Telomere Length in a South African Population Co-Infected with HIV and Helminths
Abstract
1. Introduction
2. Methodology
2.1. Design of the Study and Recruitment of Participants
2.2. Blood Collection, Haematological and Biochemical Analyses and HIV Detection
2.3. Stool Collection and Detection of Parasites
2.4. Leukocyte Telomere Length Assay
2.5. Quality Control
2.6. Outcomes and Statistical Analysis
3. Results
3.1. Quality Control
3.2. Demographics and Clinical Characteristics
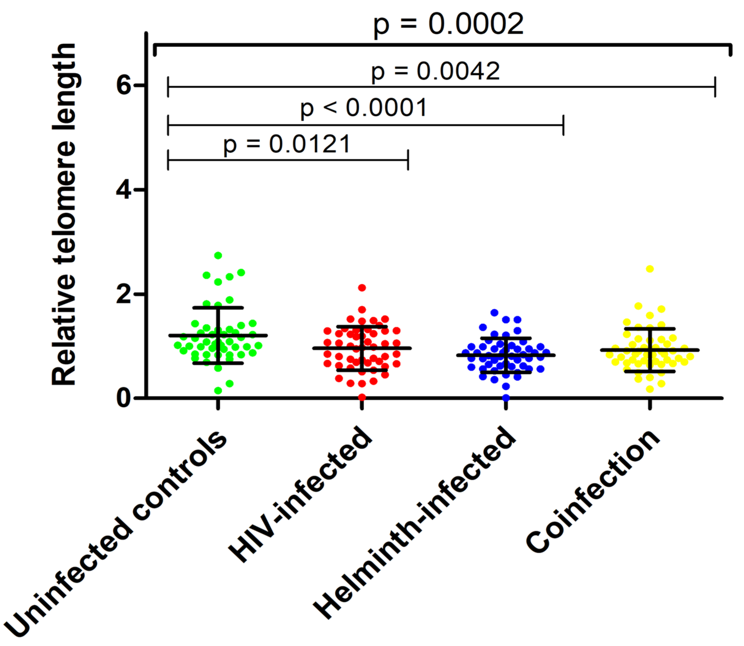
3.3. Relative Telomere Length in HIV and Helminth Singly Infected and Co-Infected Participants
3.4. RTL Adjusted for Confounders, Full Blood Counts and Biochemical Parameters
3.5. Multivariate Association of Relative Telomere Length with Biochemical Parameters
3.6. Multivariate Association of Relative Telomere Length with Full Blood Count Parameters
4. Discussion
5. Conclusions
Supplementary Materials
Author Contributions
Funding
Institutional Review Board Statement
Informed Consent Statement
Data Availability Statement
Conflicts of Interest
References
- Mbuh, J.V.; Ntonifor, N.H.; Ojong, J. The epidemiology of soil-transmitted helminth and protozoan infections in south-west Cameroon. J. Helminthol. 2012, 86, 30–37. [Google Scholar] [CrossRef] [PubMed]
- Gazzinelli-Guimaraes, P.H.; Nutman, T.B. Helminth parasites and immune regulation [version 1; peer review: 2 approved]. F1000Research 2018, 7, 1685. [Google Scholar] [CrossRef] [PubMed]
- Webb, E.L.; Ekii, A.O.; Pala, P. Epidemiology and immunology of helminth-HIV interactions. Curr. Opin. HIV AIDS 2012, 7, 245–253. [Google Scholar] [CrossRef] [PubMed]
- Adeleke, O.A.; Yogeswaran, P.; Wright, G. Intestinal helminth infections amongst HIV-infected adults in Mthatha General Hospital, South Africa. Afr. J. Prim. Health Care Fam. Med. 2015, 7, a910. [Google Scholar] [CrossRef] [PubMed]
- Karp, C.L.; Auwaerter, P.G. Coinfection with HIV and tropical infectious diseases. II. Helminthic, fungal, bacterial, and viral pathogens. Clin. Infect. Dis. 2007, 45, 1214–1220. [Google Scholar] [CrossRef]
- Ezeogu, J.; Okoro, J. Prevalence and pattern of soil transmitted intestinal helminth infections amongst HIV infected children in a tertiary hospital south eastern, Nigeria. Med. Sci. Discov. 2023, 10, 393–399. [Google Scholar] [CrossRef]
- Moss, R.B.; Moll, T.; El-Kalay, M.; Kohne, C.; Hoo, W.S.; Encinas, J.; Carlo, D.J. Th1/Th2 cells in inflammatory disease states: Therapeutic implications. Expert Opin. Biol. Ther. 2004, 4, 1887–1896. [Google Scholar] [CrossRef]
- Mpaka-Mbatha, M.N.; Naidoo, P.; Singh, R.; Bhengu, K.N.; Nembe-Mafa, N.; Pillay, R.; Duma, Z.; Niehaus, A.J.; Mkhize-kwitshana, Z.L.; Africa, S.; et al. Immunological interaction during helminth and HIV co-infection: Integrative research needs for sub-Saharan Africa. S. Afr. J. Sci. 2023, 119, 16–19. [Google Scholar] [CrossRef] [PubMed]
- Lebu, S.; Kibone, W.; Muoghalu, C.C.; Ochaya, S.; Salzberg, A.; Bongomin, F.; Manga, M. Soil-transmitted helminths: A critical review of the impact of co-infections and implications for control and elimination. PLoS Negl. Trop. Dis. 2023, 17, e0011496. [Google Scholar] [CrossRef]
- Borkow, G.; Bentwich, Z. Chronic immune activation associated with chronic helminthic and human immunodeficiency virus infections: Role of hyporesponsiveness and anergy. Clin. Microbiol. Rev. 2004, 17, 1012–1030. [Google Scholar] [CrossRef]
