Cellular Organelle-Related Transcriptomic Profile Abnormalities in Neuronopathic Types of Mucopolysaccharidosis: A Comparison with Other Neurodegenerative Diseases
Abstract
1. Introduction
2. Materials and Methods
2.1. Cell Lines and Cell Cultures
2.2. Transcriptomic Analyses
2.2.1. RNA Isolation and Purification
2.2.2. RNA-Seq Analyses
2.2.3. Statistical Analysis
2.3. Electron Microscopy
2.4. Fluorescence Microscopy
3. Results
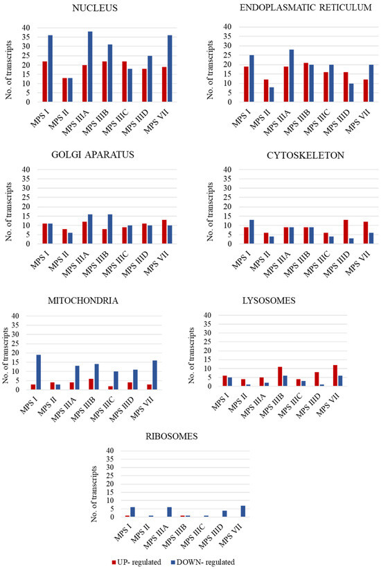
3.1. Transcriptomic Analyses
3.2. Electron and Fluorescent Microscopy
4. Discussion
5. Conclusions
Supplementary Materials
Author Contributions
Funding
Institutional Review Board Statement
Informed Consent Statement
Data Availability Statement
Conflicts of Interest
References
- Gaffke, L.; Pierzynowska, K.; Podlacha, M.; Brokowska, J.; Węgrzyn, G. Changes in cellular processes occurring in mucopolysaccharidoses as underestimated pathomechanisms of these diseases. Cell Biol. Int. 2021, 45, 498–506. [Google Scholar] [CrossRef] [PubMed]
- Zhou, J.; Lin, J.; Leung, W.T.; Wang, L. A basic understanding of mucopolysaccharidosis: Incidence, clinical features, diagnosis, and management. Intractable Rare Dis. Res. 2020, 9, 1–9. [Google Scholar] [CrossRef]
- Çelik, B.; Tomatsu, S.C.; Tomatsu, S.; Khan, S.A. Epidemiology of Mucopolysaccharidoses Update. Diagnostics 2021, 11, 273. [Google Scholar] [CrossRef]
- Brokowska, J.; Gaffke, L.; Pierzynowska, K.; Węgrzyn, G. Enhanced Efficiency of the Basal and Induced Apoptosis Process in Mucopolysaccharidosis IVA and IVB Human Fibroblasts. Int. J. Mol. Sci. 2023, 24, 14119. [Google Scholar] [CrossRef] [PubMed]
- Alden, T.D.; Amartino, H.; Dalla Corte, A.; Lampe, C.; Harmatz, P.R.; Vedolin, L. Surgical management of neurological manifestations of mucopolysaccharidosis disorders. Mol. Genet. Metab. 2017, 122, 41–48. [Google Scholar] [CrossRef]
- Grant, N. Evaluating strategies to manage and endure challenging behaviors in mucopolysaccharidoses. Orphanet J. Rare Dis. 2021, 16, 165. [Google Scholar] [CrossRef]
- Hoffmann, F.; Hoffmann, S.; Kunzmann, K.; Ries, M. Challenging behavior in mucopolysaccharidoses types I–III and day-to-day coping strategies: A cross sectional explorative study. Orphanet J. Rare Dis. 2020, 15, 275. [Google Scholar] [CrossRef]
- Hampe, C.S.; Wesley, J.; Lund, T.C.; Orchard, P.J.; Polgreen, L.E.; Eisengart, J.B.; McLoon, L.K.; Cureoglu, S.; Schachern, P.; McIvor, R.S. Mucopolysaccharidosis Type I: Current Treatments, Limitations, and Prospects for Improvement. Biomolecules 2021, 11, 189. [Google Scholar] [CrossRef]
- Jakóbkiewicz-Banecka, J.; Gabig-Cimińska, M.; Banecka-Majkutewicz, Z.; Banecki, B.; Węgrzyn, A.; Węgrzyn, G. Factors and processes modulating phenotypes in neuronopathic lysosomal storage diseases. Metab. Brain Dis. 2014, 29, 1–8. [Google Scholar] [CrossRef][Green Version]
- Chen, C.; Turnbull, D.M.; Reeve, A.K. Mitochondrial Dysfunction in Parkinson’s Disease—Cause or Consequence? Biology 2019, 8, 38. [Google Scholar] [CrossRef]
- Wang, W.; Zhao, F.; Ma, X.; Perry, G.; Zhu, X. Mitochondria dysfunction in the pathogenesis of Alzheimer’s disease: Recent advances. Mol. Neurodegener. 2020, 15, 30. [Google Scholar] [CrossRef]
- Lindholm, D.; Wootz, H.; Korhonen, L. ER stress and neurodegenerative diseases. Cell Death Differ. 2006, 13, 385–392. [Google Scholar] [CrossRef]
- Martínez-Menárguez, J.Á.; Tomás, M.; Martínez-Martínez, N.; Martínez-Alonso, E. Golgi Fragmentation in Neurodegenerative Diseases: Is There a Common Cause? Cells 2019, 8, 748. [Google Scholar] [CrossRef]
- Nixon, R.A. Endosome function and dysfunction in Alzheimer’s disease and other neurodegenerative diseases. Neurobiol. Aging 2005, 26, 373–382. [Google Scholar] [CrossRef]
- Udayar, V.; Chen, Y.; Sidransky, E.; Jagasia, R. Lysosomal dysfunction in neurodegeneration: Emerging concepts and methods. Trends Neurosci. 2022, 45, 184–199. [Google Scholar] [CrossRef]
- Gaffke, L.; Pierzynowska, K.; Rintz, E.; Cyske, Z.; Giecewicz, I.; Węgrzyn, G. Gene Expression-Related Changes in Morphologies of Organelles and Cellular Component Organization in Mucopolysaccharidoses. Int. J. Mol. Sci. 2021, 22, 2766. [Google Scholar] [CrossRef]
