A Comprehensive View on the Impact of Chlorogenic Acids on Colorectal Cancer
Abstract
1. Introduction
2. Methods—Literature Search Methodology
2.1. Narrative Review (Section 3)
2.2. Systemativ Review (Section 4)
3. Background Information on Chlorogenic Acids
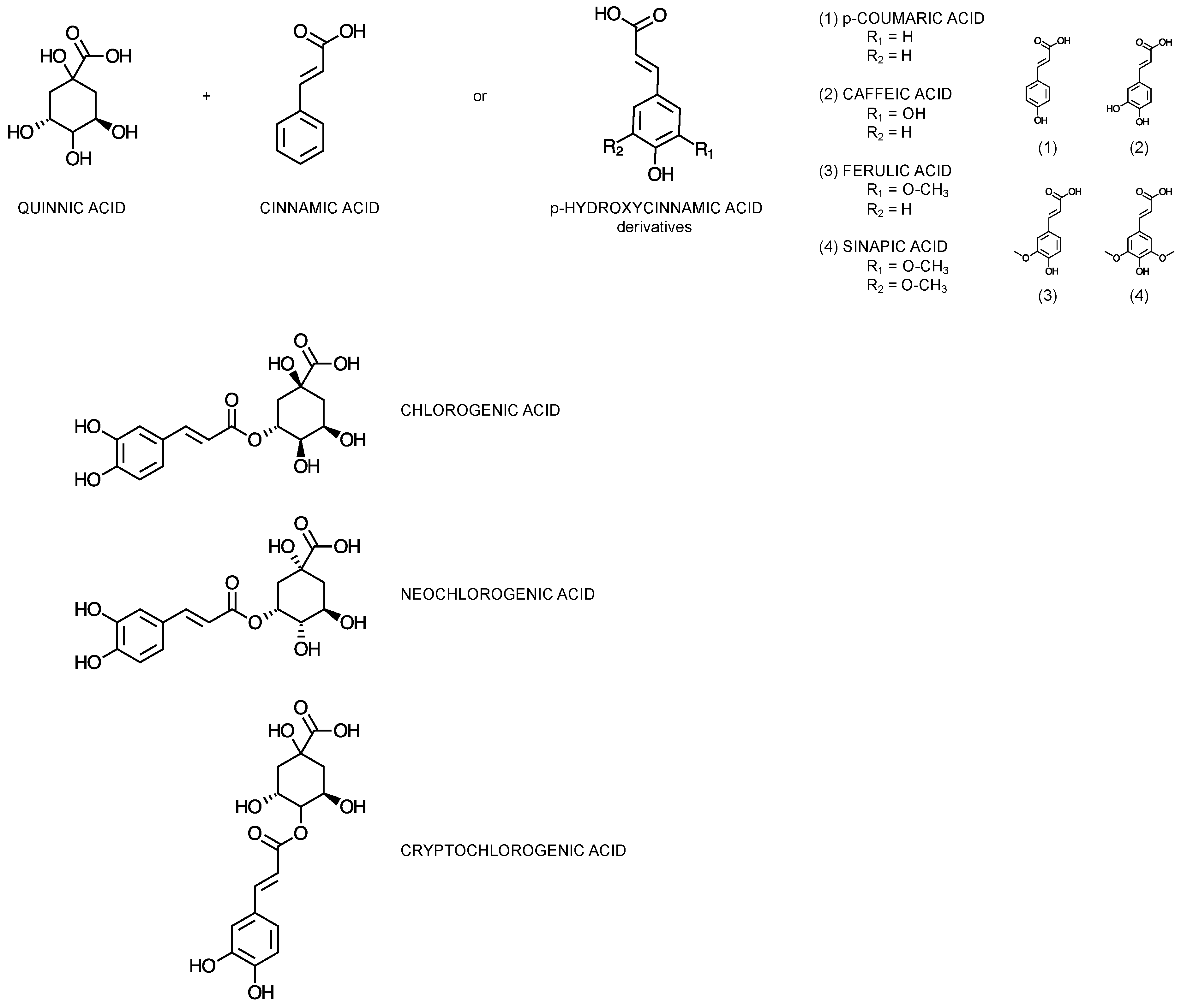
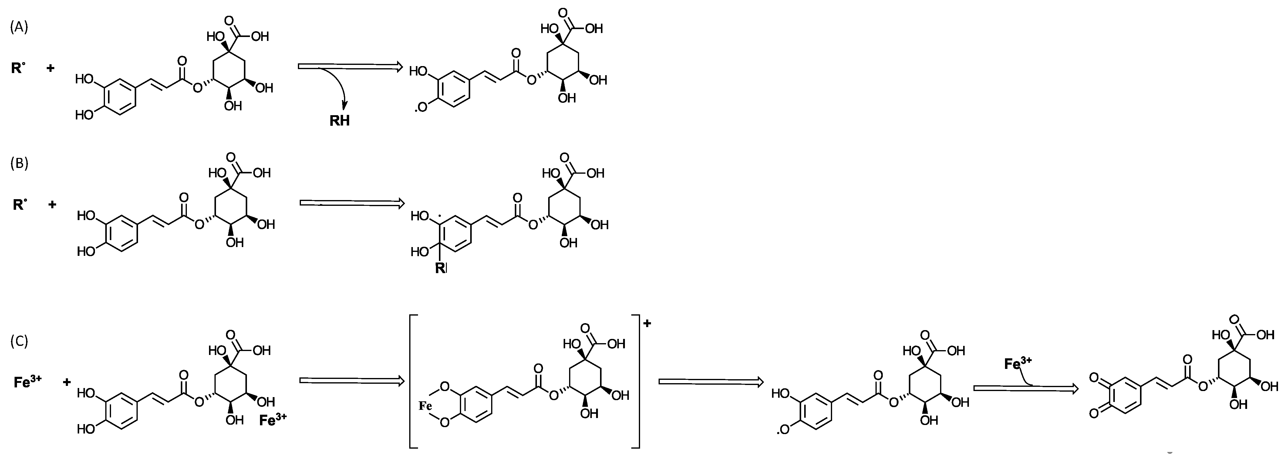
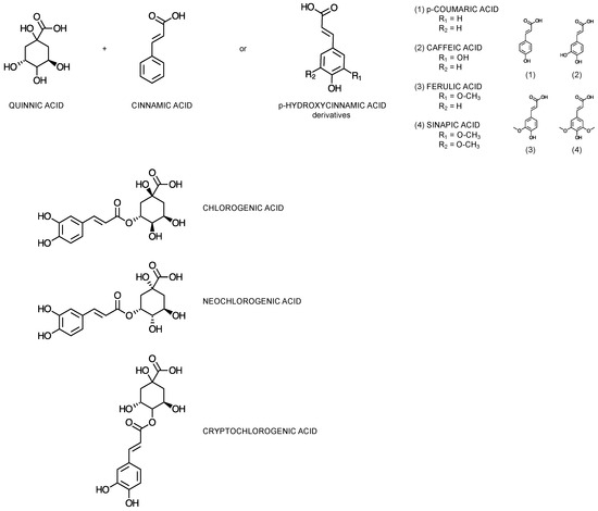
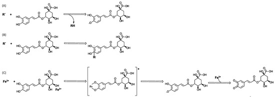
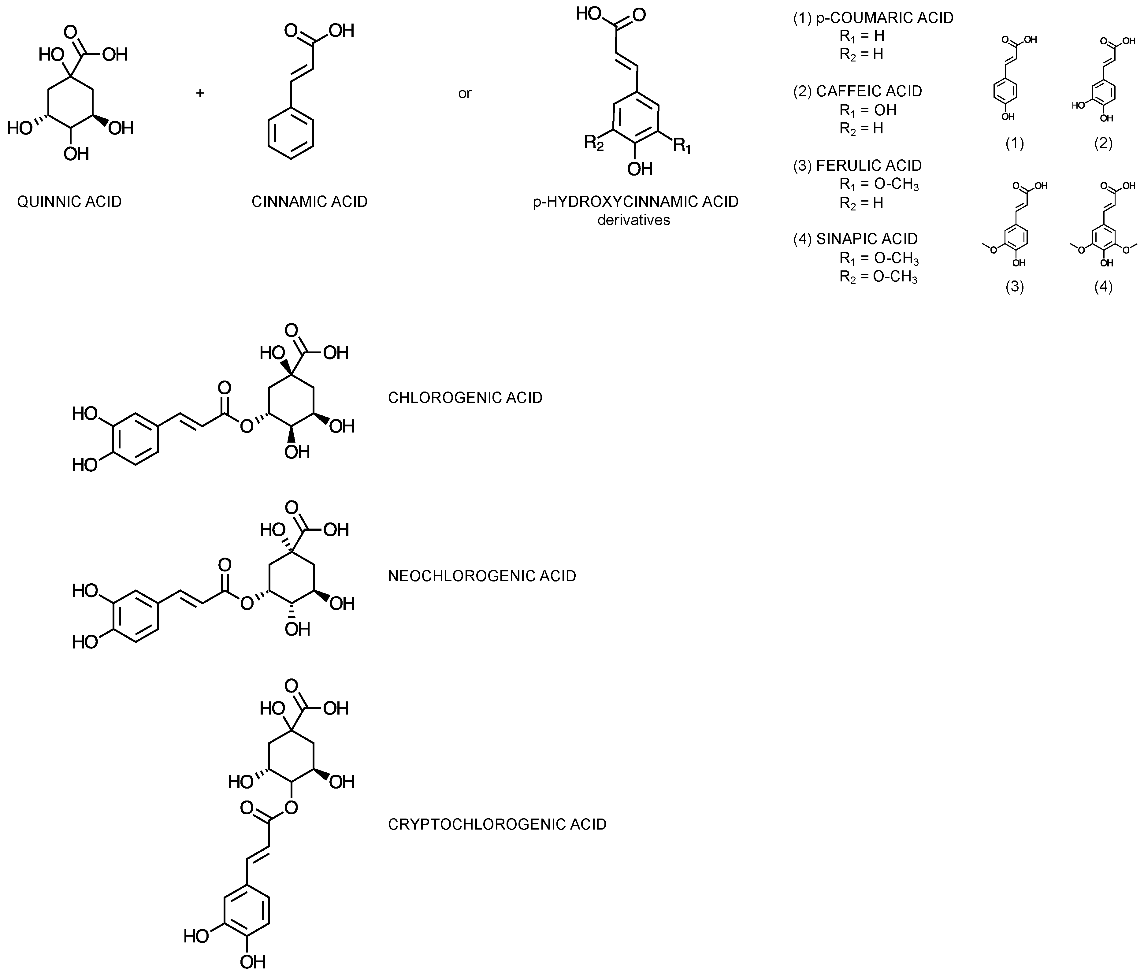
3.1. Chemical Characteristics of Chlorogenic Acids
3.2. Dietary Sources of Chlorogenic Acids
3.3. Chlorogenic Acids Biosynthesis in Plants
3.4. Chlorogenic Acids Bioavailability in Humans
4. Chlorogenic Acids—Mechanisms of Action in Colorectal Cancer: Review Methodology
4.1. Chlorogenic Acids Impact Cell Viability in Colorectal Cancer Models
4.2. Chlorogenic Acids Impact the Cell Cycle in Colorectal Cancer Models
4.3. Chlorogenic Acids Impact Apoptosis in Colorectal Cancer Models
4.4. Chlorogenic Acids Impact the Migration and Invasion of Colorectal Cancer Models
4.5. Chlorogenic Acids Modulate the Wnt/β-Catenin Pathway in Colorectal Cancer Models
4.6. Chlorogenic Acids Modulate the MAPK/NFκB Pathway in Colorectal Cancer Models
4.7. Chlorogenic Acids Modulate the PI3K/AKT Pathway in Colorectal Cancer Models
4.8. Chlorogenic Acids Induce Oxidative Stress in Colorectal Cancer Models
4.9. Chlorogenic Acids Modulates the Inflammation in Colorectal Cancer Models
5. Conclusions
Supplementary Materials
Author Contributions
Funding
Data Availability Statement
Conflicts of Interest
References
- Sung, H.; Ferlay, J.; Siegel, R.L.; Laversanne, M.; Soerjomataram, I.; Jemal, A.; Bray, F. Global cancer statistics 2020: GLOBOCAN estimates of incidence and mortality worldwide for 36 cancers in 185 countries. CA Cancer J. Clin. 2021, 71, 209–249. [Google Scholar] [CrossRef] [PubMed]
- Rothwell, J.A.; Bešević, J.; Dimou, N.; Breeur, M.; Murphy, N.; Jenab, M.; Wedekind, R.; Viallon, V.; Ferrari, P.; Achaintre, D.; et al. Circulating amino acid levels and colorectal cancer risk in the European Prospective Investigation into Cancer and Nutrition and UK Biobank cohorts. BMC Med. 2023, 21, 80. [Google Scholar] [CrossRef] [PubMed]
- Pericleous, M.; Mandair, D.; Caplin, M.E. Diet and supplements and their impact on colorectal cancer. J. Gastrointest. Oncol. 2013, 4, 409–423. [Google Scholar] [CrossRef] [PubMed]
- Rocha, J.L.U.; Ferreiro, R.S.; Suarez, R.F.; Vázquez, J.T. Primary prevention of CRC. In Foundations of Colorectal Cancer; Academic Press: Cambridge, MA, USA, 2022; pp. 27–39. [Google Scholar]
- Sawicki, T.; Ruszkowska, M.; Danielewicz, A.; Niedźwiedzka, E.; Arłukowicz, T.; Przybyłowicz, K.E. A review of colorectal cancer in terms of epidemiology, risk factors, development, symptoms and diagnosis. Cancers 2021, 13, 2025. [Google Scholar] [CrossRef] [PubMed]
- Keum, N.; Giovannucci, E. Global burden of colorectal cancer: Emerging trends, risk factors and prevention strategies. Nat. Rev. Gastroenterol. Hepatol. 2019, 16, 713–732. [Google Scholar] [CrossRef] [PubMed]
- Kossenas, K.; Constantinou, C. Epidemiology, molecular mechanisms, and clinical trials: An update on research on the association between red meat consumption and colorectal cancer. Curr. Nutr. Rep. 2021, 10, 435–467. [Google Scholar] [CrossRef] [PubMed]
- Castelló, A.; Rodríguez-Barranco, M.; de Larrea, N.F.; Jakszyn, P.; Dorronsoro, A.; Amiano, P.; Chirlaque, M.-D.; Colorado-Yohar, S.; Guevara, M.; Moreno-Iribas, C.; et al. Adherence to the Western, prudent and Mediterranean dietary patterns and colorectal cancer risk: Findings from the Spanish Cohort of the European prospective investigation into Cancer and nutrition (EPIC-Spain). Nutrients 2022, 14, 3085. [Google Scholar] [CrossRef]
- Yammine, A.; Namsi, A.; Vervandier-Fasseur, D.; Mackrill, J.J.; Lizard, G.; Latruffe, N. Polyphenols of the mediterranean diet and their metabolites in the prevention of colorectal cancer. Molecules 2021, 26, 3483. [Google Scholar] [CrossRef] [PubMed]
- Chapkin, R.S.; Navarro, S.L.; Hullar, M.A.; Lampe, J.W. Diet and gut microbes act coordinately to enhance programmed cell death and reduce colorectal cancer risk. Dig. Dis. Sci. 2020, 65, 840–851. [Google Scholar] [CrossRef]
- Zhou, E.; Rifkin, S. Colorectal cancer and diet: Risk versus prevention, is diet an intervention? Gastroenterol. Clin. 2021, 50, 101–111. [Google Scholar] [CrossRef]
- Castelló, A.; Amiano, P.; de Larrea, N.F.; Martín, V.; Alonso, M.H.; Castaño-Vinyals, G.; Pérez-Gómez, B.; Olmedo-Requena, R.; Guevara, M.; Fernandez-Tardon, G.; et al. Low adherence to the western and high adherence to the mediterranean dietary patterns could prevent colorectal cancer. Eur. J. Nutr. 2019, 58, 1495–1505. [Google Scholar] [CrossRef]
- Oyelere, A.M.; Kok, D.E.; Bos, D.; Gunter, M.J.; Ferrari, P.; Keski-Rahkonen, P.; de Wilt, J.H.W.; van Halteren, H.K.; Kouwenhoven, E.A.; van Duijnhoven, F.J.B.; et al. Coffee consumption is associated with a reduced risk of colorectal cancer recurrence and all-cause mortality. Int. J. Cancer 2024, 154, 2054–2063. [Google Scholar] [CrossRef]