- Bourke, C.D.; Maizels, R.M.; Mutapi, F. Acquired immune heterogeneity and its sources in human helminth infection. Parasitology 2011, 138, 139–159. [Google Scholar] [CrossRef] [PubMed]
- Lu, Y.; Tan, C.T.Y.; Gwee, X.; Yap, K.B.; Fulop, T.; Pan, F.; Larbi, A.; Ng, T.P. Pathogen Burden, Blood Biomarkers, and Functional Aging in Community-Dwelling Older Adults. J. Gerontol.—Ser. A Biol. Sci. Med. Sci. 2021, 76, 1864–1873. [Google Scholar] [CrossRef] [PubMed]
- Bajpai, A.; Li, R.; Chen, W. The cellular mechanobiology of aging: From biology to mechanics. Ann. N. Y. Acad. Sci. 2021, 1491, 3–24. [Google Scholar] [CrossRef] [PubMed]
- Cassidy, A.; De Vivo, I.; Liu, Y.; Han, J.; Prescott, J.; Hunter, D.J.; Rimm, E.B. Associations between diet, lifestyle factors, and telomere length in women. Am. J. Clin. Nutr. 2010, 91, 1273–1280. [Google Scholar] [CrossRef]
- Needham, B.L.; Salerno, S.; Roberts, E.; Boss, J.; Allgood, K.L.; Mukherjee, B. Do black/white differences in telomere length depend on socioeconomic status? Biodemogr. Soc. Biol. 2019, 65, 287–312. [Google Scholar] [CrossRef] [PubMed]
- Zanet, D.A.L.; Thorne, A.; Singer, J.; Maan, E.J.; Sattha, B.; Le Campion, A.; Soudeyns, H.; Pick, N.; Murray, M.; Money, D.M.; et al. Association between short leukocyte telomere length and HIV infection in a cohort study: No evidence of a relationship with antiretroviral therapy. Clin. Infect. Dis. 2014, 58, 1322–1332. [Google Scholar] [CrossRef] [PubMed]
- Marra, M.V.; Drazba, M.A.; Holásková, I.; Belden, W.J. Nutrition risk is associated with leukocyte telomere length in middle-aged men and women with at least one risk factor for cardiovascular disease. Nutrients 2019, 11, 508. [Google Scholar] [CrossRef]
- Yang, Z.; Ye, J.; Li, C.; Zhou, D.; Shen, Q.; Wu, J.; Cao, L.; Wang, T.; Cui, D.; He, S.; et al. Drug addiction is associated with leukocyte telomere length. Sci. Rep. 2013, 3, 1542. [Google Scholar] [CrossRef]
- Han, J.D.J.; Xia, X.; Chen, W.; McDermott, J. Molecular and phenotypic biomarkers of aging. F1000Research 2017, 6, 860. [Google Scholar] [CrossRef]
- Julier, Z.; Park, A.J.; Briquez, P.S.; Martino, M.M. Acta Biomaterialia Promoting tissue regeneration by modulating the immune system. Acta Biomater. 2017, 53, 13–28. [Google Scholar] [CrossRef]
- Baechle, J.J.; Chen, N.; Makhijani, P.; Winer, S.; Furman, D. Chronic inflammation and the hallmarks of aging. Mol. Metab. 2023, 74, 101755. [Google Scholar] [CrossRef] [PubMed]
- Chi, M.; Tian, Z.; Ma, K.; Li, Y.; Wang, L.; Nasser, M.I.; Liu, C. The diseased kidney: Aging and senescent immunology. Immun. Ageing 2022, 19, 58. [Google Scholar] [CrossRef] [PubMed]
- Blanco, J.R.; Jarrin, I.; Martinez, A.; Siles, E.; Larrayoz, I.M.; Canuelo, A.; Gutierrez, F.; Gonzalez-Garcia, J.; Vidal, F.; Moreno, S. Shorter telomere length predicts poorer immunological recovery in virologically suppressed hiv-1-infected patients treated with combined antiretroviral therapy. J. Acquir. Immune Defic. Syndr. 2015, 68, 21–29. [Google Scholar] [CrossRef]
- Pathai, S.; Lawn, S.D.; Gilbert, C.E.; McGuinness, D.; McGlynn, L.; Weiss, H.A.; Port, J.; Christ, T.; Barclay, K.; Wood, R.; et al. Accelerated biological ageing in HIV-infected individuals in South Africa: A case-control study. Aids 2013, 27, 2375–2384. [Google Scholar] [CrossRef] [PubMed]
