Design, Synthesis, and Biological Evaluations of Novel Azothiazoles Based on Thioamide
Abstract
:1. Introduction
2. Materials and Methods
2.1. Synthesis
2.1.1. General Information
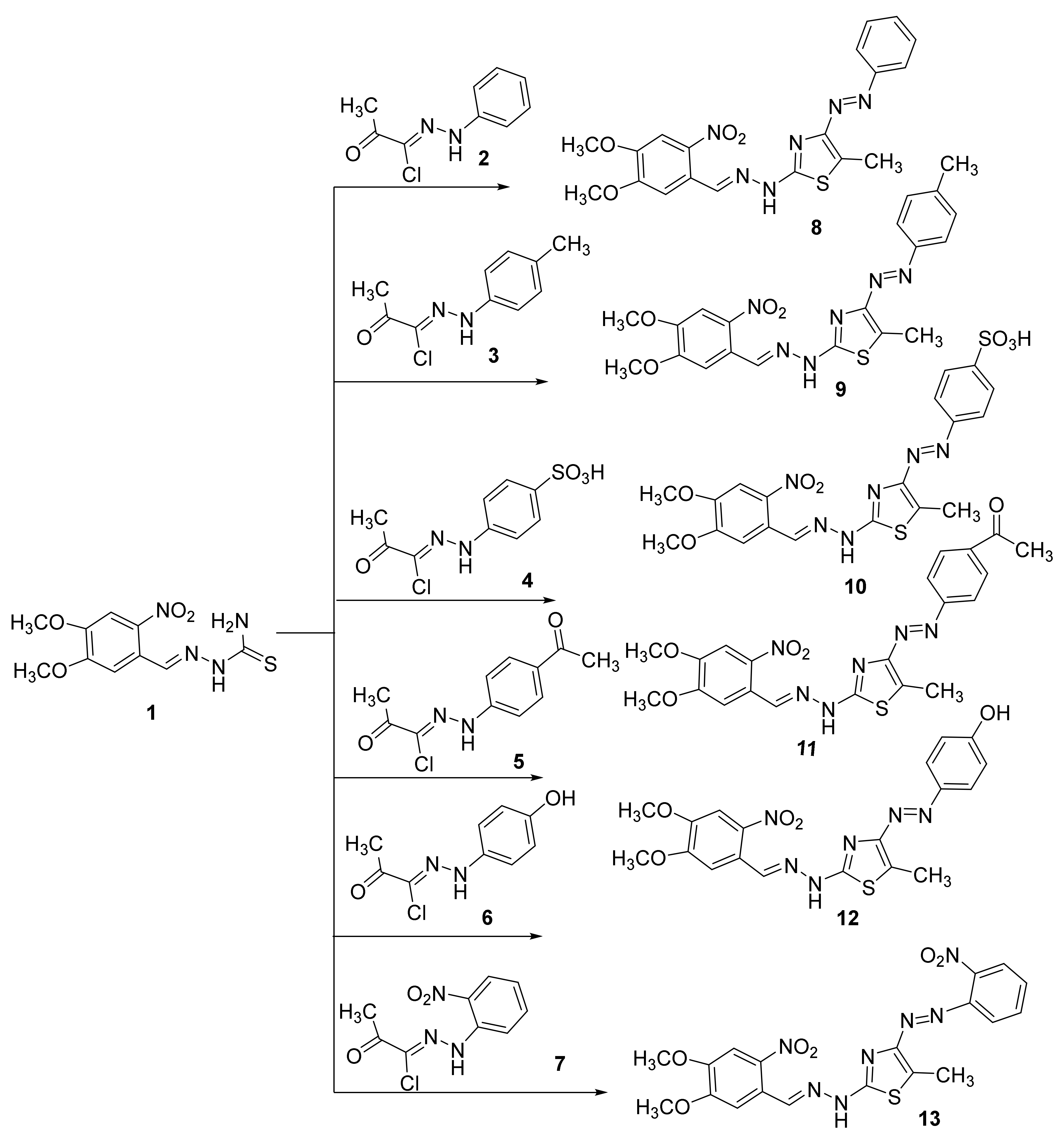
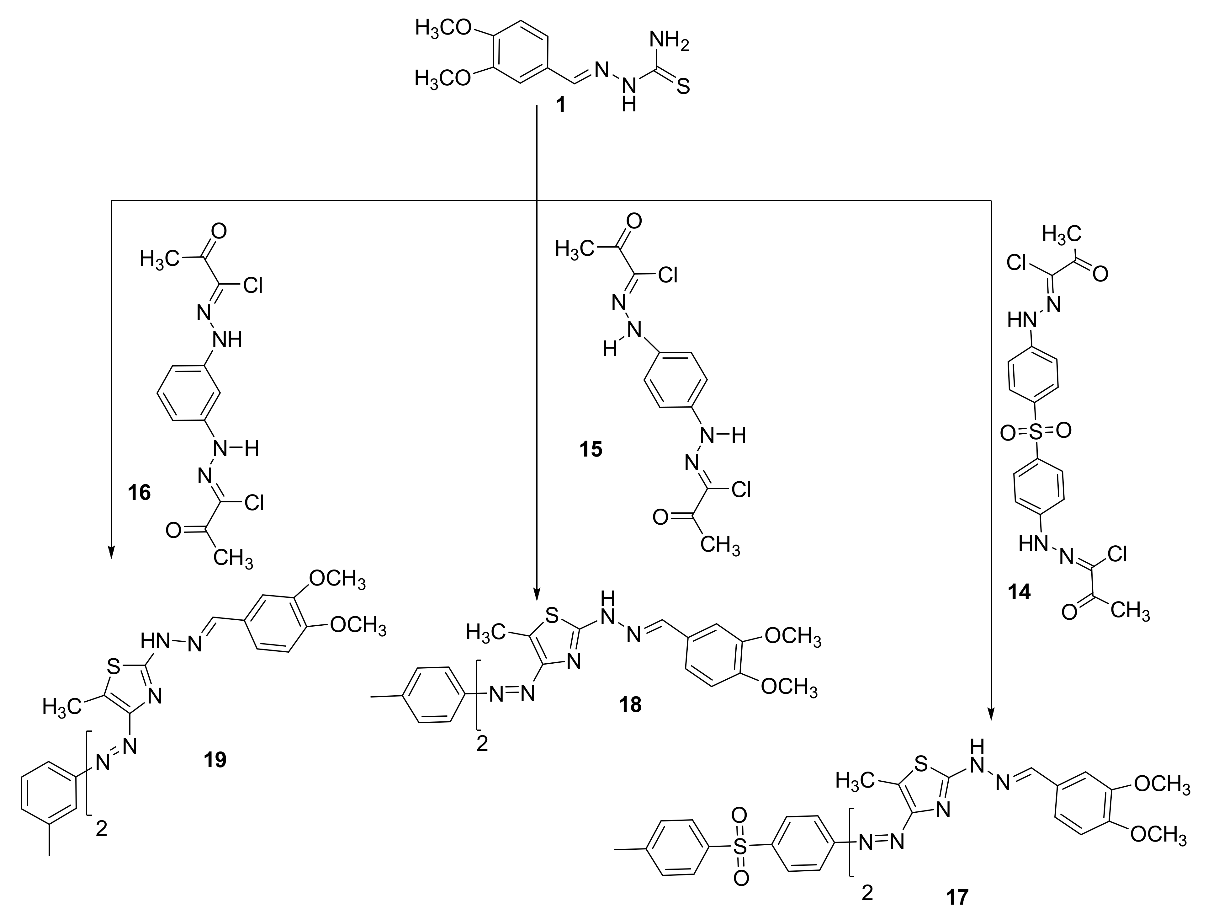
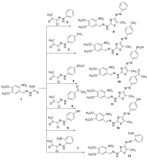
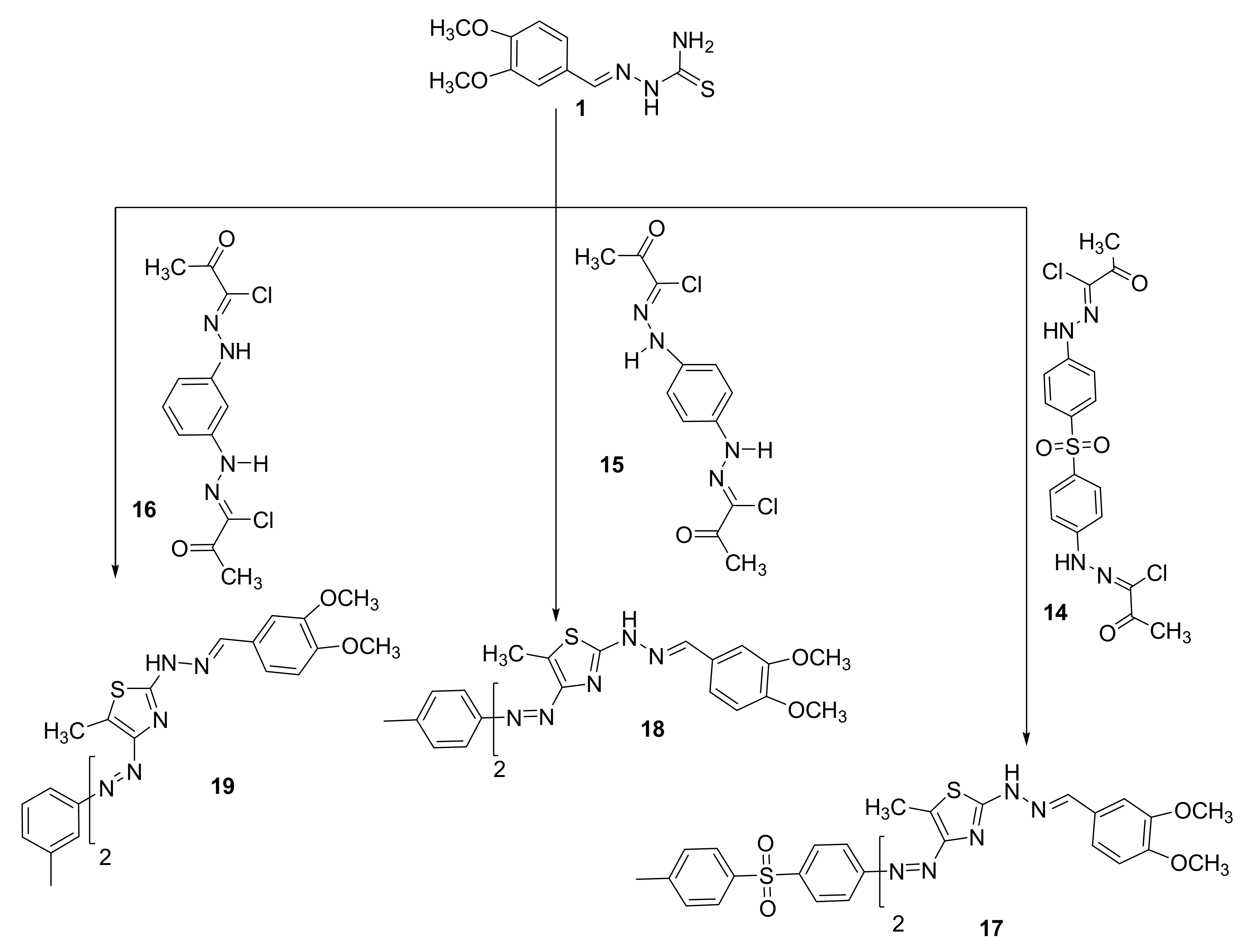
2.1.2. General Procedure for the Synthesis of Azothiazole Derivatives (8–13) and (17–19)
2-(2-(3,4-Dimethoxybenzylidene)hydrazinyl)-5-methyl-4-(phenyldiazenyl)thiazole 8
2-(2-(3,4-Dimethoxybenzylidene)hydrazinyl)-5-methyl-4-(p-tolyldiazenyl)thiazole 9
4-((2-(2-(3,4-Dimethoxybenzylidene)hydrazinyl)-5-methylthiazol-4-yl)diazenyl)benzenesulfonic acid 10
1-(4-((2-(2-(3,4-Dimethoxybenzylidene)hydrazinyl)-5-methylthiazol-4-yl)diazenyl)phenyl)ethan-1-one 11
3-((2-(2-(3,4-Dimethoxybenzylidene)hydrazinyl)-5-methylthiazol-4-yl)diazenyl)phenol 12
2-(2-(3,4-Dimethoxybenzylidene)hydrazinyl)-5-methyl-4-((2-nitrophenyl)diazenyl)thiazole 13
4,4′-((Sulfonylbis(4,1-phenylene))bis(diazene-2,1-diyl))bis(2-(2-(3,4-dimethoxybenzylidene)hydrazinyl)-5-methylthiazole) 17
1,4-Bis((2-(2-(3,4-dimethoxybenzylidene)hydrazinyl)-5-methylthiazol-4-yl)diazenyl)benzene 18
1,3-Bis((2-(2-(3,4-dimethoxybenzylidene)hydrazinyl)-5-methylthiazol-4-yl)diazenyl)benzene 19
2.2. Biological Evaluations
2.2.1. Cell Culture and MTT Assay
2.2.2. Immunoblotting
2.2.3. DUAL Stanning
3. Results
3.1. Chemistry
3.2. Biology
3.2.1. Cytotoxicity
3.2.2. Caspase Activity
3.2.3. Dual AO/EB Fluorescent Staining
4. Conclusions
Author Contributions
Funding
Institutional Review Board Statement
Informed Consent Statement
Data Availability Statement
Conflicts of Interest
References
- Chankhanittha, T.; Somaudon, V.; Watcharakitti, J.; Piyavarakorn, V.; Nanan, S. Performance of solvothermally grown Bi2MoO6 photocatalyst toward degradation of organic azo dyes and fluoroquinolone antibiotics. Mater. Lett. 2020, 258, 126764. [Google Scholar] [CrossRef]
