Stimulation of Angiotensin II Receptor Subtype 2 Reduces Preeclampsia-like Symptoms in a Mouse Model of Preeclampsia
Abstract
1. Introduction
2. Materials and Methods
2.1. Animals
2.2. C21 Delivery
2.3. Physiological Measurements
2.4. Flow Cytometric Analyses
2.5. B Cell Subset Analysis
2.6. ELISA
2.7. Statistical Analysis
3. Results
3.1. BP and Proteinuria
3.2. Pregnancy Outcomes
3.3. Intracellular Cytokine Profiles
3.4. Flow Cytometry for B Cell Subsets Analysis
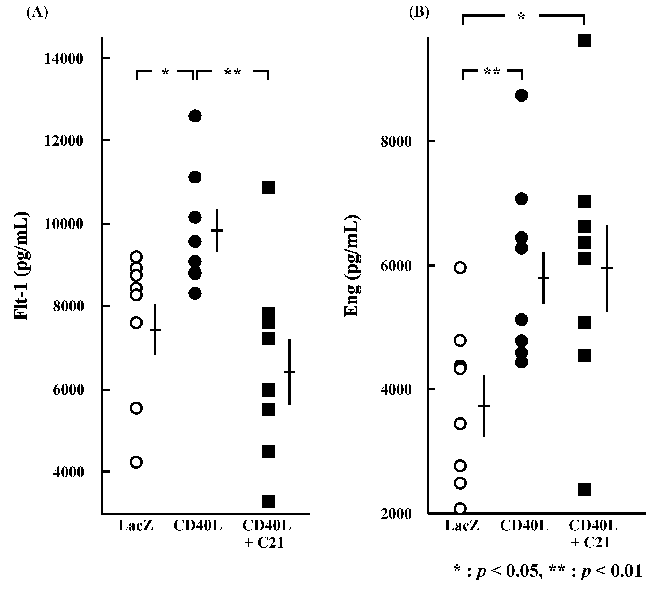
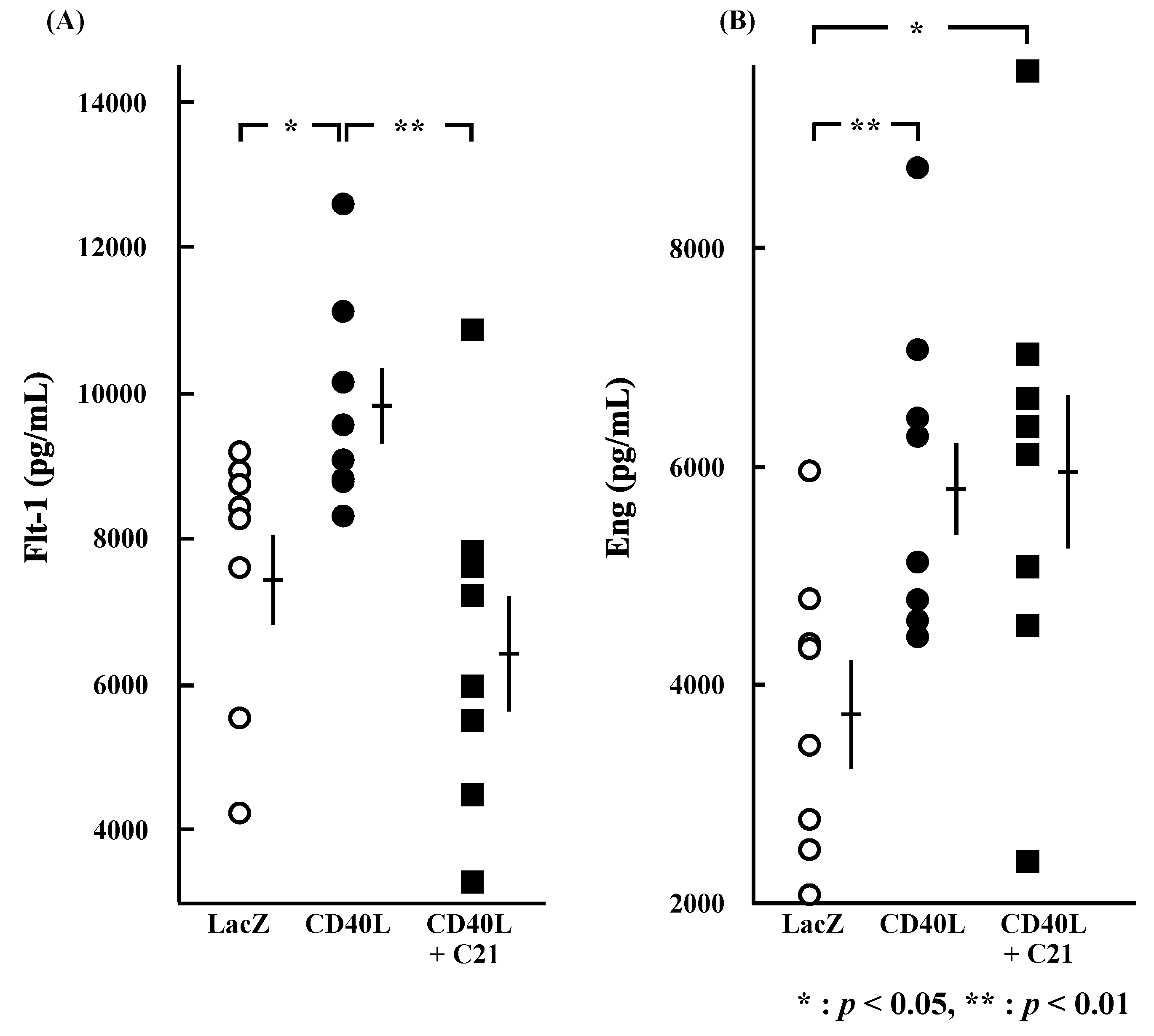
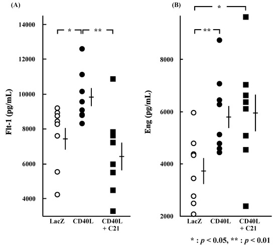
3.5. Cytokine Plasma Concentrations
4. Discussion
Supplementary Materials
Author Contributions
Funding
Institutional Review Board Statement
Informed Consent Statement
Data Availability Statement
Acknowledgments
Conflicts of Interest
List of Abbreviations
| AngII | angiotensin II |
| AT1R | angiotensin II receptor subtype 1 |
| AT2R | angiotensin II receptor subtype 2 |
| C21 | compound 21 |
| ICR | imprinting control region |
| PE | preeclampsia |
| sFlt-1 | soluble fms-like tyrosine kinase 1 |
| sEng | soluble endoglin |
| CD40 | cluster of differentiation 40 |
| CD40L | CD40 ligand |
| TNF | tumor necrosis factor |
| Th | T-helper cell |
| RAS | renin–angiotensin system |
| BP | blood pressure |
| ARBs | angiotensin receptor blockers |
| ACEIs | angiotensin-converting enzyme inhibitors |
| B2R | bradykinin B2 receptor |
| IPF | idiopathic pulmonary fibrosis |
| FVC | forced vital capacity |
| LacZ | β-galactosidase |
| ELISA | enzyme-linked immunosorbent assay |
| RT | room temperature |
| IFN-γ | interferon-γ |
| IL-4 | interleukin-4 |
| VEGFR1 | vascular endothelial growth factor receptor 1 |
| ANOVAs | one-way analysis of variance |
| PlGF | placental growth factor |
References
- ACOG Practice Bulletin, No. 202. Gestational hypertension and preeclampsia. Obstet. Gynecol. 2019, 133, e1–e25.