- Mehta, S.R.; Iudicello, J.E.; Lin, J.; Ellis, R.J.; Morgan, E.; Okwuegbuna, O.; Cookson, D.; Karris, M.; Saloner, R.; Heaton, R.; et al. Telomere length is associated with HIV infection, methamphetamine use, inflammation, and comorbid disease risk. Drug Alcohol Depend. 2021, 221, 108639. [Google Scholar] [CrossRef] [PubMed]
- Asghar, M.; Palinauskas, V.; Zaghdoudi-Allan, N.; Valkiūnas, G.; Mukhin, A.; Platonova, E.; Färnert, A.; Bensch, S.; Hasselquist, D. Parallel telomere shortening in multiple body tissues owing to malaria infection. Proc. R. Soc. B Biol. Sci. 2016, 283, 20161184. [Google Scholar] [CrossRef] [PubMed]
- Asghar, M.; Yman, V.; Homann, M.V.; Sondén, K.; Hammar, U.; Hasselquist, D.; Färnert, A. Cellular aging dynamics after acute malaria infection: A 12-month longitudinal study. Aging Cell 2018, 17, e12702. [Google Scholar] [CrossRef] [PubMed]
- Miglar, A.; Reuling, I.J.; Yap, X.Z.; Färnert, A.; Sauerwein, R.W.; Asghar, M. Biomarkers of cellular aging during a controlled human malaria infection. Sci. Rep. 2021, 11, 18733. [Google Scholar] [CrossRef]
- Mpaka-Mbatha, M.N.; Naidoo, P.; Islam, M.M.; Singh, R.; Mkhize-Kwitshana, Z.L. Anaemia and Nutritional Status during HIV and Helminth Coinfection among Adults in South Africa. Nutrients 2022, 14, 4970. [Google Scholar] [CrossRef]
- Mpaka-Mbatha, M.N.; Naidoo, P.; Islam, M.M.; Singh, R.; Mkhize-Kwitshana, Z.L. Demographic profile of HIV and helminth-coinfected adults in KwaZulu-Natal, South Africa. S. Afr. J. Infect. Dis. 2023, 38, 466. [Google Scholar] [CrossRef]
- Mkhize, B.T.; Mabaso, M.; Mamba, T.; Napier, C.E.; Mkhize-Kwitshana, Z.L. The Interaction between HIV and Intestinal Helminth Parasites Coinfection with Nutrition among Adults in KwaZulu-Natal, South Africa. Biomed Res. Int. 2017, 2017, 9059523. [Google Scholar] [CrossRef]
- Brydges, C.R. Effect Size Guidelines, Sample Size Calculations, and Statistical Power in Gerontology. Innov. Aging 2019, 3, igz036. [Google Scholar] [CrossRef] [PubMed]
- Joglekar, M.V.; Satoor, S.N.; Wong, W.K.M.; Cheng, F.; Ma, R.C.W.; Hardikar, A.A. An optimised step-by-step protocol for measuring relative telomere length. Methods Protoc. 2020, 3, 27. [Google Scholar] [CrossRef] [PubMed]
- Cawthon, R.M. Telomere measurement by quantitative PCR. Nucleic Acids Res. 2002, 30, e47. [Google Scholar] [CrossRef] [PubMed]
- Aiello, A.E.; Jayabalasingham, B.; Simanek, A.M.; Diez-Roux, A.; Feinstein, L.; Meier, H.C.S.; Needham, B.L.; Dowd, J.B. The impact of pathogen burden on leukocyte telomere length in the Multi-Ethnic Study of Atherosclerosis. Epidemiol. Infect. 2017, 145, 3076–3084. [Google Scholar] [CrossRef] [PubMed]
- Gavia-García, G.; Rosado-Pérez, J.; Arista-Ugalde, T.L.; Aguiñiga-Sánchez, I.; Santiago-Osorio, E.; Mendoza-Núñez, V.M. Telomere length and oxidative stress and its relation with metabolic syndrome components in the aging. Biology 2021, 10, 253. [Google Scholar] [CrossRef] [PubMed]
- Lynch, S.M.; Mitra, N.; Ravichandran, K.; Mitchell, J.; Spangler, E.; Zhou, W.; Paskett, E.D.; Gehlert, S.; DeGraffinreid, C.; Stowe, R.; et al. Telomere length and neighborhood circumstances: Evaluating biological response to unfavorable exposures. Cancer Epidemiol. Biomark. Prev. 2017, 26, 553–560. [Google Scholar] [CrossRef] [PubMed]
- Kertes, D.A.; Clendinen, C.; Duan, K.; Rabinowitz, J.A.; Browning, C.; Kvam, P. The Social Environment Matters for Telomere Length and Internalizing Problems During Adolescence. J. Youth Adolesc. 2023, 53, 21–35. [Google Scholar] [CrossRef]
