Analysis of Volatile Metabolome and Transcriptome in Sweet Basil Under Drought Stress
Abstract
1. Introduction
2. Materials and Methods
2.1. Plants and Drought Treatment
2.2. Volatile Metabolic Profiling Analysis
2.3. Transcriptome Sequencing
2.4. Bioinformatics Analysis
2.5. Assessment of Physiological and Biochemical Properties
2.6. Quantitative Real-Time PCR Validation
3. Results
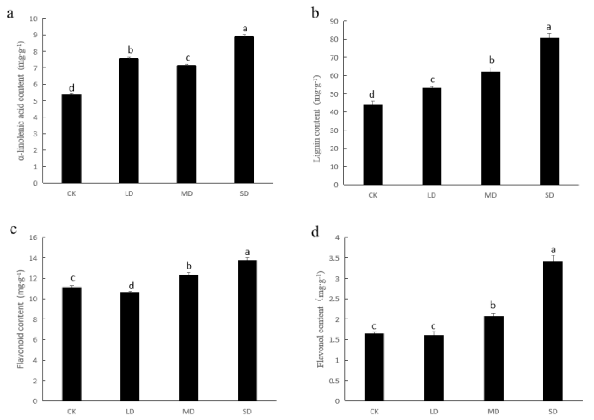
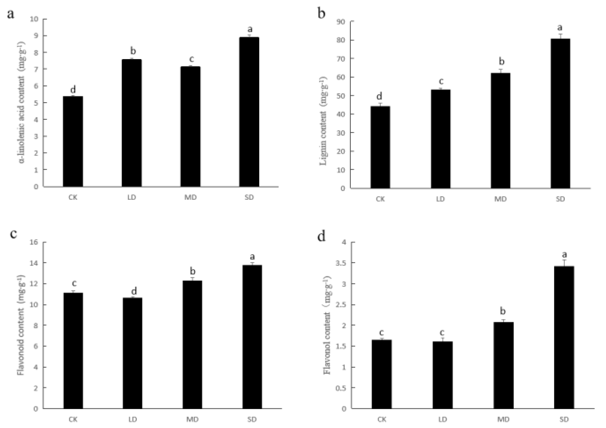
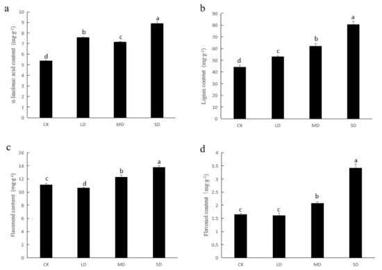
3.1. The Physiological and Biochemical Characteristics of Basil
3.2. Volatile Metabolome Analysis of Sweet Basil Under Four Different Levels of Drought Stress
3.3. Transcriptome Analysis of Sweet Basil Under Four Different Gradients of Drought Stress
3.4. Verification of Metabolite Levels
3.5. Responses of Key Genes to α-Linolenic Acid and Phenylpropanoid Pathways
3.6. Verification of Differential Gene Expression Using Quantitative Real-Time RT-PCR
4. Discussion
5. Conclusions
Supplementary Materials
Author Contributions
Funding
Data Availability Statement
Conflicts of Interest
References
- Grayson, M. Agriculture and drought. Nature 2013, 501, S1. [Google Scholar] [CrossRef] [PubMed]
- Dietz, K.J.; Zorb, C.; Geilfus, C.M. Drought and crop yield. Plant Biol. 2021, 23, 881–893. [Google Scholar] [CrossRef] [PubMed]
- Ault, T.R. On the essentials of drought in a changing climate. Science 2020, 368, 256–260. [Google Scholar] [CrossRef] [PubMed]
- González, E.M. Drought Stress Tolerance in Plants. Int. J. Mol. Sci. 2023, 24, 6562. [Google Scholar] [CrossRef]
- Hura, T.; Hura, K.; Ostrowska, A. Drought-Stress Induced Physiological and Molecular Changes in Plants. Int. J. Mol. Sci. 2022, 23, 4698. [Google Scholar] [CrossRef] [PubMed]
- Licaj, I.; Felice, D.; Germinario, C.; Zanotti, C.; Fiorillo, A.; Marra, M.; Rocco, M. An artificial intelligence-integrated analysis of the effect of drought stress on root traits of “modern” and “ancient” wheat varieties. Front. Plant Sci. 2023, 14, 1241281. [Google Scholar] [CrossRef] [PubMed]
- Sehar, S.; Adil, M.F.; Zeeshan, M.; Holford, P.; Cao, F.; Wu, F.; Wang, Y. Mechanistic Insights into Potassium-Conferred Drought Stress Tolerance in Cultivated and Tibetan Wild Barley: Differential Osmoregulation, Nutrient Retention, Secondary Metabolism and Antioxidative Defense Capacity. Int. J. Mol. Sci. 2021, 22, 13100. [Google Scholar] [CrossRef]
- Rehman, A.; Azhar, M.T.; Hinze, L.; Qayyum, A.; Li, H.; Peng, Z.; Qin, G.; Jia, Y.; Pan, Z.; He, S.; et al. Insight into abscisic acid perception and signaling to increase plant tolerance to abiotic stress. J. Plant Interact. 2021, 16, 222–237. [Google Scholar] [CrossRef]
- Yan, J.; Ninkuu, V.; Fu, Z.; Yang, T.; Ren, J.; Li, G.; Yang, X.; Zeng, H. OsOLP1 contributes to drought tolerance in rice by regulating ABA biosynthesis and lignin accumulation. Front. Plant Sci. 2023, 14, 1163939. [Google Scholar] [CrossRef]
