Abstract
Obesity is characterized by the accumulation of excessive fat, potentially leading to degenerative diseases. Pancreatic lipase, an enzyme responsible for converting 50–70% of dietary fat into monoglycerides, free fatty acids, and various other smaller molecules, plays a crucial role in fat metabolism. Therefore, this study aimed to review selected Indonesian medicinal plants with the potential to inhibit the activity of the pancreatic lipase enzyme. The results showed that kunci pepet (Kaempferiae angustifolia Rosc.), asam gelugur (Garcinia atroviridis), temulawak (Curcuma xanthorrhiza), jombang (Taraxacum officinale F. H. Wigg), pegagan (Centella asiatica), and pala (Myristica fragrans) had strong inhibitory effects, exceeding 50% for both in vitro and in vivo studies. Therefore, further studies are needed to explore the potential of these medicinal plants as anti-obesity treatments.
1. Introduction
Obesity is attributed to a rise in fast food intake, unhealthy lifestyles, psychological factors, socioeconomic level, diet programs, age, gender, and insufficient physical exercise. The imbalance between incoming and outgoing energy causes excessive fat accumulation, leading to a body weight significantly above normal [1,2].
Apart from being a health problem, obesity is also a social problem, because some people with obesity are vulnerable to discrimination. The number of people with obesity is increasing rapidly almost all over the world. This has led to focused attention from various health institutions to reduce its prevalence. In 2022, the WHO reported that 43% (2.5 billion) of adults worldwide were classified as overweight, with approximately 16% (890 million) suffering from obesity. Furthermore, 37 million children under 5 years old, 390 million children and adolescents aged 5–19 years old, as well as 160 million adults are obese. The WHO defines obesity based on body mass index (BMI), computed by dividing body weight in kilograms (kg) by height2 (m2). Individuals with a BMI of 25–29.9 are considered overweight, while those with a BMI ≥ 30 are considered obese [3,4]. The global increase in obesity has had a significant impact on health and quality of life, contributing to conditions such as cardiovascular diseases, asthma, heart disease, cancer, type 2 diabetes mellitus, and dementia [5,6].
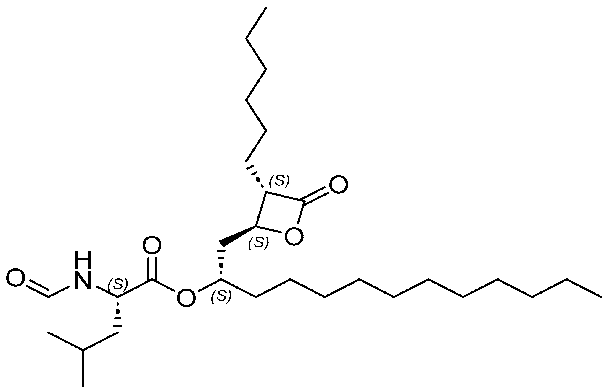
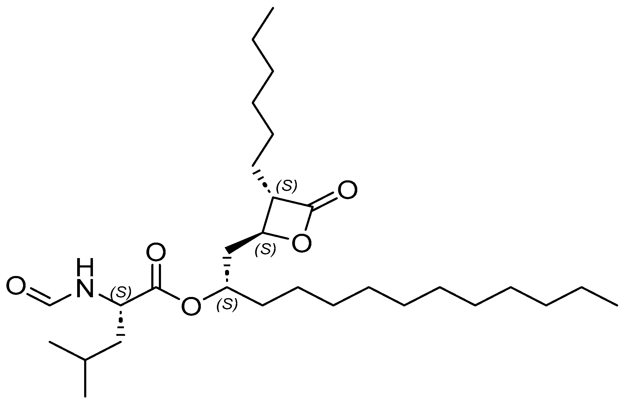
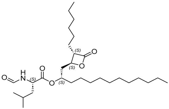
One way to overcome this problem is to take the anti-obesity or slimming drugs available in the market. Several synthetic drugs that work as slimming agents have different mechanisms, such as eliminating appetite, inhibiting fat absorption, and increasing energy expenditure [7]. Orlistat, which is shown in Figure 1, is a commonly prescribed medication for obesity management. It functions by suppressing the pancreatic lipase enzyme in the digestive tract, thereby preventing fat absorption from triglyceride decomposition [8,9]. Lipase enzymes catalyze the hydrolysis of triglycerides into free fatty acids, which are absorbed by the body and contribute to obesity, as detailed in Figure 2. Among the various types, pancreatic lipase is responsible for the hydrolysis of 50–70% of the total lipids in the body. The amino acids Ser152, Asp176, and His263 represent its catalytic site, with Ser152 playing a crucial role in lipid breakdown activity. By inhibiting pancreatic lipase, triglyceride hydrolysis is reduced, potentially decreasing the prevalence of obesity [10,11,12,13,14]. However, long-term consumption of orlistat can lead to side effects such as nausea, diarrhea, and frequent bowel movements [15,16].
Figure 1.
The chemical structure of orlistat (PubChem ID: 3034010).
The investigation has revealed that the reduction in intra-abdominal fat content correlates with a reduction in lipid digestion; when the pancreatic lipase is inhibited, the human body’s total cholesterol concentration decreases. Thus, pancreatic lipase inhibitors are candidates for medications intended to help with weight loss and help to avoid obesity. Many studies have shown that plant-based substances inhibit pancreatic lipase. Plant-derived natural chemicals are identified by their structural variety, low toxicity, and an abundance of sources. In terms of health, natural chemical-derived inhibitors are more relevant than chemically manufactured drugs, and consequently, the identification of pancreatic lipase inhibitors from plants with less side effects is an exciting field of study. Polyphenols, flavonoids, saponins, tannins, terpenoids, alkaloids, and other active compounds are found in major natural products of lipase inhibitors [15,17,18,19,20,21].
Indonesia is known as a biodiverse country with a diversity of biological resources, including medicinal plants. Indonesian people traditionally use medicinal plants for slimming, weight loss, appetite control, and as stomach and digestive medicine [22,23,24]. These plants are reported to have inhibitory activity against the action of the lipase enzyme in vitro. Secondary metabolites in these plants are known to act as inhibitors of the lipase enzyme.
Figure 2.
Catalysis reaction of pancreatic lipase enzyme (Modification [25]. License number: 5924750703740).
Figure 2.
Catalysis reaction of pancreatic lipase enzyme (Modification [25]. License number: 5924750703740).

In this study, we conducted a literature review of Indonesian medicinal plants which are empirically used for slimming by Indonesian people and have been reported to inhibit the activity of the lipase enzyme in vitro, including kunci pepet (Kaempferiae angustifolia Rosc.), asam gelugur (Garcinia atroviridis), temulawak (Curcuma xanthorrhiza), jombang (Taraxacum officinale F. H. Wigg), pegagan (Centella asiatica), and pala (Myristica fragrans). This study also summarizes the content of the compounds or groups of compounds contained by these plants which are thought to have the potential, or have been proven, to be lipase inhibitors. The compounds we present in this review are based on compounds that have been reported in the referenced literature. In addition, information regarding slimming mechanisms both in vitro and in vivo is also presented.
2. Materials and Methods
A literature search was conducted, with keywords such as “anti-obesity”, “pancreatic lipase enzyme”, “Indonesian medicinal plants”, “in vitro”, and “in vivo” in major databases, including Scopus, Google Scholar, and PubMed.
3. Kunci Pepet (Kaempferia angustifolia Rosc.)
Kaempferia angustifolia is a plant that belongs to the family Zingiberaceae. K. angustifolia that grows abundantly in the Southeast Asian region, mainly in Indonesia [26,27,28,29], where it is commonly known as kunci pepet. The pharmacological activity of K. angustifolia has been widely reported as an antioxidant, weight loss agent, cough medicine, anticancer agent, and antimicrobial agent [26,30,31].
