Values That Work: Exploring the Moderator Role of Protestant Work Ethics in the Relationship between Human Resources Practices and Work Engagement and Organizational Citizenship Behavior
Abstract
1. Introduction
2. Theoretical Foundation
2.1. Work Engagement (WE) and Organizational Citizenship Behavior (OCB)
2.2. The Role of Human Resources Practices (HRP) in the development of WE and OCB
2.3. Protestant Work Ethic (PWE), HRP, WE, and OCB
3. Methodology
3.1. Participants
3.2. Measures
3.3. Procedure and Data Analysis
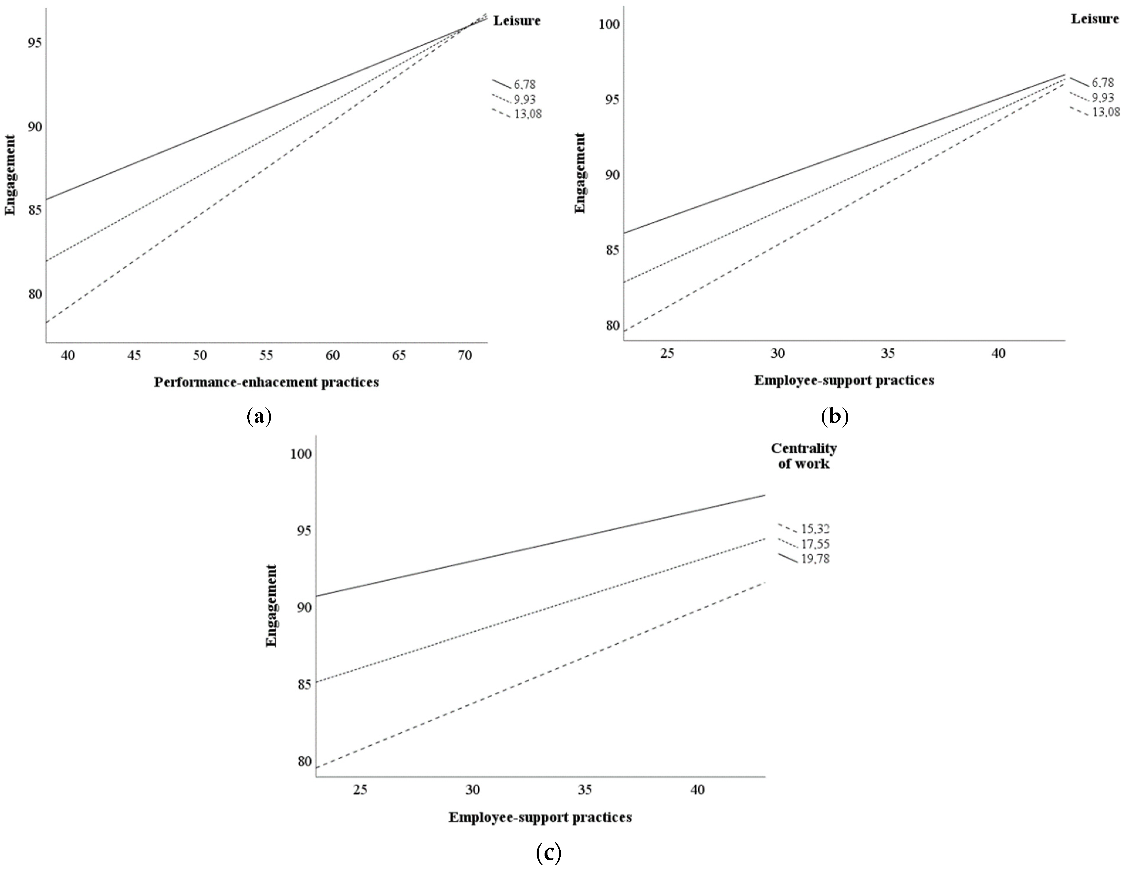
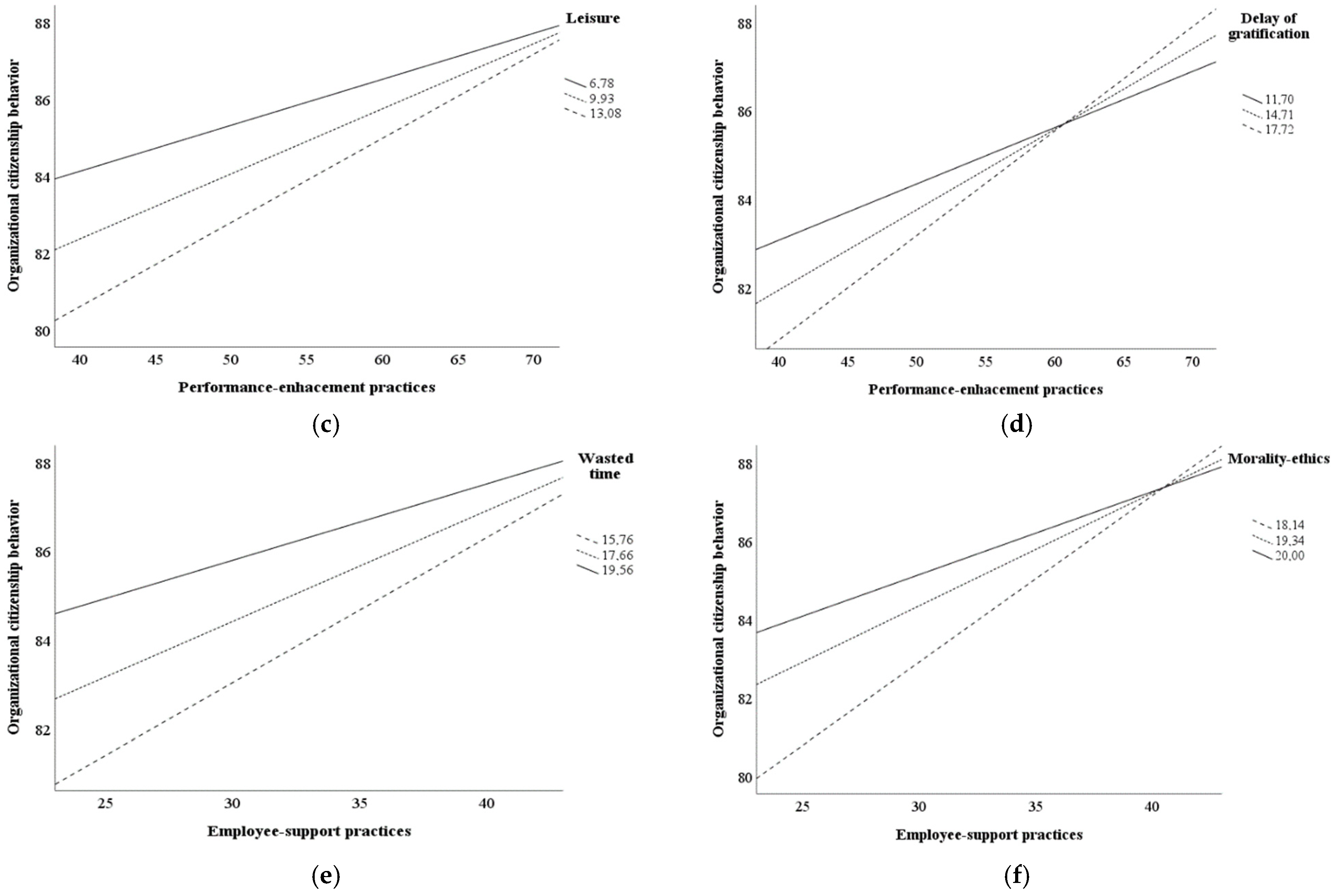
4. Results and Discussion
4.1. Results
4.2. Discussion
5. Conclusions
Author Contributions
Funding
Institutional Review Board Statement
Informed Consent Statement
Data Availability Statement
Conflicts of Interest
Appendix A
| x2/gl | GFI | AGFI | PGFI | NFI | RFI | RMR | |
|---|---|---|---|---|---|---|---|
| CFA 1 Factor Solution–WE | 3.06 | 0.977 | 0.971 | 0.760 | 0.969 | 0.965 | 0.089 | 
| CFA-1 Factor Solution–OCB- | 0.57 | 0.958 | 0.944 | 0.719 | 0.933 | 0.922 | 0.038 | 
References
- Aboramadan, Mohammed, Belal Albashiti, Hatem Alharazin, and Khalid Abed Dahleez. 2019. Human resources management practices and organizational commitment in higher education: The mediating role of work engagement. International Journal of Educational Management 34: 154–74. [Google Scholar] [CrossRef]
- Ahmed Umair, Karibu Maitama Kura, Waheed Ali Umrani, and Munwar Hussain Pahi. 2020. Modelado del vínculo entre las prácticas de desarrollo de recursos humanos y el compromiso laboral: El papel de moderación del clima de servicio. Global Business Review 21: 31–53. [Google Scholar] [CrossRef]
- Bakker, Arnold B. 2014. Daily fluctuations in work engagement: An overview and current directions. European Psychologist 19: 227–36. [Google Scholar] [CrossRef]
- Bakker, Arnold B., and Evangelia Demerouti. 2007. The Job Demands-Resources model: State of the art. Journal of Managerial Psychology 22: 309–28. [Google Scholar] [CrossRef]