- Micek, A.; Gniadek, A.; Kawalec, P.; Brzostek, T. Coffee consumption and colorectal cancer risk: A dose-response meta-analysis on prospective cohort studies. Int. J. Food Sci. Nutr. 2019, 70, 986–1006. [Google Scholar] [CrossRef] [PubMed]
- Sun, H.; Liu, Y.; Huang, H.; Li, D.; Zhao, Y. Diet quality score and survival rate in patients with colorectal cancer. Asia Pac. J. Clin. Nutr. 2019, 28, 601–606. [Google Scholar]
- Mackintosh, C.; Yuan, C.; Ou, F.-S.; Zhang, S.; Niedzwiecki, D.; Chang, I.-W.; O’neil, B.H.; Mullen, B.C.; Lenz, H.-J.; Blanke, C.D.; et al. Association of Coffee Intake with survival in patients with advanced or metastatic colorectal cancer. JAMA Oncol. 2020, 6, 1713–1721. [Google Scholar] [CrossRef]
- Wang, S.T.; Cui, W.Q.; Pan, D.; Jiang, M.; Chang, B.; Sang, L.X. Tea polyphenols and their chemopreventive and therapeutic effects on colorectal cancer. World J. Gastroenterol. 2020, 26, 562. [Google Scholar] [CrossRef] [PubMed]
- Lim, L.T.; Zwicker, M.; Wang, X. Coffee: One of the most consumed beverages in the world. Compr. Biotechnol. 2019, 4, 275–285. [Google Scholar]
- Romualdo, G.R.; Rocha, A.B.; Vinken, M.; Cogliati, B.; Moreno, F.S.; Chaves, M.A.G.; Barbisan, L.F. Drinking for protection? Epidemiological and experimental evidence on the beneficial effects of coffee or major coffee compounds against gastrointestinal and liver carcinogenesis. Food Res. Int. 2019, 123, 567–589. [Google Scholar] [CrossRef]
- Moreno-Ceballos, M.; Arroyave, J.C.; Cortes-Mancera, F.M.; Röthlisberger, S. Chemopreventive effect of coffee against colorectal cancer and hepatocellular carcinoma. Int. J. Food Prop. 2019, 22, 536–555. [Google Scholar] [CrossRef]
- Gaascht, F.; Dicato, M.; Diederich, M. Coffee provides a natural multitarget pharmacopeia against the hallmarks of cancer. Genes Nutr. 2015, 10, 51. [Google Scholar] [CrossRef]
- Sesink, A.L.; Termont, D.S.; Kleibeuker, J.H.; Van der Meer, R. Red meat and colon cancer: Dietary haem-induced colonic cytotoxicity and epithelial hyperproliferation are inhibited by calcium. Carcinogenesis 2001, 22, 1653–1659. [Google Scholar] [CrossRef] [PubMed]
- Zhou, X.; Chen, C.; Zhong, Y.N.; Zhao, F.; Hao, Z.; Xu, Y.; Lai, R.; Shen, G.; Yin, X. Effect and mechanism of vitamin D on the development of colorectal cancer based on intestinal flora disorder. J. Gastroenterol. Hepatol. 2020, 35, 1023–1031. [Google Scholar] [CrossRef] [PubMed]
- Mileo, A.M.; Nisticò, P.; Miccadei, S. Polyphenols: Immunomodulatory and therapeutic implication in colorectal cancer. Front. Immunol. 2019, 10, 418549. [Google Scholar] [CrossRef] [PubMed]
- Zhou, Y.; Zheng, J.; Li, Y.; Xu, D.P.; Li, S.; Chen, Y.M.; Li, H.B. Natural polyphenols for prevention and treatment of cancer. Nutrients 2016, 8, 515. [Google Scholar] [CrossRef] [PubMed]
- Neamtu, A.A.; Maghiar, T.A.; Alaya, A.; Olah, N.K.; Turcus, V.; Pelea, D.; Totolici, B.D.; Neamtu, C.; Maghiar, A.M.; Mathe, E. A comprehensive view on the quercetin impact on colorectal cancer. Molecules 2022, 27, 1873. [Google Scholar] [CrossRef] [PubMed]
- Obrador, E.; Salvador-Palmer, R.; Jihad-Jebbar, A.; López-Blanch, R.; Dellinger, T.H.; Dellinger, R.W.; Estrela, J.M. Pterostilbene in cancer therapy. Antioxidants 2021, 10, 492. [Google Scholar] [CrossRef]
- Schmit, S.L.; Rennert, H.S.; Rennert, G.; Gruber, S.B. Coffee consumption and the risk of colorectal cancer. Cancer Epidemiol. Biomark. Prev. 2016, 25, 634–639. [Google Scholar] [CrossRef]
- Rao, N.Z.; Fuller, M. Acidity and Antioxidant Activity of Cold Brew Coffee. Sci. Rep. 2018, 8, 16030. [Google Scholar] [CrossRef]
- Clifford, M.N. Chlorogenic Acids. In Coffee; Clarke, R.J., Macrae, R., Eds.; Springer: Dordrecht, The Netherlands, 1985; pp. 153–202. [Google Scholar] [CrossRef]
- Naveed, M.; Hejazi, V.; Abbas, M.; Kamboh, A.A.; Khan, G.J.; Shumzaid, M.; Ahmad, F.; Babazadeh, D.; FangFang, X.; Modarresi-Ghazani, F.; et al. Chlorogenic acid (CGA): A pharmacological review and call for further research. Biomed. Pharmacother. 2018, 97, 67–74. [Google Scholar] [CrossRef]
- Upadhyay, R.; Mohan Rao, L.J. An Outlook on Chlorogenic Acids—Occurrence, Chemistry, Technology, and Biological Activities. Crit. Rev. Food Sci. Nutr. 2013, 53, 968–984. [Google Scholar] [CrossRef]
- Liu, W.; Li, J.; Zhang, X.; Zu, Y.; Yang, Y.; Liu, W.; Xu, Z.; Gao, H.; Sun, X.; Jiang, X.; et al. Current advances in naturally occurring caffeoylquinic acids: Structure, bioactivity, and synthesis. J. Agric. Food Chem. 2020, 68, 10489–10516. [Google Scholar] [CrossRef] [PubMed]
- Trugo, L.C. COFFEE | Analysis of Coffee Products. In Encyclopedia of Food Sciences and Nutrition (Second Edition); Caballero, B., Ed.; Academic Press: Cambridge, MA, USA, 2003; pp. 1498–1506. [Google Scholar] [CrossRef]
- Nabavi, S.F.; Tejada, S.; Setzer, W.N.; Gortzi, O.; Sureda, A.; Braidy, N.; Daglia, M.; Manayi, A.; Nabavi, S.M. Chlorogenic Acid and Mental Diseases: From Chemistry to Medicine. Curr. Neuropharmacol. 2017, 15, 471–479. [Google Scholar] [CrossRef]