- Vaiserman, A.; Krasnienkov, D. Telomere Length as a Marker of Biological Age: State-of-the-Art, Open Issues, and Future Perspectives. Front. Genet. 2021, 11, 630186. [Google Scholar] [CrossRef]
- Gardner, M.; Bann, D.; Wiley, L.; Cooper, R.; Hardy, R.; Nitsch, D.; Martin-Ruiz, C.; Shiels, P.; Sayer, A.A.; Barbieri, M.; et al. Gender and telomere length: Systematic review and meta-analysis. Exp. Gerontol. 2014, 51, 15–27. [Google Scholar] [CrossRef]
- Auld, E.; Lin, J.; Chang, E.; Byanyima, P.; Ayakaka, I.; Musisi, E.; Worodria, W.; Davis, J.L.; Segal, M.; Blackburn, E.; et al. HIV infection is associated with shortened telomere length in ugandans with suspected tuberculosis. PLoS ONE 2016, 11, e0163153. [Google Scholar] [CrossRef] [PubMed]
- Schoepf, I.C.; Thorball, C.W.; Ledergerber, B.; Kootstra, N.A.; Reiss, P.; Raffenberg, M.; Engel, T.; Braun, D.L.; Hasse, B.; Thurnheer, C.; et al. Telomere Length Declines in Persons with Human Immunodeficiency Virus Before Antiretroviral Therapy Start but Not After Viral Suppression: A Longitudinal Study Over >17 Years. J. Infect. Dis. 2022, 225, 1581–1591. [Google Scholar] [CrossRef]
- Asghar, M.; Hasselquist, D.; Hansson, B.; Zehtindjiev, P.; Westerdahl, H.; Bensch, S. Hidden costs of infection: Chronic malaria accelerates telomere degradation and senescence in wild birds. Science 2015, 347, 436–438. [Google Scholar] [CrossRef] [PubMed]
- Arora, N.; Kaur, R.; Anjum, F.; Tripathi, S.; Mishra, A.; Kumar, R.; Prasad, A. Neglected Agent Eminent Disease: Linking Human Helminthic Infection, Inflammation, and Malignancy. Front. Cell. Infect. Microbiol. 2019, 9, 402. [Google Scholar] [CrossRef] [PubMed]
- Yeshi, K.; Ruscher, R.; Loukas, A.; Wangchuk, P. Immunomodulatory and biological properties of helminth-derived small molecules: Potential applications in diagnostics and therapeutics. Front. Parasitol. 2022, 1, 984152. [Google Scholar] [CrossRef]
- Armstrong, E.; Boonekamp, J. Does oxidative stress shorten telomeres In Vivo? A meta-analysis. Ageing Res. Rev. 2023, 85, 101854. [Google Scholar] [CrossRef]
- Liu, S.; Nong, W.; Ji, L.; Zhuge, X.; Wei, H.; Luo, M.; Zhou, L.; Chen, S.; Zhang, S.; Lei, X.; et al. The regulatory feedback of inflammatory signaling and telomere/telomerase complex dysfunction in chronic inflammatory diseases. Exp. Gerontol. 2023, 174, 112132. [Google Scholar] [CrossRef]
- Epel, E.S.; Blackburn, E.H.; Lin, J.; Dhabhar, F.S.; Adler, N.E.; Morrow, J.D.; Cawthon, R.M. Accelerated telomere shortening in response to life stress. Proc. Natl. Acad. Sci. USA 2004, 101, 17312–17315. [Google Scholar] [CrossRef] [PubMed]
- Starkweather, A.R.; Alhaeeri, A.A.; Montpetit, A.; Brumelle, J.; Filler, K.; Montpetit, M.; Mohanraj, L.; Lyon, D.E.; Jackson-Cook, C.K. An integrative review of factors associated with telomere length and implications for biobehavioral research. Nurs. Res. 2014, 63, 36–50. [Google Scholar] [CrossRef]
- Rode, L.; Nordestgaard, B.G.; Weischer, M.; Bojesen, S.E. Increased body mass index, elevated C-reactive protein, and short telomere length. J. Clin. Endocrinol. Metab. 2014, 99, E1671–E1675. [Google Scholar] [CrossRef]
- Beard, J.L. Iron-Deficiency Anemia: Reexamining the Nature and Magnitude of the Public Health Problem Iron Biology in Immune Function, Muscle Metabolism. J. Nutr. 2001, 131, 568S–580S. [Google Scholar] [CrossRef]