- Leal, A.F.; Benincore-Flórez, E.; Rintz, E.; Herreño-Pachón, A.M.; Celik, B.; Ago, Y.; Alméciga-Díaz, C.J.; Tomatsu, S. Mucopolysaccharidoses: Cellular Consequences of Glycosaminoglycans Accumulation and Potential Targets. Int. J. Mol. Sci. 2023, 24, 477. [Google Scholar] [CrossRef]
- Osellame, L.D.; Duchen, M.R. Quality control gone wrong: Mitochondria, lysosomal storage disorders and neurodegeneration. Br. J. Pharmacol. 2014, 171, 1958–1972. [Google Scholar] [CrossRef] [PubMed]
- Stepien, K.M.; Cufflin, N.; Donald, A.; Jones, S.; Church, H.; Hargreaves, I.P. Secondary Mitochondrial Dysfunction as a Cause of Neurodegenerative Dysfunction in Lysosomal Storage Diseases and an Overview of Potential Therapies. Int. J. Mol. Sci. 2022, 23, 10573. [Google Scholar] [CrossRef] [PubMed]
- Brokowska, J.; Gaffke, L.; Pierzynowska, K.; Cyske, Z.; Węgrzyn, G. Cell cycle disturbances in mucopolysaccharidoses: Transcriptomic and experimental studies on cellular models. Exp. Biol. Med. (Maywood) 2022, 247, 1639–1649. [Google Scholar] [CrossRef] [PubMed]
- Brokowska, J.; Pierzynowska, K.; Gaffke, L.; Rintz, E.; Węgrzyn, G. Expression of genes involved in apoptosis is dysregulated in mucopolysaccharidoses as revealed by pilot transcriptomic analyses. Cell Biol. Int. 2021, 45, 549–557. [Google Scholar] [CrossRef] [PubMed]
- Gaffke, L.; Szczudło, Z.; Podlacha, M.; Cyske, Z.; Rintz, E.; Mantej, J.; Krzelowska, K.; Węgrzyn, G.; Pierzynowska, K. Impaired ion homeostasis as a possible associate factor in mucopolysaccharidosis pathogenesis: Transcriptomic, cellular and animal studies. Metab. Brain Dis. 2022, 37, 299–310. [Google Scholar] [CrossRef]
- Gaffke, L.; Pierzynowska, K.; Podlacha, M.; Hoinkis, D.; Rintz, E.; Brokowska, J.; Cyske, Z.; Wegrzyn, G. Underestimated Aspect of Mucopolysaccharidosis Pathogenesis: Global Changes in Cellular Processes Revealed by Transcriptomic Studies. Int. J. Mol. Sci. 2020, 21, 1204. [Google Scholar] [CrossRef]
- Gaffke, L.; Pierzynowska, K.; Krzelowska, K.; Piotrowska, E.; Węgrzyn, G. Changes in expressions of genes involved in the regulation of cellular processes in mucopolysaccharidoses as assessed by fibroblast culture-based transcriptomic analyses. Metab. Brain Dis. 2020, 35, 1353–1360. [Google Scholar] [CrossRef]
- Pierzynowska, K.; Żabińska, M.; Gaffke, L.; Cyske, Z.; Węgrzyn, G. Changes in expression of signal transduction-related genes, and formation of aggregates of GPER1 and OXTR receptors in mucopolysaccharidosis cells. Eur. J. Cell Biol. 2022, 101, 151232. [Google Scholar] [CrossRef]
- Pierzynowska, K.; Rintz, E.; Gaffke, L.; Węgrzyn, G. Ferroptosis and Its Modulation by Autophagy in Light of the Pathogenesis of Lysosomal Storage Diseases. Cells 2021, 10, 365. [Google Scholar] [CrossRef]
- Pierzynowska, K.; Gaffke, L.; Cyske, Z.; Węgrzyn, G.; Buttari, B.; Profumo, E.; Saso, L. Oxidative Stress in Mucopolysaccharidoses: Pharmacological Implications. Molecules 2021, 26, 5616. [Google Scholar] [CrossRef] [PubMed]
- Rintz, E.; Gaffke, L.; Podlacha, M.; Brokowska, J.; Cyske, Z.; Węgrzyn, G.; Pierzynowska, K. Transcriptomic Changes Related to Cellular Processes with Particular Emphasis on Cell Activation in Lysosomal Storage Diseases from the Group of Mucopolysaccharidoses. Int. J. Mol. Sci. 2020, 21, 3194. [Google Scholar] [CrossRef] [PubMed]
- Wiśniewska, K.; Gaffke, L.; Krzelowska, K.; Węgrzyn, G.; Pierzynowska, K. Differences in gene expression patterns, revealed by RNA-seq analysis, between various Sanfilippo and Morquio disease subtypes. Gene 2022, 812, 146090. [Google Scholar] [CrossRef]
- Żabińska, M.; Gaffke, L.; Bielańska, P.; Podlacha, M.; Rintz, E.; Cyske, Z.; Węgrzyn, G.; Pierzynowska, K. Decreased Levels of Chaperones in Mucopolysaccharidoses and Their Elevation as a Putative Auxiliary Therapeutic Approach. Pharmaceutics 2023, 15, 704. [Google Scholar] [CrossRef]
- Pierzynowska, K.; Gaffke, L.; Podlacha, M.; Węgrzyn, G. Genetic Base of Behavioral Disorders in Mucopolysaccharidoses: Transcriptomic Studies. Int. J. Mol. Sci. 2020, 21, 1156. [Google Scholar] [CrossRef]