- Bakker, Arnold B., and Michael P. Leiter, eds. 2010. Work Engagement: A Handbook of Essential Theory and Research. London: Psychology Press. [Google Scholar] [CrossRef]
- Bakker, Arnold B., and Simon Albrecht. 2018. Work engagement: Current trends. Career Development International 23: 4–11. [Google Scholar] [CrossRef]
- Barrick, Murray. R., Gary R. Thurgood, Troy A. Smith, and Stephen H. Courtright. 2015. Collective organizational engagement: Linking motivational antecedents, strategic implementation, and firm performance. Academy of Management Journal 58: 111–35. [Google Scholar] [CrossRef]
- Begum, S Sumayya, Sun Zehou, and Mohammad Amzad Hossain Sarker. 2014. Investigating the relationship between recruitment & selection Pactice and OCB dimensions of commercial banks in China. International Journal of Academic Research in Management 3: 9. [Google Scholar]
- Bello-Pintado, Alejandro. 2015. Bundles of HRM practices and performance: Empirical evidence from a Latin American context. Human Resource Management Journal 25: 311–30. [Google Scholar] [CrossRef]
- Bolino, M., Anthony Klotz, William Turnley, and Jaron Harvey. 2013. Exploring the Dark Side of Organizational Citizenship Behavior. Journal of Organizational Behavior 34: 542–59. [Google Scholar] [CrossRef]
- Bolino, Mark C., William H. Turnley, and James. M. Bloodgood. 2002. Citizenship behavior and the creation of social capital in organizations. Academy of Management Review 27: 505–22. [Google Scholar] [CrossRef]
- Bolino, Mark C., William H. Turnley, and Todd Averett. 2003. Going the Extra Mile: Cultivating and Managing Employee Citizenship Behavior [and Executive Commentary]. The Academy of Management Executive (1993–2005) 17: 60–73. [Google Scholar]
- Byrne, Barbara M. 2016. Structural Equation Modeling With AMOS: Basic Concepts, Applications, and Programming, 3rd ed. London: Routledge. [Google Scholar]
- Cesário, Francisco, and Maria José Chambel. 2017. Linking organizational commitment and work engagement to employee performance. Knowledge and Process Management 24: 152–58. [Google Scholar] [CrossRef]
