Adaptive Neural Network Structure Optimization Algorithm Based on Dynamic Nodes
Abstract
:1. Introduction
2. Materials and Methods
2.1. Related Works
2.2. Dynamic Node-Based Neural Network Structure Optimization Algorithm
2.3. Optimize DNS with Genetic Algorithm
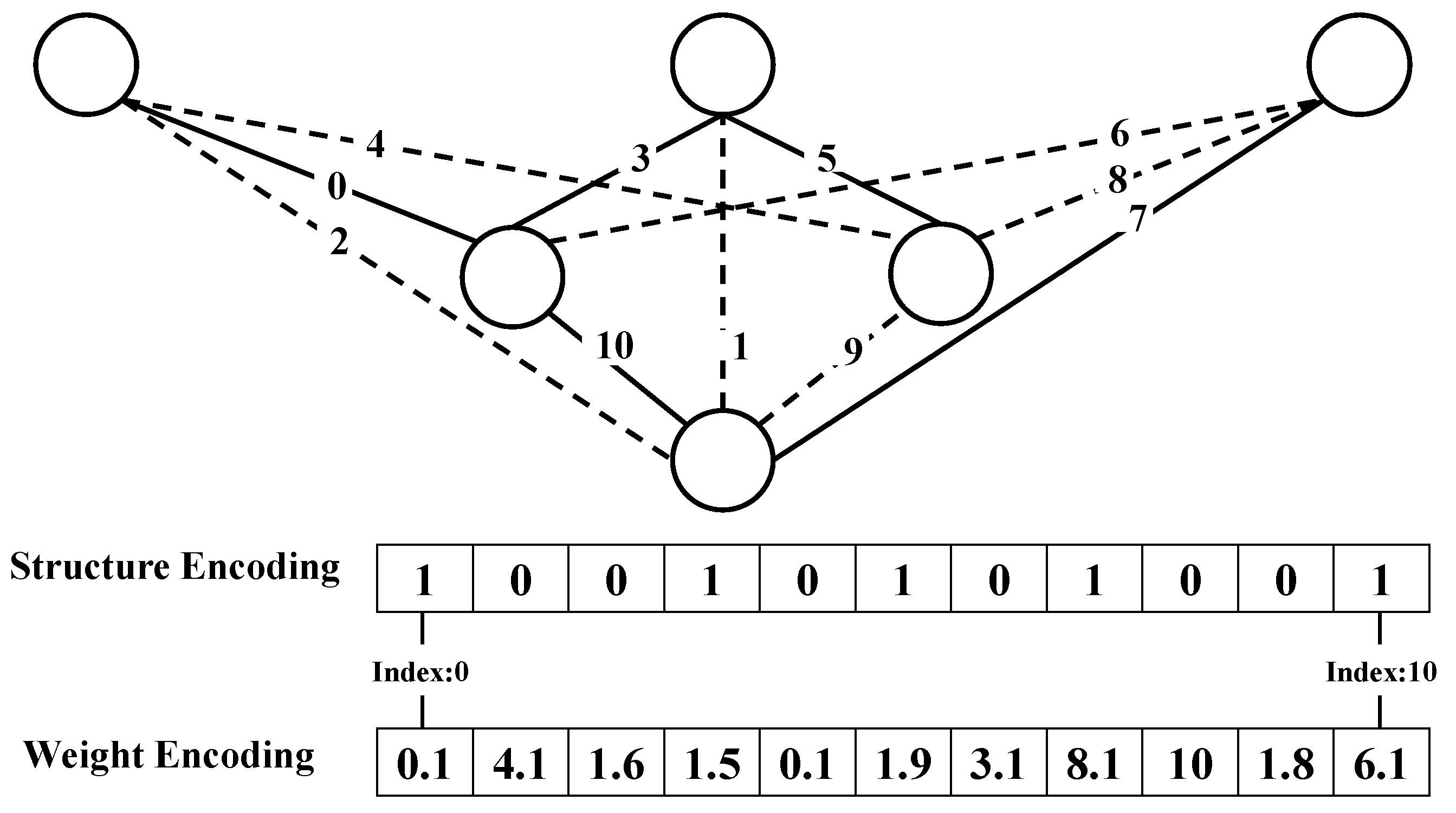
2.3.1. Encoding Method
2.3.2. Fitness Function
2.3.3. Selection Operator
- Search for the individual with the highest fitness in the population and mark it as the best individuals.
- Traverse the individuals in the current population. If the fitness of the current individual is higher than the optimal individual, replace the optimal individual.