- Yamamoto, Y.; Yoshida, A.; Miyazaki, N.; Iwasaki, K.; Sakisaka, T. Arl6IP1 has the ability to shape the mammalian ER membrane in a reticulon-like fashion. Biochem. J. 2014, 458, 69–79. [Google Scholar] [CrossRef] [PubMed]
- Wallings, R.L.; Humble, S.W.; Ward, M.E.; Wade-Martins, R. Lysosomal Dysfunction at the Centre of Parkinson’s Disease and Frontotemporal Dementia/Amyotrophic Lateral Sclerosis. Trends Neurosci. 2019, 42, 899–912. [Google Scholar] [CrossRef] [PubMed]
- Cheng, L.-C.; Baboo, S.; Lindsay, C.; Brusman, L.; Martinez-Bartolomé, S.; Tapia, O.; Zhang, X.; Yates, J.R.; Gerace, L. Identification of new transmembrane proteins concentrated at the nuclear envelope using organellar proteomics of mesenchymal cells. Nucleus 2019, 10, 126–143. [Google Scholar] [CrossRef] [PubMed]
- Keasey Matt, P.; Razskazovskiy, V.; Jia, C.; Peterknecht, E.D.; Bradshaw, P.C.; Hagg, T. PDIA3 inhibits mitochondrial respiratory function in brain endothelial cells and C. elegans through STAT3 signaling and decreases survival after OGD. Cell Commun. Signal. 2021, 19, 119. [Google Scholar] [CrossRef] [PubMed]
- Mahmood, F.; Xu, R.; Awan, M.U.N.; Song, Y.; Han, Q.; Xia, X.; Zhang, J. PDIA3: Structure, functions and its potential role in viral infections. Biomed. Pharmacother. 2021, 143, 112110. [Google Scholar] [CrossRef] [PubMed]
- Wei, J.-H.; Zhang, Z.C.; Wynn, R.M.; Seemann, J. GM130 Regulates Golgi-Derived Spindle Assembly by Activating TPX2 and Capturing Microtubules. Cell 2015, 162, 287–299. [Google Scholar] [CrossRef] [PubMed]
- Alkhaja, A.K.; Jans, D.C.; Nikolov, M.; Vukotic, M.; Lytovchenko, O.; Ludewig, F.; Schliebs, W.; Riedel, D.; Urlaub, H.; Jakobs, S.; et al. MINOS1 is a conserved component of mitofilin complexes and required for mitochondrial function and cristae organization. Mol. Biol. Cell 2012, 23, 247–257. [Google Scholar] [CrossRef] [PubMed]
- Zerbes, R.M.; Bohnert, M.; Stroud, D.A.; von der Malsburg, K.; Kram, A.; Oeljeklaus, S.; Warscheid, B.; Becker, T.; Wiedemann, N.; Veenhuis, M.; et al. Role of MINOS in Mitochondrial Membrane Architecture: Cristae Morphology and Outer Membrane Interactions Differentially Depend on Mitofilin Domains. J. Mol. Biol. 2012, 422, 183–191. [Google Scholar] [CrossRef]
- Krautzberger, A.M.; Kosiol, B.; Scholze, M.; Schrewe, H. Expression of vasorin (Vasn) during embryonic development of the mouse. Gene Expr. Patterns 2012, 12, 167–171. [Google Scholar] [CrossRef]
- Choksi, S.; Lin, Y.; Pobezinskaya, Y.; Chen, L.; Park, C.; Morgan, M.; Li, T.; Jitkaew, S.; Cao, X.; Kim, Y.-S.; et al. A HIF-1 target, ATIA, protects cells from apoptosis by modulating the mitochondrial thioredoxin, TRX2. Mol. Cell 2011, 42, 597–609. [Google Scholar] [CrossRef]
- Vendredy, L.; Adriaenssens, E.; Timmerman, V. Small heat shock proteins in neurodegenerative diseases. Cell Stress. Chaperones 2020, 25, 679–699. [Google Scholar] [CrossRef]
- Maïza, A.; Chantepie, S.; Vera, C.; Fifre, A.; Huynh, M.B.; Stettler, O.; Ouidja, M.O.; Papy-Garcia, D. The role of heparan sulfates in protein aggregation and their potential impact on neurodegeneration. FEBS Lett. 2018, 592, 3806–3818. [Google Scholar] [CrossRef]
- Han, C.; Chen, S.; Ma, H.; Wen, X.; Wang, Z.; Xu, Y.; Jin, X.; Yu, X.; Wang, M. RPN2 Predicts Poor Prognosis and Promotes Bladder Cancer Growth and Metastasis via the PI3K-Akt Pathway. Oncotargets Ther. 2021, 14, 1643–1657. [Google Scholar] [CrossRef]
- Schweiger, M.; Lass, A.; Zimmermann, R.; Eichmann, T.O.; Zechner, R. Neutral lipid storage disease: Genetic disorders caused by mutations in adipose triglyceride lipase/PNPLA2 or CGI-58/ABHD5. Am. J. Physiol. Endocrinol. Metab. 2009, 297, E289–E296. [Google Scholar] [CrossRef]
- Mani, A. PDE4DIP in health and diseases. Cell Signal 2022, 94, 110322. [Google Scholar] [CrossRef] [PubMed]
- Pollin, T.I.; Taylor, S.I. YIPF5 mutations cause neonatal diabetes and microcephaly: Progress for precision medicine and mechanistic understanding. J. Clin. Investig. 2020, 130, 6228–6231. [Google Scholar] [CrossRef] [PubMed]