- Caine, R.S.; Harrison, E.L.; Sloan, J.; Flis, P.M.; Fischer, S.; Khan, M.S.; Nguyen, P.T.; Nguyen, L.T.; Gray, J.E.; Croft, H. The influences of stomatal size and density on rice abiotic stress resilience. New Phytol. 2023, 237, 2180–2195. [Google Scholar] [CrossRef]
- Caine, R.S.; Yin, X.; Sloan, J.; Harrison, E.L.; Mohammed, U.; Fulton, T.; Biswal, A.K.; Dionora, J.; Chater, C.C.; Coe, R.A.; et al. Rice with reduced stomatal density conserves water and has improved drought tolerance under future climate conditions. New Phytol. 2019, 221, 371–384. [Google Scholar] [CrossRef] [PubMed]
- Giri, J.; Parida, S.K.; Raghuvanshi, S.; Tyagi, A.K. Emerging Molecular Strategies for Improving Rice Drought Tolerance. Curr. Genom. 2021, 22, 16–25. [Google Scholar] [CrossRef]
- Chen, K.; Du, K.; Shi, Y.; Yin, L.; Shen, W.H.; Yu, Y.; Liu, B.; Dong, A. H3K36 methyltransferase SDG708 enhances drought tolerance by promoting abscisic acid biosynthesis in rice. New Phytol. 2021, 230, 1967–1984. [Google Scholar] [CrossRef]
- Li, W.; Wang, Y.; Ren, H.; Guo, Z.; Li, N.; Zhao, C.; Xie, Z. Transcriptomic and physiological analyses identifying Lanzhou lily (Lilium davidii var. unicolor) drought adaptation strategies. Hortic. Plant J. 2023, 9, 145–157. [Google Scholar] [CrossRef]
- Hu, H.; Fei, X.; He, B.; Luo, Y.; Qi, Y.; Wei, A. Integrated Analysis of Metabolome and Transcriptome Data for Uncovering Flavonoid Components of Zanthoxylum bungeanum Maxim. Leaves Under Drought Stress. Front. Nutr. 2022, 8, 801244. [Google Scholar] [CrossRef]
- Li, M.; Li, H.; Sun, A.; Wang, L.; Ren, C.; Liu, J.; Gao, X. Transcriptome analysis reveals key drought-stress-responsive genes in soybean. Front. Genet. 2022, 13, 1060529. [Google Scholar] [CrossRef]
- You, J.; Zhang, Y.; Liu, A.; Li, D.; Wang, X.; Dossa, K.; Zhou, R.; Yu, J.; Zhang, Y.; Wang, L.; et al. Transcriptomic and metabolomic profiling of drought-tolerant and susceptible sesame genotypes in response to drought stress. BMC Plant Biol. 2019, 19, 267. [Google Scholar] [CrossRef] [PubMed]
- Wu, R.; Xu, B.; Shi, F. Leaf transcriptome analysis of Medicago ruthenica revealed its response and adaptive strategy to drought and drought recovery. BMC Plant Biol. 2022, 22, 562. [Google Scholar] [CrossRef]
- Carocho, M.; Barros, L.; Barreira, J.C.; Calhelha, R.C.; Sokovic, M.; Fernandez-Ruiz, V.; Buelga, C.S.; Morales, P.; Ferreira, I.C. Basil as functional and preserving ingredient in "Serra da Estrela" cheese. Food Chem. 2016, 207, 51–59. [Google Scholar] [CrossRef]
- Romano, R.; De Luca, L.; Aiello, A.; Pagano, R.; Di Pierro, P.; Pizzolongo, F.; Masi, P. Basil (Ocimum basilicum L.) Leaves as a Source of Bioactive Compounds. Foods 2022, 11, 3212. [Google Scholar] [CrossRef]
- Zhan, Y.; An, X.; Wang, S.; Sun, M.; Zhou, H. Basil polysaccharides: A review on extraction, bioactivities and pharmacological applications. Bioorg. Med. Chem. 2020, 28, 115179. [Google Scholar] [CrossRef]