- Gaffer, H.E. Antimicrobial sulphonamide azo dyes. Color. Technol. 2019, 135, 484–500. [Google Scholar] [CrossRef]
- Ghasemi, Z.; Azizi, S.; Salehi, R.; Kafil, H.S. Synthesis of azo dyes possessing N-heterocycles and evaluation of their anticancer and antibacterial properties. Monatsh. Chem. 2018, 149, 149–157. [Google Scholar] [CrossRef]
- Afifi, T.H.; Okasha, R.M.; Ahmed, H.E.; Ilaš, J.; Saleh, T.; Abd-El-Aziz, A.S. Structure-activity relationships and molecular docking studies of chromene and chromene based azo chromophores: A novel series of potent antimicrobial and anticancer agents. EXCLI J. 2017, 16, 868–902. [Google Scholar] [CrossRef] [PubMed]
- Gaffer, H.E.; Elgohary, M.R.; Etman, H.A.; Shaaban, S. Antibacterial evaluation of cotton fabrics by using novel sulfonamide reactive dyes. Pigm. Resin Technol. 2017, 46, 210–217. [Google Scholar] [CrossRef]
- Krehl, S.; Loewinger, M.; Florian, S.; Kipp, A.P.; Banning, A.; Wessjohann, L.A.; Brauer, M.N.; Iori, R.; Esworthy, R.S.; Chu, F.F.; et al. Glutathione peroxidase-2 and selenium decreased inflammation and tumors in a mouse model of inflammation-associated carcinogenesis whereas sulforaphane effects differed with selenium supply. J. Carcinog. 2012, 33, 620–628. [Google Scholar] [CrossRef] [PubMed] [Green Version]
- Gilfillan, L.; Artschwager, R.; Harkiss, A.H.; Liskamp, R.M.; Sutherland, A. Synthesis of pyrazole containing alpha-amino acids via a highly regioselective condensation/aza-Michael reaction of β-aryl α,β-unsaturated ketones. Org. Biomol. Chem. 2015, 13, 4514–4523. [Google Scholar] [CrossRef] [PubMed] [Green Version]
- Kantar, C.; Akal, H.; Kaya, B.; Islamoğlu, F.; Türk, M.; Şaşmaz, S. Novel phthalocyanines containing resorcinol azo dyes; synthesis, determination of pKa values, antioxidant, antibacterial and anticancer activity. J. Organomet. Chem. 2015, 783, 28–39. [Google Scholar] [CrossRef]