- Devaux, J.; Gow, A. Tight junctions potentiate the insulative properties of small CNS myelinated axons. J. Cell Biol. 2008, 183, 909–921. [Google Scholar] [CrossRef] [PubMed]
- Martin, L.J. Biology of Mitochondria in Neurodegenerative Diseases. Prog. Mol. Biol. Transl. Sci. 2012, 107, 355–415. [Google Scholar] [PubMed]
- Lo, C.H.; Zeng, J. Defective lysosomal acidification: A new prognostic marker and therapeutic target for neurodegenerative diseases. Transl. Neurodegener. 2023, 12, 29. [Google Scholar] [CrossRef] [PubMed]
- Gonatas, N.K.; Stieber, A.; Gonatas, J.O. Fragmentation of the Golgi apparatus in neurodegenerative diseases and cell death. J. Neurol. Sci. 2006, 246, 21–30. [Google Scholar] [CrossRef]
- Joshi, G.; Bekier, M.; Wang, Y. Golgi Fragmentation in Alzheimer’s Disease. Front. Neurosci. 2015, 9, 340. [Google Scholar] [CrossRef]
- Hill, M.A.; Sykes, A.M.; Mellick, G.D. ER-phagy in neurodegeneration. J. Neurosci. Res. 2023, 101, 1611–1623. [Google Scholar] [CrossRef]
- Gupta, R.; Karczewski, K.J.; Howrigan, D.; Neale, B.M.; Mootha, V.K. Human genetic analyses of organelles highlight the nucleus in age-related trait heritability. eLife 2021, 10, e68610. [Google Scholar] [CrossRef]
- Nizon, M.; Küry, S.; Péréon, Y.; Besnard, T.; Quinquis, D.; Boisseau, P.; Marsaud, T.; Magot, A.; Mussini, J.-M.; Mayrargue, E.; et al. ARL6IP1 mutation causes congenital insensivity to pain, self-mutilation and spastic paraplegia. Clin. Genet. 2017, 93, 169–172. [Google Scholar] [CrossRef]
- Cheng, Y.-C.; O’Connell, J.R.; Cole, J.W.; Stine, O.C.; Dueker, N.; McArdle, P.F.; Sparks, M.J.; Shen, J.; Laurie, C.C.; Nelson, S.; et al. Genome-Wide Association Analysis of Ischemic Stroke in Young Adults. G3 Genes|Genomes|Genet. 2011, 1, 505–514. [Google Scholar] [CrossRef]
- Novarino, G.; Fenstermaker, A.G.; Zaki, M.S.; Hofree, M.; Silhavy, J.L.; Heiberg, A.D.; Abdellateef, M.; Rosti, B.; Scott, E.; Mansour, L.; et al. Exome Sequencing Links Corticospinal Motor Neuron Disease to Common Neurodegenerative Disorders. Science 2014, 343, 506–511. [Google Scholar] [CrossRef]
- Bargsted, L.; Hetz, C.; Matus, S. ERp57 in neurodegeneration and regeneration. Neural Regen. Res. 2016, 11, 232–233. [Google Scholar]
- Zhang, Q.; Ma, C.; Chin, L.-S.; Li, L. Integrative glycoproteomics reveals protein N-glycosylation aberrations and glycoproteomic network alterations in Alzheimer’s disease. Sci. Adv. 2020, 6, eabc5802. [Google Scholar] [CrossRef]
- Cherepanova, N.; Shrimal, S.; Gilmore, R. N-linked glycosylation and homeostasis of the endoplasmic reticulum. Curr. Opin. Cell Biol. 2016, 41, 57–65. [Google Scholar] [CrossRef]
- Freeze, H.H.; Eklund, E.A.; Ng, B.G.; Patterson, M.C. Neurological aspects of human glycosylation disorders. Annu. Rev. Neurosci. 2015, 38, 105–125. [Google Scholar] [CrossRef]
- Cheyuo, C.; Aziz, M.; Wang, P. Neurogenesis in Neurodegenerative Diseases: Role of MFG-E8. Front. Neurosci. 2019, 13, 569. [Google Scholar] [CrossRef]
- Vos, M.J.; Zijlstra, M.P.; Kanon, B.; van Waarde-Verhagen, M.A.W.H.; Brunt, E.R.P.; Oosterveld-Hut, H.M.J.; Carra, S.; Sibon, O.C.M.; Kampinga, H.H. HSPB7 is the most potent polyQ aggregation suppressor within the HSPB family of molecular chaperones. Hum. Mol. Genet. 2010, 19, 4677–4693. [Google Scholar] [CrossRef]
- Li, W.; Guo, J.; Chen, J.; Yao, H.; Mao, R.; Li, C.; Zhang, G.; Chen, Z.; Xu, X.; Wang, C. Identification of Immune Infiltration and the Potential Biomarkers in Diabetic Peripheral Neuropathy through Bioinformatics and Machine Learning Methods. Biomolecules 2022, 13, 39. [Google Scholar] [CrossRef]
- Rauch, J.N.; Chen, J.J.; Sorum, A.W.; Miller, G.M.; Sharf, T.; See, S.K.; Hsieh-Wilson, L.C.; Kampmann, M.; Kosik, K.S. Tau Internalization is Regulated by 6-O Sulfation on Heparan Sulfate Proteoglycans (HSPGs). Sci. Rep. 2018, 8, 6382. [Google Scholar] [CrossRef]
- Yang, L.; Liang, J.; Lam, S.M.; Yavuz, A.; Shui, G.; Ding, M.; Huang, X. Neuronal lipolysis participates in PUFA-mediated neural function and neurodegeneration. EMBO Rep. 2020, 21, e50214. [Google Scholar] [CrossRef]
