Smart Formulation: AI-Driven Web Platform for Optimization and Stability Prediction of Compounded Pharmaceuticals Using KNIME
Abstract
1. Introduction
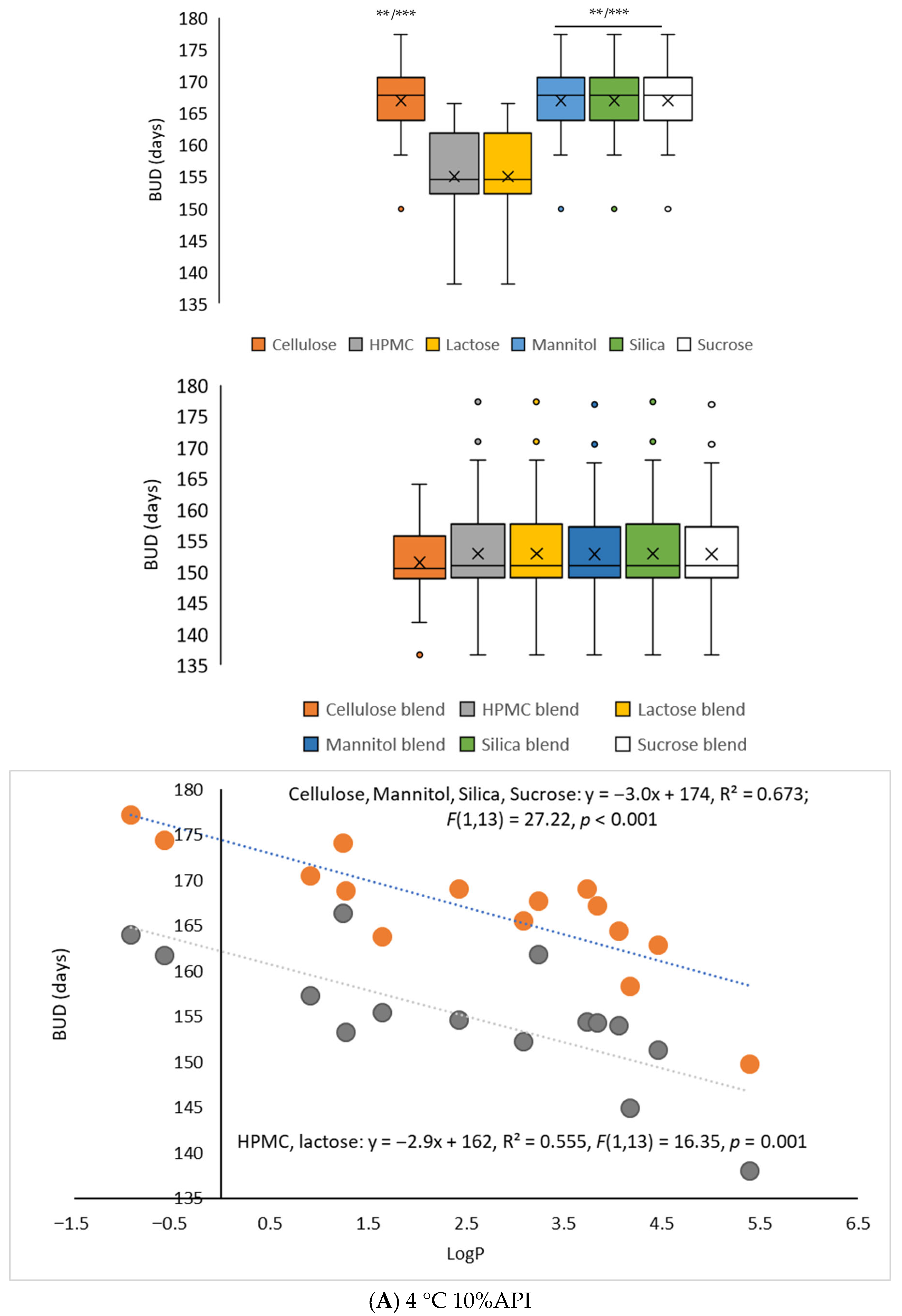
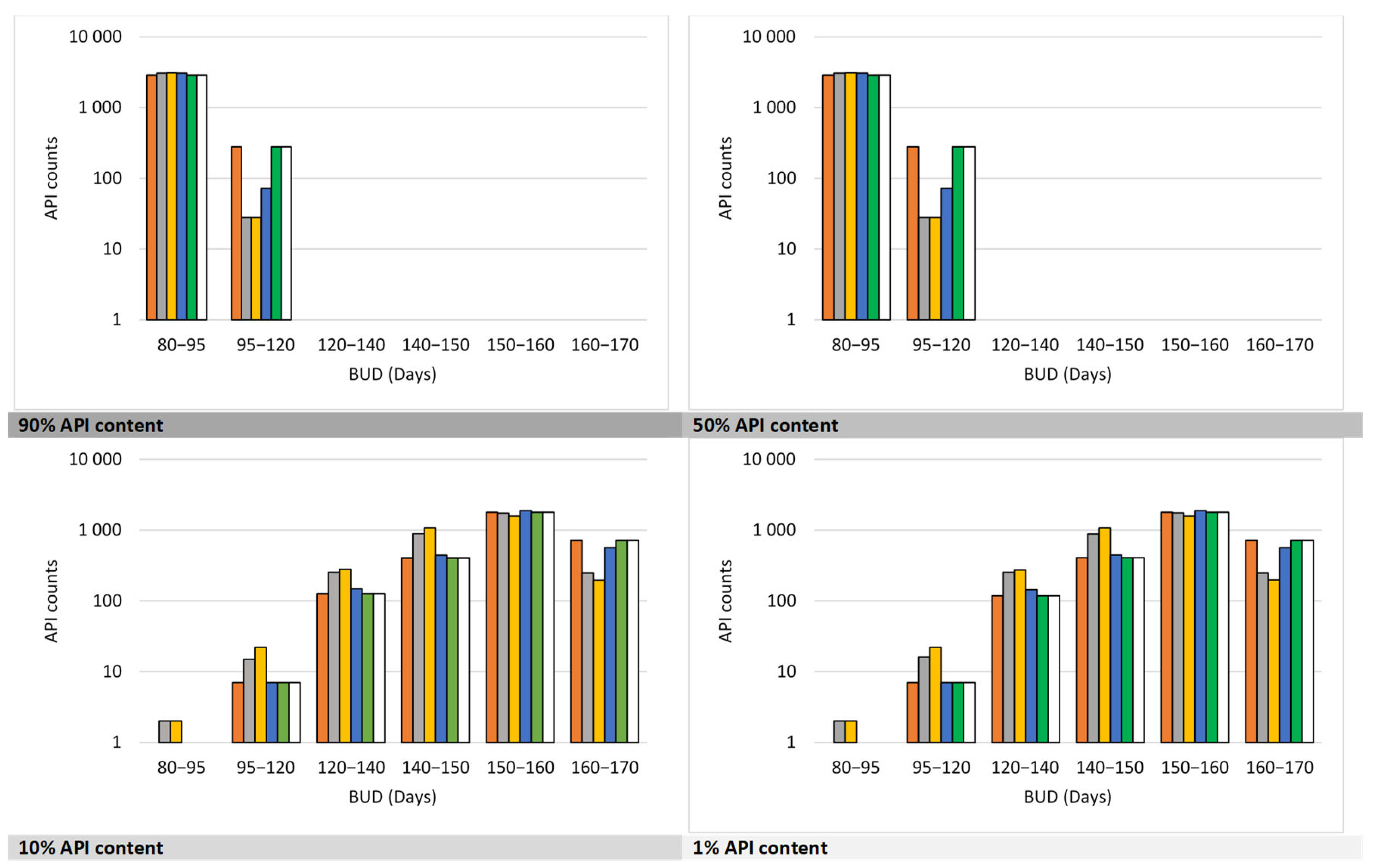
2. Results and Discussion
2.1. AMF-DB and Smart Formulation Development and Model Evaluation

| Metrics | Single Decision Method | Ensemble Methods | Boosting Methods | ||||
|---|---|---|---|---|---|---|---|
| Decision Trees | Random Forests | Random Forest Regression | Tree Ensembles | Tree Ensembles Regression | Gradient Boosted Trees | Gradient Boosted Trees Regression | |
| R2 | 0.93 | 0.758 | 0.536 | 0.491 | 0.975 | −0.447 | 0.849 |
| Mean Absolute Error (MAE) | 9 | 17.94 | 48.86 | 24.54 | 10.16 | 98.17 | 19.45 |
| Mean Squared Error (MSE) | 912.90 | 3160.86 | 6073.61 | 6661.17 | 358.16 | 18,931.90 | 1972.69 |
| Root Mean Squared Error (RMSE) | 30.21 | 56.22 | 77.93 | 81.62 | 18.93 | 137.60 | 44.42 |
| Mean Signed Difference (MSD) | −1.17 | 8.34 | 20.20 | 24.54 | −0.13 | −76.46 | −7.15 |
| Mean Absolute Percentage Error (MAPE) | 0.05 | 0.23 | 0.59 | 0.44 | 0.064 | 0.50 | 0.16 |
2.2. Model Validation and Performance Testing
2.3. Web Integration
2.4. Limitations and Future Work
3. Materials and Methods
3.1. Smart Formulation Development
3.2. Model Evaluation
3.3. Model Validation and Performance Testing
3.4. Web Integration
4. Conclusions
Supplementary Materials
Author Contributions
Funding
Institutional Review Board Statement
Informed Consent Statement
Data Availability Statement
Acknowledgments
Conflicts of Interest
References
- Seghers, F.; Taylor, M.M.; Storey, A.; Dong, J.; Wi, T.C.; Wyber, R.; Ralston, K.; Nguimfack, B.D. Securing the Supply of Benzathine Penicillin: A Global Perspective on Risks and Mitigation Strategies to Prevent Future Shortages. Int. Health 2024, 16, 279–282. [Google Scholar] [CrossRef]
- European Drug Shortages Formulary Project: Approval of Framework and Procedure Documents—European Directorate for the Quality of Medicines & HealthCare—EDQM. Available online: https://www.edqm.eu/en/-/european-drug-shortages-formulary-project-approval-of-framework-and-procedure-documents (accessed on 26 March 2025).
