2-Aminothiophene Derivatives—New Drug Candidates Against Leishmaniasis: Drug Design, Synthesis, Pharmacomodulation, and Antileishmanial Activity
Abstract
1. Introduction

2. Results and Discussion
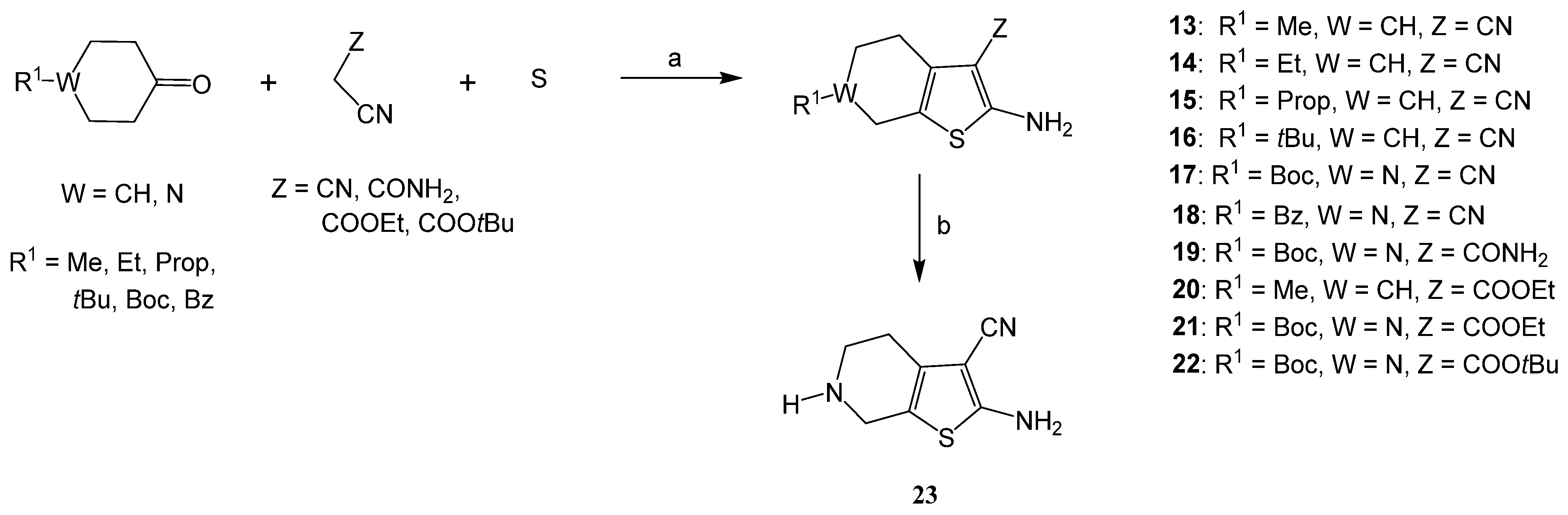
2.1. Synthesis
2.2. Pharmacomodulation Study
2.2.1. Effect of Cycloalkyl Substituent Attached to C-4/C-5
2.2.2. Chemical Stability Assay
2.2.3. Effect of the Absence of the Indole Substituent
2.2.4. Effect of Substituent at C-3
2.2.5. Effect of S-Se Bioisosterism
3. Materials and Methods
3.1. Chemistry/Synthesis
3.1.1. Synthesis of 4-Unsubstituted 2-Amino-Thiophenes (1–3)
3.1.2. Synthesis of 4,5-Cyclosubstituted-2-Amino-Thiophene-3-Substituted and 2-Amino-Cyclohexyl[b]Selenophene-3-Carbonitrile Compounds (7CN, 8CN, and 4–22)
3.1.3. Deprotection Reaction of 2-Amino-6-N-Boc-Piperidine[b]Thiophene-3-Carbonitrile (17)
3.1.4. Synthesis of 2-Aminothiophene Derivatives Condensed with 5-Bromoindol-3-Carboxaldehyde (SB-83, SB-200, 8CN83, Me-6CN83, and 25–31)
3.1.5. Synthesis of 2-Aminoselenophene-Indole Hybrids (32–40)
3.1.6. Structural Identification of the Derivatives Obtained
3.2. In Vitro Anti-Leishmania and Cytotoxicity Assays
3.2.1. Parasite and Cell Cultures
3.2.2. Antileishmanial Activity of Promastigote and Axenic Amastigote Forms of L. amazonensis
3.2.3. Determination of Cytotoxicity in Macrophages and Selectivity Index (SI)
3.3. Chemical Stability Assays
4. Conclusions
Supplementary Materials
Author Contributions
Funding
Institutional Review Board Statement
Informed Consent Statement
Data Availability Statement
Acknowledgments
Conflicts of Interest
References
- World Health Organization. Leishmaniases. 2023. Available online: https://www.who.int/news-room/fact-sheets/detail/leishmaniasis (accessed on 29 September 2024).