- Liang, B.; Huang, H.; Zhang, J.; Chen, G.; Kong, X.; Zhu, M.; Wang, P.; Tang, L. Case Report: Chanarin-Dorfman Syndrome: A Novel Homozygous Mutation in ABHD5 Gene in a Chinese Case and Genotype-Phenotype Correlation Analysis. Front. Genet. 2022, 13, 847321. [Google Scholar] [CrossRef]
- Pennisi, E.M.; The Italian NLSD Group; Arca, M.; Bertini, E.; Bruno, C.; Cassandrini, D.; D’amico, A.; Garibaldi, M.; Gragnani, F.; Maggi, L.; et al. Neutral Lipid Storage Diseases: Clinical/genetic features and natural history in a large cohort of Italian patients. Orphanet J. Rare Dis. 2017, 12, 90. [Google Scholar] [CrossRef]
- López-Tobón, A.; Trattaro, S.; Testa, G. The sociability spectrum: Evidence from reciprocal genetic copy number variations. Mol. Autism 2020, 11, 50. [Google Scholar] [CrossRef]
- Malki, K.; Pain, O.; Tosto, M.G.; Du Rietz, E.; Carboni, L.; Schalkwyk, L.C. Identification of genes and gene pathways associated with major depressive disorder by integrative brain analysis of rat and human prefrontal cortex transcriptomes. Transl. Psychiatry 2015, 5, e519. [Google Scholar] [CrossRef]
- Potashkin, J.A.; Bottero, V.; Santiago, J.A.; Quinn, J.P. Bioinformatic Analysis Reveals Phosphodiesterase 4D-Interacting Protein as a Key Frontal Cortex Dementia Switch Gene. Int. J. Mol. Sci. 2020, 21, 3787. [Google Scholar] [CrossRef]
- De Franco, E.; Lytrivi, M.; Ibrahim, H.; Montaser, H.; Wakeling, M.N.; Fantuzzi, F.; Patel, K.; Demarez, C.; Cai, Y.; Igoillo-Esteve, M.; et al. YIPF5 mutations cause neonatal diabetes and microcephaly through endoplasmic reticulum stress. J. Clin. Investig. 2020, 130, 6338–6353. [Google Scholar] [CrossRef]
- Riedhammer, K.M.; Stockler, S.; Ploski, R.; Wenzel, M.; Adis-Dutschmann, B.; Ahting, U.; Alhaddad, B.; Blaschek, A.; Haack, T.B.; Kopajtich, R.; et al. De novo stop-loss variants in CLDN11 cause hypomyelinating leukodystrophy. Brain 2021, 144, 411–419. [Google Scholar] [CrossRef]
- Maheras, K.J.; Peppi, M.; Ghoddoussi, F.; Galloway, M.P.; Perrine, S.A.; Gow, A. Absence of Claudin 11 in CNS Myelin Perturbs Behavior and Neurotransmitter Levels in Mice. Sci. Rep. 2018, 8, 3798. [Google Scholar] [CrossRef]
- Nakagomi, S.; Barsoum, M.J.; Bossy-Wetzel, E.; Sütterlin, C.; Malhotra, V.; Lipton, S.A. A Golgi fragmentation pathway in neurodegeneration. Neurobiol. Dis. 2008, 29, 221–231. [Google Scholar] [CrossRef]
- Haukedal, H.; Corsi, G.I.; Gadekar, V.P.; Doncheva, N.T.; Kedia, S.; de Haan, N.; Chandrasekaran, A.; Jensen, P.; Schiønning, P.; Vallin, S.; et al. Golgi fragmentation—One of the earliest organelle phenotypes in Alzheimer’s disease neurons. Front. Neurosci. 2023, 17, 1120086. [Google Scholar] [CrossRef]
- Vitry, S.; Bruyère, J.; Hocquemiller, M.; Bigou, S.; Ausseil, J.; Colle, M.-A.; Prévost, M.-C.; Heard, J.M. Storage Vesicles in Neurons Are Related to Golgi Complex Alterations in Mucopolysaccharidosis IIIB. Am. J. Pathol. 2010, 177, 2984–2999. [Google Scholar] [CrossRef]
- Shamseldin, H.E.; Bennett, A.H.; Alfadhel, M.; Gupta, V.; Alkuraya, F.S. GOLGA2, encoding a master regulator of golgi apparatus, is mutated in a patient with a neuromuscular disorder. Hum. Genet. 2016, 135, 245–251. [Google Scholar] [CrossRef]
- Ireland, S.; Ramnarayanan, S.; Fu, M.; Zhang, X.; Zhang, J.; Li, J.; Emebo, D.; Wang, Y. Cytosolic Ca2+ Modulates Golgi Structure Through PKCα-Mediated GRASP55 Phosphorylation. iScience 2020, 23, 100952. [Google Scholar] [CrossRef]
- Joshi, G.; Wang, Y. Golgi defects enhance APP amyloidogenic processing in Alzheimer’s disease. Bioessays 2015, 37, 240–247. [Google Scholar] [CrossRef]
- Joshi, G.; Chi, Y.; Huang, Z.; Wang, Y. Aβ-induced Golgi fragmentation in Alzheimer’s disease enhances Aβ production. Proc. Natl. Acad. Sci. USA 2014, 111, E1230–E1239. [Google Scholar] [CrossRef]
- Ahat, E.; Song, Y.; Xia, K.; Reid, W.; Li, J.; Bui, S.; Zhang, F.; Linhardt, R.J.; Wang, Y. GRASP depletion-mediated Golgi fragmentation impairs glycosaminoglycan synthesis, sulfation, and secretion. Cell Mol. Life Sci. 2022, 79, 199. [Google Scholar] [CrossRef]
- Wiśniewska, K.; Jakub, W.; Gaffke, L.; Cyske, Z.; Pierzynowska, K.; Węgrzyn, G. Misdiagnosis in mucopolysaccharidoses. J. Appl. Genet. 2022, 63, 475–495. [Google Scholar] [CrossRef]