Phytochemical analysis of K. angustifolia extract has consistently identified the presence of flavonoids, alkaloid saponins, tannins, and terpenoids, as presented in Table 1. Pradono et al. [32] used water extract of K. angustifolia at the concentration of 100–300 ppm (50 ppm interval) to inhibit the action of the pancreatic lipase enzyme (Table 2). The water extract had the highest inhibitory power of 65.1% at a concentration of 200 ppm. The reported total flavonoid content was reported as 0.02 × 10−2% (w/w). Meanwhile, Rafi et al. [30] stated that 50% ethanol extract of K. angustifolia (100 µg/mL) inhibited the action of the pancreatic lipase enzyme by 59.81 ± 1.00%, as detailed in Table 3. These data strengthen the finding that K. angustifolia strongly inhibits the activity of the pancreatic lipase enzyme. This is thought to be due to the presence of biomarker compounds in K. angustifolia extracts.
Table 1.
Results of phytochemical analysis of K. angustifolia extract from some studies.
Table 2.
Percentage of pancreatic lipase enzyme inhibition from K. angustifolia water extract [32].
Table 3.
Percentage of pancreatic lipase enzyme inhibition from K. angustifolia extract (100 µg/mL) with different solvents [30].
The characteristics of secondary metabolites contained in the 50% ethanol extract from K. angustifolia are the presence of phenolics such as o-Coumaric acid, benzoic acid, and steroids, such as stigmasterol (Figure 3). The compound has been reported as a lipase enzyme inhibitor and as an anti-obesity agent [30,35,36,37].
Figure 3.
The chemical structures of benzoic acid, o-Coumaric acid, and stigmasterol.
The aqueous extract of hulled barley contains coumaric acid, which efficiently suppresses adipocyte development. Within a concentration of 50 mg/kg, this extract inhibited body weight gain and fat mass increase in obese male mice fed a high-fat diet [38]. This shows that coumaric acid functions strongly as an anti-obesity compound.
Flavokawain A, which is shown in Figure 4, has been isolated from K. angustifolia by Hanif et al. [39]. At 10 µg/mL, the compound significantly suppressed triglyceride accumulation in 3T3-L1 murine pre-adipocytes, signifying the potential as an anti-obesity agent. The synthetic form of flavokawain A effectively reduced triglyceride accumulation and blocked the development of murine pre-adipocytes (EC50 = 64.4 µM and IC50 = 74.8 µM).
Figure 4.
The chemical structure of flavokawain A (PubChem ID: 5355469).
Hidaka and colleagues [40] utilized K. parviflora, a member of the same genus Kaempferia, in an in vivo study to treat obesity. Tsumura Suzuki obese diabetes (TSOD) mice were utilized as an overweight model. The ethanolic extract of K. parviflora lowered mouse body weight and the thickness of the subcutaneous fat layer more than the PMF fraction, which is commonly used as a nutritional supplement to manage obesity-related skin problems.
4. Asam Gelugur (Garcinia atroviridis)
Asam gelugur is a fruit from the Guttiferae family, specifically the Garcinia genus distributed in tropical Asia. This fruit is cultivated extensively in Aceh and Sumatera Island, Indonesia. In North Sumatera, Garcinia atroviridis is often utilized as a food component [41,42,43,44,45].
Several studies have reported that G. atroviridis extract contains flavonoids, saponins, tannins, steroids, and terpenoids, as presented in Table 4. Iswantini et al. [46] adopted methanol as a solvent to extract G. atroviridis, followed by fractionation using n-hexane, butanol, and dichloromethane. The butanol fraction produced the largest yield of 8.24% and the greatest inhibitory power, with an IC50 of 46.91 µg/mL. This fraction was subjected to further partitioning through column chromatography, utilizing an eluent comprising a mixture of chloroform, with methanol ranging between 65:35 and 55:45. Fraction E of the butanol fraction provided the highest inhibitory power of 52.89% at a concentration of 10 µg/mL. The fraction is believed to contain hydroxy citric acid (HCA) (Figure 5), a compound abundant in G. atroviridis and which can inhibit pancreatic lipase enzyme activity. In the Krebs cycle, HCA inhibits the formation of ATP (adenosine 5′-triphosphate) citrate lyase (ACL), an enzyme that converts citric acid into acetyl coenzyme A (CoA). The coenzyme is converted to malonyl co-A, as well as fatty acids and cholesterol. Therefore, the HCA contained in G. atroviridis plays an active role in inhibiting fat formation [47,48].
Table 4.
Results of phytochemical analysis of G. atroviridis extract from some studies.
Figure 5.
The chemical structure of hydroxycitric acid (HCA). (PubChem ID: 123908).
In an in vivo study, the composition of water extract of G. atroviridis fruit and 50% ethanol extract of K. angustifolia, in a ratio of 2:1, effectively reduced the body weight of fattened mice by approximately 12.6%, at a dose of 13.44 mg/20 g BW [52]. In another study, Achmadi [53] applied G. atroviridis in an in vivo investigation on rats. Over two weeks of daily treatment with 2 mL of a 2% potassium solution, the study recorded a decreased body weight, enhanced HDL (high-density lipoprotein) concentrations from 35 to 63 mg/day, and decreased blood cholesterol LDL (low-density lipoprotein) levels from 63 mg/day to 50 mg/day. The results showed the ability of G. atroviridis extract to lower body weight and prevent the production of cholesterol. In addition, Lim et al. [51] used a methanol extract of G. atroviridis to reduce the body weight of female and male rats with an oral lethal dose (LD50) of 2000 mg/kg for nine weeks of treatment.
The anti-obesity effect of HCA can also be addressed through serotonin regulation [45]. In human therapeutic trials, Preuss et al. [54] stated that HCA reduced hunger, weight loss, and plasma leptin levels, while increasing serum serotonin levels and improving lipid profile. In addition, Kim et al. [55] indicated that the potential of HCA to reduce body weight increase was possibly related to its combined effects on the metabolic and serotonin pathways.
5. Temulawak (Curcuma xanthorrhiza)
Temulawak, or Java turmeric (Curcuma xanthorrhiza Roxb), belongs to the Zingiberaceae family, and has been traditionally utilized as a component in jamu, an Indonesian herbal drink and therapy. This medicinal plant is predominantly cultivated in Indonesia and other Southeast Asian nations. Some species of the genus Curcuma were also discovered in Australia and the southern Pacific area. C. xanthorrhiza contains many phenolic compounds, including curcuminoid, as well as terpenoids, such as xanthorrhizol, α-curcumin (sesquiterpene), β-curcumin (sesquiterpene), and camphor (monoterpene). It also contains amino acids, such as lysine, alanine, valine, and tryptophan [56,57,58,59,60,61].
Several investigations showed that the phytochemical analysis of C. xanthorrhiza extract was positive for flavonoids, alkaloids, saponins, tannins, steroids, and terpenoids (Table 5). Curcuminoid in C. xanthorrhiza belongs to the diarylheptanoids group (Figure 6a) and consists of curcumin, demethoxycurcumin, and bisdemethoxycurcumin [62]. The difference between these compounds was observed from the alkyl groups R1 and R2. Curcumin is characterized by R1 = OMe and R2 = OMe, while demethoxycurcumin had R1= OMe and R2= H. The compound bisedemethoxycurcumin featured R1 = H and R2 = H (Figure 6b–d) [63].
Table 5.
Results of phytochemical analysis of C. xanthorrhiza extract from some studies.
Figure 6.
The chemical structures of diarylheptanoids, curcumin, demethoxycurcumin, and bisdemethoxycurcumin.
The ability of curcumin to prevent obesity can be related to its inhibition of adipocyte differentiation. Adipocytes are formed when mesenchymal cells differentiate into preadipocytes, which eventually mature into adipocytes. Over-normative adipogenesis results in an excessive buildup of adipocytes, which contributes to obesity. Curcumin has the potential to influence the life cycle of adipocytes by suppressing preadipocyte proliferation and mitogenesis, inhibiting adipogenesis, and inducing mature adipocyte apoptosis. Kim et al. [67] reported that curcumin inhibits adipogenesis in both 3T3-L1 mouse cells and human primary preadipocytes, as demonstrated by a study of the intracellular storage of lipids. Additionally, through an in vivo study, in animal models of diet-induced obesity, Ejaz et al. [68] revealed that curcumin can also prevent obesity by inhibiting adipocyte differentiation.