- Leopoldini, M.; Chiodo, S.G.; Russo, N.; Toscano, M. Detailed investigation of the OH radical quenching by natural antioxidant caffeic acid studied by quantum mechanical models. J. Chem. Theory Comput. 2011, 7, 4218–4233. [Google Scholar] [CrossRef] [PubMed]
- Bakalbassis, E.G.; Chatzopoulou, A.; Melissas, V.S.; Tsimidou, M.; Tsolaki, M.; Vafiadis, A. Ab initio and density functional theory studies for the explanation of the antioxidant activity of certain phenolic acids. Lipids 2001, 36, 181–191. [Google Scholar] [CrossRef] [PubMed]
- Fan, G.J.; Jin, X.L.; Qian, Y.P.; Wang, Q.; Yang, R.T.; Dai, F.; Tang, J.J.; Shang, Y.J.; Cheng, L.X.; Yang, J. Hydroxycinnamic Acids as DNA-Cleaving Agents in the Presence of Cu (II) Ions: Mechanism, Structure–Activity Relationship, and Biological Implications. Chem. Eur. J. 2009, 15, 12889–12899. [Google Scholar] [CrossRef] [PubMed]
- Hynes, M.J.; O’Coinceanainn, M.N. The kinetics and mechanisms of reactions of iron (III) with caffeic acid, chlorogenic acid, sinapic acid, ferulic acid and naringin. J. Inorg. Biochem. 2004, 98, 1457–1464. [Google Scholar] [CrossRef]
- Shibamoto, T. Chapter 14—Volatile Chemicals from Thermal Degradation of Less Volatile Coffee Components. In Coffee in Health and Disease Prevention; Preedy, V.R., Ed.; Academic Press: Cambridge, MA, USA, 2015; pp. 129–135. [Google Scholar] [CrossRef]
- Farah, A.; de Paulis, T.; Trugo, L.C.; Martin, P.R. Effect of Roasting on the Formation of Chlorogenic Acid Lactones in Coffee. J. Agric. Food Chem. 2005, 53, 1505–1513. [Google Scholar] [CrossRef]
- Leloup, V.; Louvrier, A.; Liardon, R. Degradation mechanisms of chlorogenic acids during roasting. In Proceedings of the 16th International Scientific Colloquium on Coffee, Kyoto, Japan, 9–14 April 1995; Association Scientifique Internationale du Café: Paris, France, 1995; pp. 192–198. [Google Scholar]
- Trugo, L.C.; Macrae, R. Chlorogenic acid composition of instant coffees. Analyst 1984, 109, 263–266. [Google Scholar] [CrossRef]
- Scholz, B.M.; Maier, H.G. Isomers of quinic acid and quinide in roasted coffee. Z. Lebensm. Unters. Forsch. 1990, 190, 132–134. [Google Scholar] [CrossRef]
- Kremr, D.; Bajer, T.; Bajerová, P.; Surmová, S.; Ventura, K. Unremitting problems with chlorogenic acid nomenclature: A review. Quím. Nova 2016, 39, 530–533. [Google Scholar] [CrossRef]
- Lu, H.; Tian, Z.; Cui, Y.; Liu, Z.; Ma, X. Chlorogenic acid: A comprehensive review of the dietary sources, processing effects, bioavailability, beneficial properties, mechanisms of action, and future directions. Compr. Rev. Food Sci. Food Saf. 2020, 19, 3130–3158. [Google Scholar] [CrossRef] [PubMed]
- Farah, A.; de Paula Lima, J. Consumption of Chlorogenic Acids through Coffee and Health Implications. Beverages 2019, 5, 11. [Google Scholar] [CrossRef]
- Navarra, G.; Moschetti, M.; Guarrasi, V.; Mangione, M.R.; Militello, V.; Leone, M. Simultaneous determination of caffeine and chlorogenic acids in green coffee by UV/Vis spectroscopy. J. Food Res. 2017, 3, 6435086. [Google Scholar] [CrossRef]
- Wale, K.; Tolessa, K.; Atlabachew, M.; Mehari, B.; Alemayehu, M.; Mengistu, D.A.; Kerisew, B. Level of caffeine, trigonelline and chlorogenic acids in green coffee (Coffea arabica L.) beans from Amhara region, Ethiopia. J. Agric. Food Res. 2024, 16, 101082. [Google Scholar] [CrossRef]
- Mengistu, M.W.; Workie, M.A.; Mohammed, A.S. Biochemical compounds of Arabica coffee (Coffea arabica L.) varieties grown in northwestern highlands of Ethiopia. Cogent Food Agric. 2020, 6, 1741319. [Google Scholar] [CrossRef]
- Sualeh, A.; Tolessa, K.; Mohammed, A. Biochemical composition of green and roasted coffee beans and their association with coffee quality from different districts of southwest Ethiopia. Heliyon 2020, 6, e05812. [Google Scholar] [CrossRef] [PubMed]
- Yeager, S.E.; Batali, M.E.; Guinard, J.-X.; Ristenpart, W.D. Acids in coffee: A review of sensory measurements and meta-analysis of chemical composition. Crit. Rev. Food Sci. Nutr. 2023, 63, 1010–1036. [Google Scholar] [CrossRef] [PubMed]
- Meinhart, A.D.; Caldeirão, L.; Damin, F.M.; Filho, J.T.; Godoy, H.T. Analysis of chlorogenic acids isomers and caffeic acid in 89 herbal infusions (tea). J. Food Compos. Anal. 2018, 73, 76–82. [Google Scholar] [CrossRef]
- Meinhart, A.D.; Damin, F.M.; Caldeirão, L.; da Silveira, T.F.F.; Filho, J.T.; Godoy, H.T. Chlorogenic acid isomer contents in 100 plants commercialized in Brazil. Food Res. Int. 2017, 99, 522–530. [Google Scholar] [CrossRef]
- Lattanzio, V.; Cicco, N.; Linsalata, V. Antioxidant Activities of Artichoke Phenolics. Acta Hortic. 2005, 681, 421–428. [Google Scholar] [CrossRef]
- Rojas-González, A.; Figueroa-Hernández, C.Y.; González-Rios, O.; Suárez-Quiroz, M.L.; González-Amaro, R.M.; Hernández-Estrada, Z.J.; Rayas-Duarte, P. Coffee Chlorogenic Acids Incorporation for Bioactivity Enhancement of Foods: A Review. Molecules 2022, 27, 3400. [Google Scholar] [CrossRef] [PubMed]
- Plazas, M.; Andújar, I.; Vilanova, S.; Hurtado, M.; Gramazio, P.; Herraiz, F.J.; Prohens, J. Breeding for chlorogenic acid content in eggplant: Interest and prospects. Not. Bot. Horti Agrobot. Cluj-Napoca 2013, 41, 26–35. [Google Scholar] [CrossRef]