- Burza, S.; Croft, S.L.; Boelaert, M. Leishmaniasis. Lancet 2018, 392, 951–970. [Google Scholar] [CrossRef]
- Corman, H.N.; McNamara, C.W.; Bakowski, M.A. Drug Discovery for Cutaneous Leishmaniasis: A Review of Developments in the Past 15 Years. Microorganisms 2023, 11, 2845. [Google Scholar] [CrossRef] [PubMed]
- Roatt, B.M.; De Oliveira Cardoso, J.M.; De Brito, R.C.F.; Coura-Vital, W.; De Oliveira Aguiar-Soares, R.D.; Barbosa Reis, A. Recent advances and new strategies on leishmaniasis treatment. Appl. Microbiol. Biotechnol. 2020, 104, 8965–8977. [Google Scholar] [CrossRef]
- Tabbabi, A. Review of Leishmaniasis in the Middle East and North Africa. Afr. Health Sci. 2019, 19, 1329–1337. [Google Scholar] [CrossRef] [PubMed]
- DeWinter, S.; Shahin, K.; Fernandez-Prada, C.; Greer, A.L.; Weese, J.S.; Clow, K.M. Ecological determinants of leishmaniasis vector, Lutzomyia spp.: A scoping review. Med. Vet. Entomol. 2024, 38, 393–406. [Google Scholar] [CrossRef]
- Gurel, M.S.; Tekin, B.; Uzun, S. Cutaneous leishmaniasis: A great imitator. Clin. Dermatol. 2020, 38, 140–151. [Google Scholar] [CrossRef]
- Bennis, I.; Thys, S.; Filali, H.; De Brouwere, V.; Sahibi, H.; Boelaert, M. Psychosocial impact of scars due to cutaneous leishmaniasis on high school students in Errachidia province, Morocco. Infect. Dis. Poverty 2017, 6, 46. [Google Scholar] [CrossRef] [PubMed]
- Shital, S.; Madan, E.; Selvapandiyan, A.; Kumar Ganguly, N. An update on recombinant vaccines against leishmaniasis. Indian. J. Med. Res. 2024, 160, 323–337. [Google Scholar] [CrossRef]
- Kaye, P.M.; Mohan, S.; Mantel, C.; Malhame, M.; Revill, P.; Le Rutte, E.; Parkash, V.; Layton, A.M.; Lacey, C.J.N.; Malvolti, S. Overcoming roadblocks in the development of vaccines for leishmaniasis. Expert. Rev. Vaccines 2021, 20, 1419–1430. [Google Scholar] [CrossRef]
- Ghorbani, M.; Farhoudi, R. Leishmaniasis in humans: Drug or vaccine therapy? Drug Des. Dev. Ther. 2018, 12, 25–40. [Google Scholar] [CrossRef]
- Montenegro Quiñonez, C.A.; Runge-Ranzinger, S.; Rahman, K.M.; Horstick, O. Effectiveness of vector control methods for the control of cutaneous and visceral leishmaniasis: A meta-review. PLoS Negl. Trop. Dis. 2021, 15, e0009309. [Google Scholar] [CrossRef]
- Rodriguez, F.; Iniguez, E.; Pena Contreras, G.; Ahmed, H.; Costa, T.E.M.M.; Skouta, R.; Maldonado, R.A. Development of Thiophene Compounds as Potent Chemotherapies for the Treatment of Cutaneous Leishmaniasis Caused by Leishmania major. Molecules 2018, 23, 1626. [Google Scholar] [CrossRef] [PubMed]
- Sasidharan, S.; Saudagar, P. Leishmaniasis: Where are we and where are we heading? Parasitol. Res. 2021, 120, 1541–1554. [Google Scholar] [CrossRef]
- Brannigan, J.A.; Wilkinson, A.J. Drug discovery in leishmaniasis using protein lipidation as a target. Biophys. Rev. 2021, 13, 1139–1146. [Google Scholar] [CrossRef]
- Andrade-Neto, V.V.; Cunha-Junior, E.F.; Dos Santos Faioes, V.; Pereira, T.M.; Silva, R.L.; Leon, L.L.; Torres-Santos, E.C. Leishmaniasis treatment: Update of possibilities for drug repurposing. Front. Biosci. 2018, 23, 967–996. [Google Scholar]