- Mainous, A.G., III; Wright, R.U.; Hulihan, M.M.; Twal, W.O.; Mclaren, C.E.; Diaz, V.A.; Mclaren, G.D.; Argraves, W.S.; Grant, A.M. Telomere length and elevated iron: The influence of phenotype and HFE genotype. Am. J. Hematol. 2013, 88, 492–496. [Google Scholar] [CrossRef]
- Shin, C.; Baik, I. Transferrin saturation concentrations associated with telomeric ageing: A population-based study. Br. J. Nutr. 2017, 117, 1693–1701. [Google Scholar] [CrossRef] [PubMed][Green Version]
- Zhang, P.; Zheng, C.; Chen, Z.; Liu, X. Editorial: The Role of Calcium Channels in Human Health and Disease. Front. Mol. Biosci. 2022, 9, 9–10. [Google Scholar] [CrossRef] [PubMed]
- Callaghan, N.J.O.; Bull, C.; Fenech, M. Elevated Plasma Magnesium and Calcium May Be Associated with Shorter Telomeres in Older South Australian Women. J. Nutr. Health Aging 2014, 18, 131–136. [Google Scholar] [CrossRef]
- Yang, Z.; Kao, T.; Peng, T.; Chen, Y.; Yang, H.; Wu, C.; Chen, W. Examining the association between serum phosphate levels and leukocyte telomere length. Sci. Rep. 2020, 10, 5438. [Google Scholar] [CrossRef] [PubMed]
- Kaszubowska, L. Telomere shortening and ageing of the immune system. J. Physiol. Pharmacol. 2008, 59, 169–186. [Google Scholar] [PubMed]
- Mazidi, M.; Penson, P.; Banach, M. Association between telomere length and complete blood count in US adults. Arch. Med. Sci. 2017, 13, 601–605. [Google Scholar] [CrossRef] [PubMed]
- Compté, N.; Bailly, B.; De Breucker, S.; Goriely, S.; Pepersack, T. Study of the association of total and differential white blood cell counts with geriatric conditions, cardio-vascular diseases, seric IL-6 levels and telomere length. Exp. Gerontol. 2015, 61, 105–112. [Google Scholar] [CrossRef]
- Kozlitina, J.; Garcia, C.K. Red Blood Cell Size Is Inversely Associated with Leukocyte Telomere Length in a Large Multi-Ethnic Population. PloS ONE 2012, 7, e51046. [Google Scholar] [CrossRef]
- Adams, C.D.; Boutwell, B.B. OPEN A Mendelian randomization study of telomere length and blood—Cell traits. Sci. Rep. 2020, 10, 12223. [Google Scholar] [CrossRef]

| Gene | Forward Primer Sequence and Concentration Used | Reverse Primer Sequence and Concentration Used | Reference |
|---|---|---|---|
| Human 36B4 gene | 5′-CAGCAAGTGGGAAGGTGTAATCC-3′ (30 pmol/μL) | 5′-CCCATTCTATCATCAACGGGTACAA-3′ (30 pmol/μL) | [33] |
| Human telomere-specific gene | 5′-GGGTTTGTTTGGGTTTGGGTTTGGGTTTGGGTTTGGGTTTGGGTT-3′ (30 pmol/μL) | 5′-GGCTTGCCTTACCCTTACCCTTACCCTTACCCTT-3′ (30 pmol/μL) | [33] |
| Parameter | All Participants (n = 200) | Uninfected Controls (n = 50) | HIV-Infected (n = 50) | Helminth-Infected (n = 50) | HIV + Helminth Co-Infection (n = 50) | p-Value |
|---|---|---|---|---|---|---|
| Age (years) | 39 (30–50) | 43 (26.8–58.3) | 41.00 (33.8–49) | 34.5 (27–53.8) | 38.5 (30.8–45) | 0.33 |
| Gender, n (%): | 0.1245 | |||||
| Male | 74 (37) | 22 (44) | 18 (36) | 22 (44) | 12 (24) | |
| Female | 126 (63) | 28 (56) | 32 (64) | 28 (56) | 38 (76) | |
| BMI (kg/m2) | 26 (22–33) | 28.2 (23.4–34.5) | 25.65 (20.38–31.6) | 25.4 (23.6–32.7) | 24.9 (22.6–31.1) | 0.056 |
| Water source, n (%) | 0.1725 | |||||
| Own tap—inside and outside | 153 (76.5) | 42 (84) | 41 (82) | 34 (68) | 36 (72) | |
| Public tap | 36 (18) | 5 (10) | 8 (16) | 14 (28) | 9 (18) | |
| Others | 11 (5.5) | 3 (6) | 1 (2) | 2 (4) | 5 (10) | |
| Toilet use, n (%) | 0.0888 | |||||
| Pit toilets | 62 (31) | 10 (20) | 16 (32) | 13 (26) | 23 (46) | |
| Flush toilets connected to sewage | 116 (58) | 36 (72) | 27 (54) | 31 (62) | 22 (44) | |