Other research has been conducted by Batubara et al. [66]. They stated that ethyl acetate of C. xanthorrhiza inhibited 80.5% of the activity of pancreatic lipase enzyme at a concentration of 500 µg/mL. Meanwhile, at the same concentration, methanol and n-hexane extract provided inhibitions of 5.90% and 36.09%, respectively. In addition, Oon et al. [69] revealed that xanthorrhizol, isolated from C. xanthorrhiza extract, reduced 27% cholesterol levels in HT29 colon cells, and adipogenesis in 3T3-L1 at a concentration of 15 µg/mL. According to Kim et al. [70], 50 mg/kg C. xanthorrhiza extract and 15 mg/kg xanthorrhizol reduced body weight and epidydimal fat mass on cancer-induced adipose tissue wasting in CT26 tumor-bearing mice. These findings resulted that xanthorrhizol (Figure 7) contained in C. xanthorrhiza also has potential as an anti-obesity agent.
Figure 7.
The chemical structure of xanthorrhizol (PubChem ID: 93135).
6. Jombang (Taraxacum officinale F. H. Wigg)
Dandelion (Taraxacum officinale F. H. Wigg), known as “Jombang” in Indonesia, is a medicinal plant belonging to the Asteraceae family [71]. The term ’Taraxacum’ originated from the Greek words ’taraxos’ and ’akos’, which represented ’disorder’ and ’remedy’, respectively. This plant is widely distributed globally and primarily grows in temperate, as well as subtropical, parts of the Northern Hemisphere. It is particularly prevalent in regions of Asia and North America [72,73,74,75].
Several investigations have shown that T. officinale extract contained alkaloids, flavonoids, tannins, steroids, and terpenoids, as presented in Table 6. Furthermore, triterpenoids, including taraxerol, sesquiterpenoids, and phenolic acids such as chicoric acid, have been identified. Some sterols, such as β-sitosterol and campesterol in T. officinale, have anti-obesity properties (Figure 8) [74,76,77,78,79].
Table 6.
Results of phytochemical analysis of T. officinale extract from some studies.
Figure 8.
Structure of taraxerol, taraxacin, β-sitosterol, campesterol, and chicoric acid.
Adia et al. [71] reported that the 96% ethanol of T. officinale leaves extracts at 500 ppm inhibited 103.85% of pancreatic lipase enzyme activity. Zhang et al. [81] conducted an in vitro investigation using a 95% ethanol extract of T. officanale at concentrations of 4, 12.5, 25, 100, 125, and 250 µg/mL. The results showed that increasing the extract concentration corresponded to a higher inhibitory effect on pancreatic lipase activity, as detailed in Table 7. An inhibitory power of 86.3% is obtained at a concentration of 250 µg/mL. At a concentration of 250 µg/mL, orlistat, a positive control, inhibited 95.7% of the enzyme’s activity. The study was further extended to in vivo experiments where 400 mg/kg of 95% ethanol extract of T. officinale was applied to mice. After 90 and 180 min, the incremental plasma triglyceride levels were substantially lowered. Compared to the control group (11,068 ± 2054 mg·min/dL), the T. officinale group (8504 ± 1950 mg·min/dL) had significantly lower areas under the response curves (AUC) for the triglyceride response. The study by Rao et al. [82] also supports the function of T. officinale extract as an anti-obesity drug in vivo. Male Sprague Dawley rats fed a high-fat Diet (HFD) for 10 weeks were treated with the extract at doses of 150 mg/kg and 300 mg/kg. The results showed that the intestinal absorption of fat was inhibited, leading to a reduction in body weight.
Table 7.
Inhibitory power of 95% ethanol extract of T. officinale on the activity of the pancreatic lipase enzyme [81].
7. Pegagan (Centella asiatica)
Pegagan (Centella Asiatica) is a plant that belongs to the Apiaceae family. It often grows in swamp areas as well as in tropical and subtropical countries, such as Southeast Asia, North Australia, South Africa, and Eastern South America [83,84,85,86,87,88].
Table 8 shows the general content of alkaloids, flavonoids, tannins, saponins, steroids, and terpenoids in C. asiatica. Yunarto et al. [89] observed that ethanol extract of C. asiatica effectively inhibited pancreatic lipase enzyme activity, with an IC50 of 21.14 µg/mL. According to Hong et al. [90], the extract inhibited 68.1% of pancreatic lipase enzyme activity to prevent triglyceride hydrolysis.
In vivo studies support the effectiveness of C. asiatica extract in preventing obesity. Its combination with Sauropus androgynus extracts at a dose of 25:50 mg/kg BW inhibited lipid peroxidation in the Swiss Webster strain of mice which was induced by obesity [91]. Chang et al. [84] also reported that 300 mg/kg of C. asiatica extract reduced body fat deposition by modulating the development of cholesterol levels and lipid metabolism-related genes in the liver in mice with high-fat-induced obesity.
Table 8.
Results of phytochemical analysis of C. asiatica extract from some studies.
Table 8.
Results of phytochemical analysis of C. asiatica extract from some studies.
| Extract | Secondary Metabolite | Reference | |||||
|---|---|---|---|---|---|---|---|
| Alkaloids | Flavonoids | Saponins | Tannins | Steroids | Terpenoids | ||
| Ethanol | + | + | + | + | - | Not tested | [92] |
| Ethanol | + | + | Not tested | + | Not tested | Not tested | [93] |
| Methanol | + | + | + | + | + | + | [94] |
| Methanol | + | + | Not tested | + | Not tested | Not tested | [93] |
| Acetone | + | - | - | + | - | + | [94] |
| Chloroform | + | + | - | - | - | - | [94] |
| Water | + | - | - | - | - | + | [94] |
| Water | + | + | Not tested | + | Not tested | Not tested | [93] |
| Leaves | - | + | + | + | + | + | [95] |
Asiaticoside, madecassoside, asiatic acid, and madecassic acid (Figure 9) are the four largest quantities of terpenoids found in C. asiatica. These four compounds have been identified as hepatoprotectors because of their ability to inhibit lipopolysaccharide/D-galactosamine-induced acute liver damage [83,96,97]. Asiaticoside and madecassoside are classified as saponins (pentacyclic triterpene glycosides), whereas the corresponding aglycones (sapogenins) are asiatic acid and madecassic acid. The biological activity of saponins is attributed to a hydrophilic sugar chain, called glycone. It is produced by the isoprenoid pathway, and is a component of the hydrophobic triterpenoid structure aglycone. The most prevalent pentacyclic triterpenoids in C. asiatica are saponins and their aglycones [98].
Figure 9.
Structure of asiaticoside, madecassoside, madecassic acid, and asiatic acid.
Sun et al. [99] reported that madecassoside inhibits weight gain and lipogenesis through stimulation of the expression-activated protein kinase (AMPK) in mesenteric fat and epididymal fat. Additionally, Uddandrao et al. [100] determined that asiatic acid produced from C. asiatica, at a concentration of 20 mg/kg BW, might suppress adipogenesis by lowering inflammation in adipose tissue when applied to high-fat diet-induced obesity in the Sprague Dawley rat model for 42 days.
8. Pala (Myristica fragrans)
Myristica fragrans, the scientific name for nutmeg, is commonly referred to as “pala” in Indonesian. This plant belongs to the family of Myristicaceae. It originates from Maluku, Indonesia, or the Spice Islands. M. fragrans can be found in Southeast Asia and other nations, including Indonesia, Malaysia, Vietnam, India, and Sri Lanka. The tree is a fragrant evergreen with scattered branches that stands 9–12 m tall. The dried seed of M. fragrans has a sweet flavor and a unique, pleasant smell [101,102].
Phytochemical analysis of M. fragrans shown that the extract of M. fragrans contained alkaloids, flavonoids, saponins, terpenoids, and tannins (Table 9). The essential oils contained in nutmeg are myristicin, limonene, terpine-4-ol, β-pinene, and α-pinene. Ethnomedically, M. fragrans has been recognized to help with digestion, stomach discomfort, diarrhea, spleen and sore throats, allergy relief, and analgesic complications. Pharmacologically, M. fragrans exhibits antidiabetic, anti-inflammatory, antioxidant, and antibacterial properties [102,103,104].
Table 9.
Results of phytochemical analysis of M. fragrans seed extract from some studies.