- Espada, C.R.; Ribeiro-Dias, F.; Dorta, M.L.; Pereira, L.I.A.; Carvalho, E.M.; Machado, P.R.; Schriefer, A.; Yokoyama-Yasunaka, J.K.U.; Coelho, A.C.; Uliana, S.R.B. Susceptibility to miltefosine in brazilian clinical isolates of Leishmania (Viannia) braziliensis. Am. J. Trop. Med. Hyg. 2017, 96, 656–659. [Google Scholar] [CrossRef]
- Duvauchelle, V.; Meffre, P.; Benfodda, Z. Green methodologies for the synthesis of 2-aminothiophene. Environ. Chem. Lett. 2023, 21, 597–621. [Google Scholar] [CrossRef]
- Duvauchelle, V.; Meffre, P.; Benfodda, Z. Recent contribution of medicinally active 2-aminothiophenes: A privileged scaffold for drug discovery. Eur. J. Med. Chem. 2022, 238, 114502. [Google Scholar] [CrossRef]
- Bozorov, K.; Nie, L.F.; Zhao, J.; Aisa, H.A. 2-Aminothiophene scaffolds: Diverse biological and pharmacological attributes in medicinal chemistry. Eur. J. Med. Chem. 2017, 140, 465–493. [Google Scholar] [CrossRef]
- Darwish, D.G.; El-Sherief, H.A.M.; Abdel-Aziz, S.A.; Abuo-Rahma, G.E.A. A decade’s overview of 2-aminothiophenes and their fused analogs as promising anticancer agents. Arch. Pharm. 2024, 357, e2300758. [Google Scholar] [CrossRef] [PubMed]
- Rodrigues, K.A.; Dias, C.N.; Néris, P.L.; Rocha, J.C.; Scotti, M.T.; Scotti, L.; Mascarenhas, S.R.; Veras, R.C.; De Medeiros, I.A.; Keesen, T.S.; et al. 2-Amino-thiophene derivatives present antileishmanial activity mediated by apoptosis and immunomodulation in vitro. Eur. J. Med. Chem. 2015, 106, 1–14. [Google Scholar] [CrossRef] [PubMed]
- Rodrigues, K.A.D.F.; Silva, D.K.F.; Serafim, V.L.; Andrade, P.N.; Alves, A.F.; Tafuri, W.L.; Batista, T.M.; Mangueira, V.M.; Sobral, M.V.; Moura, R.O.; et al. SB-83, a 2-Amino-thiophene derivative orally bioavailable candidate for the leishmaniasis treatment. Biomed. Pharmacother. 2018, 108, 1670–1678. [Google Scholar] [CrossRef]
- Félix, M.B.; De Souza, E.R.; De Lima, M.D.C.A.; Frade, D.K.G.; Serafim, V.L.; Rodrigues, K.A.D.F.; Néris, P.L.D.N.; Ribeiro, F.F.; Scotti, L.; Scotti, M.T.; et al. Antileishmanial activity of new thiophene-indole hybrids: Design, synthesis, biological and cytotoxic evaluation, and chemometric studies. Bioorg. Med. Chem. 2016, 24, 3972–3977. [Google Scholar] [CrossRef]
- Félix, M.B.; De Araújo, R.S.A.; Barros, R.P.C.; De Simone, C.A.; Rodrigues, R.R.L.; De Lima Nunes, T.A.; Da Franca Rodrigues, K.A.; Junior, F.J.B.M.; Muratov, E.; Scotti, L.; et al. Computer-Assisted Design of Thiophene-Indole Hybrids as Leishmanial Agents. Curr. Top. Med. Chem. 2020, 20, 1704–1719. [Google Scholar] [CrossRef]
- Luna, I.S.; Souza, T.A.; Da Silva, M.S.; Franca Rodrigues, K.A.D.; Scotti, L.; Scotti, M.T.; Mendonça-Junior, F.J.B. Computer-Aided drug design of new 2-amino-thiophene derivatives as antileishmanial agents. Eur. J. Med. Chem. 2023, 250, 115223. [Google Scholar] [CrossRef]
- Gewald, K.; Schinke, E.; Böttcher, H. Heterocyclen aus CH-Aciden Nitrilen, VIII. 2-Amino-Thiophene aus Methylenaktiven Nitrilen, Carbonylverbindungen und Schwefel. Chem. Ber. 1966, 99, 94–100. [Google Scholar] [CrossRef]
- Puterová, Z.; Krutosíková, A.; Végh, D. Gewald reaction synthesis, properties and applications of substituted 2-aminothiophenes. Arkivoc 2010, 2010, 209–246. [Google Scholar] [CrossRef]