- Sun, T.; Simon, P.W.; Tanumihardjo, S.A. Antioxidant phytochemicals and antioxidant capacity of biofortified carrots (Daucus carota L.) of various colors. J. Agric. Food Chem. 2009, 57, 4142–4147. [Google Scholar] [CrossRef] [PubMed]
- Deußer, H.; Guignard, C.; Hoffmann, L.; Evers, D. Polyphenol and glycoalkaloid contents in potato cultivars grown in Luxembourg. Food Chem. 2012, 135, 2814–2824. [Google Scholar] [CrossRef] [PubMed]
- Lu, Y.; Foo, L. Identification and quantification of major polyphenols in apple pomace. Food Chem. 1997, 59, 187–194. [Google Scholar] [CrossRef]
- van der Sluis, A.A.; Dekker, M.; de Jager, A.; Jongen, W.M.F. Activity and concentration of polyphenolic antioxidants in apple: Effect of cultivar, harvest year, and storage conditions. J. Agric. Food Chem. 2001, 49, 3606–3613. [Google Scholar] [CrossRef] [PubMed]
- Zawirska-Wojtasiak, R.; Wojtowicz, E.; Przygoński, K.; Olkowicz, M. Chlorogenic acid in raw materials for the production of chicory coffee. J. Sci. Food Agric. 2014, 94, 2118–2123. [Google Scholar] [CrossRef] [PubMed]
- Rodriguez-Mateos, A.; Cifuentes-Gomez, T.; Tabatabaee, S.; Lecras, C.; Spencer, J.P.E. Procyanidin, anthocyanin, and chlorogenic acid contents of highbush and lowbush blueberries. J. Agric. Food Chem. 2012, 6, 5772–5778. [Google Scholar] [CrossRef] [PubMed]
- Telles, A.C.; Kupski, L.; Furlong, E.B. Phenolic compound in beans as protection against mycotoxins. Food Chem. 2017, 214, 293–299. [Google Scholar] [CrossRef]
- Canzi, F.A.; Meireles, D.A.L.; Valdez, A.S.B.; Abrantes, L.S.; Boroski, M.; Augusto, S.C.; Valderrama, P.; Toci, A.T. Effect of pollination on the composition of raw arabica coffee (Coffea arabica L.): Antioxidant capacity, bioactive compounds, and volatiles precursors. J. Sci. Food Agric. 2023, 103, 5578–5587. [Google Scholar] [CrossRef]
- Clifford, M.N.; Jaganath, I.B.; Ludwig, I.A.; Crozier, A. Chlorogenic acids and the acyl-quinic acids: Discovery, biosynthesis, bioavailability and bioactivity. Nat. Prod. Rep. 2017, 34, 1391–1421. [Google Scholar] [CrossRef] [PubMed]
- Magaña, A.A.; Kamimura, N.; Soumyanath, A.; Stevens, J.F.; Maier, C.S. Caffeoylquinic acids: Chemistry, biosynthesis, occurrence, analytical challenges, and bioactivity. Plant J. Cell Mol. Biol. 2021, 107, 1299–1319. [Google Scholar] [CrossRef] [PubMed]
- Barros, J.; Serrani-Yarce, J.C.; Chen, F.; Baxter, D.; Venables, B.J.; Dixon, R.A. Role of bifunctional ammonia-lyase in grass cell wall biosynthesis. Nat. Plants 2016, 2, 16050. [Google Scholar] [CrossRef] [PubMed]
- Zhang, X.; Liu, C.-J. Multifaceted Regulations of Gateway Enzyme Phenylalanine Ammonia-Lyase in the Biosynthesis of Phenylpropanoids. Mol. Plant 2015, 8, 17–27. [Google Scholar] [CrossRef] [PubMed]
- Stalmach, A.; Mullen, W.; Barron, D.; Uchida, K.; Yokota, T.; Cavin, C.; Steiling, H.; Williamson, G.; Crozier, A. Metabolite profiling of hydroxycinnamate derivatives in plasma and urine after the ingestion of coffee by humans: Identification of biomarkers of coffee consumption. Drug Metab. Dispos. Biol. Fate Chem. 2009, 37, 1749–1758. [Google Scholar] [CrossRef] [PubMed]
- Stalmach, A.; Steiling, H.; Williamson, G.; Crozier, A. Bioavailability of chlorogenic acids following acute ingestion of coffee by humans with an ileostomy. Arch. Biochem. Biophys. 2010, 501, 98–105. [Google Scholar] [CrossRef]
- Cao, S.; Zhang, Z.; Ye, Y.; Chen, L.; Li, Y.; Yu, X.; Yang, Y.; Wang, L.; Li, Z.; Li, L. Metabolic transformation evidence of caffeic acid derivatives in male rat after oral administration of functional food by UPLC coupled with hybrid quadrupole-orbitrap mass spectrometer. RSC Adv. 2015, 5, 16960–16967. [Google Scholar] [CrossRef]
- Erk, T.; Renouf, M.; Williamson, G.; Melcher, R.; Steiling, H.; Richling, E. Absorption and isomerization of caffeoylquinic acids from different foods using ileostomist volunteers. Eur. J. Nutr. 2014, 53, 159–166. [Google Scholar] [CrossRef]
- Farrell, T.L.; Dew, T.P.; Poquet, L.; Hanson, P.; Williamson, G. Absorption and metabolism of chlorogenic acids in cultured gastric epithelial monolayers. Drug Metab. Dispos. 2011, 39, 2338–2346. [Google Scholar] [CrossRef]
- Andreasen, M.F.; Kroon, P.A.; Williamson, G.; Garcia-Conesa, M.T. Esterase activity able to hydrolyze dietary antioxidant hydroxycinnamates is distributed along the intestine of mammals. J. Agric. Food Chem. 2001, 49, 5679–5684. [Google Scholar] [CrossRef]
- Buchanan, C.J.; Wallace, G.; Fry, S.C.; Eastwood, M.A. In Vivo release of C-14-labelled phenolic groups from intact dietary spinach cell walls during passage through the rat intestine. J. Sci. Food Agric. 1996, 71, 459–469. [Google Scholar] [CrossRef]
- Rechner, A.R.; Spencer, J.P.; Kuhnle, G.; Hahn, U.; Rice-Evans, C.A. Novel biomarkers of the metabolism of caffeic acid derivatives in vivo. Free Radic. Biol. Med. 2001, 30, 1213–1222. [Google Scholar] [CrossRef]
- Olthof, M.R.; Hollman, P.C.; Katan, M.B. Chlorogenic acid and caffeic acid are absorbed in humans. J. Nutr. 2001, 131, 66–71. [Google Scholar] [CrossRef]