- Katsi, V.; Kanellopoulou, T.; Makris, T.; Nihoyannopoulos, P.; Nomikou, E.; Tousoulis, D. Aspirin vs heparin for the prevention of preeclampsia. Curr. Hypertens. Rep. 2016, 18, 57. [Google Scholar] [CrossRef]
- Moffett, A.; Colucci, F. Uterine NK cells: Active regulators at the maternal-fetal interface. J. Clin. Investig. 2014, 124, 1872–1879. [Google Scholar] [CrossRef]
- Apps, R.; Gardner, L.; Sharkey, A.M.; Holmes, N.; Moffett, A. A homodimeric complex of HLA-G on normal trophoblast cells modulates antigen-presenting cells via LILRB1. Eur. J. Immunol. 2007, 37, 1924–1937. [Google Scholar] [CrossRef] [PubMed]
- Pijnenborg, R.; Vercruysse, L.; Hanssens, M. The uterine spiral arteries in human pregnancy: Facts and controversies. Placenta 2006, 27, 939–958. [Google Scholar] [CrossRef]
- Nancy, P.; Tagliani, E.; Tay, C.S.; Asp, P.; Levy, D.E.; Erlebacher, A. Chemokine gene silencing in decidual stromal cells limits T cell access to the maternal-fetal interface. Science 2012, 336, 1317–1321. [Google Scholar] [CrossRef]
- Redman, C.W.; Sargent, I.L. Latest advances in understanding preeclampsia. Science 2005, 308, 1592–1594. [Google Scholar] [CrossRef]
- Spriggs, M.; Armitage, R.; Strockbine, L.; Clifford, K.N.; Macduff, B.M.; Sato, T.A.; Maliszewski, C.R.; Fanslow, W.C. Recombinant human CD40 ligand stimulates B cell proliferation and immunoglobulin E secretion. J. Exp. Med. 1992, 176, 1543–1550. [Google Scholar] [CrossRef] [PubMed]
- Von Hundelshausen, P.; Weber, C. Platelets as immune cells: Bridging inflammation and cardiovascular disease. Circ. Res. 2007, 100, 27–40. [Google Scholar] [CrossRef] [PubMed]
- Matsubara, K.; Matsubara, Y.; Mori, M.; Uchikura, Y.; Hamada, K.; Fujioka, T.; Hashimoto, H.; Matsumoto, T. Immune activation during the implantation phase causes preeclampsia-like symptoms via the CD40–CD40 ligand pathway in pregnant mice. Hypertens. Res. 2016, 39, 407–414. [Google Scholar] [CrossRef]
- Peach, M. Renin-angiotensin system: Biochemistry and mechanism of action. Physiol. Rev. 1977, 57, 313–369. [Google Scholar] [CrossRef]
- Gant, N.; Daley, G.; Chand, S.; Whalley, P.J.; MacDonald, P.C. A study of angiotensin II pressor response throughout primigravid pregnancy. J. Clin. Investig. 1973, 52, 2682–2689. [Google Scholar] [CrossRef] [PubMed]
- Massani, Z.M.; Sanguinetti, R.; Gallegos, R.; Raimondi, D. Angiotensin blood levels in normal and toxemic pregnancies. Am. J. Obstet. Gynecol. 1967, 99, 313–317. [Google Scholar] [CrossRef]
- Wilson, M.; Morganti, A.A.; Zervoudakis, I.; Letcher, R.L.; Romney, B.M.; Von Oeyon, P.; Papera, S.; Sealey, J.E.; Laragh, J.H. Blood pressure, the renin-aldosterone system and sex steroids throughout normal pregnancy. Am. J. Med. 1980, 68, 97–104. [Google Scholar] [CrossRef]
- Nakamura, T.; Ito, M.; Matsui, K.; Yoshimura, T.; Kawasaki, N.; Maeyama, M. Significance of angiotensin sensitivity test for prediction of pregnancy-induced hypertension. Obstet. Gynecol. 1986, 67, 388–394. [Google Scholar] [PubMed]