- Mian, P.; Maurer, J.M.; Touw, D.J.; Vos, M.J.; Rottier, B.L. Pharmacy Compounded Pilocarpine: An Adequate Solution to Overcome Shortage of Pilogel® Discs for Sweat Testing in Patients with Cystic Fibrosis. J. Cyst. Fibros. 2024, 23, 126–131. [Google Scholar] [CrossRef] [PubMed]
- Allen, L.V. PreScription: Shortages Continue—Compounding Pharmacies Fill the Gap… Again! Int. J. Pharm. Compd. 2023, 27, 180. [Google Scholar] [PubMed]
- Gudeman, J.; Jozwiakowski, M.; Chollet, J.; Randell, M. Potential Risks of Pharmacy Compounding. Drugs RD 2013, 13, 1–8. [Google Scholar] [CrossRef]
- Watson, C.J.; Whitledge, J.D.; Siani, A.M.; Burns, M.M. Pharmaceutical Compounding: A History, Regulatory Overview, and Systematic Review of Compounding Errors. J. Med. Toxicol. 2021, 17, 197–217. [Google Scholar] [CrossRef]
- Timko, R.J.; Crooker, P.E.M. Pharmaceutical Compounding or Pharmaceutical Manufacturing? A Regulatory Perspective. Int. J. Pharm. Compd. 2014, 18, 101–111. [Google Scholar]
- Timko, R.J. Applying Quality by Design Concepts to Pharmacy Compounding. Int. J. Pharm. Compd. 2015, 19, 453–463. [Google Scholar]
- Broughel, J. Allowing Compounding Pharmacies to Address Drug Shortages. Int. J. Pharm. Compd. 2022, 26, 100–109. [Google Scholar]
- Merienne, C.; Filali, S.; Marchand, C.; Lapras, B.; Paillet, C.; Pirot, F. Predictive Stability, Novel HPLC-MS Analysis and Semi-Automatic Compounding Process for the Emergency Implementation of a Production Line of Pancuronium in Injectable Solution. Eur. J. Pharm. Sci. 2023, 187, 106464. [Google Scholar] [CrossRef]
- Patel, T.; Patel, M.; Shah, U.; Patel, A.; Patel, S.; Solanki, N.; Shah, S. Comprehensive Analysis of Aspirin and Apixaban: Thedevelopment, Validation, and Forced Degradation Studies of Bulk Drugs and in-House Capsule Formulations Using the RP-HPLC Method. Am. J. Transl. Res. 2024, 16, 5311–5325. [Google Scholar] [CrossRef]
- USP-NF. <795> Pharmaceutical Compounding—Nonsterile Preparations. In United States Pharmacopeia; USP-NF: Rockville, MD, USA, 2023. [Google Scholar] [CrossRef]
- USP-NF. <797> Pharmaceutical Compounding—Sterile Preparations. Available online: https://online.uspnf.com/uspnf/document/1_GUID-A4CAAA8B-6F02-4AB8-8628-09E102CBD703_8_en-US?source=Search%20Results&highlight=797 (accessed on 26 March 2025).