- Finkelstein, Marcia A., and Louis A. Penner. 2004. Predicting organizational citizenship behavior: Integrating the functional and role identity approaches. Social Behavior and Personality: An International Journal 32: 383–98. [Google Scholar] [CrossRef]
- Furnham, Adrian. 1984. The protestant work ethic: A review of the psychological literature. European Journal of Social Psychology 14: 87–104. [Google Scholar] [CrossRef]
- Gorgievski-Duijvesteijn, Marjan, Herman Steensma, and Else Te Brake. 1998. Protestant Work Ethic as a moderator of mental and physical well-being. Psychological Reports 83: 1043–50. [Google Scholar] [CrossRef] [PubMed]
- Guest, David. 2003. Human resource management, corporate performance and employee wellbeing: Building the worker into HRM. Journal of Industrial Relations 44: 335–58. [Google Scholar] [CrossRef]
- Hayes, Andrew F. 2017. Introduction to Mediation, Moderation, and Conditional Process Analysis, Second Edition: A Regression-Based Approach. New York: Guilford Publications. [Google Scholar]
- Hill, Roger B. 1992. The Work Ethic as Determined by Occupation, Education, Age, Gender, Work Experience, and Empowerment. Doctoral dissertation, University of Tennessee, Knoxville, TN, USA. [Google Scholar]
- Hite, Dwight M., Joshua J. Daspit, and Xueni Dong. 2015. Examining the influence of transculturation on work ethic in the United States. Cross Cultural Management 22: 145–62. [Google Scholar] [CrossRef]
- Holman, David, and Carolyn Axtell. 2016. Can job redesign interventions influence a broad range of employee outcomes by changing multiple job characteristics? A quasi-experimental study. Journal of Occupational Health Psychology 21: 284–95. [Google Scholar] [CrossRef]
- Hudspeth, Natasha. 2004. Examining the MWEP: Further Validation of the Multidimensional Work Ethic Profile. Undefined. Available online: https://www.semanticscholar.org/paper/Examining-the-MWEP%3A-further-validation-of-the-work-Hudspeth/9d8b30228b3c9c2740dc46ba214cfcc88268cc69 (accessed on 20 October 2021).