- Zhao, Y.; Wang, J.; Ballevre, O.; Luo, H.; Zhang, W. Antihypertensive effects and mechanisms of chlorogenic acids. Hypertens. Res. 2012, 35, 370–374. [Google Scholar] [CrossRef]
- Ranjbary, A.G.; Bagherzadeh, A.; Sabbaghi, S.S.; Faghihi, A.; Karimi, D.N.; Naji, S.; Kardani, M. Chlorogenic acid induces apoptosis and cell-cycle arrest in colorectal cancer cells. Mol. Biol. Rep. 2023, 50, 9845–9857. [Google Scholar] [CrossRef]
- Villota, H.; Santa-González, G.A.; Uribe, D.; Henao, I.C.; Arroyave-Ospina, J.C.; Barrera-Causil, C.J.; Pedroza-Díaz, J. Modulatory Effect of Chlorogenic Acid and Coffee Extracts on Wnt/β-Catenin Pathway in Colorectal Cancer Cells. Nutrients 2022, 14, 4880. [Google Scholar] [CrossRef]
- Vélez-Vargas, L.C.; Santa-González, G.A.; Uribe, D.; Henao-Castañeda, I.C.; Pedroza-Díaz, J. In Vitro and In Silico Study on the Impact of Chlorogenic Acid in Colorectal Cancer Cells: Proliferation, Apoptosis, and Interaction with β-Catenin and LRP6. Pharmaceuticals 2023, 16, 276. [Google Scholar] [CrossRef]
- Yang, Q.; Zhang, X.; Qin, H.; Luo, F.; Ren, J. Phenolic Acid Profiling of Lactarius hatsudake Extracts, Anti-Cancer Function and Its Molecular Mechanisms. Foods 2022, 11, 1839. [Google Scholar] [CrossRef]
- Albogami, S.; Hassan, A.M. Assessment of the Efficacy of Olive Leaf (Olea europaea L.) Extracts in the Treatment of Colorectal Cancer and Prostate Cancer Using In Vitro Cell Models. Molecules 2021, 26, 4069. [Google Scholar] [CrossRef] [PubMed]
- Nam, S.-H.; Ko, J.-A.; Jun, W.; Wee, Y.-J.; Walsh, M.K.; Yang, K.-Y.; Choi, J.-H.; Eun, J.-B.; Choi, J.; Kim, Y.-M.; et al. Enzymatic synthesis of chlorogenic acid glucoside using dextransucrase and its physical and functional properties. Enzym. Microb. Technol. 2017, 107, 15–21. [Google Scholar] [CrossRef] [PubMed]
- Villota, H.; Moreno-Ceballos, M.; Santa-González, G.A.; Uribe, D.; Castañeda, I.C.H.; Preciado, L.M.; Pedroza-Díaz, J. Biological Impact of Phenolic Compounds from Coffee on Colorectal Cancer. Pharmaceuticals 2021, 14, 761. [Google Scholar] [CrossRef]
- Vélez, M.D.; Pedroza-Díaz, J.; Santa-González, G.A. Data on the cytotoxicity of chlorogenic acid in 3D cultures of HT-29 cells. Data Brief 2023, 50, 109527. [Google Scholar] [CrossRef]
- Bartolomeu, A.R.; Romualdo, G.R.; Lisón, C.G.; Besharat, Z.M.; Corrales, J.A.M.; Chaves, M.Á.G.; Barbisan, L.F. Caffeine and Chlorogenic Acid Combination Attenuate Early-Stage Chemically Induced Colon Carcinogenesis in Mice: Involvement of oncomiR miR-21a-5p. Int. J. Mol. Sci. 2022, 23, 6292. [Google Scholar] [CrossRef]
- Hou, N.; Liu, N.; Han, J.; Yan, Y.; Li, J. Chlorogenic acid induces reactive oxygen species generation and inhibits the viability of human colon cancer cells. Anticancer Drugs 2017, 28, 59–65. [Google Scholar] [CrossRef]
- Panyathep, A.; Punturee, K.; Chewonarin, T. Inhibitory Effects of Chlorogenic Acid Containing Green Coffee Bean Extract on Lipopolysaccharide-Induced Inflammatory Responses and Progression of Colon Cancer Cell Line. Foods 2023, 12, 2648. [Google Scholar] [CrossRef]
- Batjargal, A.; Solek, P.; Kukula-Koch, W.; Urjin, B.; Koch, W.; Koman, D.; Dudzinska, E. Gurgem-7 toxicity assessment: Regulation of cell survival or death by traditional Mongolian prescription. Ecotoxicol. Environ. Saf. 2022, 239, 113660. [Google Scholar] [CrossRef]
- Ayouaz, S.; Oliveira-Alves, S.C.; Serra, A.T.; Lefsih, K.; Samah, M.; da Silva, A.B.; Madani, K.; Bronze, M.R. LC-DAD-ESI-MS/MS analysis, cytotoxic and antiproliferative effect of chlorogenic acid derivates rich extract from Nerium oleander L. pink flowers. Food Funct. 2021, 12, 3624–3634. [Google Scholar] [CrossRef]
- Gutierrez-Silerio, G.Y.; Garcia-Solis, P.; Yahia, E.M.; Núñez-Ríos, J.D.; Vázquez-Cuevas, F.; Rodriguez-Salinas, P.A.; Mendoza-Zuñiga, R.; Kuri-García, A. Cytotoxic and Antitumoral Effects of Methanolic Extracts of Avocado Fruit Mesocarp in Colorectal Cancer Cell Line HT29. J. Med. Food 2024, 27, 211–221. [Google Scholar] [CrossRef]
- Nieto-Figueroa, K.H.; Gaytán-Martínez, M.; Loarca-Piña, M.G.F.; Campos-Vega, R. Effect of drying method on the production of in vitro short-chain fatty acids and histone deacetylase mediation of cocoa pod husk. J. Food Sci. 2022, 87, 4476–4490. [Google Scholar] [CrossRef]
- Villarini, M.; Acito, M.; di Vito, R.; Vannini, S.; Dominici, L.; Fatigoni, C.; Pagiotti, R.; Moretti, M. Pro-Apoptotic Activity of Artichoke Leaf Extracts in Human HT-29 and RKO Colon Cancer Cells. Int. J. Environ. Res. Public Health 2021, 18, 4166. [Google Scholar] [CrossRef]
- Keskin, C.; Ölçekçi, A.; Baran, A.; Baran, M.F.; Eftekhari, A.; Omarova, S.; Khalilov, R.; Aliyev, E.; Sufianov, A.; Beilerli, A.; et al. Green synthesis of silver nanoparticles mediated Diospyros kaki L. (Persimmon): Determination of chemical composition and evaluation of their antimicrobials and anticancer activities. Front Chem. 2023, 11, 1187808. [Google Scholar] [CrossRef] [PubMed]
- Ayouaz, S.; Oliveira-Alves, S.C.; Lefsih, K.; Serra, A.T.; Bento da Silva, A.; Samah, M.; Karczewski, J.; Madani, K.; Bronze, M.R. Phenolic compounds from Nerium oleander leaves: Microwave assisted extraction, characterization, antiproliferative and cytotoxic activities. Food Funct. 2020, 11, 6319–6331. [Google Scholar] [CrossRef] [PubMed]