- Roulette selects the remaining next-generation individuals.
- Iterative training of the current population generates the next-generation population, and the optimal individual does not participate in training.
- The best individual enters the next generation and replaces the least adaptive individual in the offspring population.
2.3.4. Crossover Operator
- Select parent, select two paired DNAs.
- Parental crossover, crossover operation is performed on the two DNAs. The same gene remains unchanged for the part where the corresponding locus has the same gene, and the gene selection is performed for different genes.
2.3.5. Mutation Operator
- Parameter setting, the mutation probability of the basic position mutation .
- Traverse gene locus, randomly generate a float number between 0 and 1, and traverse each gene in the individual structure code.
- Replace gene. If the float number is less than the mutation probability pm, use the opposite character to replace the corresponding current code (when the locus is 1, replace it with 0, and vice versa); otherwise, it remains unchanged.
3. Results
3.1. Comprehensive Performance of GA-DNS
- (1)
- The impact of GA on DNS is very large. The longer total run time is acceptable compared to the increase in accuracy. GA-DNS verifies that using GA to find the best network structure is feasible.
- (2)
- Compared with the NEAT algorithm and fully connected network, the percentage of accuracy of the GA-DNS algorithm is slightly lower by about 4–6%. However, the advantage of the GA-DNS lies in a simpler network structure. Fully connected network is the most complex network structure, while NEAT is expanding the network structure. It is not as complicated as the BP network or as simple as the GA-DNS network structure.
- (3)
- Both DNS and GA-DNS have a short Total Run Time. DNS is the fastest among them, but the cost is the lowest accuracy. GA-DNS has found a balance between accuracy and Total Run Time.
3.2. Reasonable Pruning Algorithm
- (1)
- The accuracy of the DNS network hovered between 70–80%, which shows that the neural network model optimized by the DNS algorithm has a certain ability to classify. However, the accuracy rate is not very high. Therefore, it can be further optimized.
- (2)
- The model structure coefficient is between 0.55–0.75, indicating that the network scale has a certain degree of optimization compared with the traditional ANN, which is in line with the expected design of the algorithm, indicating the realization of the algorithm has certain feasibility.
- (3)
- From the perspective of accuracy and model evaluation coefficients, compared with frequent pruning strategies, the pruning strategy based on exponential weighting is better.
- (4)
- From the perspective of accuracy and model evaluation coefficients, the pruning strategy based on the Pearson coefficient is more effective than the pruning strategy based on Hebb’s rule.
3.3. Effect of Pruning Threshold
- (1)
- When the value of the pruning threshold p is small, the accuracy of the model is not high, and the model structure coefficient is very low. This means that the DNS algorithm retains most of the connections, the network structure is highly complex and over-fitting.
- (2)
- As the pruning threshold p increases, the model structure coefficient increases simultaneously. This shows that some connections are pruned when the threshold p becomes larger and the streamlined network structure. However, the model’s accuracy fluctuates up and down, indicating that the model has not reached its optimal structure at this time, and there is room for further improvement in accuracy.
- (3)
- When the pruning threshold is between [0.55, 0.7], the structure of the model has been greatly simplified, and the accuracy of the model is relatively stable at this time. However, the relationship between model structure coefficients and pruning threshold p is not strictly monotonic.
- (4)
- When the pruning threshold is large enough, close to 0.9, the model structure coefficient is also close to the peak value, indicating that most of the connections in the model are deleted during the iteration process, and the accuracy of the model begins to decrease, indicating that the model is under-fitting at this time state.