Yakaiah et al. [107] reported that an ethanol extract of M. fragrans seeds could inhibit 66.24% of pancreatic lipase action, while orlistat as a positive control inhibited 81.57%. Tetrahydrofuran the most abundant compound in the ethanol extract of M. fragrans seed, has the binding energy of −6.2 kcal/mol, while orlistat has the binding energy of −7.56 kcal/mol. Nguyen et al. [108] also investigated whether the tetrahydrofuran (Figure 10) contained in M. fragrans extract can reduce adipose tissue mass and body weight in a diet-induced animal model.
Figure 10.
Structure of tetrahydrofuran.
9. Conclusions and Prospects
Obesity can be treated by inhibiting the pancreatic lipase enzyme. This enzyme breaks down dietary lipids into monoglycerides and fatty acids, making them easier to absorb and distribute throughout the body. Kunci pepet (Kaempferiae angustifolia Rosc.), asam gelugur (Garcinia atroviridis), temulawak (Curcuma xanthorrhiza), jombang (Taraxacum officinale F. H. Wigg), pegagan (Centella asiatica), and pala (Myristica fragrans) are the suggested traditional Indonesian medicinal plants. The biomarker compound reported in vitro to inhibit the activity of the lipase enzyme is coumaric acid contained in kunci pepet (K. angustifolia); hydroxycitric acid in asam gelugur (G. atroviridis); curcumin and xanthorrhizol in temulawak (C. xanthorrhiza); taraxerol in jombang (T. officinale); asiatic acid, madecassic acid, asiaticoside, and madecassoside in pegagan (C. asiatica); and tetrahydrofuran in pala (M. fragrans). Furthermore, we also found in vivo evidence that these biomarker chemicals can reduce triglyceride formation in adipose tissue in obese male animal models, such as mice and rats. These findings highlighted the importance of these six medicinal herbs with useful anti-obesity potential.
The development of a synergistic combination of these six plants in the future for in vitro and in vivo treatment as an anti-obesity agent can be carried out further. Our research team has successfully combined the extract of kunci pepet (K. angustifolia) and asam gelugur (G. atroviridis) as an anti-obesity combination, based on the in vitro assay of pancreatic lipase enzyme inhibition and the in vivo assay using a mouse as a test animal model. This combination has obtained a granted patent (IDP000051408) from the Ministry of Law and Human Rights of The Republic of Indonesia. Based on the results of our research, Flavokawain A has been found to be the active compound of K. angustifolia. Now, our research team will continue to carry out clinical assay to prove weight loss in respondents. Therefore, it is necessary to keep investigating combinations of medicinal plant extracts, and there are promising future prospects for investigating more medicinal plants as anti-obesity medicines.
However, the challenge that may be faced in developing herbal medicines is the involvement of all stakeholders in developing herbal medicines that are safe to consume for obesity sufferers and maintain their efficacy as anti-obesity products.
Author Contributions
Conceptualization, D.I.; methodology, M.R., T., S.I. and A.M.; writing—original draft preparation, R.N.R.S. and R.M.S.; writing—review and editing, D.I., R.N.R.S. and T.; supervision, D.I. and M.R. All authors have read and agreed to the published version of the manuscript.
Funding
This research was funded by the Directorate General for Higher Education, Research, and Technology, the Ministry of Education, Culture, Research, and Techmology, Republic of Indonesia for the research funding in Regular Fundamental Research the scheme for the fiscal year 2024, with grant number 22057/IT3.D10/PT.01.03/P/B/2024.
Acknowledgments
The authors would like to thank the Directorate General for Higher Education, Research, and Technology, the Ministry of Education, Culture, Research, and Technology, Republic of Indonesia for the research funding in Regular Fundamental Research the scheme for the fiscal year 2024, with grant number 22057/IT3.D10/PT.01.03/P/B/2024. The authors would like to thank Novriyandi Hanif for helpful discussion on chemical structures.
Conflicts of Interest
The authors declare no conflicts of interest.
References
- Khater, T.; Tawfik, H.; Singh, B. Explainable artificial intelligence for investigating the effect of lifestyle factors on obesity. Intell. Syst. Appl. 2024, 23, 200427. [Google Scholar] [CrossRef]
- Szymanski, R.; Abraham, M.; Childs, W.; Le, K.; Velez, C.; Vaughn, I.; Lamerato, L.; Budzynska, K. Factors associated with receiving an obesity diagnosis and obesity-related treatment for patients with obesity class II and III within a single integrated health system. Prev. Med. Rep. 2024, 46, 102879. [Google Scholar] [CrossRef] [PubMed]
- World Health Organisation Obesity-and-Overweight. Available online: https://www.who.int/news-room/fact-sheets/detail/obesity-and-overweight (accessed on 26 October 2024).
- Purnell, J.Q. Definitions, Classification, and Epidemiology of Obesity. In Endotext; MDText.com, Inc.: South Dartmouth, MA, USA, 2000; pp. 22–28. [Google Scholar]
- Yang, M.; Liu, S.; Zhang, C. The Related Metabolic Diseases and Treatments of Obesity. Healthcare 2022, 10, 1616. [Google Scholar] [CrossRef] [PubMed]
- Jin, X.; Qiu, T.; Li, L.; Yu, R.; Chen, X.; Li, C.; Proud, C.G.; Jiang, T. Pathophysiology of obesity and its associated diseases. Acta Pharm. Sin. B 2023, 13, 2403–2424. [Google Scholar] [CrossRef]
- Stern, S.E.; Williams, K.; Ferrannini, E.; DeFronzo, R.A.; Bogardus, C.; Stern, M.P. Identification of individuals with insulin resistance using routine clinical measurements. Diabetes 2005, 54, 333–339. [Google Scholar] [CrossRef]
- Li, X.; Morita, S.; Yamada, H.; Koga, K.; Ota, W.; Furuta, T.; Yamatsu, A.; Kim, M. Free Linoleic Acid and Oleic Acid Reduce Fat Digestion and Absorption In Vivo as Potent Pancreatic Lipase Inhibitors Derived from Sesame Meal. Molecules 2022, 27, 4910. [Google Scholar] [CrossRef]
- Sayed, U.F.S.M.; Moshawih, S.; Goh, H.P.; Kifli, N.; Gupta, G.; Singh, S.K.; Chellappan, D.K.; Dua, K.; Hermansyah, A.; Ser, H.L.; et al. Natural products as novel anti-obesity agents: Insights into mechanisms of action and potential for therapeutic management. Front. Pharmacol. 2023, 14, 1182937. [Google Scholar] [CrossRef]