- European Pharmacopoeia. Pharmaceutical Preparations. In European Pharmacopoeia 11.4; European Pharmacopoeia: Strasbourg, France, 2024; Volume 2619. [Google Scholar]
- Huanbutta, K.; Burapapadh, K.; Kraisit, P.; Sriamornsak, P.; Ganokratanaa, T.; Suwanpitak, K.; Sangnim, T. Artificial Intelligence-Driven Pharmaceutical Industry: A Paradigm Shift in Drug Discovery, Formulation Development, Manufacturing, Quality Control, and Post-Market Surveillance. Eur. J. Pharm. Sci. 2024, 203, 106938. [Google Scholar] [CrossRef] [PubMed]
- Noorain; Srivastava, V.; Parveen, B.; Parveen, R. Artificial Intelligence in Drug Formulation and Development: Applications and Future Prospects. Curr. Drug Metab. 2023, 24, 622–634. [Google Scholar] [CrossRef] [PubMed]
- Gholap, A.D.; Uddin, M.J.; Faiyazuddin, M.; Omri, A.; Gowri, S.; Khalid, M. Advances in Artificial Intelligence for Drug Delivery and Development: A Comprehensive Review. Comput. Biol. Med. 2024, 178, 108702. [Google Scholar] [CrossRef] [PubMed]
- Wang, W.; Ye, Z.; Gao, H.; Ouyang, D. Computational Pharmaceutics—A New Paradigm of Drug Delivery. J. Control. Release 2021, 338, 119–136. [Google Scholar] [CrossRef]
- Vora, L.K.; Gholap, A.D.; Jetha, K.; Thakur, R.R.S.; Solanki, H.K.; Chavda, V.P. Artificial Intelligence in Pharmaceutical Technology and Drug Delivery Design. Pharmaceutics 2023, 15, 1916. [Google Scholar] [CrossRef]
- Jiang, J.; Ma, X.; Ouyang, D.; Williams, R.O., III. Emerging Artificial Intelligence (AI) Technologies Used in the Development of Solid Dosage Forms. Pharmaceutics 2022, 14, 2257. [Google Scholar] [CrossRef]
- Dong, J.; Gao, H.; Ouyang, D. PharmSD: A Novel AI-Based Computational Platform for Solid Dispersion Formulation Design. Int. J. Pharm. 2021, 604, 120705. [Google Scholar] [CrossRef]
- Han, R. Predicting Physical Stability of Solid Dispersions by Machine Learning Techniques. J. Control. Release 2019, 311–312, 16–25. [Google Scholar] [CrossRef]
- Nowotka, M.; Gaulton, A.; Mendez, D.; Bento, A.; Hersey, A.; Leach, A. Using ChEMBL Web Services for Building Applications and Data Processing Workflows Relevant to Drug Discovery. Expert Opin. Drug Discov. 2017, 12, 757–767. [Google Scholar] [CrossRef]
- Takada, N.; Ohmori, N.; Okada, T. Mining Basic Active Structures from a Large-Scale Database. J. Cheminf. 2013, 5, 15. [Google Scholar] [CrossRef]
- Taketomo, C.K.; Chu, S.A.; Cheng, M.H.; Corpuz, R.P. Stability of Captopril in Powder Papers under Three Storage Conditions. Am. J. Hosp. Pharm. 1990, 47, 1799–1801. [Google Scholar] [CrossRef]
- Helin, M.M.; Kontra, K.M.; Naaranlahti, T.J.; Wallenius, K.J. Content Uniformity and Stability of Nifedipine in Extemporaneously Compounded Oral Powders. Am. J. Health Syst. Pharm. 1998, 55, 1299–1301. [Google Scholar] [CrossRef]
- Rughoo, L.; Vigneron, J.; Zenier, H.; May, I.; Demoré, B. Stability Study of Amiodarone Hydrochloride in Capsules for Paediatric Patients Using a High-Performance Liquid Chromatography Method. Ann. Pharm. Francaises 2012, 70, 88–93. [Google Scholar] [CrossRef] [PubMed]
- Joshi, R.; Zheng, Z.; Agarwal, P.; Hatmal, M.M.; Chang, X.; Seidler, P.; Haworth, I.S. KNIME Workflows for Applications in Medicinal and Computational Chemistry. Artif. Intell. Chem. 2024, 2, 100063. [Google Scholar] [CrossRef]
- Moreira-Filho, J.T.; Ranganath, D.; Conway, M.; Schmitt, C.; Kleinstreuer, N.; Mansouri, K. Democratizing Cheminformatics: Interpretable Chemical Grouping Using an Automated KNIME Workflow. J. Cheminf. 2024, 16, 101. [Google Scholar] [CrossRef] [PubMed]
- Falcón-Cano, G.; Molina, C.; Cabrera-Pérez, M.Á. ADME Prediction with KNIME: In Silico Aqueous Solubility Consensus Model Based on Supervised Recursive Random Forest Approaches. ADMET DMPK 2020, 8, 251–273. [Google Scholar] [CrossRef]
- Palazzotti, D.; Fiorelli, M.; Sabatini, S.; Massari, S.; Barreca, M.L.; Astolfi, A. Q-raKtion: A Semiautomated KNIME Workflow for Bioactivity Data Points Curation. J. Chem. Inf. Model. 2022, 62, 6309–6315. [Google Scholar] [CrossRef]
- Wagner, L.A.F.; Neininger, M.P.; Hensen, J.; Zube, O.; Bertsche, T. Avoiding Incompatible Drug Pairs in Central-Venous Catheters of Patients Receiving Critical Care: An Algorithm-Based Analysis and a Staff Survey. Eur. J. Clin. Pharmacol. 2023, 79, 1081–1089. [Google Scholar] [CrossRef]
- Dong, J.; Wu, Z.; Xu, H.; Ouyang, D. FormulationAI: A Novel Web-Based Platform for Drug Formulation Design Driven by Artificial Intelligence. Brief. Bioinform. 2024, 25, bbad419. [Google Scholar] [CrossRef]
- Federal Agency for Medicines and Health Products (FAMHP). Therapeutic Magistral Form; Federal Agency for Medicines and Health Products: Brussels, Belgium, 2003; Available online: https://www.famhp.be/en/human_use/medicines/medicines/distribution_delivery/Therapeutic_Magistral_Form (accessed on 25 February 2025).