| Flush toilets not connected to sewage | 22 (11) | 4 (8) | 7 (14) | 6 (12) | 4 (8) | |
| Previous worm infection | ||||||
| Yes | 62 (31) | 11 (22) | 14 (28) | 18 (36) | 19 (38) | |
| No | 138 (69) | 39 (78) | 36 (72) | 32 (64) | 31 (62) | |
| CD4+ count (cells/µL) | 730 (505–970) | 896 (708–1169) | 541 (267.8–728.5) | 861 (712.3–1066) | 654.5 (388.5–810.3) | 0.2800 |
| Viral load (copies/mL) | 20 (20–180) | 20 (20–132) | 0.6376 | |||
| <20 copies/mL, n (%) | 35 (70) | 34 (68) | 1.000 | |||
| >20 copies/mL, n (%) | 15 (30) | 16 (32) | ||||
| Helminth species, n (%) | ||||||
| Ascaris lumbricoides | 69 (34.5) | 32 (64) | 37 (74) | |||
| Schistosoma spp. | 6 (3) | 3 (6) | 3 (6) | |||
| Enterobus spp. | 4 (2) | 1 (2) | 3 (6) | |||
| Hymenolepis spp. | 1 (0.5) | 1 (2) | 0 (0) | 0.0001 | ||
| Taenia spp. | 4 (2) | 3 (6) | 1 (2) | |||
| Trichuris spp. | 1 (0.5) | 1 (2) | 0 (0) | |||
| Strongyloides spp. | 4 (2) | 2 (4) | 2 (4) | |||
| Hookworm spp. | 1 (0.5) | 1 (2) | 0 (0) | |||
| Protozoa species, n (%) | ||||||
| Entamoeba spp. | 10 (5) | 6 (12) | 4 (8) |
| Unstandardised β–Coefficient Values (Reference Group: Uninfected Controls) | ||||||
|---|---|---|---|---|---|---|
| Parameters | HIV-Infected | Helminth-Infected | HIV and Helminth Co-Infected | |||
| β | p-Value | β | p-Value | Β | p-Value | |
| Unadjusted RTL | −0.35 (−0.59–−0.11) | 0.004 | −0.49 (−0.72–−0.26) | 0.000 | −0.39 (−0.63–−0.15) | 0.002 |
| Adjusted RTL 1 (Adjusted for socio-demographic parameters) (i) | −0.47 (−0.86–−0.07) | 0.022 | −0.57 (−0.84–−0.30) | 0.000 | −0.45 (−0.89–0.01) | 0.047 |
| Adjusted RTL 2 (Adjusted for socio-demographic and biochemical parameters) (ii) | −0.34 (−0.82–0.13) | 0.153 | −0.37 (−0.64–−0.10) | 0.008 | −0.09 (−0.66–0.48) | 0.737 |
| Adjust RTL 3 (Adjusted for socio-demographic and full blood count parameters) (iii) | −0.46 (−0.92–0.01) | 0.055 | −0.62 (−0.90–−0.33) | 0.000 | −0.58 (−1.11–−0.05) | 0.031 |
| Adjust RTL 4 (Adjusted for socio-demographic, biochemical and full blood count parameters) (iv) | −0.32 (−0.93–0.28) | 0.276 | −0.51 (−0.84–−0.18) | 0.004 | −0.35 (−1.05–0.35) | 0.308 |
| Unstandardised β–Coefficient Values (Reference Group: Uninfected Controls) | |||||||
|---|---|---|---|---|---|---|---|
| Parameters | RTL in HIV-Infected | RTL in Helminth-Infected | RTL in HIV and Helminth Co-Infected | ||||
| β (95% CI) | p | β (95% CI) | p | β (95% CI) | p | ||
| Iron (µmol/L) | A | −0.36 (−0.60–−0.12) | 0.003 | −0.49 (−0.72–−0.26) | 0.000 | −0.40 (−0.64–−0.16) | 0.001 |
| B | −0.47 (−0.87–−0.07) | 0.022 | −0.58 (−0.85–−0.31) | 0.000 | −0.48 (−0.93–−0.03) | 0.038 | |
| Ferritin (ng/mL) | A | −0.35 (−0.59–−0.11) | 0.005 | −0.46 (−0.70–−0.22) | 0.000 | −0.41 (−0.66–−0.16) | 0.002 |
| B | −0.48 (−0.88–−0.07 | 0.022 | −0.55 (−0.84–−0.25) | 0.000 | −0.48 (−0.95–−0.00) | 0.048 | |
| Transferrin (g/L) | A | −0.35 (−0.59–0.11) | 0.005 | −0.45 (−0.69–−0.22) | 0.000 | −0.40 (−0.64–−0.16) | 0.002 |
| B | −0.48 (−0.89–−0.08) | 0.019 | −0.54 (−0.83–−0.25) | 0.000 | −0.57 (−1.03–−0.11) | 0.015 | |
| Transferrin saturation (%) | A | −0.36 (−0.60–−0.11) | 0.004 | −0.47 (−0.71–−0.23) | 0.000 | −0.41 (−0.66–0.16) | 0.001 |
| B | −0.47 (−0.87–−0.07) | 0.023 | −0.57 (−0.86–−0.27) | 0.000 | −0.57 (−1.05–−0.10) | 0.019 | |
| Calcium (mmol/L) | A | −0.35 (−0.59–−0.10) | 0.005 | −0.49 (−0.72–−0.25) | 0.000 | −0.38 (−0.62–−0.13) | 0.003 |