- Sedlák, M.; Pravda, M.; Staud, F.; Kubicová, L.; Týčová, K.; Ventura, K. Synthesis of pH-sensitive amphotericin B–poly(ethylene glycol) conjugates and study of their controlled release in vitro. Bioorg. Med. Chem. 2007, 15, 4069–4076. [Google Scholar] [CrossRef]
- Nogueira, C.W.; Barbosa, N.V.; Rocha, J.B.T. Toxicology and pharmacology of synthetic organoselenium compounds: An update. Arch. Toxicol. 2021, 95, 1179–1226. [Google Scholar]
- Gallo-Rodriguez, C.; Rodriguez, J.B. Organoselenium Compounds in Medicinal Chemistry. ChemMedChem 2024, 19, e202400063. [Google Scholar] [CrossRef]
- Tayebee, R.; Ahmadi, S.J.; Seresht, E.R.; Javadi, F.; Yasemi, M.A.; Hosseinpour, M.; Maleki, B. Commercial zinc oxide: A facile, efficient and eco-friendly catalyst for the one-pot three-component synthesis of multi-substituted 2-aminothiophenes via Gewald reaction. Ind. Eng. Chem. Res. 2012, 51, 14577–14582. [Google Scholar] [CrossRef]
- Li, P.; Du, J.; Xie, Y.; Tao, M.; Zhang, W.-Q. Highly efficient polyacrylonitrile fiber catalysts functionalized by aminopyridines for the synthesis of 3-substituted 2-aminothiophenes in water. ACS Sustain. Chem. Eng. 2016, 4, 1139–1147. [Google Scholar] [CrossRef]
- Wardakhan, W.W.; Samir, E.M. The reaction of cyclopentanone with cyanomethylene reagents: Novel synthesis of pyrazole, thiophene, and pyridazine derivatives. J. Chem. 2013, 2013, 427158. [Google Scholar] [CrossRef]
- Zhao, D.-D.; Li, L.; Fan, X.; Wu, Q.; Lin, X.-F. Bovine sérum albumin-catalyzed one-pot synthesis of 2-aminothiophenes via Gewald reaction. J. Mol. Catal. B Enzym. 2013, 95, 29–35. [Google Scholar] [CrossRef]
- Arhin, F.; Bélanger, O.; Ciblat, S.; Dehbi, M.; Delorme, D.; Dietrich, E.; Dixit, D.; LaFontaine, Y.; Lehoux, D.; Liu, J.; et al. A new class of small molecule RNA polymerase inhibitors with activity against Rifampicin-resistant Staphylococcus aureus. Bioorg. Med. Chem. 2006, 14, 5812–5832. [Google Scholar] [CrossRef]
- Hemdan, M.M.; El-Mawgoude, H.K.A. Uses of 1-(3-Cyano-4,5,6,7-tetrahydrobenzo[b]-thiophen-2-yl)-3-dodecanoylthiourea as a building block in the synthesis of fused pyrimidine and thiazine systems. Chem. Pharm. Bull. 2015, 63, 450–456. [Google Scholar] [CrossRef] [PubMed]
- Nallangi, R.; Samala, G.; Sridevi, J.P.; Yogeeswari, P.; Sriram, D. Development of antimycobacterial tetrahydrothieno [2,3-c]pyridine-3-carboxamides and hexahydrocycloocta[b]thiophene-3-carboxamides: Molecular modification from known antimycobacterial lead. Eur. J. Med. Chem. 2014, 76, 110–117. [Google Scholar] [CrossRef] [PubMed]
- Mojtahedi, M.M.; Abaee, M.S.; Mahmoodi, P.; Adib, M. Convenient synthesis of 2-aminothiophene derivatives by acceleration of Gewald reaction under ultrasonic aqueous conditions. Synth. Commun. 2010, 40, 2067–2074. [Google Scholar] [CrossRef]
- Seck, P.; Thomae, D.; Perspicace, E.; Hesse, S.; Kirsch, G. Synthesis of new selenophene and thiazole analogues of the Tacrine series. ARKIVOC 2012, 3, 431–441. [Google Scholar] [CrossRef]
- Wang, T.; Huang, X.-G.; Liu, J.; Li, B.; Wu, J.-J.; Chen, K.-X.; Zhu, W.-L.; Xu, X.-Y.; Zeng, B.-B. An efficient one-pot synthesis of substituted 2-aminothiophenes via three-component Gewald reaction catalyzed by L-proline. Synlett 2010, 2010, 1351–1354. [Google Scholar] [CrossRef]