- Kim, G.N.; Shin, M.R.; Shin, S.H.; Lee, A.R.; Lee, J.Y.; Seo, B.I.; Kim, M.Y.; Kim, T.H.; Noh, J.S.; Rhee, M.H.; et al. Study of Antiobesity Effect through Inhibition of Pancreatic Lipase Activity of Diospyros kaki Fruit and Citrus unshiu Peel. Biomed Res. Int. 2016, 2016, 1723042. [Google Scholar] [CrossRef]
- Kim, D.H.; Park, Y.H.; Lee, J.S.; Jeong, H.I.; Lee, K.W.; Kang, T.H. Anti-obesity effect of DKB-117 through the inhibition of pancreatic lipase and α-amylase activity. Nutrients 2020, 12, 3053. [Google Scholar] [CrossRef]
- Dąbrowski, G.; Czaplicki, S.; Szustak, M.; Korkus, E.; Gendaszewska-Darmach, E.; Konopka, I. The impact of selected xanthophylls on oil hydrolysis by pancreatic lipase: In silico and in vitro studies. Sci. Rep. 2024, 14, 2731. [Google Scholar] [CrossRef]
- Qin, X.Y.; Hou, X.D.; Zhu, G.H.; Xiong, Y.; Song, Y.Q.; Zhu, L.; Zhao, D.F.; Jia, S.N.; Hou, J.; Tang, H.; et al. Discovery and Characterization of the Naturally Occurring Inhibitors Against Human Pancreatic Lipase in Ampelopsis grossedentata. Front. Nutr. 2022, 9, 844195. [Google Scholar] [CrossRef] [PubMed]
- Luo, S.; Gill, H.; Dias, D.A.; Li, M.; Hung, A.; Nguyen, L.T.; Lenon, G.B. The inhibitory effects of an eight-herb formula (RCM-107) on pancreatic lipase: Enzymatic, HPTLC profiling and in silico approaches. Heliyon 2019, 5, e02453. [Google Scholar] [CrossRef] [PubMed]
- Frans, P.; Mkabayi, L.; Pletschke, B.I.; Frost, C.L. The effects of Cannabis sativa and Cannabinoids on the inhibition of pancreatic lipase—An enzyme involved in obesity. Biomed. Pharmacother. 2024, 179, 117357. [Google Scholar] [CrossRef] [PubMed]
- Uehira, Y.; Ueno, H.; Miyamoto, J.; Kimura, I.; Ishizawa, Y.; Iijima, H.; Muroga, S.; Fujita, T.; Sakai, S.; Samukawa, Y.; et al. Impact of the lipase inhibitor orlistat on the human gut microbiota. Obes. Res. Clin. Pract. 2023, 17, 411–420. [Google Scholar] [CrossRef]
- Liu, T.T.; Liu, X.T.; Chen, Q.X.; Shi, Y. Lipase Inhibitors for Obesity: A Review. Biomed. Pharmacother. 2020, 128, 110314. [Google Scholar] [CrossRef]
- Jawed, A.; Singh, G.; Kohli, S.; Sumera, A.; Haque, S.; Prasad, R.; Paul, D. Therapeutic role of lipases and lipase inhibitors derived from natural resources for remedies against metabolic disorders and lifestyle diseases. S. Afr. J. Bot. 2019, 120, 25–32. [Google Scholar] [CrossRef]
- Urbizo-Reyes, U.; Liceaga, A.M.; Reddivari, L.; Kim, K.H.; Anderson, J.M. Enzyme kinetics, molecular docking, and in silico characterization of canary seed (Phalaris canariensis L.) peptides with ACE and pancreatic lipase inhibitory activity. J. Funct. Foods 2022, 88, 104892. [Google Scholar] [CrossRef]
- Yang, L.; Cao, S.; Xie, M.; Shi, T. Virtual screening, activity evaluation, and stability of pancreatic lipase inhibitors in the gastrointestinal degradation of nattokinase. Heliyon 2024, 10, e24868. [Google Scholar] [CrossRef]
- Marrelli, M.; Russo, C.; Statti, G.; Argentieri, M.P.; Meleleo, D.; Mallamaci, R.; Avato, P.; Conforti, F. Phytochemical and biological characterization of dry outer scales extract from Tropea red onion (Allium cepa L. var. Tropea)—A promising inhibitor of pancreatic lipase. Phytomed. Plus 2022, 2, 100235. [Google Scholar] [CrossRef]
- Ginting, S.; Bayu, E.S.; Putri, L.A.P. Keragaman Morfologi Buah Asam Gelugur (Garcinia atroviridis Griff. Ex T. Anders) di Kabupaten Asahan, Kabupaten Batubara dan Kabupaten Serdang Berdagai di Sumatera Utara. J. Agroeteknologi FP USU 2018, 6, 809–817. [Google Scholar]
- Adriadi, A.; Asra, R.; Solikah, S. Studi Etnobotani Tumbuhan Obat Masyarakat Kelurahan Kembang Paseban Kecamatan Mersam Kabupaten Batanghari. J. Belantara 2022, 5, 191–209. [Google Scholar] [CrossRef]
- Putri, S.A.; Cahyanto, T. Kajian Etnobotani Tumbuhan Jombang di Desa Sukamanah Kecamatan Pangalengan, Jawa Barat. USADA Nusant. J. Kesehat. Tradis. 2024, 2, 214–221. [Google Scholar] [CrossRef]
- Mukherjee, P.K.; Harwansh, R.K.; Bahadur, S.; Chanda, J.; Biswas, S.; Banerjee, S. Enzyme inhibition assay for metabolic disorders—Exploring leads from medicinal plants. In Animal Biotechnology; Academic Press: Boston, MI, USA, 2020; ISBN 9780128117101. [Google Scholar]
- Tang, S.W.; Sukari, M.A.; Neoh, B.K.; Yeap, Y.S.Y.; Abdul, A.B.; Kifli, N.; Ee, G.C.L. Phytochemicals from Kaempferia angustifolia Rosc. and their cytotoxic and antimicrobial activities. Biomed Res. Int. 2014, 2014, 417674. [Google Scholar] [CrossRef] [PubMed]
- Saensouk, P.; Saensouk, S.; Boonma, T. Two new species of Kaempferia subgenus Kaempferia (Zingiberaceae: Zingibereae) from Thailand. Biodiversitas 2022, 23, 4343–4354. [Google Scholar] [CrossRef]
- Nuraini, V.A.; Hanan, F.A.; Mustapha, I. Isolation and Modification of Ethyl-p-Methoxycinnamate from Kaempferia galanga and Its Antioxidant Activity. Chem. Isola 2024, 4, 225–229. [Google Scholar]
- Boonma, T.; Saensouk, S.; Saensouk, P. Diversity and Traditional Utilization of the Zingiberaceae Plants in Nakhon Nayok Province, Central Thailand. Diversity 2023, 15, 904. [Google Scholar] [CrossRef]
- Rafi, M.; Karomah, A.H.; Septaningsih, D.A.; Trivadila; Rahminiwati, M.; Putri, S.P.; Iswantini, D. LC-MS/MS based metabolite profiling and lipase enzyme inhibitory activity of Kaempferia angustifolia Rosc. with different extracting solvents. Arab. J. Chem. 2022, 15, 104232. [Google Scholar] [CrossRef]
- Elshamy, A.I.; Mohamed, T.A.; Essa, A.F.; Abd-Elgawad, A.M.; Alqahtani, A.S.; Shahat, A.A.; Yoneyama, T.; Farrag, A.R.H.; Noji, M.; El-Seedi, H.R.; et al. Recent advances in Kaempferia phytochemistry and biological activity: A comprehensive review. Nutrients 2019, 11, 2396. [Google Scholar] [CrossRef]
- Pradono, D.I.; Darusman, L.K.; Susanti, A. Inhibisi Lipase Pankreas secara In Vitro oleh Ekstrak Air dan Etanol Daun Asam Jawa (Tamarindus indica) dan Rimpang Kunci Pepet (Kaempferiae rotundae). J. Nat. Indones. 2012, 13, 146–154. [Google Scholar] [CrossRef]
- Sari, I.P. Kinetika Inhibisi Ekstrak Etanol Buah Asam Gelugur Dan Ekstrak Air Rimpang Kunci Pepet Terhadap Lipase Pankreas. Undergraduate Thesis, IPB University, Bogor, Indonesia, 2012; p. 1760. [Google Scholar]
- Nurfadzillah; Marliana, E.; Ruga, R. Antibacterial Activity Test of White Turmeric Rhizome (Kaempferia Rotunda L.) Against Streptococcus Sobrinus and Salmonella Typhi. J. At. 2022, 6, 101–105. [Google Scholar]
- Vezza, T.; Canet, F.; de Marañón, A.M.; Bañuls, C.; Rocha, M.; Víctor, V.M. Phytosterols: Nutritional health players in the management of obesity and its related disorders. Antioxidants 2020, 9, 1266. [Google Scholar] [CrossRef] [PubMed]