- Gallery, E.; Stokes, G.; Györy, A.Z.; Rowe, J.; Williams, J. Plasma renin activity in normal human pregnancy and in pregnancy-associated hypertension with reference to cryoactivation. Clin. Sci. 1980, 59, 49–53. [Google Scholar] [CrossRef] [PubMed]
- Karumanchi, S.A.; Lindheimer, M.D. Preeclampsia pathogenesis: “triple a rating” –autoantibodies and antiangiogenic factors. Hypertension 2008, 51, 991–992. [Google Scholar] [CrossRef] [PubMed][Green Version]
- Suzuki, Y.; Ruiz-Ortega, M.; Lorenzo, O.; Ruperez, M.; Esteban, V.; Egido, J. Inflammation and angiotensin II. Int. J. Biochem. Cell. Biol. 2003, 35, 881–900. [Google Scholar] [CrossRef]
- Nickenig, G.; Harrison, D. The AT(1)-type angiotensin receptor in oxidative stress and atherogenesis. Part I: Oxidative stress and atherogenesis. Circulation 2002, 105, 393–396. [Google Scholar] [CrossRef]
- Matavelli, L.C.; Siragy, H.M. AT2 receptor activities and pathophysiological implications. J Cardiovasc Pharmacol. J. Cardiovasc. Pharmacol. 2015, 65, 226–232. [Google Scholar] [CrossRef]
- Kobori, H.; Nangaku, M.; Navar, L.G.; Nishiyama, A. The intrarenal renin-angiotensin system: From physiology to the pathobiology of hypertension and kidney disease. Pharmacol. Rev. 2007, 59, 251–287. [Google Scholar] [CrossRef] [PubMed]
- Sekine, T.; Miura, K.; Takahashi, K.; Igarashi, T. Children’s toxicology from bench to bed –drug-induced renal injury (1): The toxic effects of ARB/ACEI on fetal kidney development. J. Toxicol. Sci. 2009, 34 (Suppl. S2), 245–250. [Google Scholar] [CrossRef] [PubMed]
- Hiyoshi, H.; Yayama, K.; Takano, M.; Okamoto, H. Stimulation of cyclic GMP production via AT2 and B2 receptors in the pressure-overloaded aorta after banding. Hypertension 2004, 43, 1258–1263. [Google Scholar] [CrossRef] [PubMed]
- Matsubara, K.; Matsubara, Y.; Ito, M. Role of renin-angiotensin system in vascular endothelial dysfunction of pregnancy-induced hypertension. Curr. Hypertens. Rev. 2006, 2, 311–316. [Google Scholar] [CrossRef]
- Matsubara, K.; Matsubara, Y.; Hyodo, S.; Katayama, T.; Ito, M. Role of nitric oxide and reactive oxygen species in the pathogenesis of preeclampsia. J. Obstet. Gynaecol. Res. 2010, 36, 239–247. [Google Scholar] [CrossRef]
- McMullen, J.R.; Gibson, K.J.; Lumbers, E.R.; Burrell, J.H.; Wu, J. Interactions between AT1 and AT2 receptors in uterine arteries from pregnant ewes. Eur. J. Pharmacol. 1999, 378, 195–202. [Google Scholar] [CrossRef]
- Rodriguez-Perez, A.I.; Valenzuela, R.; Villar-Cheda, B.; Guerra, M.J.; Lanciego, J.L.; Labandeira-Garcia, J.L. Estrogen and angiotensin interaction in the substantia nigra. Relevance to postmenopausal Parkinson’s disease. Exp. Neurol. 2010, 224, 517–526. [Google Scholar] [CrossRef]
- Judson, J.P.; Nadarajah, V.D.; Bong, Y.C.; Subramaniam, K.; Sivalingam, N. A preliminary finding: Immunohistochemical localisation and distribution of placental angiotensin II receptor subtypes in normal and preeclamptic pregnancies. Med. J. Malaysia 2006, 61, 173–180. [Google Scholar]