- Kanungo, Rabindra N. 1982. Measurement of job and work involvement. Journal of Applied Psychology 67: 341–49. [Google Scholar] [CrossRef]
- Karatepe, Osman M., and Olusegun A. Olugbade. 2016. The mediating role of work engagement in the relationship between high-performance work practices and job outcomes of employees in Nigeria. International Journal of Contemporary Hospitality Management 28: 2350–71. [Google Scholar] [CrossRef]
- Khalili, Ashkan. 2017. Transformational leadership and organizational citizenship behavior: The moderating role of emotional intelligence. Leadership & Organization Development Journal 38: 1004–15. [Google Scholar] [CrossRef]
- Khan, Khurram, Muhammad Abbas, Asma Gul, and Usman Raja. 2015. Organizational justice and job outcomes: Moderating role of Islamic work ethic. Journal of Business Ethics 126: 235–46. [Google Scholar] [CrossRef]
- Leong, Frederick T. L., Jason L. Huang, and Stanton Mak. 2014. Protestant Work Ethic, Confucian Values, and Work-Related Attitudes in Singapore. Journal of Career Assessment 22: 304–16. [Google Scholar] [CrossRef]
- Luu, Trong Tuan, Chris Rowley, and Thanh Thao Vo. 2019. Addressing employee diversity to foster their work engagement. Journal of Business Research 95: 303–15. [Google Scholar] [CrossRef]
- Mallick, Eeman, Rabindra Kumar Pradhan, Hare Ram Tewari, and Lalatendu Kesari Jena. 2014. Comportamiento de ciudadanía organizacional, desempeño laboral y prácticas de recursos humanos: Una perspectiva relacional. Management and Labour Studies 39: 449–60. [Google Scholar] [CrossRef]
- Memon, Muntaz Ali, Rohani Salleh, and Mohamed Noor Rosli Baharom. 2016. The link between training satisfaction, work engagement and turnover intention. European Journal of Training and Development 40: 407–29. [Google Scholar] [CrossRef]
- Meriac, John, David Woehr, C. Allen Gorman, and Amanda Thomas. 2013. Development and validation of a short form for the Multidimensional Work Ethic Profile. Journal of Vocational Behavior 82: 155–64. [Google Scholar] [CrossRef]
- Methot, Jessica R., David Lepak, Abbie J. Shipp, and Wendy R. Boswell. 2017. Good citizen interrupted: Calibrating a temporal theory of citizenship behavior. The Academy of Management Review 42: 10–31. [Google Scholar] [CrossRef]
- Miller, Michael J., David J. Woehr, and Natasha Hudspeth. 2002. The meaning and measurement of work ethic: Construction and initial validation of a multidimensional inventory. Journal of Vocational Behavior 60: 451–89. [Google Scholar] [CrossRef]
- Mohammad, Jihad, Farzana Quoquab, and Rosmini Omar. 2016. Factors affecting organizational citizenship behavior among Malaysian bank employees: The moderating role of Islamic work ethic. Procedia -Social and Behavioral Sciences 224: 562–70. [Google Scholar] [CrossRef][Green Version]
- Nawangsari, Lenny Christina, and Ahmad Hidayat Sutawidjaya. 2018. The impact of human resources practices affecting organization citizenship behaviour with mediating job satisfaction in university. In Proceedings of the 3rd Annual International Seminar on Transformative Education and Educational Leadership (AISTEEL 2018). Paris: Atlantis Press, pp. 291–97. [Google Scholar] [CrossRef]
- Oliveira, Lucia Barbosa de, and Juliana da Costa Rocha. 2017. Work engagement: Individual and situational antecedents and its relationship with turnover intention. Revista Brasileira de Gestão de Negócios 19: 415–31. [Google Scholar] [CrossRef]