- Okokon, J.E.; Nyong, M.E.; Thomas, P.S.; Daniel, A.O.; Enin, G.N.; Udobang, J.A. Antiobesity Activity of Extract, Fractions and Pure Compounds from Husk of Zea mays. Trop. J. Nat. Prod. Res. 2021, 5, 1868–1875. [Google Scholar]
- Liu, Y.; Pan, F.; Wang, O.; Zhu, Z.; Li, Q.; Yang, Z.; Tian, W.; Zhao, L.; Zhao, L. QSAR model of pancreatic lipase inhibition by phenolic acids and their derivatives based on machine learning and multi-descriptor strategy. J. Agric. Food Res. 2023, 14, 100783. [Google Scholar] [CrossRef]
- Seo, C.R.; Yi, B.R.; Oh, S.; Kwon, S.M.; Kim, S.; Song, N.J.; Cho, J.Y.; Park, K.M.; Ahn, J.Y.; Hong, J.W.; et al. Aqueous extracts of hulled barley containing coumaric acid and ferulic acid inhibit adipogenesis in vitro and obesity in vivo. J. Funct. Foods 2015, 12, 208–218. [Google Scholar] [CrossRef]
- Hanif, N.; Iswantini, D.; Hioki, Y.; Murni, A.; Kita, M.; Tanaka, J. Flavokawains, Plant-derived Chalcones, Inhibit Differentiation of Murine Pre-adipocytes. Chem. Lett. 2022, 51, 54–57. [Google Scholar] [CrossRef]
- Hidaka, M.; Horikawa, K.; Akase, T.; Makihara, H.; Ogami, T.; Tomozawa, H.; Tsubata, M.; Ibuki, A.; Matsumoto, Y. Efficacy of Kaempferia parviflora in a mouse model of obesity-induced dermatopathy. J. Nat. Med. 2017, 71, 59–67. [Google Scholar] [CrossRef]
- Bayu, E.S.; Febrianti, W.; Damanik, R.I.M. Flower morphology diversity of asam gelugur (Garcinia atroviridis griff, ex t. anders) accessions in several districts of North Sumatera, Indonesian. IOP Conf. Ser. Earth Environ. Sci. 2018, 122, 12038. [Google Scholar] [CrossRef]
- Bayu, E.S.; Lestami, A.; Kardhinata, E.H. Rosemary Phylogenetic relationship of asam gelugur (Garcinia atroviridis Griff. ex T. Anders) based on morphological characters in Langkat and Serdang Berdagai, Sumatera Utara. IOP Conf. Ser. Earth Environ. Sci. 2018, 122, 12077. [Google Scholar] [CrossRef]
- Karo-Karo, T.; Julianti, E.; Nurminah, M. Physicochemical Properties of Gelugur Powder (Garcinia atroviridis). IOP Conf. Ser. Earth Environ. Sci. 2019, 305, 12033. [Google Scholar] [CrossRef]
- Niyomdecha, A.; Wattanachant, C.; Rattanawut, J.; Plodpai, P.; Ngampongsai, W. Antibacterial activity of ethanol extract of asam gelugur (Garcinia atroviridis) fruits from Southern Thailand. Thai J. Pharm. Sci. 2022, 46, 346–352. [Google Scholar] [CrossRef]
- Chuah, L.O.; Ho, W.Y.; Beh, B.K.; Yeap, S.K. Updates on antiobesity effect of garcinia Origin (-)-HCA. Evid.-Based Complement. Altern. Med. 2013, 2013, 751658. [Google Scholar] [CrossRef] [PubMed]
- Iswantini, D.; Hanif, N.; RizkiPranoto, D. Trivadila Active Fraction as Anti-obesity by in Vitro toward Pancreatic Lipase Activity. IOP Conf. Ser. Mater. Sci. Eng. 2021, 1070, 12012. [Google Scholar] [CrossRef]
- Shahid, M.; Law, D.; Azfaralariff, A.; Mackeen, M.M.; Chong, T.F.; Fazry, S. Phytochemicals and Biological Activities of Garcinia atroviridis: A Critical Review. Toxics 2022, 10, 656. [Google Scholar] [CrossRef]
- Hamidon, H.; Susantİ, D.; Taher, M.; Zakarİa, Z.A. Garcinia atroviridis—A review on phytochemicals and pharmacological properties. Marmara Pharm. J. 2017, 21, 38–47. [Google Scholar] [CrossRef]
- Samodra, G. Standardisasi Parameter Spesifik dan Non Spesifik Ekstrak Etanol Buah Asam Gelugur (Garcinia aatroviridis Griff.). Viva Med. J. Kesehat. Kebidanan Keperawatan 2019, 11, 16–26. [Google Scholar] [CrossRef]
- Andayani, R.; Armin, F.; Mardhiyah, A. Determination of the Total Phenolics and Antioxidant Activity in the Rind Extracts of Garcinia mangostana L., Garcinia cowa Roxb., and Garcinia atroviridis Griff. Ex T. Anders. Asian J. Pharm. Clin. Res. 2020, 13, 149–152. [Google Scholar] [CrossRef]
- Lim, W.F.; Nasir, S.M.; Teh, L.K.; James, R.J.; Izhar, M.H.M.; Salleh, M.Z. The methanolic extract of Garcinia atroviridis (MeGa) reduces body weight and food intake, and improves lipid profiles by altering the lipid metabolism: A rat model. Turk. J. Biol. 2020, 44, 437–448. [Google Scholar] [CrossRef]
- Iswantini, D.; Trivadila; Hanif, N.; Dewi, F.N.A.; Sadiah, S.; Indariani, S.; Ridwan, T.; Chaidir. Komposisi Obat Herbal Pelangsing Berbasis Ekstrak Buah Asam Gelugur (Garcinia atrovirids) dan Ekstrak Rimpang Kunci Pepet (Kaempferia angustifolia) serta Proses Pembuatannya. Republik Indonesia Permohonan Patent P00202203963, 21 June 2024. [Google Scholar]
- Achmadi, S.S. The potency of potassium hydroxycitrate derived from gelugur fruit (Garcinia atroviridis) in reducing body weight and cholesterol levels in rats. Hayati 2001, 8, 23–26. [Google Scholar]
- Preuss, H.G.; Bagchi, D.; Bagchi, M.; Rao, C.S.; Dey, D.K.; Satyanarayana, S. Effects of a natural extract of (-)-hydroxycitric acid (HCA-SX) and a combination of HCA-SX plus niacin-bound chromium and Gymnema sylvestre extract on weight loss. Diabetes Obes. Metab. 2004, 6, 171–180. [Google Scholar] [CrossRef]
- Kim, K.Y.; Lee, H.N.; Kim, Y.J.; Park, T. Garcinia cambogia extract ameliorates visceral adiposity in C57BL/6J mice fed on a high-fat diet. Biosci. Biotechnol. Biochem. 2008, 72, 1772–1780. [Google Scholar] [CrossRef]
- Rahmat, E.; Lee, J.; Kang, Y. Javanese Turmeric (Curcuma xanthorrhiza Roxb.): Ethnobotany, Phytochemistry, Biotechnology, and Pharmacological Activities. Evid.-Based Complement. Altern. Med. 2021, 2021, 9960813. [Google Scholar] [CrossRef] [PubMed]
- Subositi, D.; Wahyono, S. Study of the genus curcuma in Indonesia used as traditional herbal medicines. Biodiversitas 2019, 20, 1356–1361. [Google Scholar] [CrossRef][Green Version]
- Malau, R.C.; Nasution, S.W.; Nasution, A.N.; Widowati, W.; Nindya, F.S.; Kusuma, H.S.W. Antioxidant Potential of Temulawak (Curcuma xanthorrhiza) Extract Gel As a Candidate for Wound Healing. J. Vocat. Heallth Stud. 2024, 7, 166–174. [Google Scholar] [CrossRef]
- Ramandha, M.E.P.; Kresnapati, I.N.B.A. Isolation of curcumin compounds in Temulawak Rhizome (Xanthorrhiza Roxb). J. Nat. Sci. Math. Res. 2023, 9, 127–134. [Google Scholar] [CrossRef]
- Rosidah, I.; Renggani, T.N.; Firdausi, N.; Ningsih, S.; Yunianto, P.; Permatasari, D.; Pongtuluran, O.B.; Bahua, H.; Efendi, J.; Kusumastuti, S.A.; et al. Acute and Subchronic Toxicological Study of the Cocktail Extract from Curcuma xanthorrhiza Roxb, Phyllanthus niruri L. and Morinda citrifolia L. J. Toxicol. 2024, 2024, 9445226. [Google Scholar] [CrossRef]