- Royal Dutch Pharmacists Association (KNMP) Formulary of Dutch Pharmacists (FNA). Available online: https://www.knmp.nl/over-de-knmp/producten-en-diensten/productzorg-bereiding-en-toediening/fna-boek-2013 (accessed on 27 March 2025).
- Deutscher Arzneimittel-Codex®/Neues Rezeptur-Formularium® (DAC/NRF). Available online: https://www.deutscher-apotheker-verlag.de/Deutscher-Arzneimittel-Codex-Neues-Rezeptur-Formularium-DAC-NRF/9783774100442 (accessed on 27 March 2025).
- Lehmann, H. Le Formulaire National de La Pharmacopée Française, Au Service de La Fabrication et Du Contrôle Des Préparations Officinales. Actual. Pharm. 2017, 56, 34–36. [Google Scholar] [CrossRef]
- Lamrabet, N.; Hess, F.; Leidig, P.; Marx, A.; Kipping, T. Exploring 3D Printing in Drug Development: Assessing the Potential of Advanced Melt Drop Deposition Technology for Solubility Enhancement by Creation of Amorphous Solid Dispersions. Pharmaceutics 2024, 16, 1501. [Google Scholar] [CrossRef]
- Yang, H.; Xu, L.; Hou, L.; Xu, T.C.; Ye, S.H. Stability of Vitamin A, E, C and Thiamine during Storage of Different Powdered Enteral Formulas. Heliyon 2022, 8, e11460. [Google Scholar] [CrossRef]
- Nurzyńska, K.; Booth, J.; Roberts, C.J.; McCabe, J.; Dryden, I.; Fischer, P.M. Long-Term Amorphous Drug Stability Predictions Using Easily Calculated, Predicted, and Measured Parameters. Mol. Pharm. 2015, 12, 3389–3398. [Google Scholar] [CrossRef]
- Veith, H.; Wiechert, F.; Luebbert, C.; Sadowski, G. Combining Crystalline and Polymeric Excipients in API Solid Dispersions—Opportunity or Risk? Eur. J. Pharm. Biopharm. 2021, 158, 323–335. [Google Scholar] [CrossRef]
- Szakonyi, G.; Zelkó, R. The Effect of Water on the Solid State Characteristics of Pharmaceutical Excipients: Molecular Mechanisms, Measurement Techniques, and Quality Aspects of Final Dosage Form. Int. J. Pharm. Investig. 2012, 2, 18–25. [Google Scholar] [CrossRef] [PubMed]
- Sheskey, P.J.; Hancock, B.C.; Moss, G.P.; Goldfarb, D.J. Handbook of Pharmaceutical Excipients, 9th ed.; Pharmaceutical Press: London, UK, 2020; ISBN 978-0-85711-375-7. [Google Scholar]










| Parameters | Correlation Value | p-Value |
|---|---|---|
| Molecular descriptors | ||
| Molecule | −0.269 | 0.204 |
| Code SMILE | −0.163 | 0.447 |
| MW | 0.305 | 0.148 |
| MW class | 0.089 | 0.678 |
| LogP | 0.503 | 0.012 |
| LogP class | 0.502 | 0.012 |
| Rotatable bonds | 0.087 | 0.686 |
| Rotatable bonds class | 0.157 | 0.464 |
| Polar surface | 0.319 | 0.129 |
| Polar surface class | −0.153 | 0.476 |
| H-donor bonds | −0.183 | 0.392 |
| H donor bonds class | −0.271 | 0.201 |
| H-acceptor bonds | −0.162 | 0.449 |
| H acceptor bonds class | −0.128 | 0.550 |
| Aromatic rings | 0.357 | 0.087 |
| Aromatic rings class | 0.283 | 0.180 |
| Molecule class | 0.439 | 0.032 |
| Molecular structure class | −0.139 | 0.517 |
| Formulation descriptors | ||
| Main excipient | 0.041 | 0.849 |
| Encoded excipients | 0.300 | 0.154 |
| Content | −0.212 | 0.321 |
| Content class | −0.269 | 0.203 |
| Conditioning and storage descriptors | ||
| Packaging | −0.200 | 0.349 |
| Packaging class | 0.145 | 0.500 |
| Temperature | −0.336 | 0.109 |
| Temperature class | −0.110 | 0.608 |
| Storage class | −0.266 | 0.209 |
| API | LogP | Shelf-Life (Raw Material) | BUD (Preparation) | Expiration Date (Specialty) ‡ | Film Coated Tablet | ||
|---|---|---|---|---|---|---|---|
| 1 EXP | 2 EXP | FormulationAI | |||||
| Acetaminophen (C) | 0.91 | 4 years; 15–25 °C a | 156–170 days | 156–171 days | 180 days | 5 EXP/5 years Claradol 500 mg | No |
| Amlodipine (besylate) (C) | 1.64 | 5 years; 15–25 °C a | 157–165 days | 148–153 days | 180 days | 3 EXP/3 years Amlodipine 10 mg | No |
| Aspirin(C) | 1.24 | 3 years; 15–25 °C a | 166–174 days | 163–173 days | 180 days | 2 EXP/3 years Aspirine du Rhône 500 mg | No |