4. Discussion
Author Contributions
Funding
Institutional Review Board Statement
Informed Consent Statement
Data Availability Statement
Conflicts of Interest
References
- Sompolinsky, H. The theory of neural networks: The hebb rule and beyond. In Heidelberg Colloquium on Glassy Dynamics; Springer: Berlin/Heidelberg, Germany, 1987; pp. 485–527. [Google Scholar]
- Sejnowski, T.J.; Tesauro, G. The hebb rule for synaptic plasticity: Algorithms and implementations. In Neural Models of Plasticity; Elsevier: Amsterdam, The Netherlands, 1989; pp. 94–103. [Google Scholar]
- Benesty, J.; Chen, J.; Huang, Y.; Cohen, I. Pearson correlation coefficient. In Noise Reduction in Speech Processing; Springer: Berlin/Heidelberg, Germany, 2009; pp. 1–4. [Google Scholar]
- Whitley, D. A genetic algorithm tutorial. Stat. Comput. 1994, 4, 65–85. [Google Scholar] [CrossRef]
- Mirjalili, S. Genetic algorithm. In Evolutionary Algorithms and Neural Networks; Springer: Berlin/Heidelberg, Germany, 2019; pp. 43–55. [Google Scholar]
- Johnson, E.G.; Kathman, A.D.; Hochmuth, D.H.; Cook, A.; Brown, D.R.; Delaney, W.F. Advantages of genetic algorithm optimization methods in diffractive optic design. In Diffractive and Miniaturized Optics: A Critical Review; International Society for Optics and Photonics: Bellingham, WA, USA, 1993; Volume 10271, p. 1027105. [Google Scholar]
- Leung, F.H.-F.; Lam, H.-K.; Ling, S.-H.; Tam, P.K.-S. Tuning of the structure and parameters of a neural network using an improved genetic algorithm. IEEE Trans. Neural Netw. 2003, 14, 79–88. [Google Scholar] [CrossRef] [Green Version]
- Castellano, G.; Fanelli, A.M.; Pelillo, M. An iterative pruning algorithm for feedforward neural networks. IEEE Trans. Neural Netw. 1997, 8, 519–531. [Google Scholar] [CrossRef] [PubMed]
- Rocha, M.; Cortez, P.; Neves, J. Evolutionary neural network learning. In Portuguese Conference on Artificial Intelligence; Springer: Berlin/Heidelberg, Germany, 2003; pp. 24–28. [Google Scholar]
- Kwok, T.Y.; Yeung, D.Y. Constructive algorithms for structure learning in feedforward neural networks for regression problems. IEEE Trans. Neural Netw. 1997, 8, 630–645. [Google Scholar] [CrossRef]
- Ash, T. Dynamic node creation in backpropagation networks. Connect. Sci. 1989, 1, 365–375. [Google Scholar] [CrossRef]
- Fahlman, S.E.; Lebiere, C. The Cascade-Correlation Learning Architecture. Adv. Neural. Inf. Process. Syst. 1997, 2, 524–532. [Google Scholar]
- Sin, S.K.; Defigueiredo, R.J.P. An incremental fine adjustment algorithm for the design of optimal interpolating neural networks. Int. Pattern Recognit. Artif. Intell. 1991, 5, 563–579. [Google Scholar] [CrossRef]
- Mezard, M.; Nadal, J.P. Learning in feedforward layered networks: The tiling algorithm. J. Phys. Math. Gen. 1989, 22, 2191–2203. [Google Scholar] [CrossRef] [Green Version]
- Kamath, P.; Singh, A.; Dutta, D. Neural Architecture Construction using EnvelopeNets. Neural Evol. Comput. 2018. Available online: https://arxiv.org/abs/1803.06744 (accessed on 2 January 2022).
- Reed, R. Pruning algorithms-a survey. IEEE Trans. Neural Netw. 1993, 4, 740–747. [Google Scholar] [CrossRef] [PubMed]
- Han, S.; Mao, H.; Dally, W.J. Deep compression: Compressing deep neural networks with pruning, trained quantization and huffman coding. arXiv 2015, arXiv:1510.00149. [Google Scholar]
- Han, S.; Pool, J.; Tran, J.; Dally, W.J. Learning both weights and connections for efficient neural network. Adv. Neural Inf. Process. Syst. 2015, 15, 1135–1143. [Google Scholar]
- Hassibi, B.; Stork, D.G. Second order derivatives for network pruning: Optimal brain surgeon. In Advances in Neural Information Processing Systems; Morgan Kaufmann: Burlington, MA, USA, 1993; pp. 164–171. [Google Scholar]
- Frankle, J.; Carbin, M. The lottery ticket hypothesis: Finding sparse, trainable neural networks. arXiv 2018, arXiv:1803.03635. [Google Scholar]