- Yasacaxena, L.N.Y.; Defi, M.N.; Kandari, V.P.; Weru, P.T.R.; Papilaya, F.E.; Oktafera, M.; Setyaningsih, D. Review: Extraction of Temulawak Rhizome (Curcuma xanthorrhiza Roxb.) and Activity As Antibacterial. J. Jamu Indones. 2023, 8, 10–17. [Google Scholar] [CrossRef]
- Kartini, K.; Sabatini, S.S.; Haridsa, N.M.; Jayani, N.I.E.; Setiawan, F.; Hadiyat, M.A. TLC-fingerprinting and chemometrics for identification of Curcuma xanthorrhiza from different geographical origins in Indonesia. Biodiversitas 2023, 24, 6557–6566. [Google Scholar] [CrossRef]
- Cahyono, B.; Huda, M.D.K.; Limantara, L. Pengaruh proses pengeringan rimpang temulawak (Curcuma xanthorriza Roxb) terhadap kandungan dan komposisi kurkuminoid. Reaktor 2011, 13, 165–171. [Google Scholar] [CrossRef][Green Version]
- Agustina, S.; Ruslan; Wiraningtyas, A. Skrining Fitokimia Tanaman Obat Di Kabupaten Bima. Cakra Kim. (Indones. E-J. Appl. Chem.) 2016, 4, 71–76. [Google Scholar]
- Tania, P.O.A.; Listyawati, A.F.; Soekanto, A.; Simamora, D.; Purbowati, R. Studi Invitro dan Insilico Efektivitas Antibakteri Kunyit Putih Terhadap Hambatan Pertumbuhan Escherichia Coli. Indones. J. Infect. Dis. 2024, 10, 47–67. [Google Scholar] [CrossRef]
- Batubara, I.; Julita, I.; Darusman, L.K.; Muddathir, A.M.; Mitsunaga, T. Flower bracts of temulawak (Curcuma xanthorrhiza) for skin care: Anti-acne and whitening agents. Procedia Chem. 2015, 14, 216–224. [Google Scholar] [CrossRef]
- Kim, C.Y.; Le, T.T.; Chen, C.; Cheng, J.X.; Kim, K.H. Curcumin inhibits adipocyte differentiation through modulation of mitotic clonal expansion. J. Nutr. Biochem. 2011, 22, 910–920. [Google Scholar] [CrossRef]
- Ejaz, A.; Wu, D.; Kwan, P.; Meydani, M. Curcumin inhibits adipogenesis in 3T3-L1 adipocytes and angiogenesis and obesity in C57/BL mice. J. Nutr. 2009, 139, 919–925. [Google Scholar] [CrossRef] [PubMed]
- Oon, S.F.; Nallappan, M.; Kassim, N.K.; Shohaimi, S.; Sa’ariwijaya, M.S.F.; Tee, T.T.; Cheah, Y.H. Hypolipidemic activities of xanthorrhizol purified from centrifugal TLC. Biochem. Biophys. Res. Commun. 2016, 478, 1403–1408. [Google Scholar] [CrossRef] [PubMed]
- Kim, H.; Lee, D.W.; Hwang, J.K. Curcuma xanthorrhiza extract and xanthorrhizol ameliorate cancer-induced adipose wasting in CT26-bearing mice by regulating lipid metabolism and adipose tissue browning. Integr. Med. Res. 2024, 13, 101020. [Google Scholar] [CrossRef] [PubMed]
- Muti, A.F.; Adia, R.; Rifkia, V.; Pradana, D.L.C. Lipase Enzyme Inhibitory Activity of Jombang Leaves Extract (Taraxacum officinale F.H. Wigg). J. Farm. Galen. (Galen. J. Pharm.) 2024, 10, 50–61. [Google Scholar] [CrossRef]
- Fan, M.; Zhang, X.; Song, H.; Zhang, Y. Dandelion (Taraxacum Genus): A Review of Chemical Constituents and Pharmacological Effects. Molecules 2023, 28, 5022. [Google Scholar] [CrossRef]
- Kamal, F.Z.; Lefter, R.; Mihai, C.T.; Farah, H.; Ciobica, A.; Ali, A.; Radu, I.; Mavroudis, I.; Ech-Chahad, A. Chemical Composition, Antioxidant and Antiproliferative Activities of Taraxacum officinale Essential Oil. Molecules 2022, 27, 6477. [Google Scholar] [CrossRef]
- Yan, Q.; Xing, Q.; Liu, Z.; Zou, Y.; Liu, X.; Xia, H. The phytochemical and pharmacological profile of dandelion. Biomed. Pharmacother. 2024, 179, 117334. [Google Scholar] [CrossRef]
- de Smet, P.A.G.M. Taraxacum Officinale BT. In Adverse Effects of Herbal Drugs 2; de Smet, P.A.G.M., Keller, K., Hänsel, R., Chandler, R.F., Eds.; Springer: Berlin/Heidelberg, Germany, 1993; pp. 297–302. ISBN 978-3-642-48906-8. [Google Scholar]
- Ivanov, I.G. Polyphenols content and antioxidant activities of Taraxacum officinale F.H. Wigg (Dandelion) leaves. Int. J. Pharmacogn. Phytochem. Res. 2014, 6, 889–893. [Google Scholar]
- Ding, X.; Jian, T.; Li, J.; Lv, H.; Tong, B.; Li, J.; Meng, X.; Ren, B.; Chen, J. Chicoric Acid Ameliorates Nonalcoholic Fatty Liver Disease via the AMPK/Nrf2/NF κ B Signaling Pathway and Restores Gut Microbiota in High-Fat-Diet-Fed Mice. Oxidative Med. Cell. Longev. 2020, 2020, 9734560. [Google Scholar] [CrossRef] [PubMed]
- Jayaraman, S.; Devarajan, N.; Rajagopal, P.; Babu, S.; Ganesan, S.K.; Veeraraghavan, V.P.; Palanisamy, C.P.; Cui, B.; Periyasamy, V.; Chandrasekar, K. β-sitosterol circumvents obesity induced inflammation and insulin resistance by down-regulating IKKβ/NF-κB and JNK signaling pathway in adipocytes of type 2 diabetic rats. Molecules 2021, 26, 2101. [Google Scholar] [CrossRef] [PubMed]
- Aabideen, Z.U.; Mumtaz, M.W.; Akhtar, M.T.; Mukhtar, H.; Raza, S.A.; Touqeer, T.; Saari, N. Anti-Obesity Attributes; UHPLC-QTOF-MS/MS-Based Metabolite Profiling and Molecular Docking Insights of Taraxacum officinale. Molecules 2020, 25, 4935. [Google Scholar] [CrossRef]
- Sasikala, P.; Ganesan, S.; Jayaseelan, T.; Azhagumadhavan, S.; Padma, M.; Senthilkumar, S.; Mani, P. Phytochemicals and GC–MS analysis of bioactive compounds present in ethanolic leaves extract of Taraxacum officinale (L). J. Drug Deliv. Ther. 2019, 9, 90–94. [Google Scholar] [CrossRef]
- Zhang, J.; Kang, M.-J.; Kim, M.-J.; Kim, M.-E.; Song, J.-H.; Lee, Y.-M.; Kim, J.-I. Pancreatic lipase inhibitory activity of Taraxacum officinale in vitro and in vivo. Nutr. Res. Pract. 2008, 2, 200–203. [Google Scholar] [CrossRef]
- Garg, A.; Singh, R. Antiobesity activity of ethanolic extract of Cassia auriculata in high fat diet induced obese rats. Int. J. Pharm. Pharm. Sci. 2015, 7, 237–243. [Google Scholar] [CrossRef]
- Maratul, H.; Widyastuti, Y.; Supriyono; Yunus, A. The diversity of leaves and asiaticoside content on three accessions of Centella asiatica with the addition of chicken manure fertilizer. Biodiversitas 2020, 21, 1035–1040. [Google Scholar] [CrossRef]
- Chang, Y.B.; Ahn, Y.; Seo, D.; Bae, S.; Suh, H.J.; Hong, Y.H.; Jung, E.Y. Centella asiatica lowers body fat accumulation via regulating cholesterol homeostasis- and lipid metabolism-related genes in mice with high-fat, high-sugar diet-induced obesity. Appl. Biol. Chem. 2023, 66, 88. [Google Scholar] [CrossRef]
- Rahminiwati, M.; Trivadila; Iswantini, D.; Takemori, H.; Koketsu, M.; Sianipar, R.N.R.; Achmadi, S.S.; Sjahriza, A.; Soebrata, B.M.; Wulanawati, A. Indonesian Medicinal Plants with Anti-inflammatory Properties and Potency as Chronic Obstructive Pulmonary Disease (COPD) Herbal Medicine. Pharmacogn. J. 2022, 14, 432–444. [Google Scholar] [CrossRef]
- Wildayati, W.; Suparto, I.H.; Rafi, M. Metabolite Profile and Antioxidant Capacity of Centella asiatica Leaves Extract with Different Extraction Methods. al Kim. 2024, 11, 29–35. [Google Scholar] [CrossRef]