- Escolar, M.L.; Jones, S.A.; Shapiro, E.G.; Horovitz, D.D.G.; Lampe, C.; Amartino, H. Practical management of behavioral problems in mucopolysaccharidoses disorders. Mol. Genet. Metab. 2017, 122, 35–40. [Google Scholar] [CrossRef]
- Auburger, G.; Klinkenberg, M.; Drost, J.; Marcus, K.; Morales-Gordo, B.; Kunz, W.S.; Brandt, U.; Broccoli, V.; Reichmann, H.; Gispert, S.; et al. Primary Skin Fibroblasts as a Model of Parkinson’s Disease. Mol. Neurobiol. 2012, 46, 20–27. [Google Scholar] [CrossRef]
- Olesen, M.A.; Villavicencio-Tejo, F.; Quintanilla, R.A. The use of fibroblasts as a valuable strategy for studying mitochondrial impairment in neurological disorders. Transl. Neurodegener. 2022, 11, 36. [Google Scholar] [CrossRef]
- Duan, L.; Yu, X. Fibroblasts: New players in the central nervous system? Fundam. Res. 2023; in press. [Google Scholar] [CrossRef]
- Chou, C.C.; Vest, R.; Prado, M.A.; Wilson-Grady, J.; Paulo, J.A.; Shibuya, Y.; Moran-Losada, P.; Lee, T.T.; Luo, J.; Gygi, S.P.; et al. Proteostasis and lysosomal quality control deficits in Alzheimer’s disease neurons. bioRxiv 2023. [Google Scholar] [CrossRef]
- Darlington, P.J.; Goldman, J.S.; Cui, Q.-L.; Antel, J.P.; Kennedy, T.E. Widespread immunoreactivity for neuronal nuclei in cultured human and rodent astrocytes. J. Neurochem. 2008, 104, 1201–1209. [Google Scholar] [CrossRef]
- Breyer, M.; Grüner, J.; Klein, A.; Finke, L.; Klug, K.; Sauer, M.; Üçeyler, N. In vitro characterization of cells derived from a patient with the GLA variant c.376A>G (p.S126G) highlights a non-pathogenic role in Fabry disease. Mol. Genet. Metab. Rep. 2024, 38, 101029. [Google Scholar] [CrossRef]
- Fantini, V.; Ferrari, R.R.; Bordoni, M.; Spampinato, E.; Pandini, C.; Davin, A.; Medici, V.; Gagliardi, S.; Guaita, A.; Pansarasa, O.; et al. Functional analysis and transcriptome profile of meninges and skin fibroblasts from human-aged donors. Cell Prolif. 2024, e13627. [Google Scholar] [CrossRef]
- Carvalho, S.; Moreira, L.; Santos, J.I.; Gaspar, P.; Gonçalves, M.; Matos, L.; David, H.; Encarnação, M.; Ribeiro, D.; Duarte, A.J.; et al. Help Comes from Unexpected Places: How a Tiny Fairy and a Tropical Fish may help us Model Mucopolysaccharidoses. Endocr. Metab. Immune Disord. Drug Targets 2023, 24, 1–2. [Google Scholar] [CrossRef] [PubMed]




| MPS Type # | Defective Gene | Defective Enzyme | Stored GAG(s) * |
|---|---|---|---|
| MPS I | IDUA | α-L-iduronidase | HS, DS |
| MPS II | IDS | 2-iduronate sulfatase | |
| MPS IIIA | SGSH | N-sulfoglucosamine sulfhydrolase | HS |
| MPS IIIB | NAGLU | α-N-acetylglucosaminidase | |
| MPS IIIC | HGSNAT | Acetyl-CoA:α-glycosaminide acetyltransferas | |
| MPS IIID | GNS | N-acetylglucosamine 6-sulfatase | |
| MPS IIIE | ARSG | Arylusulfatase G | |
| MPS IVA | GLANS | N-Acetyloglucosaminase-6-sulfate sulfatase | C6S, KS |
| MPS IVB | GLB1 | β-Galactosidase | KS |
| MPS VI | ARSB | Arylusulfatase B | DS, C4S |
| MPS VII | GUSB | N-acetylgalactosamine 4-sulfatase | HS, DS, CS |
| MPS IX | HYAL1 | Hyaluronidase | HA |
| MPS X | ARSK | Arylusulfatase K | DS |
| MPS-PS | VPS33A | VPS33A | HS, DS |
| MPS Type | Stored GAG(s) * | Defective Enzyme | Mutation Type | Cat. Number of the Cell Line ** |
|---|---|---|---|---|
| MPS I | HS, DS | α-L-iduronidase | p.Trp402Ter/p.Trp402Te | GM00798 |
| MPS II | 2-iduronate sulfatase | p.His70ProfsTer29 | GM13203 | |
| MPS IIIA | HS | N-sulfoglucosamine sulfhydrolase | p.Glu447Lys/p.Arg245His | GM00879 |
| MPS IIIB | α-N-acetylglucosaminidase | p.Arg626Ter/p.Arg626Ter | GM00156 | |
| MPS IIIC | Acetyl-CoA:α-glycosaminide acetyltransferas | p.Gly262Arg/pArg509Asp | GM05157 | |
| MPS IIID | N-acetylglucosamine 6-sulfatase | p.Arg355Ter/p.Arg355Ter | GM05093 | |
| MPS IVA | KS, CS | N-acetylglucosamine- 6-sulfate sulfatase | p.Arg386Cys/p.Phe285Ter | GM00593 |
| MPS IVB | β-galactosidase | p.Trp273Leu/p.Trp509Cys | GM03251 | |
| MPS VI | DS, C4S | N-acetylglucosamine- 4-sulfatase (arylsulfatase B) | Not determined | GM03722 |
| MPS VII | HS, DS, CS | N-acetylgalactosamine 4-sulfatase | p.Trp627Cys/p.Arg356Ter | GM17494 |
| MPS IX | HA | Hyaluronidase | p.Glu268Lys/c.37bp-del;14bp-ins at nt 1361 | GM17494 |
