019 by the authors. Licensee MDPI, Basel, Switzerland. This article is an open access article distributed under the terms and conditions of the Creative Commons Attribution (CC BY) license (http://creativecommons.org/licenses/by/4.0/).
Share and Cite
Yu, C.; Shao, S.; Awrejcewicz, J.; Baker, J.S.; Gu, Y. Lower Limb Maneuver Investigation of Chasse Steps Among Male Elite Table Tennis Players. Medicina 2019, 55, 97. https://doi.org/10.3390/medicina55040097
Yu C, Shao S, Awrejcewicz J, Baker JS, Gu Y. Lower Limb Maneuver Investigation of Chasse Steps Among Male Elite Table Tennis Players. Medicina. 2019; 55(4):97. https://doi.org/10.3390/medicina55040097
Chicago/Turabian StyleYu, Changxiao, Shirui Shao, Jan Awrejcewicz, Julien S. Baker, and Yaodong Gu. 2019. "Lower Limb Maneuver Investigation of Chasse Steps Among Male Elite Table Tennis Players" Medicina 55, no. 4: 97. https://doi.org/10.3390/medicina55040097
APA StyleYu, C., Shao, S., Awrejcewicz, J., Baker, J. S., & Gu, Y. (2019). Lower Limb Maneuver Investigation of Chasse Steps Among Male Elite Table Tennis Players. Medicina, 55(4), 97. https://doi.org/10.3390/medicina55040097