- Muráriková, A.; Ťažký, A.; Neugebauerová, J.; Planková, A.; Jampílek, J.; Mučaji, P.; Mikuš, P. Characterization of Essential Oil Composition in Different Basil Species and Pot Cultures by a GC-MS Method. Molecules 2017, 22, 1221. [Google Scholar] [CrossRef]
- Kacaniova, M.; Galovicova, L.; Borotova, P.; Vukovic, N.L.; Vukic, M.; Kunova, S.; Hanus, P.; Bakay, L.; Zagrobelna, E.; Kluz, M.; et al. Assessment of Ocimum basilicum Essential Oil Anti-Insect Activity and Antimicrobial Protection in Fruit and Vegetable Quality. Plants 2022, 11, 1030. [Google Scholar] [CrossRef] [PubMed]
- Sakkas, H.; Papadopoulou, C. Antimicrobial Activity of Basil, Oregano, and Thyme Essential Oils. J. Microbiol. Biotechnol. 2017, 27, 429–438. [Google Scholar] [CrossRef] [PubMed]
- Sentari, M.; Harahap, U.; Sapiie, T.; Ritarwan, K. Blood Cortisol Level and Blood Serotonin Level in Depression Mice with Basil Leaf Essential Oil Treatment. Open Access Maced. J. Med. Sci. 2019, 7, 2652–2655. [Google Scholar] [CrossRef]
- Farsaraei, S.; Moghaddam, M.; Pirbalouti, A.G. Changes in growth and essential oil composition of sweet basil in response of salinity stress and superabsorbents application. Sci. Hortic. 2020, 271, 109465. [Google Scholar] [CrossRef]
- Ciriello, M.; Fusco, G.M.; Colla, G.; Kyriacou, M.C.; Sabatino, L.; De Pascale, S.; Rouphael, Y.; Carillo, P. Adaptation of basil to salt stress: Molecular mechanism and physiological regulation. Plant Stress. 2024, 11, 100431. [Google Scholar] [CrossRef]
- Gheshlaghpour, J.; Asghari, B.; Khademian, R.; Sedaghati, B. Silicon alleviates cadmium stress in basil (Ocimum basilicum L.) through alteration of phytochemical and physiological characteristics. Ind. Crops Prod. 2021, 163, 113338. [Google Scholar] [CrossRef]
- Al-Huqail, A.; El-Dakak, R.M.; Sanad, M.N.; Badr, R.H.; Ibrahim, M.M.; Soliman, D.; Khan, F. Effects of Climate Temperature and Water Stress on Plant Growth and Accumulation of Antioxidant Compounds in Sweet Basil (Ocimum basilicum L.) Leafy Vegetable. Scientifica 2020, 2020, 3808909. [Google Scholar] [CrossRef]
- Rahimi, M.; Mortazavi, M.; Mianabadi, A.; Debnath, S. Evaluation of basil (Ocimum basilicum) accessions under different drought conditions based on yield and physio-biochemical traits. BMC Plant Biol. 2023, 23, 523. [Google Scholar] [CrossRef]
- Lopes, A.S.; Dias, T.J.; Henschel, J.M.; Da Silva, J.H.B.; de Oliveira Sousa, V.F.; Targino, V.A.; Da Silva Leal, M.P.; Da Silva Gomes, D.; de Albuquerque, M.B.; Batista, D.S. Methyl Jasmonate Mitigates Drought Stress in Purple Basil by Enhancing Photosynthesis and Secondary Metabolism. J. Plant Growth Regul. 2024, 44, 233–246. [Google Scholar] [CrossRef]
- Zhao, X.; Huang, L.; Sun, X.; Zhao, L.; Wang, P. Transcriptomic and Metabolomic Analyses Reveal Key Metabolites, Pathways and Candidate Genes in Sophora davidii (Franch.) Skeels Seedlings Under Drought Stress. Front. Plant Sci. 2022, 13, 785702. [Google Scholar] [CrossRef] [PubMed]