| Control (HDFa) | None | N/A | N/A | N/A |
| Organellum | No. of Genes with Altered Expression in a Given Structure | Selected Genes | Number of MPS Types/Subtypes in Which Gene Expression Has Changed | Regulation of Expression vs. Control Cells | MPS Types/Subtypes in Which Altered Gene Expression Has Been Detected |
|---|---|---|---|---|---|
| Nucleus | 142 | ARL6IP6 | 6 | ↓ | I, II, IIIA, IIIB, IIIC, VII |
| PDIA3 | 5 | ↑ | I, II, IIIA, IIIB, IIIC | ||
| RPN2 | 5 | ↑ | I, II, IIIA, IIIB, IIID | ||
| ABHD5 | 4 | ↓ | I, IIIA, IIIB, VII | ||
| DMWD | 4 | ↑ | IIIB, IIIC, IIID, VII | ||
| MCM4 | 4 | ↓ | IIIA, IIIB, IIIC, IIID | ||
| PDE4DIP | 4 | ↓ | I, II, IIIA, VII | ||
| SORBS3 | 4 | ↑ | I, IIIA, IIIB, IIID | ||
| TIGAR | 4 | ↓ | I, IIIB, IIIC, VII | ||
| Endoplasmic reticulum | 91 | ARL6IP6 | 6 | ↓ | I, II, IIIA, IIIB, IIIC, VII |
| RPN2 | 5 | ↑ | I, II, IIIA, IIIB, IIID | ||
| PDIA3 | 5 | ↑ | I, II, IIIA, IIIB, IIIC | ||
| BCAP29 | 4 | ↓ | I, IIIA, IIIB, IIIC | ||
| CPED1 | 4 | ↓ | I, IIIA, IIIB, VII | ||
| SDC2 | 4 | ↓ | I, IIIA, IIIC, VII | ||
| STS | 4 | ↓ | IIIB, IIIC, IIID, VII | ||
| YIPF5 | 4 | ↓ | I, II, IIIA, VII | ||
| Golgi apparatus | 57 | GOLGA2 | 5 | ↑ | I, IIIA, IIIB, IIIC, IIID |
| CHPF | 4 | ↑ | IIIA, IIIB, IIID, VII | ||
| KIF13A | 4 | ↓ | I, IIIB, IIID, VII | ||
| PDE4DIP | 4 | ↓ | I, II, IIIA, VII | ||
| S100A3 | 4 | ↓ | IIIA, IIID, IIIC, VII | ||
| SDC2 | 4 | ↓ | I, IIIA, IIIC, VII | ||
| STS | 4 | ↓ | IIIB, IIIC, IIID, VII | ||
| YIPF5 | 4 | ↓ | I, II, IIIA, VII | ||
| Mitochondrion | 43 | MINOS1 | 5 | ↓ | I, IIIB, IIIC, IIID, VII |
| VASN | 5 | ↑ | II, IIIA, IIIB, IIID, VII | ||
| ABHD5 | 4 | ↓ | I, IIIA, IIIB, VII | ||
| CHPF | 4 | ↑ | IIIA, IIIB, IIID, VII | ||
| SLC22A4 | 4 | ↓ | I, IIIA, IIIC, VII | ||
| TIGAR | 4 | ↓ | I, IIIB, IIIC, VII | ||
| Cytoskeleton | 48 | KIF13A | 4 | ↓ | I, IIIB, IIID, VII |
| PDE4DIP | 4 | ↓ | I, II, IIIA, VII | ||
| SORBS3 | 4 | ↑ | I, IIIA, IIIB, IIID, VII | ||
| Lysosome | 22 | VASN | 5 | ↑ | II, IIIA, IIIB, IIID, VII |
| CCZ1 | 4 | ↑(I, IIID, VII); ↓(IIIB) | I, IIIB, IIID, VII | ||
| SDC2 | 4 | ↓ | I, IIIA, IIIC, VII | ||
| STS | 4 | ↓ | IIIB, IIIC, IIID, VII |
| Neurological Disease/Disturbances * | Lysosome | Cytoskeleton | Nucleus | ER | Ribosomes | Golgi | Mitochondria |
|---|---|---|---|---|---|---|---|
| MPS I, II, III, VII | + | + | + | + | + | + | + |
| Alzheimer disease | + | + | + | + | + | + | |
| Parkinson disease | + | + | + | + | + | + | |
| ALS | + | + | + | + | + | + | |
| SMA | + | + | + | ||||
| Cognitive disturbances | + | + | + | ||||
| Huntington’s disease | + | + | + | ||||
| Stroke | + | + | |||||
| Epilepsy | + | + | + | + | |||
| Friedreich’s ataxia | + | ||||||
| Tourette Syndrome | + | ||||||
| Williams Syndrome | + | ||||||
| Type I lissencephaly | + | ||||||
| Intellectual disabilities | + | ||||||
| FXTAS | + | ||||||
| OPMD | + | ||||||
| Intracerebral hemorrhage | + | + | |||||
| Christianson syndrome | + | ||||||
| Ischemia | + | ||||||
| Mental Disorders * | Lysosomes | Cytoskeleton | Nucleus | ER | Ribosomes | Golgi | Mitochondria |
| ADHD | + | ||||||
| Schizophrenia | + | + | + | + | + | ||
| Mood Disorders | + | + | + | ||||
| ASD | + | + | + | + | + | + | + |
| Bipolar disorder | + | + | + | + | + | ||
| Depression | + | + | + | + | |||
| Personality disorders | + | ||||||
| OCD | + | ||||||
| Rett Syndrome | + | ||||||
| Frontal Dementia | + | + | |||||
| PTSD | + | + | |||||
| Addictions | + | ||||||
| FTD | + | + |
| Gene | Protein | Function | Localization | MPS Type | Regulation | Other Diseases |
|---|---|---|---|---|---|---|
| ARL6IP6 | ADP ribosylation factor-like GTPase 6 interacting protein 6 | high-curvature ER tubules, regulation of intracellular transport pathways, interaction with proteins involved in membrane vesicle formation | nuclear envelope, RE | I II IIIA IIIB IIIC VII | ↓ | cutis marmorata telangiectatica congenita, ischemic stroke, spastic paraplegia, diffuse sensorimotor polyneuropathy, acromutilation |