- Cai, R.; Wang, D.; Chen, Y.; Yan, W.; Geise, N.R.; Sharma, S.; Li, H.; Petersen, J.L.; Li, M.; Shi, X. Facile synthesis of fluorescent active triazapentalenes through gold-catalyzed triazole-alkyne cyclization. Chem. Commun. 2014, 50, 7303–7305. [Google Scholar] [CrossRef]
- Hamidian, H.; Tagizadeh, R.; Fozooni, S.; Abbasalipour, V.; Taheri, A.; Namjou, M. Synthesis of novel azo compounds containing 5(4H)-oxazolone ring as potent tyrosinase inhibitors. Bioorganic Med. Chem. 2013, 21, 2088–2092. [Google Scholar] [CrossRef]
- Benkhaya, S.; M’rabet, S.; El Harfi, A. Classifications, properties, recent synthesis and applications of azo dyes. Heliyon 2020, 6, e03271. [Google Scholar] [CrossRef] [PubMed] [Green Version]
- Raslan, M.A. Efficient synthesis of some new 1,3,4-Thiadiazole and thiazole derivatives via thiosemicarbazone derivatives. Heterocycles 2020, 100, 809–822. [Google Scholar] [CrossRef]
- Sayed, A.R.; Ahmed, M.S.M.; Gomha, S.M. Efficient Methods for the Synthesis of Novel Arylazothiazoles Based on Acetylferrocene or Adamantane. Curr. Org. Synth. 2020, 17, 282–287. [Google Scholar] [CrossRef] [PubMed]
- Farghaly, T.A.; Abo Alnaja, A.M.; El-Ghamry, H.A.; Shaaban, M.R. Synthesis and DNA binding of novel bioactive thiazole derivatives pendent to N-phenylmorpholine moiety. Bioorg. Chem. 2020, 102, 104103. [Google Scholar] [CrossRef] [PubMed]
- Abdel Latif, N.A.; Abbas, E.M.H.; Farghaly, T.A.; Awad, H.M. Synthesis, Characterization, and Anticancer Screening of Some New Bithiazole Derivatives. Russ. J. Org. Chem. 2020, 56, 1096–1107. [Google Scholar] [CrossRef]
- Zaki, Y.H.; Abdelhamid, A.O.; Sayed, A.R.; Mohamed, H.S. Synthesis of 1,3,4-Thiadiazole Derivatives Using Hydrazonoyl Bromide: Molecular Docking and Computational Studies. Polycycl. Aromat. Compd. 2022. [Google Scholar] [CrossRef]
- Al-Shihry, S.S.; Sayed, A.R.; Abd El-Lateef, H.M. Design and assessment of a novel poly(urethane-semicarbazides) containing thiadiazoles on the backbone of the polymers as inhibitors for steel pipelines corrosion in CO2-saturated oilfield water. J. Mol. Struct. 2020, 1201, 127223. [Google Scholar] [CrossRef]