- Chojnacka, K.; Owczarek, K.; Caban, M.; Sosnowska, D.; Kajszczak, D.; Lewandowska, U. Chemoprotective effects of Japanese quince (Chaenomeles japonica L.) phenol leaf extract on colon cancer cells through the modulation of extracellular signal-regulated kinases/AKT signaling pathway. J. Physiol. Pharmacol. 2022, 73, 1–12. [Google Scholar] [CrossRef]
- Chojnacka, K.; Sosnowska, D.; Polka, D.; Owczarek, K.; Gorlach-Lira, K.; Oliveira de Verasa, B.; Lewandowska, U. Comparison of phenolic compounds, antioxidant and cytotoxic activity of extracts prepared from Japanese quince (Chaenomeles japonica L.) leaves. J. Physiol. Pharmacol. 2020, 71, 2–10. [Google Scholar] [CrossRef]
- Banerjee, N.; Kim, H.; Talcott, S.T.; Turner, N.D.; Byrne, D.H.; Mertens-Talcott, S.U. Plum polyphenols inhibit colorectal aberrant crypt foci formation in rats: Potential role of the miR-143/protein kinase B/mammalian target of rapamycin axis. Nutr. Res. 2016, 36, 1105–1113. [Google Scholar] [CrossRef] [PubMed]
- Chiavaroli, A.; Masciulli, F.; Ingallina, C.; Mannina, L.; Libero, M.L.; Di Simone, S.C.; Acquaviva, A.; Recinella, L.; Leone, S.; Brunetti, L.; et al. Comprehensive metabolite and biological profile of “Sulmona Red Garlic” ecotype’s aerial bulbils. Food Res. Int. 2024, 175, 113654. [Google Scholar] [CrossRef] [PubMed]
- Kurata, R.; Adachi, M.; Yamakawa, O.; Yoshimoto, M. Growth suppression of human cancer cells by polyphenolics from sweetpotato (Ipomoea batatas L.) leaves. J. Agric. Food Chem. 2007, 55, 185–190. [Google Scholar] [CrossRef] [PubMed]
- Taira, J.; Uehara, M.; Tsuchida, E.; Ohmine, W. Inhibition of the β-catenin/Tcf signaling by caffeoylquinic acids in sweet potato leaf through down regulation of the Tcf-4 transcription. J. Agric. Food Chem. 2014, 62, 167–172. [Google Scholar] [CrossRef]
- Murad, L.D.; Soares Nda, C.; Brand, C.; Monteiro, M.C.; Teodoro, A.J. Effects of caffeic and 5-caffeoylquinic acids on cell viability and cellular uptake in human colon adenocarcinoma cells. Nutr. Cancer 2015, 67, 532–542. [Google Scholar] [CrossRef]
- Carvalho, M.; Silva, B.M.; Silva, R.; Valentão, P.; Andrade, P.B.; Bastos, M.L. First report on Cydonia oblonga Miller anticancer potential: Differential antiproliferative effect against human kidney and colon cancer cells. J. Agric. Food Chem. 2010, 58, 3366–3370. [Google Scholar] [CrossRef]
- Puangpraphant, S.; Berhow, M.A.; Vermillion, K.; Potts, G.; Gonzalez de Mejia, E. Dicaffeoylquinic acids in Yerba mate (Ilex paraguariensis St. Hilaire) inhibit NF-κB nucleus translocation in macrophages and induce apoptosis by activating caspases-8 and -3 in human colon cancer cells. Mol. Nutr. Food Res. 2011, 55, 1509–1522. [Google Scholar] [CrossRef] [PubMed]
- Hu, W.; Shen, T.; Wang, M.H. Cell cycle arrest and apoptosis induced by methyl 3,5-dicaffeoyl quinate in human colon cancer cells: Involvement of the PI3K/Akt and MAP kinase pathways. Chem. Biol. Interact. 2011, 194, 48–57. [Google Scholar] [CrossRef]
- van Tonder, A.; Joubert, A.M.; Cromarty, A.D. Limitations of the 3-(4,5-dimethylthiazol-2-yl)-2,5-diphenyl-2H-tetrazolium bromide (MTT) assay when compared to three commonly used cell enumeration assays. BMC Res. Notes 2015, 8, 47. [Google Scholar] [CrossRef]
- Stepanenko, A.A.; Dimitrenko, V.V. Pitfalls of the MTT assay: Direct and off-target effects of inhibitors can result in over/underestimation of cell viability. Gene 2015, 574, 193–203. [Google Scholar] [CrossRef] [PubMed]
- Tominaga, O.; Nita, M.E.; Nagawa, H.; Fujii, S.; Tsuruo, T.; Muto, T. Expressions of cell cycle regulators in human colorectal cancer cell lines. Jpn. J. Cancer Res. 1997, 88, 855–860. [Google Scholar] [CrossRef]
- Watson, A.J.M. Apoptosis and colorectal cancer. Gut 2004, 53, 1701–1709. [Google Scholar] [CrossRef]
- Bienz, M.; Clevers, H. Linking colorectal cancer to Wnt signaling. Cell 2000, 103, 311–320. [Google Scholar] [CrossRef] [PubMed]
- Pinto, D.; Gregorieff, A.; Begthel, H.; Clevers, H. Canonical Wnt signals are essential for homeostasis of the intestinal epithelium. Genes Dev. 2003, 17, 1709–1713. [Google Scholar] [CrossRef]
- Mook, O.R.; Frederiks, W.M.; Van Noorden, C.J. The role of gelatinases in colorectal cancer progression and metastasis. Biochim. Biophys. Acta (BBA)-Rev. Cancer 2004, 1705, 69–89. [Google Scholar] [CrossRef]
- Dakowicz, D.; Zajkowska, M.; Mroczko, B. Relationship between VEGF Family Members, Their Receptors and Cell Death in the Neoplastic Transformation of Colorectal Cancer. Int. J. Mol. Sci. 2022, 23, 3375. [Google Scholar] [CrossRef]
- Merga, Y.J.; O’Hara, A.; Burkitt, M.D.; Duckworth, C.A.; Probert, C.S.; Campbell, B.J.; Pritchard, D.M. Importance of the alternative NF-kappaB activation pathway in inflammation-associated gastrointestinal carcinogenesis. Am. J. Physiol. Gastrointest. Liver Physiol. 2016, 310, G1081–G1090. [Google Scholar] [CrossRef]
- Pereira, S.G.; Oakley, F. Nuclear factor-kappaB1: Regulation and function. Int. J. Biochem. Cell Biol. 2008, 40, 1425–1430. [Google Scholar] [CrossRef]