- Zhao, M.; Ren, Y.; Wei, W.; Yang, J.; Zhong, Q.; Li, Z. Metabolite Analysis of Jerusalem Artichoke (Helianthus tuberosus L.) Seedlings in Response to Polyethylene Glycol-Simulated Drought Stress. Int. J. Mol. Sci. 2021, 22, 3294. [Google Scholar] [CrossRef]
- Rastogi, S.; Shah, S.; Kumar, R.; Vashisth, D.; Akhtar, M.Q.; Kumar, A.; Dwivedi, U.N.; Shasany, A.K. Ocimum metabolomics in response to abiotic stresses: Cold, flood, drought and salinity. PLoS ONE 2019, 14, e210903. [Google Scholar] [CrossRef]
- Grabherr, M.G.; Haas, B.J.; Yassour, M.; Levin, J.Z.; Thompson, D.A.; Amit, I.; Adiconis, X.; Fan, L.; Raychowdhury, R.; Zeng, Q.; et al. Full-length transcriptome assembly from RNA-Seq data without a reference genome. Nat. Biotechnol. 2011, 29, 644–652. [Google Scholar] [CrossRef] [PubMed]
- Li, C.; Xin, M.; Li, L.; He, X.; Yi, P.; Tang, Y.; Li, J.; Zheng, F.; Liu, G.; Sheng, J.; et al. Characterization of the aromatic profile of purple passion fruit (Passiflora edulis Sims) during ripening by HS-SPME-GC/MS and RNA sequencing. Food Chem. 2021, 355, 129685. [Google Scholar] [CrossRef] [PubMed]
- Xia, X.; Wang, Y.; Zhou, Y.; Tao, Y.; Mao, W.; Shi, K.; Asami, T.; Chen, Z.; Yu, J. Reactive Oxygen Species Are Involved in Brassinosteroid-Induced Stress Tolerance in Cucumber1[W]. Plant Physiol. 2009, 150, 801–814. [Google Scholar] [CrossRef] [PubMed]
- Zhang, Q.Y.; Yu, R.; Xie, L.H.; Rahman, M.M.; Kilaru, A.; Niu, L.X.; Zhang, Y.L. Fatty Acid and Associated Gene Expression Analyses of Three Tree Peony Species Reveal Key Genes for α-linolenic Acid Synthesis in Seeds. Front. Plant Sci. 2018, 9, 106. [Google Scholar] [CrossRef]
- Andarwulan, N.; Batari, R.; Sandrasari, D.A.; Bolling, B.; Wijaya, H. Flavonoid content and antioxidant activity of vegetables from Indonesia. Food Chem. 2010, 121, 1231–1235. [Google Scholar] [CrossRef]
- Suzuki, S.; Suzuki, Y.; Yamamoto, N.; Hattori, T.; Sakamoto, M.; Umezawa, T. High-throughput determination of thioglycolic acid lignin from rice. Plant Biotechnol. 2009, 26, 337–340. [Google Scholar] [CrossRef]
- Wang, X.; Li, X.; Zhao, W.; Hou, X.; Dong, S. Current views of drought research: Experimental methods, adaptation mechanisms and regulatory strategies. Front. Plant Sci. 2024, 15, 1371895. [Google Scholar] [CrossRef] [PubMed]
- De Martino, L.; Caputo, L.; Amato, G.; Iannone, M.; Barba, A.A.; De Feo, V. Postharvest Microwave Drying of Basil (Ocimum basilicum L.): The Influence of Treatments on the Quality of Dried Products. Foods 2022, 11, 1029. [Google Scholar] [CrossRef]
- Zi, X.; Zhou, S.; Wu, B. α-linolenic Acid Mediates Diverse Drought Responses in Maize (Zea mays L.) at Seedling and Flowering Stages. Molecules 2022, 27, 771. [Google Scholar] [CrossRef]
- Cao, X.; Hu, Y.; Song, J.; Feng, H.; Wang, J.; Chen, L.; Wang, L.; Diao, X.; Wan, Y.; Liu, S.; et al. Transcriptome Sequencing and Metabolome Analysis Reveals the Molecular Mechanism of Drought Stress in Millet. Int. J. Mol. Sci. 2022, 23, 10792. [Google Scholar] [CrossRef] [PubMed]