- Sayed, A.R.; Al-Faiyz, Y.S. convenient methods for the synthesis of novel thiadiazoles and polythiadiazoles. Heterocycles 2020, 100, 955–963. [Google Scholar] [CrossRef]
- Abeer, M.E.; Maher, A.E.; Eslam, B.E. Eco-friendly sequential one-pot synthesis, molecular docking, and anticancer evaluation of arylidene-hydrazinyl-thiazole derivatives as CDK2 inhibitors. Bioorg. Chem. 2021, 108, 104615. [Google Scholar] [CrossRef]
- Abd El-Lateef, H.M.; Sayed, A.R.; Shalabi, K. Synthesis and theoretical studies of novel conjugated polyazomethines and their application as efficient inhibitors for C1018 steel pickling corrosion behavior. Surf. Interfaces 2021, 23, 101037. [Google Scholar] [CrossRef]
- Ali, S.H.; Sayed, A.R. Review of the synthesis and biological activity of thiazoles. Synth. Commun. 2021, 51, 670–700. [Google Scholar] [CrossRef]
- Abd El-Lateef, H.M.; Sayed, A.R.; Shalabi, K. Studying the effect of two isomer forms thiazole and thiadiazine on the inhibition of acidic chloride-induced steel corrosion: Empirical and Computer simulation explorations. J. Mol. Liq. 2022, 356, 119044. [Google Scholar] [CrossRef]
- Bakir, E.M.; Sayed, A.R.; Abd El-Lateef, H.M. Colorimetric detection of Hg2+ ion using fluorescein/thiourea sensor as a receptor in aqueous medium. J. Photochem. Photobiol. A Chem. 2022, 422, 113569. [Google Scholar] [CrossRef]
- Sayed, A.R.; Al-Faiyz, Y.S.; Elsawy, H.; Shaaban, S.; Mohamed, M.A. Synthesis and Biochemical Studies of Novel Mon-Azothiazoles and Bis-Azothiazoles Based on 2-(4-(Dimethylamino)Benzylidene)Hydrazine-1-Carbothioamide. Polycycl. Aromat. Compd. 2022. [Google Scholar] [CrossRef]
- Samarghandi, M.R.; Zarrabi, M.; Sepehr, M.N.; Amrane, A.; Safari, G.H.; Bashiri, S. Application of acidic treated pumice as an adsorbent for the removal of azo dye from aqueous solutions: Kinetic, equilibrium and thermodynamic studies. Iran. J. Environ. Health Sci. Eng. 2012, 9, 9. [Google Scholar] [CrossRef] [Green Version]