- Dettmers, T.; Zettlemoyer, L. Sparse networks from scratch: Faster training without losing performance. arXiv 2019, arXiv:1907.04840. [Google Scholar]
- Lin, S.; Ji, R.; Yan, C.; Zhang, B.; Cao, L.; Ye, Q.; Huang, F.; Doermann, D. Towards optimal structured cnn pruning via generative adversarial learning. In Proceedings of the IEEE/CVF Conference on Computer Vision and Pattern Recognition, Long Beach, CA, USA, 15–20 June 2019; pp. 2790–2799. [Google Scholar]
- Liebenwein, L.; Baykal, C.; Lang, H.; Feldman, D.; Rus, D. Provable filter pruning for efficient neural networks. arXiv 2019, arXiv:1911.07412. [Google Scholar]
- Tang, Y.; Wang, Y.; Xu, Y.; Tao, D.; Xu, C.; Xu, C.; Xu, C. Scop: Scientific control for reliable neural network pruning. arXiv 2020, arXiv:2010.10732. [Google Scholar]
- Bäck, T.; Schwefel, H.-P. An overview of evolutionary algorithms for parameter optimization. Evol. Comput. 1993, 1, 1–23. [Google Scholar] [CrossRef]
- Stanley, K.O.; Bryant, B.D.; Miikkulainen, R. Real-time neuroevolution in the nero video game. IEEE Trans. Evol. Comput. 2005, 9, 653–668. [Google Scholar] [CrossRef]
- Gauci, J.; Stanley, K. Generating large-scale neural networks through discovering geometric regularities. In Proceedings of the 9th Annual Conference on Genetic and Evolutionary Computation, London, UK, 7–11 July 2007; pp. 997–1004. [Google Scholar]
- Stanley, K.O. Compositional pattern producing networks: A novel abstraction of development. Genet. Program. Evolvable Mach. 2007, 8, 131–162. [Google Scholar] [CrossRef] [Green Version]
- Risi, S.; Lehman, J.; Stanley, K.O. Evolving the placement and density of neurons in the hyperneat substrate. In Proceedings of the 12th Annual Conference on Genetic and Evolutionary Computation, Porland, OR, USA, 7–11 July 2010; pp. 563–570. [Google Scholar]
- Miikkulainen, R.; Liang, J.; Meyerson, E.; Rawal, A.; Fink, D.; Francon, O.; Raju, B.; Shahrzad, H.; Navruzyan, A.; Duffy, N.; et al. Evolving deep neural networks. In Artificial Intelligence in the Age of Neural Networks and Brain Computing; Elsevier: Amsterdam, The Netherlands, 2019; pp. 293–312. [Google Scholar]
- Real, E.; Aggarwal, A.; Huang, Y.; Le, Q.V. Regularized evolution for image classifier architecture search. Proc. Aaai Conf. Artif. Intell. 2019, 33, 4780–4789. [Google Scholar] [CrossRef] [Green Version]
- Xue, Y.; Jiang, P.; Neri, F.; Liang, J. A multi-objective evolutionary approach based on graph-in-graph for neural architecture search of convolutional neural networks. Int. J. Neural Syst. 2021, 31, 2150035. [Google Scholar] [CrossRef] [PubMed]
- Stanley, K.O.; Clune, J.; Lehman, J.; Miikkulainen, R. Designing neural networks through neuroevolution. Nat. Mach. Intell. 2019, 1, 24–35. [Google Scholar] [CrossRef]
- Liu, H.; Simonyan, K.; Yang, Y. Darts: Differentiable architecture search. arXiv 2018, arXiv:1806.09055. [Google Scholar]
- Wang, R.; Cheng, M.; Chen, X.; Tang, X.; Hsieh, C.J. Rethinking architecture selection in differentiable NAS. arXiv 2021, arXiv:2108.04392. [Google Scholar]
- Liu, C.; Zoph, B.; Neumann, M.; Shlens, J.; Hua, W.; Li, L.J.; Fei-Fei, L.; Yuille, A.; Huang, J.; Murphy, K. Progressive neural architecture search. In Proceedings of the European Conference on Computer Vision (ECCV), Munich, Germany, 8–14 September 2018; pp. 19–34. [Google Scholar]
- Tan, M.; Le, Q. Efficientnet: Rethinking model scaling for convolutional neural networks. In Proceedings of the International Conference on Machine Learning, Long Beach, CA, USA, 9–15 June 2019; pp. 6105–6114. [Google Scholar]
- Kohonen, T. An introduction to neural computing. Neural Netw. 1988, 1, 3–16. [Google Scholar] [CrossRef]
- Maind, S.B.; Wankar, P. Research paper on basic of artificial neural network. Int. J. Recent Innov. Trends Comput. Commun. 2014, 2, 96–100. [Google Scholar]