| Atorvastatin (calcium) (A) | 5.39 | 5 years; 15–25 °C b | 136–149 days | 134–141 days | 180 days | 6 EXP/2 years Atorvastatin 80 mg | Yes |
| Clarithromycin (C) | 3.24 | 3 years; 15–25° C c | 164–170 days | 155–158 days | 180 days | 7 EXP/3 years Clarithromycine 250 mg | Yes |
| Diazepam(C) | 3.08 | 5 years; 15–25 °C a | 155–168 days | 149–154 days | 180 days | 4 EXP/3 years Diazepam 10 mg | No |
| Fluoxetine (Chlorhydrate) (C) | 1.7 | 5 years; 15–25 °C d | 144–158 days | 141–147 days | 180 days | 3 EXP/3 years Fluoxetine 20 mg | Dispersible |
| Hydrochlorothiazide (C) | −0.58 | 5 years; 15–25 °C a | 161–174 days | 161–174 days | 180 days | 5 EXP/3 years Esidrex 25 mg | No |
| Ibuprofen(C) | 3.84 | 5 years; 15–25 °C a | 156–170 days | 150 days | 180 days | 11 EXP/3 years Advil 200 mg | Yes |
| Levothyroxine (sodium) (A) | −2.3 | 2 years; 15–25 °C f | 155–171 days | 150–160 days | 180 days | 5 EXP/3 years Thyrofix 100 µg | No |
| Losartan (potassium) (C) | 4.06 | 5 years; 15–25 °C b | 154–165 days | 151–156 days | 180 days | 7 EXP/3 years Losartan 50 mg | Yes |
| Metformin (hydrochloride) (C) | −0.92 | 5 years; 15–25 °C e | 164–177 days | 164–177 days | 180 days | 4 EXP/5 years Glucophage 500 mg | No |
| Omeprazole (C) | 2.43 | 2 years; 15–25 °C a | 157–171 days | 150–160 days | 180 days | 8 EXP/3 years Omeprazole 10 mg | Enteric film |
| Prednisolone (C) | 1.27 | 3 years; 15–25 °C a | 156–171 days | 148–157 days | 180 days | 4 EXP/3 years Prednisolone 20 mg | No |
| Simvastatin (A) | 3 years; 15–25 °C a | 151–163 days | 149–155 days | 180 days /Instable ¥ | 11 EXP/2 years Simvastatine 40 mg | Yes | |
| API (API Content %) | Shelf-Life (Raw Material) | BUD (Preparation) | Expiration Date (Specialty) ‡ | ||
|---|---|---|---|---|---|
| 1 EXP | 2 EXP | MTF | |||
| Acetazolamide 250 mg (>50%) | 3–4 years; 15–25 °C b | Lactose G: 165 Pl: 167 P: 162 days | Lactose/silica G: 173 Pl: 175 P: 170 days | 60 days Lactose/silica Hard capsules n° 2 | 4 EXP/3 years Diamox 250 mg |
| Cetirizine dichlorhydrate 10 mg (<50%) | 5 years; 15–25 °C a | Lactose G: 148 Pl: 148 P: 145 days | Lactose/silica G: 162 Pl: 163 P: 159 days | 60 days Lactose/silica Hard capsules n° 3 | 5 EXP/4 years Cetirizine 10 mg |
| Chenodesoxycholic acid 250 mg (<50%) (>50%) | NA | Mannitol G: 170 Pl: 171 P: 166 days Mannitol G: 160 Pl: 161 P: 157 days | Mannitol/silica G: 154 Pl: 155 P: 150 days Mannitol/silica G: 146 Pl: 147 P: 143 days | 180 days Mannitol/silica | NA |
| Cholecalciferol 100.000 U.I/g 4, 0 mg (<50%) | NA | Lactose G: 109 Pl: 110 P: 110 days | - | 60 days Lactose | NA |
| Clindamycine 150, 300 mg Clindamycine phosphate 163.5, 327 mg (<50%) | 2 years; 15–25 °C c | Lactose G: 164 Pl: 166 P: 162 days Mannitol G: 171 Pl: 174 P: 169 days | Lactose/silica G: 170 Pl: 172 P: 168 days Mannitol/silica G: 163 Pl: 166 P: 161 days | 60 days Lactose/silica Hard capsules n° 0 60 days Mannitol/silica Hard capsules n° 0 | 4 EXP/3 years Clindamycine 150, 300 mg |
| Diosmine 500 mg (<50%) | NA | Lactose G: 142 Pl: 145 P: 144 days | Lactose/silica G: 154 Pl: 157 P: 155 days | 60 days Lactose/silica Hard capsules n° 000 | 7 EXP/3 years Diosmine 600 mg |
| Domperidone 10 mg (<50%) | NA | Lactose G: 162 Pl: 164 P: 159 days | Lactose/silica G: 172 Pl: 174 P: 169 days | 60 days Lactose/silica Hard capsules n° 3 | 10 EXP/3 years Domperidone Arrow 10 mg |
| Doxycycline 50, 100 mg Doxycycline hyclate 58, 116 mg (<50%) | 3 years; 15–25 °C c | Lactose G: 167 Pl: 170 P: 165 days Mannitol G: 175 Pl: 178 P: 173 days | Lactose/silica G: 175 Pl: 178 P: 173 days Mannitol/silica G: 167 Pl: 170 P: 165 days | 60 days Lactose/silica Hard capsules n° 1 60 days Mannitol/silica Hard capsules n° 1 | 10 EXP/3 years Doxy 50 mg, 100 mg |
| Folic acid 0.4, 4 mg (<50%) | NA | Mannitol G: 173 Pl: 176 P: 171 days | Mannitol/silica G: 165 Pl: 168 P: 163 days | 60 days Mannitol/silica | 5 EXP/30 months 0.4 mg 5 EXP/2 years 5 mg |