- Pinheiro, H.M.; Touraud, E.; Thomas, O. Aromatic amines from azo dye reduction: Status review with emphasis on direct UV spectrophotometric detection in textile industry wastewaters. Dyes Pigment. 2004, 61, 121–139. [Google Scholar] [CrossRef]
- Chung, K.T.; Cerniglia, C.E. Mutagenicity of azo dyes: Structure-activity relationships. Mutat. Res. Genet. Toxicol. 1992, 277, 201–220. [Google Scholar] [CrossRef]
- Harrington-Brock, K.; Parker, L.; Doerr, C.; Cimino, M.C.; Moore, M.M. Analysis of the genotoxicity of anthraquinone dyes in the mouse lymphoma assay. Mutagenesis 1991, 6, 35–46. [Google Scholar] [CrossRef]
- Shaaban, S.; Negm, A.; Ashmawy, A.M.; Ahmed, D.M.; Wessjohann, L.A. Combinatorial synthesis, in silico, molecular and biochemical studies of tetrazole-derived organic selenides with increased selectivity against hepatocellular carcinoma. Eur. J. Med. Chem. 2016, 122, 55–71. [Google Scholar] [CrossRef]
- Nury, T.; Zarrouk, A.; Vejux, A.; Doria, M.; Riedinger, J.M.; Delage-Mourroux, R.; Lizard, G. Induction of oxiapoptophagy, a mixed mode of cell death associated with oxidative stress, apoptosis and autophagy, on 7-ketocholesterol-treated 158N murine oligodendrocytes: Impairment by α-tocopherol. Biochem. Biophys. Res. Commun. 2014, 446, 714–719. [Google Scholar] [CrossRef]
- Kassab, K. Evaluating the antitumor activity of combined photochemotherapy mediated by a meso-substituted tetracationic porphyrin and adriamycin. Acta Biochim. Biophys. Sin. 2009, 41, 892–899. [Google Scholar] [CrossRef] [PubMed] [Green Version]
- Zarrouk, A.; Vejux, A.; Nury, T.; El Hajj, H.I.; Haddad, M.; Cherkaoui-Malki, M.; Riedinger, J.M.; Hammami, M.; Lizard, G. Induction of mitochondrial changes associated with oxidative stress on very long chain fatty acids (C22:0, C24:0, or C26:0)-treated human neuronal cells (SK-NB-E). Oxid. Med. Cell. Longev. 2012, 2012, 623257. [Google Scholar] [CrossRef] [PubMed] [Green Version]