- Maruzy, A.; Susandarini, R. Intraspecific Variability and Phenetic Relationships of Centella asiatica (L.) Urb. Accessions from Central Java Based on Morphological Characters. J. Trop. Biodivers. Biotechnol. 2024, 9, 86477. [Google Scholar] [CrossRef]
- Handayani, D.P.; Kusuma, H.S.; Timotius, D.; Sarastika, T.; Mahfud, M.; Darmokoesoemo, H. Extraction of Centella asiatica herb using microwave-assisted solvent extraction: Optimization of crude extract using Box-Behnken design. Green Anal. Chem. 2024, 11, 100146. [Google Scholar] [CrossRef]
- Yunarto, N.; Mawadatun, U.; Reswandaru, U.N.; Sopian, A.; Isnawati, A.; Alegantina, S. Antioxidant and Inhibition Lipase Enzyme Activity of Centella asiatica Leaf Extract. J. Kefarmasian Indones. 2023, 13, 167–174. [Google Scholar]
- Hong, J.W.; Park, H.Y.; Kim, H.A.; Kim, J.W. Effect of Centella asiatica Extract on Anti-obesity Suppression via Inhibition of Adipogenesis-related Gene Expression in Preadipocyte. Food Sci. Technol. 2023, 43, e114222. [Google Scholar] [CrossRef]
- Hasimun, P.; Damayanti, E.P.; Sulaeman, A. Potential Role of Centella asiatica and Sauropus androgynus in High-Fat and High-Fructose Diet-Induced-Obesity Animal Model. Indones. J. Pharm. 2024, 35, 272–281. [Google Scholar] [CrossRef]
- Saxena, R.; Pal, Y. Pharmacognostic review and phytochemical screening of Centella asiatica Linn. J. Med. Plants Stud. JMPS 2016, 132, 132–135. [Google Scholar]
- Kandasamy, A.; Aruchamy, K.; Rangasamy, P.; Varadhaiyan, D.; Gowri, C.; Oh, T.H.; Ramasundaram, S.; Athinarayanan, B. Phytochemical Analysis and Antioxidant Activity of Centella Asiatica Extracts: An Experimental and Theoretical Investigation of Flavonoids. Plants 2023, 12, 3547. [Google Scholar] [CrossRef]
- Saranya, S.; Nair, A.; Prathapan, P.; Neethu, A.; Kumar, N.S. Phytochemical Analysis of Centella Asiatica L. Leaf Extracts. Int. J. Adv. Res. 2017, 5, 1828–1832. [Google Scholar] [CrossRef]
- Vinolina, N.S.; Sigalingging, R. Phytochemical screening and biomass production of Centella asiatica (L.) Urb of Samosir-Indonesia accession cultivated on acid soil with different phosphorus treatments. IOP Conf. Ser. Earth Environ. Sci. 2021, 782, 32021. [Google Scholar] [CrossRef]
- Bandopadhyay, S.; Mandal, S.; Ghorai, M.; Jha, N.K.; Kumar, M.; Radha, A.; Ghosh, A.; Proćków, J.; de la Lastra, J.M.P.; Dey, A. Therapeutic properties and pharmacological activities of asiaticoside and madecassoside: A review. J. Cell. Mol. Med. 2023, 27, 593–608. [Google Scholar] [CrossRef]
- Sun, B.; Wu, L.; Wu, Y.; Zhang, C.; Qin, L.; Hayashi, M.; Kudo, M.; Gao, M.; Liu, T. Therapeutic Potential of Centella asiatica and Its Triterpenes: A Review. Front. Pharmacol. 2020, 11, 568032. [Google Scholar] [CrossRef] [PubMed]
- Wiciński, M.; Fajkiel-Madajczyk, A.; Kurant, Z.; Gajewska, S.; Kurant, D.; Kurant, M.; Sousak, M. Can Asiatic Acid from Centella asiatica Be a Potential Remedy in Cancer Therapy?—A Review. Cancers 2024, 16, 1317. [Google Scholar] [CrossRef] [PubMed]
- Sun, B.; Hayashi, M.; Kudo, M.; Wu, L.; Qin, L.; Gao, M.; Liu, T. Madecassoside Inhibits Body Weight Gain via Modulating SIRT1-AMPK Signaling Pathway and Activating Genes Related to Thermogenesis. Front. Endocrinol. 2021, 12, 627950. [Google Scholar] [CrossRef] [PubMed]
- Uddandrao, V.V.S.; Rameshreddy, P.; Brahmanaidu, P.; Ponnusamy, P.; Balakrishnan, S.; Ramavat, R.N.; Swapna, K.; Pothani, S.; Nemani, H.; Meriga, B.; et al. Antiobesity efficacy of asiatic acid: Down-regulation of adipogenic and inflammatory processes in high fat diet induced obese rats. Arch. Physiol. Biochem. 2020, 126, 453–462. [Google Scholar] [CrossRef]
- Vangoori, Y.; Dakshinamoorthi, A.; Kavimani, S. Prominent Pancreatic Lipase Inhibition and Free Radical Scavenging Activity of a Myristica fragrans Ethanolic Extract in vitro. Potential Role in Obesity Treatment. A J. Clin. Med. 2019, 14, 254–259. [Google Scholar] [CrossRef]
- Al-Rawi, S.S.; Ibrahim, A.H.; Ahmed, H.J.; Khudhur, Z.O. Therapeutic, and pharmacological prospects of nutmeg seed: A comprehensive review for novel drug potential insights. Saudi Pharm. J. 2024, 32, 102067. [Google Scholar] [CrossRef]
- Sultan, M.T.; Saeed, F.; Raza, H.; Ilyas, A.; Sadiq, F.; Musarrat, A.; Afzaal, M.; Hussain, M.; Raza, M.A.; Al JBawi, E. Nutritional and therapeutic potential of nutmeg (Myristica fragrans): A concurrent review. Cogent Food Agric. 2023, 9, 2279701. [Google Scholar] [CrossRef]
- Khairan, K.; Faradilla, M.; Ginting, B. Isolation of Nutmeg Essential Oil (Myristica fragrans houtt) From Aceh Indonesia and Their Antioxidant and Antibacterial Activities. Indones. J. Pharm. 2024, 35, 425–436. [Google Scholar] [CrossRef]
- Saputri, A.; Fajriah, S.; Cahyana, A.H.; Putria, D.K.; Saputra, Z.; Angelina, M. Pytochemicals Profiles, Antioxidant, and Anticancer Activities from Leaves and Seeds Extract of Myristica fragrans. J. Kim. Ris. 2024, 9, 182–195. [Google Scholar]
- Thomas, R.A.; Krishnakumari, S. Phytochemical profiling of Myristica fragrans seed extract with different organic solvents. Asian J. Pharm. Clin. Res. 2015, 8, 303–307. [Google Scholar]
- Yakaiah, V.; Dakshinamoorthi, A.; Sudha, T.Y.S. Novel Aspects in Inhibiting Pancreatic Lipase with Potential New Compound from Nutmeg in Connection with Obesity—In Vitro, In Silico, In Vivo and Ex Vivo Studies. Maedica 2021, 16, 445–452. [Google Scholar] [CrossRef] [PubMed]
- Nguyen, P.H.; Le, T.V.T.; Kang, H.W.; Chae, J.; Kim, S.K.; Kwon, K.i.I.; Seo, D.B.; Lee, S.J.; Oh, W.K. AMP-activated protein kinase (AMPK) activators from Myristica fragrans (nutmeg) and their anti-obesity effect. Bioorganic Med. Chem. Lett. 2010, 20, 4128–4131. [Google Scholar] [CrossRef] [PubMed]
Disclaimer/Publisher’s Note: The statements, opinions and data contained in all publications are solely those of the individual author(s) and contributor(s) and not of MDPI and/or the editor(s). MDPI and/or the editor(s) disclaim responsibility for any injury to people or property resulting from any ideas, methods, instructions or products referred to in the content. |
© 2025 by the authors. Licensee MDPI, Basel, Switzerland. This article is an open access article distributed under the terms and conditions of the Creative Commons Attribution (CC BY) license (https://creativecommons.org/licenses/by/4.0/).