| B | −0.47 (−0.87–−0.08) | 0.020 | −0.57 (−0.84–−0.31) | 0.000 | −0.40 (−0.85–0.05) | 0.078 | |
| Total protein (g/L) | A | −0.37 (−0.62–−0.11) | 0.005 | −0.46 (−0.69–−0.22) | 0.000 | −0.38 (−0.63–−0.14) | 0.002 |
| B | −0.48 (−0.90–−0.06) | 0.026 | −0.54 (−0.84–−0.25) | 0.000 | −0.44 (−0.92–0.33) | 0.068 | |
| Phosphate (mmol/L) | A | −0.36 (−0.60–−0.12) | 0.004 | −0.49 (−0.72–−0.26) | 0.000 | −0.39 (−0.63–−0.15) | 0.002 |
| B | −0.51 (−0.91–−0.11) | 0.014 | −0.57 (−0.84–−0.30) | 0.000 | −0.47 (−0.92–−0.03) | 0.039 | |
| Magnesium (mmol/L) | A | −0.40 (−0.64–−0.15) | 0.002 | −0.53 (−0.76–−0.30) | 0.000 | −0.39 (−0.63–−0.14) | 0.002 |
| B | −0.52 (−0.91–−0.13) | 0.010 | −0.64 (−0.92–−0.36) | 0.000 | −0.39 (−0.85–0.06) | 0.088 | |
| Vitamin A (µg/L) | A | −0.33 (−0.58–−0.08) | 0.011 | −0.48 (−0.72–−0.24) | 0.000 | −0.38 (0.64–−0.11) | 0.006 |
| B | −0.4 (−0.81–0.02) | 0.060 | −0.58 (−0.86–−0.29) | 0.000 | −0.49 (−0.98–−0.00) | 0.050 | |
| Albumin (g/L) | A | −0.09 (−0.29–0.11) | 0.375 | −0.27 (−0.44–−0.09) | 0.004 | −0.14 (−0.33–0.06) | 0.177 |
| B | −0.29 (−0.65–0.07) | 0.110 | −0.30 (−0.53–−0.06) | 0.016 | −0.11 (−0.56–0.33) | 0.611 | |
| Zinc (µmol/L) | A | −0.32 (−0.57–−0.07) | 0.012 | −0.48 (−0.71–−0.25) | 0.000 | −0.37 (−0.63–−0.12) | 0.005 |
| B | −0.49 (−0.89–−0.08) | 0.021 | −0.58 (−0.85–−0.31) | 0.000 | −0.43 (−0.92–0.06) | 0.086 | |
| C-Reactive Protein (mg/L) | A | −0.35 (−0.59–−0.11) | 0.005 | −0.47 (−0.70–−0.23) | 0.000 | −0.39 (−0.64–−0.15) | 0.002 |
| B | −0.47 (−0.87–−0.07) | 0.022 | −0.54 (−0.84–−0.25) | 0.001 | −0.52 (−1.00–−0.04) | 0.034 | |
| Total IgE (KU/L) | A | −0.34 (−0.58–−0.10) | 0.006 | −0.46 (−0.70–−0.23) | 0.000 | −0.37 (−0.61–−0.13) | 0.003 |
| B | −0.45 (−0.86–−0.05) | 0.030 | −0.57 (−0.85–−0.29) | 0.000 | −0.44 (−0.89–0.02) | 0.059 | |
| Unstandardised β–Coefficient Values (Reference Group: Uninfected Controls) | |||||||
|---|---|---|---|---|---|---|---|
| Parameters | RTL in HIV-Infected | RTL in Helminth-Infected | RTL in HIV and Helminth Co-Infected | ||||
| β (95% CI) | p | β (95% CI) | p | β (95% CI) | p | ||
| Red cell count (1012/L) | A | −0.36 (−0.62–−0.10) | 0.006 | −0.49 (−0.72–−0.26) | 0.000 | −0.39 (−0.64–−0.15) | 0.002 |
| B | −0.45 (−0.87–−0.04) | 0.033 | −0.56 (−0.83–−0.29) | 0.000 | −0.44 (−0.89–0.00) | 0.052 | |
| Haemoglobin (g/dL) | A | −0.36 (−0.61–−0.11) | 0.004 | −0.48 (−0.71–−0.25) | 0.000 | −0.39 (−0.62–−0.15) | 0.002 |
| B | −0.45 (−0.86–−0.05) | 0.029 | −0.57 (−0.84–−0.31) | 0.000 | −0.47 (−0.93–−0.01) | 0.044 | |
| Haematocrit (L/L) | A | −0.37 (−0.62–−0.13) | 0.004 | −0.48 (−0.72–−0.25) | 0.000 | −0.38 (−0.62–−0.14) | 0.002 |
| B | −0.47 (−0.87–−0.06) | 0.025 | −0.57 (−0.84–−0.30) | 0.000 | −0.46 (−0.92–−0.01) | 0.045 | |
| Mean corpuscular volume (fL) | A | −0.35 (−0.59–−0.11) | 0.005 | −0.50 (−0.73–−0.27) | 0.000 | −0.45 (−0.70–−0.19) | 0.001 |
| B | −0.46 (−0.86–−0.06) | 0.025 | −0.57 (−0.84–−0.30) | 0.000 | −0.47 (−0.91–−0.03) | 0.038 | |
| Mean corpuscular haemoglobin (pg) | A | −0.35 (−0.59–−0.11) | 0.005 | −0.50 (−0.73–−0.27) | 0.000 | −0.45 (−0.71–−0.20) | 0.001 |
| B | −0.47 (−0.87–−0.07) | 0.022 | −0.58 (−0.85–−0.31) | 0.000 | −0.47 (−0.91–−0.03) | 0.035 | |
| Mean corpuscular haemoglobin concentration (g/dL) | A | 0.35 (−0.59–−0.11) | 0.005 | −0.49 (−0.72–−0.26) | 0.000 | −0.39 (−0.64–−0.15) | 0.002 |
| B | −0.47 (−0.87–−0.07) | 0.022 | −0.59 (−0.86–−0.32) | 0.000 | −0.44 (−0.89–−0.01) | 0.055 | |