- Organ, Dennis W. 1988. Organizational Citizenship Behavior: The Good Soldier Syndrome. Lanham: Lexington Books. [Google Scholar]
- Organ, Dennis W. 1997. Organizational citizenship behavior: It’s construct clean-up time. Human Performance 10: 85–97. [Google Scholar] [CrossRef]
- Organ, Dennis W. 2018. Organizational citizenship behavior: Recent trends and developments. Annual Review of Organizational Psychology and Organizational Behavior 5: 295–306. [Google Scholar] [CrossRef]
- Organ, Dennis W., Philip Podsakoff, and Scott B. MacKenzie. 2006. Organizational Citizenship Behavior: Its Nature, Antecedents, and Consequences. Thousand Oaks: Sage Publications. [Google Scholar]
- Ostroff, Cheri, and David E. Bowen. 2000. Moving HR to a higher level: HR practices and organizational effectiveness. In Multilevel Theory, Research, and Methods in Organizations: Foundations, Extensions, and New Directions. Hoboken: Jossey-Bass, pp. 211–66. [Google Scholar]
- Pillay, Kirshia. 2015. Work ethic as a moderator between job satisfaction and organisational commitment in a South African sample. Ph.D. thesis, University of the Witwatersrand, Johannesburg, South African. [Google Scholar]
- Podsakoff, Nathan P., Steven W. Whiting, Philip M. Podsakoff, and Brian D. Blume. 2009. Individual- and organizational-level consequences of organizational citizenship behaviors: A meta-analysis. Journal of Applied Psychology 94: 122–41. [Google Scholar] [CrossRef] [PubMed]
- Posthuma, Richard A., Michael C. Campion, Malika Masimova, and Michael A. Campion. 2013. A high performance work practices taxonomy: Integrating the literature and directing future research. Journal of Management 39: 1184–220. [Google Scholar] [CrossRef]
- Rawwas, Mohammed Y. A., Basharat Javed, and Muhammad Naveed Iqbal. 2018. Perception of politics and job outcomes: Moderating role of Islamic work ethic. Personnel Review 47: 74–94. [Google Scholar] [CrossRef]
- Rodríguez, Adam Rosario, Ramón Rodríguez Montalbán, and Miguel E. Martínez Lugo. 2019. Propiedades Psicométricas de la Escala de Comportamientos de Ciudadanía Organizacional (ECCO). Revista Puertoriqueña de Psicología 30: 30–46. [Google Scholar]
- Rubel, Md, and Md. H. Asibur Rahman. 2018. Effect of training and development on Organizational Citizenship Behavior (OCB): An evidence from private commercial banks in Bangladesh. Global Journal of Management and Business Research 18: 71–80. [Google Scholar]
- Ryan, John J. 2002. Work Values and Organizational Citizenship Behaviors: Values That Work for Employees and Organizations. Journal of Business and Psychology 17: 123–32. [Google Scholar] [CrossRef]
- Schaufeli, Wilmar B., and Arnold B. Bakker. 2010. Defining and measuring work engagement: Bringing clarity to the concept. In Work Engagement: A Handbook of Essential Theory and Research. London: Psychology Press, pp. 10–24. [Google Scholar]
- Schaufeli, Wilmar B., Marisa Salanova, Vicente González-romá, and Arnold B. Bakker. 2002. The measurement of engagement and burnout: A two sample confirmatory factor analytic approach. Journal of Happiness Studies 3: 71–92. [Google Scholar] [CrossRef]
- Shaheen, Musarrat, Ritu Gupta, and Y. L. N. Kumar. 2016. Exploring dimensions of teachers’ OCB from stakeholder’s perspective: A Study in India. The Qualitative Report 21: 1095–117. [Google Scholar] [CrossRef]
- Singh, Sanjay Kumar, and Ajai Pratap Singh. 2018. Interplay of organizational justice, psychological empowerment, organizational citizenship behavior, and job satisfaction in the context of circular economy. Management Decision 57: 937–52. [Google Scholar] [CrossRef]