- Vigilanza, P.; Aquilano, K.; Rotilio, G.; Ciriolo, M.R. Transient cytoskeletal alterations after SOD1 depletion in neuroblastoma cells. Cell. Mol. Life Sci. 2008, 65, 991–1004. [Google Scholar] [CrossRef] [PubMed]
- Aydin, H.H.; Celik, H.A.; Deveci, R.; Terzioglu, E.; Karacali, S.; Mete, N.; Akarca, U.; Batur, Y. Characterization of the cellular response during apoptosis induction in cadmium-treated Hep G2 human hepatoma cells. Biol. Trace Elem. Res. 2003, 95, 139–153. [Google Scholar] [CrossRef]
- Abd El-Lateef, H.M.; Shaaban, S.; Shalabi, K.; Khalaf, M.M. Novel organoselenium-based N-mealanilic acids as efficacious corrosion inhibitors for 6061 aluminum alloy in molar HCl: In-silico modeling, electrochemical, and surface morphology studies. J. Taiwan Inst. Chem. Eng. 2022, 133, 104258. [Google Scholar] [CrossRef]
- Li, B.; Li, W.; Tian, Y.; Guo, S.; Qian, L.; Xu, D.; Cao, N. Selenium-Alleviated Hepatocyte Necrosis and DNA Damage in Cyclophosphamide-Treated Geese by Mitigating Oxidative Stress. Biol. Trace Elem. Res. 2020, 193, 508–516. [Google Scholar] [CrossRef]
- Elmore, S. Apoptosis: A review of programmed cell death. Toxicol. Pathol. 2007, 35, 495–516. [Google Scholar] [CrossRef]
- Wang, X.; Zhong, X.; Li, J.; Liu, Z.; Cheng, L. Inorganic nanomaterials with rapid clearance for biomedical applications. Chem. Soc. Rev. 2021, 50, 8669–8742. [Google Scholar] [CrossRef]
- Miao, Z.; Chen, S.; Xu, C.-Y.; Ma, Y.; Qian, H.; Xu, Y.; Chen, H.; Wang, X.; He, G.; Lu, Y.; et al. PEGylated rhenium nanoclusters: A degradable metal photothermal nanoagent for cancer therapy. Chem. Sci. 2019, 10, 5435–5443. [Google Scholar] [CrossRef] [Green Version]
- Wang, X.; Yue, Q.; Xu, H.; Zhong, X.; Sun, L.; Li, G.; Gong, Y.; Yang, N.; Wang, Z.; Liu, Z.; et al. Liquid exfoliation of TiN nanodots as novel sonosensitizers for photothermal-enhanced sonodynamic therapy against cancer. Nano Today 2021, 39, 101170. [Google Scholar] [CrossRef]