| Fludrocortisone acetate 0.025, 0.050, 0.1 mg (<50%) | NA | Mannitol G: 175 Pl: 177 P: 173 days | Mannitol/silica G: 170 Pl: 173 P: 168 days | 60 days Mannitol/silica Hard capsules n° 2 | 3 EXP/3 years Flucortac 50 µg 6 EXP/2 years Flucortac 0.1 mg |
| Furosemide 1 mg à 10 mg (<50%) | NA | Lactose G: 152 Pl: 154 P: 149 days | Lactose/silica G: 165 Pl: 167 P: 161 days | 60 days Lactose/silica | 4 EXP/3 years Furosemide 20 mg |
| Hydrocortisone 10, 20 mg (<50%) | 2–5 years; 15–25 °C d | Mannitol G: 140 Pl: 141 P: 136 days | Mannitol/silica G: 126 Pl: 127 P: 122 days | 60 days Mannitol/silica Hard capsules n° 2 | 4 EXP/3 years Hydrocortisone 10 mg |
| Loperamide chlorhydrate 2 mg (<50%) | 2 years; 2–8 °C e | Lactose G: 147 Pl: 148 P: 144 days | Lactose/silica G: 160 Pl: 160 P: 156 days | 60 days Lactose/silica Hard capsules n° 3 | 3 EXP/3 years Diaretyl 2 mg |
| Mebeverine chlorhydrate 135 mg (<50%) | NA | Lactose G: 159 Pl: 160 P: 157 days | Lactose/silica G: 167 Pl: 169 P: 167 days | 60 days Lactose/silica Hard capsules n° 0 | 4 EXP/3 years Mebeverine 100 mg |
| Menadione sodium bisulfite 1 mg (<50%) | NA | Mannitol G: 105 Pl: 106 P: 104 days | Mannitol/silica G: 89 Pl: 90 P: 87 days | 60 days Mannitol/silica | NA |
| Minocycline chlorhydrate dihydrate 58, 116 mg (<50%) | NA | Mannitol G: 173 Pl: 174 P: 169 days | Mannitol/silica G: 165 Pl: 166 P: 161 days | 60 days Mannitol/silica Hard capsules n° 1 | 1 excipient/2 years Minocyne 100 mg |
| Primaquine phosphate 30 mg (<50%) | NA | Mannitol G: 160 Pl: 162 P: 159 days | Mannitol/silica G: 147 Pl: 148 P: 145 days | 180 days Mannitol/silica | 10 EXP/3 years Primaquine 15 mg |
| Pyridoxal phosphate 10 mg (<50%) | 5 years; 15–25 °C a | Mannitol G: 161 Pl: 164 P: 161 days | Mannitol/silica G: 149 Pl: 152 P: 149 days | 180 days Mannitol/silica | NA |
| Ranitidine 150 mg Ranitidine chlorhydrate 167.5 mg (<50%) | 36 months; 15–25 °C f | Lactose G: 155 Pl: 158 P: 153 days | Lactose/silica G: 167 Pl: 169 P: 164 days | 60 days Lactose/silica Hard capsules n° 00 | 8 EXP/3 years Ranitine EG 150 mg |
| Retinol acetate 325.000 U.I/g 12.3 mg (<50%) | 2 years; 15–25 °C [39] | Lactose G: 154 Pl: 156 P: 150 days | - | 60 days Lactose | NA |
| Riboflavine 400 mg (<50%) (>50%) | 4 years; 15–25 °C a | Lactose G: 165 Pl: 166 P: 161 days Lactose G: 153 Pl: 155 P: 150 days | Lactose/silica G: 174 Pl: 175 P: 170 days Lactose/silica G: 164 Pl: 165 P: 160 days | 60 days Lactose/silica | NA |
| Scopolamine butylbromure 10 mg (<50%) | NA | Lactose G: 149 Pl: 152 P: 149 days | Lactose/silica G: 164 Pl: 166 P: 163 days | 60 days Lactose/silica | NA |
| Simvastatin 5, 20, 40 mg (<50%) | 3 years; 15–25 °C a | Lactose G: 157 Pl: 157 P: 153 days | Lactose/silica G: 167 Pl: 167 P:164 days | 60 days Lactose/silica Hard capsules n° 2 | 11 EXP/2 years Simvastatine Accord 10, 20, 40 mg |
| Spironolactone 25 mg (<50%) | 5 years; 15–25 °C a | Lactose G: 162 Pl: 164 P: 159 days | Lactose/silica G: 172 Pl: 174 P: 169 days | 60 days Lactose/silica | 5 EXP/18 months Aldactone 25 mg |
| Sulpiride 50 mg (<50%) | NA | Lactose G: 138 Pl: 138 P: 138 days | Lactose/silica G: 149 Pl: 150 P:150 days | 60 days Lactose/silica | 4 EXP/2 years Dogmatil 50 mg |
| Triamcinolone 4 mg (<50%) | NA | Mannitol G: 158 Pl: 158 P: 156 days | Mannitol/silica G: 149 Pl: 149 P: 147 days | 60 days Mannitol/silica Hard capsules n° 2 | NA |
| Trimethoprime 50 mg (<50%) | NA | Lactose G: 163 Pl: 165 P: 160 days Mannitol G: 172 Pl: 174 P: 169 days | Lactose/silica G: 172 Pl: 174 P: 169 days Mannitol/silica G: 163 Pl: 165 P: 160 days | 60 days Lactose/silica Hard capsules n° 3 60 days Mannitol/silica Hard capsules n° 3 | 5 EXP/3 years Delprim 300 mg |