- Takeda-Matsubara, Y.; Iwai, M.; Cui, T.X.; Shiuchi, T.; Liu, H.W.; Okumura, M.; Ito, M.; Horiuchi, M. Roles of angiotensin type 1 and 2 receptors in pregnancy-associated blood pressure change. Am. J. Hypertens. 2004, 17, 684–689. [Google Scholar] [CrossRef]
- Mirabito, K.M.; Hilliard, L.M.; Wei, Z.; Tikellis, C.; Widdop, R.E.; Vinh, A.; Denton, K.M. Role of inflammation and the angiotensin type 2 receptor in the regulation of arterial pressure during pregnancy in mice. Hypertension 2014, 64, 626–631. [Google Scholar] [CrossRef]
- Takeda-Matsubara, Y.; Matsubara, K.; Ochi, H.; Ito, M.; Iwai, M.; Horiuchi, M. Expression of endothelial angiotensin II receptor mRNA in pregnancy-induced hypertension. Am. J. Hypertens. 2003, 16, 993–999. [Google Scholar] [CrossRef]
- Poisner, A.M. The human placental renin-angiotensin system. Front. Neuroendocrinol. 1998, 19, 232–252. [Google Scholar] [CrossRef] [PubMed]
- Wan, Y.; Wallinder, C.; Plouffe, B.; Beaudry, H.; Mahalingam, A.K.; Wu, X.; Johansson, B.; Holm, M.; Botoros, M.; Karlén, A.; et al. Design, synthesis, and biological evaluation of the first selective nonpeptide AT2 receptor agonist. J. Med. Chem. 2004, 47, 5995–6008. [Google Scholar] [CrossRef]
- Rathinasabapathy, A.; Horowitz, A.; Horton, K.; Kumar, A.; Gladson, S.; Unger, T.; Martinez, D.; Bedse, G.; West, J.; Raizada, M.K.; et al. The selective angiotensin II type 2 receptor agonist, compound 21, attenuates the progression of lung fibrosis and pulmonary hypertension in an experimental model of bleomycin-induced lung injury. Front. Physiol. 2018, 9, 180. [Google Scholar] [CrossRef] [PubMed]
- Bosnyak, S.; Welungoda, I.K.; Hallberg, A.; Alterman, M.; Widdop, R.E.; Jones, E.S. Stimulation of angiotensin AT2 receptors by the non-peptide agonist, compound 21, evokes vasodepressor effects in conscious spontaneously hypertensive rats. Br. J. Pharmacol. 2010, 159, 709–716. [Google Scholar] [CrossRef]
- Rompe, F.; Artuc, M.; Hallberg, A.; Alterman, M.; Ströder, K.; Thöne-Reineke, C.; Reichenbach, A.; Schacherl, J.; Dahlöf, B.; Bader, M.; et al. Direct angiotensin II type 2 receptor stimulation acts anti-inflammatory through epoxyeicosatrienoic acid and inhibition of nuclear factor kappaB. Hypertension 2010, 55, 924–931. [Google Scholar] [CrossRef] [PubMed]
- Min, L.J.; Mogi, M.; Tsukuda, K.; Jing, F.; Ohshima, K.; Nakaoka, H.; Kan-No, H.; Wang, X.L.; Chisaka, T.; Bai, H.Y.; et al. Direct stimulation of angiotensin II type 2 receptor initiated after stroke ameliorates ischemic brain damage. Am. J. Hypertens. 2014, 27, 1036–1044. [Google Scholar] [CrossRef] [PubMed][Green Version]
- Young, O.N.; Bourke, J.E.; Widdop, R.E. Catch your breath: The protective role of the angiotensin AT2 receptor for the treatment of idiopathic pulmonary fibrosis. Biochem. Pharmacol. 2023, 217, 115839. [Google Scholar] [CrossRef]