| Platelets (109/L) | A | −0.35 (−0.59–−0.11) | 0.005 | −0.48 (−0.71–−0.25) | 0.000 | −0.37 (−0.62–−0.13) | 0.003 |
| B | −0.46 (−0.86–−0.06) | 0.025 | −0.57 (−0.84–−0.30) | 0.000 | −0.45 (−0.89–−0.00) | 0.048 | |
| Red cell distribution width (%) | A | −0.36 (−0.60–−0.11) | 0.005 | −0.49 (−0.72–−0.26) | 0.000 | −0.42 (−0.66–−0.18) | 0.001 |
| B | −0.46 (−0.86–−0.06) | 0.026 | −0.56 (−0.83–−0.29) | 0.000 | −0.47 (−0.93–−0.02) | 0.039 | |
| White cell count (109/L) | A | −0.36 (−0.60–0.11) | 0.005 | −0.49 (−0.72–−0.25) | 0.000 | −0.38 (−0.64–−0.12) | 0.005 |
| B | −0.48 (−0.88–−0.08) | 0.020 | −0.56 (−0.84–−0.29) | 0.000 | −0.44 (−0.90–−0.02) | 0.059 | |
| Neutrophils (109/L) | A | −0.35 (−0.59–−0.11) | 0.005 | −0.48 (−0.72–−0.25) | 0.000 | −0.38 (−0.63–−0.12) | 0.004 |
| B | −0.48 (−0.88–−0.08) | 0.020 | −0.55 (−0.83–−0.28) | 0.000 | −0.44 (−0.90–−0.03) | 0.064 | |
| Lymphocytes (109/L) | A | −0.36 (−0.61–−0.11) | 0.004 | −0.49 (−0.72–−0.26) | 0.000 | −0.39 (−0.63–−0.14) | 0.003 |
| B | −0.47 (−0.86–−0.07) | 0.023 | −0.58 (−0.85–−0.31) | 0.000 | −0.45 (−0.90–−0.01) | 0.048 | |
| Monocytes (109/L) | A | −0.36 (−0.60–−0.11) | 0.004 | −0.48 (−0.71–−0.25) | 0.000 | −0.40 (−0.64–−0.15) | 0.002 |
| B | −0.47 (−0.88–−0.08) | 0.020 | −0.57 (−0.84–−0.30) | 0.000 | −0.45 (−0.89–−0.00) | 0.048 | |
| Eosinophils (109/L) | A | −0.35 (−0.60–−0.11) | 0.004 | −0.49 (−0.72–−0.26) | 0.000 | −0.38 (−0.63–−0.14) | 0.002 |
| B | −0.47 (−0.88–−0.07) | 0.022 | −0.57 (−0.84–−0.30) | 0.000 | −0.45 (−0.90–−0.00) | 0.048 | |
| Basophils (109/L) | A | −0.36 (−0.60–−0.12) | 0.004 | −0.49 (−0.72–−0.26) | 0.000 | −0.38 (−0.62–−0.14) | 0.002 |
| B | −0.51 (−0.91–−0.11) | 0.014 | −0.57 (−0.83–−0.30) | 0.000 | −0.44 (−0.88–−0.00) | 0.050 | |
Disclaimer/Publisher’s Note: The statements, opinions and data contained in all publications are solely those of the individual author(s) and contributor(s) and not of MDPI and/or the editor(s). MDPI and/or the editor(s) disclaim responsibility for any injury to people or property resulting from any ideas, methods, instructions or products referred to in the content. |
© 2024 by the authors. Licensee MDPI, Basel, Switzerland. This article is an open access article distributed under the terms and conditions of the Creative Commons Attribution (CC BY) license (https://creativecommons.org/licenses/by/4.0/).
Share and Cite
Macamo, E.D.; Mkhize-Kwitshana, Z.L.; Duma, Z.; Mthombeni, J.; Naidoo, P. Telomere Length in a South African Population Co-Infected with HIV and Helminths. Curr. Issues Mol. Biol. 2024, 46, 6853-6867. https://doi.org/10.3390/cimb46070409
Macamo ED, Mkhize-Kwitshana ZL, Duma Z, Mthombeni J, Naidoo P. Telomere Length in a South African Population Co-Infected with HIV and Helminths. Current Issues in Molecular Biology. 2024; 46(7):6853-6867. https://doi.org/10.3390/cimb46070409
Chicago/Turabian StyleMacamo, Engelinah D., Zilungile L. Mkhize-Kwitshana, Zamathombeni Duma, Julian Mthombeni, and Pragalathan Naidoo. 2024. "Telomere Length in a South African Population Co-Infected with HIV and Helminths" Current Issues in Molecular Biology 46, no. 7: 6853-6867. https://doi.org/10.3390/cimb46070409
APA StyleMacamo, E. D., Mkhize-Kwitshana, Z. L., Duma, Z., Mthombeni, J., & Naidoo, P. (2024). Telomere Length in a South African Population Co-Infected with HIV and Helminths. Current Issues in Molecular Biology, 46(7), 6853-6867. https://doi.org/10.3390/cimb46070409