| Trimethoprime 300 mg (>50%) | Lactose G: 153 Pl: 155 P: 151 days Mannitol G: 163 Pl: 166 P: 161 days | Lactose/silica G: 163 Pl: 166 P: 161 days Mannitol/silica G: 153 Pl: 155 P: 151 days | 60 days Lactose/silica Hard capsules n° 1 60 days Mannitol/silica Hard capsules n° 1 | ||
| API | MW | LogP | RB | PS | HBD | HBA | AR | MC | MSC | Excipients | Cond. | Content | T | BUD | ||
|---|---|---|---|---|---|---|---|---|---|---|---|---|---|---|---|---|
| Main | Other | (mg) | (%) | °C | (Days) | |||||||||||
| Acetylsalicylic acid | 180.16 | 1.24 | 2 | 63.60 | 1 | 3 | 1 | 30 | 5 | Lactose | - | ND | 4 | 4 | 25 | 365 |
| 19 | 4 | 25 | 365 | |||||||||||||
| 56 | 4 | 25 | 365 | |||||||||||||
| 76 | 4 | 25 | 365 | |||||||||||||
| Alpha-tocopherol acetate | 472.74 | 10.42 | 13 | 35.53 | 0 | 3 | 1 | 53 | 9 | Lactose | - | G | 100 | 56 | 8 | 60 |
| 100 | 56 | 25 | 60 | |||||||||||||
| 4-Aminopyridine | 94.12 | −0.07 | 1 | 38.91 | 1 | 2 | 1 | 24 | 4 | Lactose | Silica | Pl | 5 | 2 | 25 | 180 |
| 5 | 2 | 40 | 30 | |||||||||||||
| 3,4-Diaminopyridine | 109.13 | −0.9 | 0 | 64.93 | 1 | 2 | 1 | 25 | 5 | Lactose | Silica | Pl | 5 | 2 | 4 | 180 |
| 5 | 2 | 25 | 180 | |||||||||||||
| Amiodarone Hydrochloride | 681.78 | 7.64 | 11 | 42.68 | 1 | 4 | 3 | 52 | 9 | Cellulose | - | ND | 5 | 2 | 25 | 30 |
| 20 | 10 | 25 | 30 | |||||||||||||
| 50 | 25 | 25 | 30 | |||||||||||||
| Mannitol | - | G | 10 | 4 | 25 | 365 | ||||||||||
| 60 | 25 | 25 | 365 | |||||||||||||
| 100 | 50 | 25 | 365 | |||||||||||||
| Amoxicillin trihydrate | 365.41 | −2.31 | 4 | 132.96 | 4 | 6 | 1 | 28 | 8 | - | - | Pl | 125 | 100 | 25 | 90 |
| 250 | 100 | 25 | 56 | |||||||||||||
| 250 | 100 | 40 | 56 | |||||||||||||
| 500 | 100 | 25 | 90 | |||||||||||||
| Atenolol | 266.34 | 0.43 | 6 | 84.58 | 2 | 5 | 1 | 30 | 7 | Cellulose | - | PI | 25 | 50 | 30 | 120 |
| Captopril | 217.29 | 0.28 | 3 | 95.00 | 2 | 4 | 0 | 29 | 6 | Lactose | - | P | 2 | 2 | 25 | 84 |
| Carbidopa | 244.24 | −1.21 | 4 | 115.81 | 5 | 5 | 1 | 27 | 7 | Cellulose | - | ND | 200 | 30 | 25 | 336 |
| Cholecalciferol | 384.64 | 7.13 | 6 | 20.53 | 1 | 1 | 0 | 45 | 6 | Lactose | - | G | 0.025 | 0.008 | 8 | 60 |
| 0.025 | 0.008 | 25 | 60 | |||||||||||||
| Cholic acid | 408.57 | 2.48 | 4 | 97.99 | 3 | 5 | 0 | 37 | 7 | Silica | Lactose | Pl | 25 | 95 | 25 | 365 |
| Silica | - | Pl | 250 | 97 | 25 | 365 | ||||||||||
| Silica | Lactose | Pl | 25 | 100 | 40 | 180 | ||||||||||
| Silica | - | PI | 250 | 100 | 40 | 180 | ||||||||||
| Clonidine hydrochloride | 266.56 | 2.49 | 1 | 36.42 | 2 | 3 | 1 | 33 | 5 | Cellulose | - | ND | 0.02 | 1 | 25 | 365 |
| Cyclo- phosphamide | 261.09 | 0.10 | 5 | 41.57 | 1 | 2 | 0 | 29 | 5 | Lactose | - | ND | 10 | - | 4 | 70 |
| 25 | - | 4 | 70 | |||||||||||||
| Erythromycin | 733.94 | 2.60 | 7 | 193.91 | 5 | 14 | 0 | 46 | 11 | Cellulose | - | ND | 20 | 46 | 25 | 365 |
| Fludrocortisone acetate | 422.49 | 1.76 | 3 | 110.90 | 2 | 6 | 0 | 37 | 7 | Lactose | - | ND | 0.01 | - | 25 | 180 |
| Cellulose | - | ND | 0.01 | - | 25 | 180 | ||||||||||
| Sucrose | - | ND | 0.01 | - | 25 | 180 | ||||||||||
| Hydrocortisone | 362.47 | 1.61 | 0 | 94.00 | 3 | 5 | 1 | 35 | 6 | Lactose | - | P | 20 | 0.4 | 25 | 12 |
| Melatonin | 232.28 | 1.15 | 4 | 54.12 | 2 | 4 | 2 | 31 | 6 | Lactose | HPMC | G | 3 | 0.7 | 25 | 90 |
| Lactose | HPMC | G | 3 | 0.7 | 40 | 90 | ||||||||||
| Cellulose | - | ND | 0.5 | 0.65 | 25 | 547 | ||||||||||
| Cellulose | - | ND | 2 | 2.6 | 25 | 547 | ||||||||||
| Cellulose | - | ND | 6 | 8.4 | 25 | 547 | ||||||||||
| Lactose | - | P | 18 | 0.7 | 25 | 90 | ||||||||||
| Lactose | - | P | 18 | 0.7 | 40 | 90 | ||||||||||
| Lactose | - | P | 18 | 2 | -20 | 168 | ||||||||||
| Menadione | 172.18 | 1.89 | 0 | 34.14 | 0 | 2 | 1 | 30 | 4 | Lactose | - | G | 1 | 0.5 | 8 | 60 |
| Lactose | - | G | 1 | 0.5 | 25 | 60 | ||||||||||
| Midazolam Hydrochloride | 362.20 | 3.97 | 1 | 30.18 | 0 | 3 | 3 | 38 | 6 | Cellulose | - | ND | 1 | 1 | 25 | 365 |