- Roncal, C.; Buysschaert, I.; Gerdes, N.; Georgiadou, M.; Ovchinnikova, O.; Fischer, C.; Stassen, J.M.; Moons, L.; Collen, D.; De Bock, K.; et al. Short-term delivery of anti-PlGF antibody delays progression of atherosclerotic plaques to vulnerable lesions. Cardiovasc. Res. 2010, 86, 29–36. [Google Scholar] [CrossRef]
- Zhou, C.C.; Ahmad, S.; Mi, T.; Xia, L.; Abbasi, S.; Hewett, P.W.; Sun, C.; Ahmed, A.; Kellems, R.E.; Xia, Y. Angiotensin II induces soluble fms-Like tyrosine kinase-1 release via calcineurin signaling pathway in pregnancy. Circ. Res. 2007, 100, 88–95. [Google Scholar] [CrossRef]
- Gilbert, J.S.; Babcock, S.A.; Granger, J.P. Hypertension produced by reduced uterine perfusion in pregnant rats is associated with increased soluble fms-like tyrosine kinase-1 expression. Hypertension 2007, 50, 1142–1147. [Google Scholar] [CrossRef] [PubMed]
- Murphy, S.R.; Cockrell, K. Regulation of soluble fms-like tyrosine kinase-1 production in response to placental ischemia/hypoxia: Role of angiotensin II. Physiol. Rep. 2015, 3, e12310. [Google Scholar] [CrossRef] [PubMed]
- Grady, E.F.; Sechi, L.A.; Griffin, C.A.; Schambelan, M.; Kalinyak, J.E. Expression of AT2 receptors in the developing rat fetus. J. Clin. Investig. 1991, 921–933. [Google Scholar] [CrossRef]
- Tsutsumi, K.; Strömberg, C.; Viswanathan, M.; Saavedra, J.M. Angiotensin-II receptor subtypes in fetal tissue of the rat: Autoradiography, guanine nucleotide sensitivity, and association with phosphoinositide hydrolysis. Endocrinology 1991, 129, 1075–1082. [Google Scholar] [CrossRef]
- Feuillan, P.P.; Millan, M.A.; Aguilera, G. Angiotensin II binding sites in the rat fetus: Characterization of receptor subtypes and interaction with guanyl nucleotides. Regul. Pept. 1993, 44, 159–169. [Google Scholar] [CrossRef]
- Burrell, J.H.; Lumbers, E.R. Angiotensin receptor subtypes in the uterine artery during ovine pregnancy. Eur. J. Pharmacol. 1997, 330, 257–267. [Google Scholar] [CrossRef] [PubMed]
- Matsubara, K.; Abe, E.; Ochi, H.; Kusanagi, Y.; Ito, M. Changes in serum concentrations of tumor necrosis factor alpha and adhesion molecules in normal pregnant women and those with pregnancy-induced hypertension. J. Obstet. Gynaecol. Res. 2003, 29, 422–426. [Google Scholar] [CrossRef]
- Mehta, P.K.; Griendling, K.K. Angiotensin II cell signaling: Physiological and pathological effects in the cardiovascular system. Am. J. Physiol. Cell. Physiol. 2007, 292, C82–C97. [Google Scholar] [CrossRef]
- Lévy, B.I. Can angiotensin II type 2 receptors have deleterious effects in cardiovascular disease? Implications for therapeutic blockade of the renin-angiotensin system. Circulation 2004, 109, 8–13. [Google Scholar] [CrossRef]
- López-Aguilera, F.; Plateo-Pignatari, M.G.; Biaggio, V.; Ayala, C.; Seltzer, A.M. Hypoxic preconditioning induces an AT2-R/VEGFR-2(Flk-1) interaction in the neonatal brain microvasculature for neuroprotection. Neuroscience 2012, 2012, 1–9. [Google Scholar] [CrossRef]
- Doering, T.P.; Haller, N.A.; Montgomery, M.A.; Freeman, E.J.; Hopkins, M.P. The role of AT1 angiotensin receptor activation in the pathogenesis of preeclampsia. Am. J. Obstet. Gynecol. 1998, 178, 1307–1312. [Google Scholar] [CrossRef] [PubMed]