- Wang, X.; Song, S.; Wang, X.; Liu, J.; Dong, S. Transcriptomic and Metabolomic Analysis of Seedling-Stage Soybean Responses to PEG-Simulated Drought Stress. Int. J. Mol. Sci. 2022, 23, 6869. [Google Scholar] [CrossRef] [PubMed]
- Kaur, S.; Seem, K.; Duhan, N.; Kumar, S.; Kaundal, R.; Mohapatra, T. Transcriptome and Physio-Biochemical Profiling Reveals Differential Responses of Rice Cultivars at Reproductive-Stage Drought Stress. Int. J. Mol. Sci. 2023, 24, 1002. [Google Scholar] [CrossRef]
- Qin, X.; Yin, Y.; Zhao, J.; An, W.; Fan, Y.; Liang, X.; Cao, Y. Metabolomic and transcriptomic analysis of Lycium chinese and L. ruthenicum under salinity stress. BMC Plant Biol. 2022, 22, 8. [Google Scholar] [CrossRef]
- Pichersky, E.; Raguso, R.A. Why do plants produce so many terpenoid compounds? New Phytol. 2018, 220, 692–702. [Google Scholar] [CrossRef] [PubMed]
- Silva, R.F.D.; Carneiro, C.N.; Sousa, C.B.D.C.; Gomez, F.J.V.; Espino, M.; Boiteux, J.; de Los Fernández, M.; Silva, M.F.; Dias, F.D.S. Sustainable extraction bioactive compounds procedures in medicinal plants based on the principles of green analytical chemistry: A review. Microchem J. 2022, 175, 107184. [Google Scholar] [CrossRef]
- Bistgani, Z.E.; Hashemi, M.; Dacosta, M.; Craker, L.; Morshedloo, M.R. Effect of salinity stress on the physiological characteristics, phenolic compounds and antioxidant activity of Thymus vulgaris L. and Thymus daenensis Celak. Ind. Crops Prod. 2019, 135, 311–320. [Google Scholar] [CrossRef]
- Ullah, S.; Khan, M.N.; Lodhi, S.S.; Ahmed, I.; Tayyab, M.; Mehmood, T.; Din, I.U.; Khan, M.; Sohail, Q.; Akram, M. Targeted metabolomics reveals fatty acid abundance adjustments as playing a crucial role in drought-stress response and post-drought recovery in wheat. Front. Genet. 2022, 13, 972696. [Google Scholar] [CrossRef]
- Liu, X.; Ma, D.; Zhang, Z.; Wang, S.; Du, S.; Deng, X.; Yin, L. Plant lipid remodeling in response to abiotic stresses. Environ. Exp. Bot. 2019, 165, 174–184. [Google Scholar] [CrossRef]
- Feng, H.; Lin, C.; Liu, W.; Xiao, L.; Zhao, X.; Kang, L.; Liu, X.; Sang, T.; Yi, Z.; Yan, J. Transcriptomic Characterization of Miscanthus sacchariflorus × M. lutarioriparius and Its Implications for Energy Crop Development in the Semiarid Mine Area. Plants 2022, 11, 1568. [Google Scholar] [CrossRef] [PubMed]
- García-Calderón, M.; Pérez-Delgado, C.M.; Palove-Balang, P.; Betti, M.; Márquez, A.J. Flavonoids and Isoflavonoids Biosynthesis in the Model Legume Lotus japonicus; Connections to Nitrogen Metabolism and Photorespiration. Plants 2020, 9, 774. [Google Scholar] [CrossRef]








| All Metabolites | Significantly Different Metabolites | ||||
|---|---|---|---|---|---|
| Index | Compounds | Class I | Index | Compounds | Class I |
| KMW0540 | eugenol | Phenol | NMW0155 | propofol | Phenol |
| KMW0544 | methyleugenol | Phenol | KMW0519 | vanillin | Aldehyde |