- Zhong, X.; Wang, X.; Li, J.; Hu, J.; Cheng, L.; Yang, X. ROS-based dynamic therapy synergy with modulating tumor cell-microenvironment mediated by inorganic nanomedicine. Coord. Chem. Rev. 2021, 437, 213828. [Google Scholar] [CrossRef]






| Compounds | IC50 (µM) a | |
|---|---|---|
| A549 | DLD-1 | |
| Cisplatin | 6 ± 1.2 | 7.3 ± 2.6 |
| 8 | 42 ± 3.7 | 26 ± 2.7 |
| 9 | - b | - b |
| 10 | - b | - b |
| 11 | 40 ± 3.83 | 21 ± 1.6 |
| 12 | 23 ± 2.9 | 32 ± 2.9 |
| 13 | 32 ± 4.1 | 35 ± 4.21 |
| 17 | - b | - b |
| 18 | - b | 43 |
| 19 | - b | - b |
Publisher’s Note: MDPI stays neutral with regard to jurisdictional claims in published maps and institutional affiliations. |
© 2022 by the authors. Licensee MDPI, Basel, Switzerland. This article is an open access article distributed under the terms and conditions of the Creative Commons Attribution (CC BY) license (https://creativecommons.org/licenses/by/4.0/).
Share and Cite
Sayed, A.R.; Elsawy, H.; Shaaban, S.; Gomha, S.M.; Al-Faiyz, Y.S. Design, Synthesis, and Biological Evaluations of Novel Azothiazoles Based on Thioamide. Curr. Issues Mol. Biol. 2022, 44, 2956-2966. https://doi.org/10.3390/cimb44070204
Sayed AR, Elsawy H, Shaaban S, Gomha SM, Al-Faiyz YS. Design, Synthesis, and Biological Evaluations of Novel Azothiazoles Based on Thioamide. Current Issues in Molecular Biology. 2022; 44(7):2956-2966. https://doi.org/10.3390/cimb44070204
Chicago/Turabian StyleSayed, Abdelwahed R., Hany Elsawy, Saad Shaaban, Sobhi M. Gomha, and Yasair S. Al-Faiyz. 2022. "Design, Synthesis, and Biological Evaluations of Novel Azothiazoles Based on Thioamide" Current Issues in Molecular Biology 44, no. 7: 2956-2966. https://doi.org/10.3390/cimb44070204
APA StyleSayed, A. R., Elsawy, H., Shaaban, S., Gomha, S. M., & Al-Faiyz, Y. S. (2022). Design, Synthesis, and Biological Evaluations of Novel Azothiazoles Based on Thioamide. Current Issues in Molecular Biology, 44(7), 2956-2966. https://doi.org/10.3390/cimb44070204