- Reeve, K.E.; Deer, E.; Amaral, L.M.; Cornelius, D.C.; Herrock, O.; Harmon, A.C.; Campbell, N.; Fitzgerald, S.; Ibrahim, T.; Wallukat, G.; et al. Placental CD4(+) T cells from preeclamptic patients cause autoantibodies to the angiotensin II type I receptor and hypertension in a pregnant rat model of preeclampsia. Explor. Med. 2022, 3, 99–111. [Google Scholar] [CrossRef] [PubMed]
- Satou, R.; Penrose, H.; Navar, L.G. Inflammation as a Regulator of the Renin-Angiotensin System and Blood Pressure. Curr. Hypertens. Rep. 2018, 20, 100. [Google Scholar] [CrossRef] [PubMed]
- Mishra, J.S.; Gopalakrishnan, K.; Kumar, S. Pregnancy upregulates angiotensin type 2 receptor expression and increases blood flow in uterine arteries of rats. Biol. Reprod. 2018, 99, 1091–1099. [Google Scholar] [CrossRef] [PubMed]
- Fredgart, M.H.; Leurgans, T.M.; Stenelo, M.; Nybo, M.; Bloksgaard, M.; Lindblad, L.; De Mey, J.G.R.; Steckelings, U.M. The angiotensin AT2-receptor agonist compound 21 is an antagonist for the thromboxane TP-receptor—Implications for preclinical studies and future clinical use. Peptides 2023, 164, 170990. [Google Scholar] [CrossRef] [PubMed]




Disclaimer/Publisher’s Note: The statements, opinions and data contained in all publications are solely those of the individual author(s) and contributor(s) and not of MDPI and/or the editor(s). MDPI and/or the editor(s) disclaim responsibility for any injury to people or property resulting from any ideas, methods, instructions or products referred to in the content. |
© 2024 by the authors. Licensee MDPI, Basel, Switzerland. This article is an open access article distributed under the terms and conditions of the Creative Commons Attribution (CC BY) license (https://creativecommons.org/licenses/by/4.0/).
Share and Cite
Matsubara, K.; Matsubara, Y.; Uchikura, Y.; Sugiyama, T. Stimulation of Angiotensin II Receptor Subtype 2 Reduces Preeclampsia-like Symptoms in a Mouse Model of Preeclampsia. Curr. Issues Mol. Biol. 2024, 46, 9760-9771. https://doi.org/10.3390/cimb46090579
Matsubara K, Matsubara Y, Uchikura Y, Sugiyama T. Stimulation of Angiotensin II Receptor Subtype 2 Reduces Preeclampsia-like Symptoms in a Mouse Model of Preeclampsia. Current Issues in Molecular Biology. 2024; 46(9):9760-9771. https://doi.org/10.3390/cimb46090579
Chicago/Turabian StyleMatsubara, Keiichi, Yuko Matsubara, Yuka Uchikura, and Takashi Sugiyama. 2024. "Stimulation of Angiotensin II Receptor Subtype 2 Reduces Preeclampsia-like Symptoms in a Mouse Model of Preeclampsia" Current Issues in Molecular Biology 46, no. 9: 9760-9771. https://doi.org/10.3390/cimb46090579
APA StyleMatsubara, K., Matsubara, Y., Uchikura, Y., & Sugiyama, T. (2024). Stimulation of Angiotensin II Receptor Subtype 2 Reduces Preeclampsia-like Symptoms in a Mouse Model of Preeclampsia. Current Issues in Molecular Biology, 46(9), 9760-9771. https://doi.org/10.3390/cimb46090579