| Naltrexone | 341.42 | 1.36 | 2 | 70.00 | 2 | 5 | 1 | 33 | 5 | Cellulose | - | G | 1.5 | 10 | 25 | 360 |
| Nifedipine | 346.34 | 2.56 | 4 | 107.00 | 1 | 6 | 1 | 37 | 7 | Lactose | - | P | 1 | 0.2 | 6 | 365 |
| Lactose | - | P | 1 | 0.2 | 22 | 365 | ||||||||||
| Retinyl acetate | 328.50 | 5.14 | 6 | 26.30 | 0 | 2 | 0 | 40 | 6 | Lactose | - | G | 5.5 | 1 | 8 | 60 |
| Lactose | - | G | 5.5 | 1 | 25 | 60 | ||||||||||
| Excipients | Physicochemical Properties | Functional Category | Shelf-Life † (15–25 °C) | |||||||||
|---|---|---|---|---|---|---|---|---|---|---|---|---|
| MW | LogP | RB | PS | HBD | HBA | AR | MC | MSC | Key Functional Roles | Notable Properties | ||
| Cellulose (C) a | 342.30 | −5.40 | 4 | 190.00 | 8 | 11 | 0 | 22 | 10 | Adsorbent, disintegrant, binder, diluent | Hygroscopic, used in wet/dry granulation | 4 years |
| HPMC b (A) | 1261.40 | −2.32 | 30 | 365.00 | 8 | 30 | 0 | 50 | 20 | Dispersing, solubilizing, stabilizing, thickening, film-coating, binder | Nonionic, used in extended-release tablets and film coatings | 3 years |
| Lactose (C/A) | 360.31 | −5.73 | 4 | 191.00 | 9 | 12 | 0 | 22 | 12 | Binder, filler, diluent | Exists in different crystalline forms | 3 years |
| Mannitol (C) | 182.17 | −3.73 | 2 | 131.38 | 6 | 6 | 0 | 21 | 9 | Diluent, plasticizer | Non-hygroscopic; suitable for moisture-sensitive APIs. | 5 years |
| Silica c (A) | 60.84 | −0.62 | 0 | 34.10 | 2 | 0 | 0 | 23 | 4 | Adsorbent, disintegrant, thermal stabilizer | Hygroscopic; widely used in oral formulations | 5 years |
| Sucrose (C) | 342.3 | −4.53 | 5 | 189.55 | 8 | 11 | 0 | 40 | 10 | Binder, filler | Stable at room temperature; absorbs ~1% moisture. | 5 years |
| API | % |
|---|---|
| MW (g.mol−1) | |
| 20 |
| 62 |
| 18 |
| Total | 100 |
| LogP | |
| 22 |
| 26 |
| 32 |
| 20 |
| Total | 100 |
| ATC | |
| 17 |
| 12 |
| 12 |
| 11 |
| 8 |
| 8 |
| 8 |
| 6 |
| 6 |
| 5 |
| 7 |
| Total | 100 |
Disclaimer/Publisher’s Note: The statements, opinions and data contained in all publications are solely those of the individual author(s) and contributor(s) and not of MDPI and/or the editor(s). MDPI and/or the editor(s) disclaim responsibility for any injury to people or property resulting from any ideas, methods, instructions or products referred to in the content. |
© 2025 by the authors. Licensee MDPI, Basel, Switzerland. This article is an open access article distributed under the terms and conditions of the Creative Commons Attribution (CC BY) license (https://creativecommons.org/licenses/by/4.0/).
Share and Cite
Grigoryan, A.; Helfrich, S.; Lequeux, V.; Lapras, B.; Marchand, C.; Merienne, C.; Bruno, F.; Mazet, R.; Pirot, F. Smart Formulation: AI-Driven Web Platform for Optimization and Stability Prediction of Compounded Pharmaceuticals Using KNIME. Pharmaceuticals 2025, 18, 1240. https://doi.org/10.3390/ph18081240
Grigoryan A, Helfrich S, Lequeux V, Lapras B, Marchand C, Merienne C, Bruno F, Mazet R, Pirot F. Smart Formulation: AI-Driven Web Platform for Optimization and Stability Prediction of Compounded Pharmaceuticals Using KNIME. Pharmaceuticals. 2025; 18(8):1240. https://doi.org/10.3390/ph18081240
Chicago/Turabian StyleGrigoryan, Artur, Stefan Helfrich, Valentin Lequeux, Benjamine Lapras, Chloé Marchand, Camille Merienne, Fabien Bruno, Roseline Mazet, and Fabrice Pirot. 2025. "Smart Formulation: AI-Driven Web Platform for Optimization and Stability Prediction of Compounded Pharmaceuticals Using KNIME" Pharmaceuticals 18, no. 8: 1240. https://doi.org/10.3390/ph18081240
APA StyleGrigoryan, A., Helfrich, S., Lequeux, V., Lapras, B., Marchand, C., Merienne, C., Bruno, F., Mazet, R., & Pirot, F. (2025). Smart Formulation: AI-Driven Web Platform for Optimization and Stability Prediction of Compounded Pharmaceuticals Using KNIME. Pharmaceuticals, 18(8), 1240. https://doi.org/10.3390/ph18081240