- Tadić, Maja, Arnold B. Bakker, and Wido G. M. Oerlemans. 2015. Challenge versus hindrance job demands and well-being: A diary study on the moderating role of job resources. Journal of Occupational and Organizational Psychology 88: 702–25. [Google Scholar] [CrossRef]
- Tang, Tomas, Adrian Furnham, and Grace Davis. 2003. A cross-cultural comparison of the money ethic, the protestant work ethic, and job satisfaction: Taiwan, the USA, and the UK. International Journal of Organization Theory and Behavior 6: 175–94. [Google Scholar]
- Thanigaivel, R. Krishnan, S. Ann Liew, and Vui-Yee Koon. 2017. The effect of Human Resource Management (HRM) practices in service-oriented Organizational Citizenship Behaviour (OCB): Case of telecommunications and internet service providers in Malaysia. Asian Social Science 13: 67. [Google Scholar] [CrossRef]
- Toh, Soo Min, Frederick P. Morgeson, and Michael A. Campion. 2008. Human resource configurations: Investigating fit with the organizational context. Journal of Applied Psychology 93: 864–82. [Google Scholar] [CrossRef]
- Torlak, N. Gökhan, Cemil Kuzey, Muhamment Sait Dinç, and Taylan Budur. 2021. Links connecting nurses’ planned behavior, burnout, job satisfaction, and organizational citizenship behavior. Journal of Workplace Behavioral Health 36: 77–103. [Google Scholar] [CrossRef]
- Urbini, Flavio, Chirumbolo Antonio, and Callea Antonio. 2020. Promoting individual and organizational OCBs: The mediating role of work engagement. Behavioral Sciences 10: 138. [Google Scholar] [CrossRef]
- Van Ness, Raymond K., Kimberly Melinsky, Chery L. Buff, and Charles F. Seifert. 2010. Work ethic: Do new employees mean new work values? Journal of Managerial Issues 22: 10–34. [Google Scholar]
- Villajos, Esther, Nuria Tordera, José M. Peiró, and Marc van Veldhoven. 2019. Refinement and validation of a comprehensive scale for measuring HR practices aimed at performance-enhancement and employee-support. European Management Journal 37: 387–97. [Google Scholar] [CrossRef]
- Weber, Max. 1930. The Protestant Ethic and the Spirit of Capitalism. London: Routledge. [Google Scholar]
- Weber, Max. 1958. The Protestant Ethic and the Spirit of Capitalism. Translated by Talcott Parsons. New York: Charles Scribner’s Sons. [Google Scholar]
- Williams, Larry J., and Stella E. Anderson. 1991. Job satisfaction and organizational commitment as predictors of organizational citizenship and in-role behaviors. Journal of Management 17: 601–17. [Google Scholar] [CrossRef]
- Zúñiga, Diana Carolina, David Aguado Garcia, Jesus Rodriguez Barroso, and Jesus Maria De Miguel Calvo. 2019. Work Ethic: Analysis of differences between four generational cohorts. Anales de Psicología Annals of Psychology 35: 496–505. [Google Scholar] [CrossRef]



| Mean | SD | Alpha | 1 | 2 | 3 | 4 | 5 | 6 | 7 | 8 | 9 | 10 | ||
|---|---|---|---|---|---|---|---|---|---|---|---|---|---|---|
| 1 | WE | 89.0 | 12.3 | 0.929 | ||||||||||
| 2 | OCB | 84.8 | 5.4 | 0.888 | 0.645 ** | |||||||||
| 3 | HRP-P | 54.7 | 13.3 | 0.940 | 0.499 ** | 0.430 ** | ||||||||
| 4 | HRP-S | 32.4 | 7.7 | 0.896 | 0.435 ** | 0.408 ** | 0.728 ** | |||||||
| 5 | Centrality of work | 17.6 | 2.2 | 0.621 | 0.495 ** | 0.384 ** | 0.425 ** | 0.363 ** | ||||||
| 6 | Morality–ethics | 19.3 | 1.2 | 0.578 | 0.215 ** | 0.320 ** | 0.183 ** | 0.179 ** | 0.371 ** | |||||
| 7 | Wasted time | 17.7 | 1.9 | 0.596 | 0.336 ** | 0.344 ** | 0.274 ** | 0.284 ** | 0.408 ** | 0.376 ** | ||||