| KMW0218 | eucalyptol | Terpenoids | KMW0235 | 1,3,6-octatriene, 3,7-dimethyl-, (Z)- | Terpenoids |
| XMW1333 | benzoic acid, 3,4-dimethyl-, methyl ester | Ester | XMW0726 | benzene, (1-methoxypropyl)- | Aromatics |
| XMW1256 | 2-butanone, 4-(2,6,6-trimethyl-1,3-cyclohexadien-1-yl)- | Ketone | NMW0177 | N-benzylformamide | Amine |
| XMW0690 | cyclohexene, 2,4-dimethyl-1-(1-methylethenyl)- | Hydrocarbons | XMW0742 | Terpenoids | |
| KMW0291 | linalool | Terpenoids | KMW0212 | benzeneacetaldehyde | Aldehyde |
| w41 | 3-octen-2-one, (E)- | Ketone | XMW1077 | 1,3-dioxolane-2,2-diethanol | Alcohol |
| XMW0285 | benzaldehyde, 4-hydroxy- | Aldehyde | XMW0416 | 1,3-cyclohexadiene, 5-butyl- | Hydrocarbons |
| XMW0468 | bicyclo[3.1.1]hept-2-ene, 2,6-dimethyl-6-(4-methyl-3-pentenyl)- | Terpenoids | NMW0021 | 2-pyridinemethanamine | Heterocyclic compound |
| NMW0158 | benzene, 1-methoxy-2-nitro- | Aromatics | D99 | benzoic acid, 2-(dimethylamino)-, methyl ester | Ester |
| NMW0156 | benzene, (isothiocyanatomethyl)- | Sulfur compounds | KMW0679 | 2-propenoic acid, 3-phenyl-, methyl ester, (E)- | Ester |
| XMW0267 | 2-ethylpiperidine | Heterocyclic compound | KMW0178 | bicyclo[3.1.0]hexane, 4-methylene-1-(1-methylethyl)- | Terpenoids |
| KMW0247 | β-phellandrene | Terpenoids | D152 | propanoic acid, 2-methyl-, 2-phenylethyl ester | Ester |
| XMW1209 | propanoic acid, 2-methyl-, 2-methylbutyl ester | Ester | NMW0038 | benzenemethanol, 4-methyl- | Alcohol |
| NMW0176 | benzeneacetamide | Amine | XMW0076 | 1H-Pyrrole-3-carbonitrile | Heterocyclic compound |
| XMW1124 | 2-azabicyclo[3.2.1]octan-3-one | Ketone | XMW0244 | 2-butanone, 4-(2,6,6-trimethyl-1-cyclohexen-1-yl)- | Ketone |
| NMW0155 | propofol | Phenol | XMW0142 | 3a,7-methano-3aH-cyclopentacyclooctene, 1,4,5,6,7,8,9,9a-octahydro-1,1,7-trimethyl-, [3aR-(3a.alpha.,7.alpha.,9a.beta.)]- | Terpenoids |
| XMW0119 | cyclopentanone, 2-methyl-3-(1-methylethyl)- | Ketone | KMW0258 | 2-methoxy-phenol | Phenol |
| KMW0329 | camphor | Terpenoids | KMW0267 | benzoic acid, methyl ester | Ester |
| KMW0519 | vanillin | Aldehyde | XMW0698 | 1,4-methano-1H-indene, octahydro-4-methyl-8-methylene-7-(1-methylethyl)-, [1S-(1.alpha.,3a.beta.,4.alpha.,7.alpha.,7a.beta.)]- | Terpenoids |
| KMW0235 | 1,3,6-octatriene, 3,7-dimethyl-, (Z)- | Terpenoids | w39 | 2-butanone, 4-(2,6,6-trimethyl-2-cyclohexen-1-yl)- | Ketone |
| XMW0909 | 2,6,6-trimethylbicyclo[3.2.0]hept-2-en-7-one | Ketone | XMW0023 | 4-methyl-1-(1-methylethyl)-bicyclo[3.1.0]hex-2-ene | Hydrocarbons |
| XMW0535 | p-tolylacetic acid | Acid | KMW0278 | Ethanone, 1-(2-thienyl)- | Heterocyclic compound |
| XMW0726 | benzene, (1-methoxypropyl)- | Aromatics | XMW0548 | bicyclo[7.2.0]undecane, 10,10-dimethyl-2,6-bis(methylene)-, [1S-(1R*,9S*)]- | Terpenoids |
| XMW1227 | Ester | KMW0193 | β-pinene | Terpenoids | |
| XMW0228 | cyclohexanol, 1-ethenyl- | Alcohol | D156 | propanoic acid, 2-methyl-, 3-phenylpropyl ester | Ester |