| Attribute | Detail |
|---|---|
| Parents | usual |
| pretentious | |
| great_pret | |
| Has_nurs | proper |
| less_proper | |
| improper | |
| critical | |
| very_crit | |
| Form | complete |
| completed | |
| incomplete | |
| foster | |
| Housing | convenient |
| less_conv | |
| critical | |
| Children | 1 |
| 2 | |
| 3 | |
| more | |
| Finance | convenient |
| inconv | |
| Social | non-prob |
| slightly_prob | |
| problematic | |
| Health | recommended |
| priority | |
| not_recom |
| Parameter | Parameter Description | Value of Parameter |
|---|---|---|
| D | Maximum number of hidden layers added | 2 |
| V | Maximum number of hidden neurons added | 10 |
| Number of input neurons | 27 | |
| Number of output neurons | 5 | |
| U | Number of epochs between pruning | 5 |
| p | pruning threshold | 0.65 |
| population | Total number of individuals in the population | 100 |
| numIter | Population iterations | 50 |
| crossPro | Crossover probability of crossover operator | 0.75 |
| mulPro | Mutation probability of mutation operator | 0.1 |
| Algorithm | Perfermance | MSC | Total Run Time |
|---|---|---|---|
| GA-DNS | 89.62% | 0.5667 | 0.92 |
| DNS | 79.41% | 0.6841 | 0.89 |
| NEAT | 95.20% | – | 1.10 |
| DARTS | 95.37% | – | 1.14 |
| FC | 96.11% | 0 | 1.00 |
| Dataset | Algorithm | Accuracy | MSC | Total Run Time |
|---|---|---|---|---|
| Adult | GA-DNS | 91.81% | 0.6075 | 0.91 |
| DNS | 78.72% | 0.6211 | 0.86 | |
| NEAT | 95.21% | - | 1.04 | |
| Hyper-NEAT | 95.47% | - | 1.07 | |
| DARTS | 96.81% | - | 1.00 | |
| FC | 96.84% | 0 | 1.00 | |
| FTCD | GA-DNS | 92.23% | 0.6450 | 0.88 |
| DNS | 78.28% | 0.6725 | 0.84 | |
| NEAT | 95.15% | - | 1.10 | |
| DARTS | 96.02% | - | 1.24 | |
| FC | 96.64% | 0 | 1.00 |
| Purning Srategy Based on Hebb’s Rule | Purning Srategy Based on Pearson Coefficient | |||
|---|---|---|---|---|
| Frequent | Exponential Weighted | Frequent | Exponential Weighted | |
| Performance | 69.4% | 75.2% | 78.7% | 83.5% |
| Recall rate | 70%, 68%, 60%, | 79%, 73%, 75%, | 74%, 80%, 78%, | 80%, 81%, 77%, |
| 62%, 71% | 71%, 66% | 72%, 62% | 75%, 65% | |
| MSC | 0.56 | 0.72 | 0.57 | 0.68 |
| Parameter | Parameter Description |
|---|---|
| D | Number of hidden layers |
| V | Number of neurons added |
| M | Mini-batch subset sample number |
| Number of input neurons | |
| Number of output neurons | |
| U | Number of epochs between pruning |
| p | pruning threshold |
Publisher’s Note: MDPI stays neutral with regard to jurisdictional claims in published maps and institutional affiliations. |
© 2022 by the authors. Licensee MDPI, Basel, Switzerland. This article is an open access article distributed under the terms and conditions of the Creative Commons Attribution (CC BY) license (https://creativecommons.org/licenses/by/4.0/).
Share and Cite
Wang, M.; Yang, X.; Qian, Y.; Lei, Y.; Cai, J.; Huan, Z.; Lin, X.; Dong, H. Adaptive Neural Network Structure Optimization Algorithm Based on Dynamic Nodes. Curr. Issues Mol. Biol. 2022, 44, 817-832. https://doi.org/10.3390/cimb44020056
Wang M, Yang X, Qian Y, Lei Y, Cai J, Huan Z, Lin X, Dong H. Adaptive Neural Network Structure Optimization Algorithm Based on Dynamic Nodes. Current Issues in Molecular Biology. 2022; 44(2):817-832. https://doi.org/10.3390/cimb44020056
Chicago/Turabian StyleWang, Miao, Xu Yang, Yunchong Qian, Yunlin Lei, Jian Cai, Ziyi Huan, Xialv Lin, and Hao Dong. 2022. "Adaptive Neural Network Structure Optimization Algorithm Based on Dynamic Nodes" Current Issues in Molecular Biology 44, no. 2: 817-832. https://doi.org/10.3390/cimb44020056
APA StyleWang, M., Yang, X., Qian, Y., Lei, Y., Cai, J., Huan, Z., Lin, X., & Dong, H. (2022). Adaptive Neural Network Structure Optimization Algorithm Based on Dynamic Nodes. Current Issues in Molecular Biology, 44(2), 817-832. https://doi.org/10.3390/cimb44020056