- Slattery, M.L.; Mullany, L.E.; Sakoda, L.; Samowitz, W.S.; Wolff, R.K.; Stevens, J.R.; Herrick, J.S. The NF-κB signalling pathway in colorectal cancer: Associations between dysregulated gene and miRNA expression. J. Cancer Res. Clin. Oncol. 2018, 144, 269–283. [Google Scholar] [CrossRef] [PubMed]
- Grossi, V.; Peserico, A.; Tezil, T.; Simone, C. p38α MAPK pathway: A key factor in colorectal cancer therapy and chemoresistance. World J. Gastroenterol. 2014, 20, 9744–9758. [Google Scholar] [CrossRef]
- Malinowsky, K.; Nitsche, U.; Janssen, K.-P.; Bader, F.G.; Späth, C.; Drecoll, E.; Keller, G.; Höfler, H.; Slotta-Huspenina, J.; Becker, K.-F. Activation of the PI3K/AKT pathway correlates with prognosis in stage II colon cancer. Br. J. Cancer 2014, 110, 2081–2089. [Google Scholar] [CrossRef] [PubMed]
- Britten, C.D. PI3K and MEK inhibitor combinations: Examining the evidence in selected tumor types. Cancer Chemother. Pharmacol. 2013, 71, 1395–1409. [Google Scholar] [CrossRef] [PubMed]
- Roschewski, M.; Farooqui, M.; Aue, G.; Wilhelm, F.; Wiestner, A. Phase I study of ON 01910.Na (Rigosertib), a multikinase PI3K inhibitor in relapsed/refractory B-cell malignancies. Leukemia 2013, 27, 1920–1923. [Google Scholar] [CrossRef] [PubMed]
- Wolin, E.M. PI3K/Akt/mTOR pathway inhibitors in the therapy of pancreatic neuroendocrine tumors. Cancer Lett. 2013, 335, 1–8. [Google Scholar] [CrossRef] [PubMed]
- Basak, D.; Uddin, M.N.; Hancock, J. The role of oxidative stress and its counteractive utility in colorectal cancer (CRC). Cancers 2020, 12, 3336. [Google Scholar] [CrossRef]
- Terzić, J.; Grivennikov, S.; Karin, E.; Karin, M. Inflammation and colon cancer. Gastroenterology 2010, 138, 2101–2114. [Google Scholar] [CrossRef]







| Trend (↑ ↓) | Study Model | Reference, Year |
|---|---|---|
| ↓ | HT-29—cell culture | [80], 2023 |
| ↓ | HT-29—cell culture | [81], 2022 |
| ↓ | SW480—cell culture | [81], 2022 |
| ↓ | HT-29—cell culture | [82], 2023 |
| ↓ | SW480—cell culture | [82], 2023 |
| ↓ | HCT116 | [83], 2022 |
| ↓ | HT-29—cell culture | [84], 2021 |
| ↓ | HT-29—cell culture | [85], 2017 |
| ↓ | SW480—cell culture | [86], 2021 |
| ↓ | SW620—cell culture | [86], 2021 |
| ↓ | HCT116—cell culture | [89], 2017 |
| ↓ | HT-29—cell culture | [89], 2017 |
| ↓ | LPS-induced SW480—cell culture | [90], 2023 |
| ↓ | Caco-2—cell culture | [91], 2022 |
| ↓ | CT26—cell culture | [91], 2022 |
| ↓ | HT-29—cell culture | [92], 2021 |
| ↓ | HT-29—cell culture | [93], 2023 |
| ↓ | HT-29—cell culture | [95], 2021 |
| ↓ | RKO—cell culture | [95], 2021 |
| ↓ | Caco-2—cell culture | [96], 2023 |
| ↓ | HT-29—cell culture | [97], 2020 |
| ↓ | SW480—cell culture | [98], 2022 |
| ↓ | HT-29—cell culture | [98], 2022 |
| ↓ | SW480—cell culture | [99], 2020 |
| ↓ | HT-29—cell culture | [99], 2020 |
| ↓ | Sprague Dawley AOM-induced rats | [100], 2016 |
| ↓ | HCT116—cell culture | [101], 2024 |
| ↓ | DLD-1—cell culture | [102], 2007 |
| ↓ | HCT-116—cell culture | [103], 2014 |
| ↓ | HT-29—cell culture | [104], 2015 |
| ↓ | HT-29—cell culture | [105], 2010 |
| ↓ | HT-29—cell culture | [106], 2011 |
| ↓ | RKO—cell culture | [106], 2011 |
| ↓ | HT-29—cell culture | [107], 2011 |
| Trend (↑ ↓)/Target | Study Model | Reference, Year |
|---|---|---|
| ↑ p21 ↑ p53 | HT-29—cell culture | [80], 2023 |
| ↓ cyclin-D1 | HT-29—cell culture | [81], 2022 |
| ↓ cyclin-D1 | SW480—cell culture | [81], 2022 |
| ↑ sub-G1 cell population | HT-29—cell culture | [82], 2023 |
| ↑ sub-G1 cell population | SW480—cell culture | [82], 2023 |
| ↑ p53 ↑ p21 ↑ p18 ↑ CDKI ↓ cyclin-D1 ↑ G1 cell population ↓ S cell population ↓ G2 cell population | HCT116—cell culture | [83], 2022 |
| ↑ S cell population | HT-29—cell culture | [84], 2021 |
| ↑ G1 cell population | HT-29—cells cultured in a 3D model | [87], 2023 |
| ↓ Ki-67 | male Swiss mice submitted to a 1,2-dimethylhydrazine/deoxycholic acid (DMH/DCA)-induced colon carcinogenesis | [88], 2022 |
| ↑ S cell population | HCT116—cell culture | [89], 2017 |
| ↑ S cell population | HT-29—cell culture | [89], 2017 |
| ↑ p53 ↑ Keap1 | Caco-2—cell culture | [91], 2022 |
| ↑ sub-G1 cell population | HT-29—cell culture | [95], 2021 |
| ↑ sub-G1 cell population | RKO—cell culture | [95], 2021 |
| ↑ sub-G1 cell population | HT-29—cell culture | [104], 2015 |
| ↑ sub-G1 cell population ↑ p27 ↓ cyclin-D1 ↓ p53 | HT-29—cell culture | [107], 2011 |
| Trend (↑ ↓)/Target | Study Model | Reference, Year |
|---|---|---|
| ↑ Bcl-2 ↑ caspase-3 ↑ caspase-9 | HT-29—cell culture | [80], 2023 |
| ↑ DNA fragmentation | HT-29—cell culture | [82], 2023 |
| ↑ DNA fragmentation | SW480—cell culture | [82], 2023 |
| ↑ caspase-3 ↑ P38 ↓ ratio of Bcl-2/Bax ↑ DNA fragmentation | HCT116—cell culture | [83], 2022 |
| ↓ Bcl-2 ↑ Bax ↑ DNA fragmentation | HT-29—cell culture | [84], 2021 |
| ↑ caspase-3 | Male Swiss mice submitted to a 1,2-dimethylhydrazine/deoxycholic acid (DMH/DCA)-induced colon carcinogenesis | [88], 2022 |
| ↑ Ca2+ levels | Caco-2—cell culture | [91], 2022 |
| ↑ Ca2+ levels | CT26—cell culture | [91], 2022 |
| ↓ histone-deacetylase (HDAC) | HT-29—cell culture | [94], 2022 |