| XMW0410 | 1-nonen-4-ol | Alcohol | NMW0185 | pyridine, 3-(3,4-dihydro-2H-pyrrol-5-yl)- | Heterocyclic compound |
| KMW0217 | D-limonene | Terpenoids | NMW0173 | 2,6-dihydroxy-benzoic acid | Acid |
| NMW0177 | N-benzylformamide | Amine | KMW0148 | α-pinene | Terpenoids |
| Sample | Raw Reads | Clean Reads | Clean Base (G) | Error Rate (%) | Q20 (%) | Q30 (%) | GC Content (%) |
|---|---|---|---|---|---|---|---|
| CK-1 | 52,927,868 | 507,06,010 | 7.61 | 0.03 | 98.03 | 94.32 | 49.39 |
| CK-2 | 50,255,254 | 48,223,864 | 7.23 | 0.03 | 97.56 | 93.3 | 48.98 |
| CK-3 | 44,466,932 | 42,657,780 | 6.4 | 0.03 | 97.62 | 93.44 | 49.77 |
| LD-1 | 50,577,948 | 49,032,022 | 7.35 | 0.03 | 97.51 | 93.2 | 50 |
| LD-2 | 45,867,542 | 44,270,194 | 6.64 | 0.03 | 97.56 | 93.32 | 50.02 |
| LD-3 | 49,304,820 | 47,517,542 | 7.13 | 0.03 | 98.1 | 94.51 | 50.63 |
| MD-1 | 46,598,338 | 45,007,078 | 6.75 | 0.03 | 97.63 | 93.42 | 50.15 |
| MD-2 | 47,733,680 | 46,422,380 | 6.96 | 0.03 | 97.56 | 93.3 | 50.12 |
| MD-3 | 58,463,114 | 57,043,684 | 8.56 | 0.03 | 98 | 93.99 | 49.48 |
| SD-1 | 42,059,900 | 40,944,928 | 6.14 | 0.03 | 97.97 | 93.9 | 50.61 |
| SD-2 | 40,507,526 | 38,994,948 | 5.85 | 0.03 | 98.1 | 94.28 | 50.25 |
| SD-3 | 68,874,522 | 66,712,058 | 10.01 | 0.03 | 98.05 | 94.11 | 50.73 |
Disclaimer/Publisher’s Note: The statements, opinions and data contained in all publications are solely those of the individual author(s) and contributor(s) and not of MDPI and/or the editor(s). MDPI and/or the editor(s) disclaim responsibility for any injury to people or property resulting from any ideas, methods, instructions or products referred to in the content. |
© 2025 by the authors. Licensee MDPI, Basel, Switzerland. This article is an open access article distributed under the terms and conditions of the Creative Commons Attribution (CC BY) license (https://creativecommons.org/licenses/by/4.0/).
Share and Cite
Zhou, Y.; Ma, G.; Li, W.; Xie, L.; Zhan, S.; Yao, X.; Zuo, Z.; Tian, D. Analysis of Volatile Metabolome and Transcriptome in Sweet Basil Under Drought Stress. Curr. Issues Mol. Biol. 2025, 47, 117. https://doi.org/10.3390/cimb47020117
Zhou Y, Ma G, Li W, Xie L, Zhan S, Yao X, Zuo Z, Tian D. Analysis of Volatile Metabolome and Transcriptome in Sweet Basil Under Drought Stress. Current Issues in Molecular Biology. 2025; 47(2):117. https://doi.org/10.3390/cimb47020117
Chicago/Turabian StyleZhou, Yuan, Guangying Ma, Wenlue Li, Lupeng Xie, Shuxia Zhan, Xingda Yao, Ziwei Zuo, and Danqing Tian. 2025. "Analysis of Volatile Metabolome and Transcriptome in Sweet Basil Under Drought Stress" Current Issues in Molecular Biology 47, no. 2: 117. https://doi.org/10.3390/cimb47020117
APA StyleZhou, Y., Ma, G., Li, W., Xie, L., Zhan, S., Yao, X., Zuo, Z., & Tian, D. (2025). Analysis of Volatile Metabolome and Transcriptome in Sweet Basil Under Drought Stress. Current Issues in Molecular Biology, 47(2), 117. https://doi.org/10.3390/cimb47020117