| 8 | Delay of gratification | 14.7 | 3.0 | 0.777 | 0.115 * | 0.071 | 0.292 ** | 0.232 ** | 0.308 ** | 0.117 * | 0.250 ** | |||
| 9 | Leisure | 9.9 | 3.2 | 0.712 | −0.173 ** | −0.204 ** | −0.038 | −0.041 | −0.155 ** | −0.089 | −0.081 | 0.129 * | ||
| 10 | Hard work | 17.0 | 2.8 | 0.813 | 0.197 ** | 0.220 ** | 0.308 ** | 0.243 ** | 0.525 ** | 0.286 ** | 0.384 ** | 0.414 ** | −0.131 * | |
| 11 | Self-reliance | 14.8 | 2.9 | 0.676 | 0.049 | −0.044 | 0.095 | 0.105 | 0.223 ** | 0.199 ** | 0.280 ** | 0.411 ** | 0.184 ** | 0.317 ** | 
| WE | OCB | |||||
|---|---|---|---|---|---|---|
| B | Se | R2-chng (p-Value) | B | Se | R2-chng (p-Value) | |
| HRP-P * Centrality of work | −0.0203 | 0.0157 | 0.0105 | 0.0077 | ||
| HRP-P * Morality–ethics | −0.0757 | 0.0434 | −0.0419 * | 0.0197 | 0.0112 (0.0346) | |
| HRP-P * Wasted time | −0.0186 | 0.0245 | −0.0227 * | 0.0113 | 0.0100 (0.0463) | |
| HRP-P * Delay of gratification | −0.0082 | 0.0146 | 0.0181 * | 0.0067 | 0.0191 (0.0076) | |
| HRP-P * Leisure | 0.0366 * | 0.0126 | 0.0193 (0.0039) | 0.0158 * | 0.0059 | 0.0184 (0.0076) | 
| HRP-P * Hard work | −0.0005 | 0.0142 | 0.006 | 0.0066 | ||
| HRP-P * Self-reliance | −0.0022 | 0.0165 | 0.0097 | 0.0077 | ||
| HRP-S * Centrality of work | −0.0614 * | 0.0268 | 0.0111 (0.0226) | 0.0132 | 0.013 | |
| HRP-S * Morality–ethics | −0.0354 | 0.0835 | −0.1144 * | 0.0365 | 0.0243 (0.0019) | |
| HRP-S * Wasted time | −0.0355 | 0.0439 | −0.0407 * | 0.0198 | 0.0108 (0.0403) | |
| HRP-S * Delay of gratification | −0.006 | 0.0253 | 0.0172 | 0.0115 | ||
| HRP-S * Leisure | 0.0470 * | 0.0215 | 0.0119 (0.0295) | 0.0148 | 0.0098 | |
| HRP-S * Hard work | −0.0188 | 0.0244 | −0.0023 | 0.0111 | ||
| HRP-S * Self-reliance | −0.0217 | 0.0298 | 0.0056 | 0.0136 | ||
| Publisher’s Note: MDPI stays neutral with regard to jurisdictional claims in published maps and institutional affiliations. | 
© 2022 by the authors. Licensee MDPI, Basel, Switzerland. This article is an open access article distributed under the terms and conditions of the Creative Commons Attribution (CC BY) license (https://creativecommons.org/licenses/by/4.0/).
Share and Cite
Zúñiga, C.; Aguado, D.; Cabrera-Tenecela, P. Values That Work: Exploring the Moderator Role of Protestant Work Ethics in the Relationship between Human Resources Practices and Work Engagement and Organizational Citizenship Behavior. Adm. Sci. 2022, 12, 11. https://doi.org/10.3390/admsci12010011
Zúñiga C, Aguado D, Cabrera-Tenecela P. Values That Work: Exploring the Moderator Role of Protestant Work Ethics in the Relationship between Human Resources Practices and Work Engagement and Organizational Citizenship Behavior. Administrative Sciences. 2022; 12(1):11. https://doi.org/10.3390/admsci12010011
Chicago/Turabian StyleZúñiga, Carolina, David Aguado, and Patricio Cabrera-Tenecela. 2022. "Values That Work: Exploring the Moderator Role of Protestant Work Ethics in the Relationship between Human Resources Practices and Work Engagement and Organizational Citizenship Behavior" Administrative Sciences 12, no. 1: 11. https://doi.org/10.3390/admsci12010011
APA StyleZúñiga, C., Aguado, D., & Cabrera-Tenecela, P. (2022). Values That Work: Exploring the Moderator Role of Protestant Work Ethics in the Relationship between Human Resources Practices and Work Engagement and Organizational Citizenship Behavior. Administrative Sciences, 12(1), 11. https://doi.org/10.3390/admsci12010011
 
        

 
       