| PDIA3 | protein disulfide isomerase A3 | regulation of the folding of newly synthesized glycoproteins, promotion of the re-folding of misfolded proteins | nucleus, RE endoplasm, cytoplasm | I II IIIA IIIB IIIC | ↑ | prion disease, ALS |
| RPN2 | ribophorin II glycoprotein | mediation of the translocation of secretory proteins, maintainance of the specificity of ER, N-glycosylation proteins | membrane of the ER | I, II IIIA IIIB IIID | ↑ | AD |
| MFGE8 | milk fat globule- epidermalgrowth factor VIII | alleviation of ER stress, apoptotic cell phagocytosis, anti-inflammatory reactions, tissue regeneration | cytoplasm | I IIIA IIIB | ↑ | subarachnoid hemorrhage, cerebral ischemia (stroke), AD, PD, traumatic brain injury |
| HSPB7 | heat shock protein family B (small) member 7 | chaperone protein | nucleus, cytoplasm | II IIID VII | ↑ | poliQ-related diseases, diabetic peripheral neuropathy |
| SULF1 | sulfatase 1 | removal of specific 6-O-sulfate groups from heparan- sulfate proteoglycans | Golgi apparatus | I, IIIA IIID VII | ↑ | AD |
| ABHD5 | alpha/beta hydrolase domain-containing protein 5 | regulation of lipid metabolism and lipid droplet dynamics | cytoplasm, nucleus, mitochondria | I IIIA IIIB IIID VII | ↓ | lipid storage disease with neurological disorders, Chanarin- Dorfman syndrome |
| PDE4DIP | phosphodiesterase 4D-interacting protein | regulation of intracellular cAMP concentration, component of ER-to-Golgi trafficking, maintainance of the structure of Golgi apparatus | Golgi apparatus, centrosome | I II IIIA VII | ↓ | autism spectrum disorders, psychosis, schizophrenia, AD, vascular dementia, frontotemporal dementia, major depressive disorder |
| YIPF5 | Yip1 domain family member 5 | transport of COPII-coated vesicles from the ER to the cis-Golgi and vesicle fusion to the Golgi apparatus | ER, Golgi apparatus, vesicle transporters | I II IIIA VII | ↓ | congenital microcephaly syndrome, epilepsy, neonatal/early-onset diabetes |
| CLDN11 | claudin-11 | component of the myelin sheath of nerve cells, transmission along myelin fibers, maintainance of the balance of neurotransmitters | plasma membrane, cytoskeleton | IIIA IIIC VII | ↓ | hypomyelinating leukodystrophy |
Disclaimer/Publisher’s Note: The statements, opinions and data contained in all publications are solely those of the individual author(s) and contributor(s) and not of MDPI and/or the editor(s). MDPI and/or the editor(s) disclaim responsibility for any injury to people or property resulting from any ideas, methods, instructions or products referred to in the content. |
© 2024 by the authors. Licensee MDPI, Basel, Switzerland. This article is an open access article distributed under the terms and conditions of the Creative Commons Attribution (CC BY) license (https://creativecommons.org/licenses/by/4.0/).
Share and Cite
Wiśniewska, K.; Gaffke, L.; Żabińska, M.; Węgrzyn, G.; Pierzynowska, K. Cellular Organelle-Related Transcriptomic Profile Abnormalities in Neuronopathic Types of Mucopolysaccharidosis: A Comparison with Other Neurodegenerative Diseases. Curr. Issues Mol. Biol. 2024, 46, 2678-2700. https://doi.org/10.3390/cimb46030169
Wiśniewska K, Gaffke L, Żabińska M, Węgrzyn G, Pierzynowska K. Cellular Organelle-Related Transcriptomic Profile Abnormalities in Neuronopathic Types of Mucopolysaccharidosis: A Comparison with Other Neurodegenerative Diseases. Current Issues in Molecular Biology. 2024; 46(3):2678-2700. https://doi.org/10.3390/cimb46030169
Chicago/Turabian StyleWiśniewska, Karolina, Lidia Gaffke, Magdalena Żabińska, Grzegorz Węgrzyn, and Karolina Pierzynowska. 2024. "Cellular Organelle-Related Transcriptomic Profile Abnormalities in Neuronopathic Types of Mucopolysaccharidosis: A Comparison with Other Neurodegenerative Diseases" Current Issues in Molecular Biology 46, no. 3: 2678-2700. https://doi.org/10.3390/cimb46030169
APA StyleWiśniewska, K., Gaffke, L., Żabińska, M., Węgrzyn, G., & Pierzynowska, K. (2024). Cellular Organelle-Related Transcriptomic Profile Abnormalities in Neuronopathic Types of Mucopolysaccharidosis: A Comparison with Other Neurodegenerative Diseases. Current Issues in Molecular Biology, 46(3), 2678-2700. https://doi.org/10.3390/cimb46030169