| ↑ DNA fragmentation | HT-29—cell culture | [95], 2021 |
| ↑ DNA fragmentation | RKO—cell culture | [95], 2021 |
| ↑ DNA fragmentation | HT-29—cell culture | [104], 2015 |
| ↑ caspase-8 ↑ caspase-3 | RKO—cell culture | [106], 2011 |
| ↓ ratio of Bcl-2/Bax ↑ caspase-8 ↑ caspase-3 | HT-29—cell culture | [106], 2011 |
| ↑ caspase-3 ↑ PARP ↑ Cytochrome-C ↓ ratio of Bcl-2/Bax | HT-29—cell culture | [107], 2011 |
| Trend (↑ ↓)/Target | Study Model | Reference, Year |
|---|---|---|
| ↓ | HT-29—cell culture | [81], 2022 |
| ↓ | SW480—cell culture | [81], 2022 |
| ↓ | HT-29—cell culture | [84], 2021 |
| ↓ | SW480—cell culture | [86], 2021 |
| ↓ | SW620—cell culture | [86], 2021 |
| ↓ VEGFC | LPS-induced SW480—cell culture | [90], 2023 |
| ↓ | HT-29—cell culture | [93], 2023 |
| ↓ MMP-2 ↑ MMP-9 | SW480—cell culture | [98], 2022 |
| ↓ MMP-2 ↓ MMP-9 | HT-29—cell culture | [98], 2022 |
| ↓ VEGFA | HCT116—cell culture | [101], 2024 |
| Trend (↑ ↓)/Target | Study Model | Reference, Year |
|---|---|---|
| ↓ β-catenin ↓ E-cadherin | HT-29—cell culture | [81], 2022 |
| ↓ β-catenin ↓ E-cadherin | SW480—cell culture | [81], 2022 |
| ↓ Tcf-4 | HCT-116—cell culture | [103], 2014 |
| Trend (↑ ↓)/Target | Study Model | Reference, Year |
|---|---|---|
| ↑ NF-κB | HT-29—cell culture | [80], 2023 |
| ↓ AP-1 ↓ NFκB ↓ JNK ↓ ERK ↓ MAPK | HCT116—cell culture | [83], 2022 |
| ↓ NFκB ↓ Toll-like receptor 4 (TLR4) | LPS-induced SW480—cell culture | [90], 2023 |
| ↑ p-ERK | SW480—cell culture | [98], 2022 |
| ↑ p-ERK | HT-29—cell culture | [98], 2022 |
| ↓ NFκB | Sprague Dawley AOM-induced rats | [100], 2016 |
| ↓ ERK ↓ NFκB | HT-29—cell culture | [107], 2011 |
| Trend (↑ ↓)/Target | Study Model | Reference, Year |
|---|---|---|
| ↓ p-AKT | SW480—cell culture | [98], 2022 |
| ↓ p-AKT | HT-29—cell culture | [98], 2022 |
| ↓ p-AKT ↓ mTOR | Sprague Dawley AOM-induced rats | [100], 2016 |
| ↓ p-AKT | HT-29—cell culture | [107], 2011 |
| Trend (↑ ↓)/Target | Study Model | Reference, Year |
|---|---|---|
| ↑ | HT-29—cell culture | [81], 2022 |
| ↑ | SW480—cell culture | [81], 2022 |
| ↑ | HT-29—cell culture | [82], 2023 |
| ↑ | SW480—cell culture | [82], 2023 |
| ↑ | HT-29—cell culture | [84], 2021 |
| ↑ | HT-29 cells cultured in a 3D model | [87], 2023 |
| ↑ | HCT116—cell culture | [89], 2017 |
| ↑ | HT-29—cell culture | [89], 2017 |
| ↓ | LPS-induced SW480—cell culture | [90], 2023 |
| ↑ ↑ GSH ↑ Nrf-2 ↑ HO-1 | Caco-2—cell culture | [91], 2022 |
| ↑ ↑ GSH ↑ Nrf-2 ↑ HO-1 | CT26—cell culture | [91], 2022 |
| Trend (↑ ↓)/Target | Study Model | Reference, Year |
|---|---|---|
| ↓ IL-6 ↓ IL-17 ↓ TNF-a | male Swiss 1,2-dimethylhydrazine/deoxycholic acid (DMH/DCA)-induced mice | [88], 2022 |
| ↓ COX-2 ↓ TNF-α ↓ IL-1β ↓ IL-6 | LPS-induced SW480—cell culture | [100], 2016 |
| ↓ COX-2 ↓ TNF-α | HT-29—cell culture | [93], 2023 |
| ↓ NO synthetase ↓ COX-2 | Sprague Dawley AOM-induced rats | [100], 2016 |
| ↓ TNF-α ↓ HIF1-α | HCT116—cell culture | [101], 2024 |
| ↓ NO ↓ iNOS ↓ prostaglandin E(2) ↓ COX-2 ↓ TNF-α ↓ p50 ↓ p65 | LPS-induced RAW 264.7 macrophage inflammation | [106], 2011 |
Disclaimer/Publisher’s Note: The statements, opinions and data contained in all publications are solely those of the individual author(s) and contributor(s) and not of MDPI and/or the editor(s). MDPI and/or the editor(s) disclaim responsibility for any injury to people or property resulting from any ideas, methods, instructions or products referred to in the content. |
© 2024 by the authors. Licensee MDPI, Basel, Switzerland. This article is an open access article distributed under the terms and conditions of the Creative Commons Attribution (CC BY) license (https://creativecommons.org/licenses/by/4.0/).
Share and Cite
Neamțu, A.-A.; Maghiar, T.A.; Turcuș, V.; Maghiar, P.B.; Căpraru, A.-M.; Lazar, B.-A.; Dehelean, C.-A.; Pop, O.L.; Neamțu, C.; Totolici, B.D.; et al. A Comprehensive View on the Impact of Chlorogenic Acids on Colorectal Cancer. Curr. Issues Mol. Biol. 2024, 46, 6783-6804. https://doi.org/10.3390/cimb46070405
Neamțu A-A, Maghiar TA, Turcuș V, Maghiar PB, Căpraru A-M, Lazar B-A, Dehelean C-A, Pop OL, Neamțu C, Totolici BD, et al. A Comprehensive View on the Impact of Chlorogenic Acids on Colorectal Cancer. Current Issues in Molecular Biology. 2024; 46(7):6783-6804. https://doi.org/10.3390/cimb46070405
Chicago/Turabian StyleNeamțu, Andreea-Adriana, Teodor Andrei Maghiar, Violeta Turcuș, Paula Bianca Maghiar, Anca-Maria Căpraru, Bianca-Andreea Lazar, Cristina-Adriana Dehelean, Ovidiu Laurean Pop, Carmen Neamțu, Bogdan Dan Totolici, and et al. 2024. "A Comprehensive View on the Impact of Chlorogenic Acids on Colorectal Cancer" Current Issues in Molecular Biology 46, no. 7: 6783-6804. https://doi.org/10.3390/cimb46070405
APA StyleNeamțu, A.-A., Maghiar, T. A., Turcuș, V., Maghiar, P. B., Căpraru, A.-M., Lazar, B.-A., Dehelean, C.-A., Pop, O. L., Neamțu, C., Totolici, B. D., & Mathe, E. (2024). A Comprehensive View on the Impact of Chlorogenic Acids on Colorectal Cancer. Current Issues in Molecular Biology, 46(7), 6783-6804. https://doi.org/10.3390/cimb46070405