- Xu, F.; Li, Y.; Xu, F.; Ye, Q.; Han, L.; Gao, J.; Yu, W. Solvent-free synthesis of 2-aminothiophene-3-carbonitrile derivatives using high-speed vibration milling. J. Chem. Res. 2014, 38, 450–452. [Google Scholar] [CrossRef]
- Shaabani, A.; Hooshmand, S.E.; Afaridoun, H. A green chemical approach: A straightforward one-pot synthesis of 2-aminothiophene derivatives via Gewald reaction in deep eutectic solvents. Monatsh. Chem. 2017, 148, 711–716. [Google Scholar] [CrossRef]
- Kaki, V.R.; Akkinepalli, B.R.; Deb, P.K.; Pichika, M.R. Basic ionic liquid [bmIm]OH-mediated Gewald reaction as green protocol for the synthesis of 2-aminothiophenes. Synth. Commun. 2015, 45, 119–126. [Google Scholar] [CrossRef]
- Katzman, B.M.; Perszyk, R.E.; Yuan, H.; Tahirovic, Y.A.; Sotimehin, A.E.; Traynelis, S.F.; Liotta, D.C. A novel class of negative allosteric modulators of NMDA receptor function. Bioorg. Med. Chem. Lett. 2015, 25, 5583–5588. [Google Scholar] [CrossRef]
- Cruz, R.M.D.; Zelli, R.; Benhsain, S.; Cruz, R.M.D.; Siqueira-Júnior, J.P.; Décout, J.-L.; Mingeot-Leclercq, M.-P.; Mendonça-Junior, F.J.B. Synthesis and evaluation of 2-aminothiophene derivatives as Staphylococcus aureus efflux pump inhibitors. ChemMedChem 2020, 15, 716–725. [Google Scholar] [CrossRef] [PubMed]
- Mekheimer, R.A.; Ameen, M.A.; Sadek, K.U. Solar thermochemical reactions II1: Synthesis of 2-aminothiophenes via Gewald reaction induced by solar thermal energy. Chin. Chem. Lett. 2008, 19, 788–790. [Google Scholar] [CrossRef]
- Rubio-Hernández, M.; Alcolea, V.; Pérez-Silanes, S. Potential of sulfur-selenium isosteric replacement as a strategy for the development of new anti-chagasic drugs. Acta Trop. 2022, 233, 106547. [Google Scholar] [CrossRef] [PubMed]
- Pedreira, J.G.B.; Silva, R.R.; Noël, F.G.; Barreiro, E.J. Effect of S–Se Bioisosteric Exchange on Affinity and Intrinsic Efficacy of Novel N-acylhydrazone Derivatives at the Adenosine A2A Receptor. Molecules 2021, 26, 7364. [Google Scholar] [CrossRef] [PubMed]
- Gong, L.; Kang, J. Drug target deconvolution by chemical proteomics. Se Pu 2020, 38, 877–879. [Google Scholar] [PubMed]
- Wilkinson, I.V.L.; Terstappen, G.C.; Russell, A.J. Combining experimental strategies for successful target deconvolution. Drug Discov. Today. 2020, 25, 1998–2005. [Google Scholar] [CrossRef]
- Chen, H.; King, F.J.; Zhou, B.; Wang, Y.; Canedy, C.J.; Hayashi, J.; Zhong, Y.; Chang, M.W.; Pache, L.; Wong, J.L.; et al. Drug target prediction through deep learning functional representation of gene signatures. Nat. Commun. 2024, 15, 1853. [Google Scholar] [CrossRef]






![]() | ||||
|---|---|---|---|---|
| Compound | Chemical Structures | IC50 | CC50 | |
| Promastigotes | Amastigotes | |||
| 24 | ![]() | >10.0 | >10.0 | n.t. |
| 25 * | ![]() | >10.0 | >10.0 | n.t. |
| SB-83# | ![]() | 3.37 | 18.50 | 113.4 |
| SB-200# | ![]() | 3.65 | 20.09 | 32.0 |
| 8CN83 * | ![]() | 4.75 | 3.80 | >100 |
| 26 * | ![]() | >10.0 | >10.0 | n.t. |
| Me-6CN83 * | ![]() | 9.90 | 8.72 | >100 |
| 27 | ![]() | >10.0 | >10.0 | n.t. |
| 28 | ![]() | 8.12 | >10.0 | n.t. |
| 29 | ![]() | >10.0 | >10.0 | n.t. |
| 30 * | ![]() | >10.0 | >10.0 | n.t. |
| 31 | ![]() | >10.0 | >10.0 | n.t. |
| Meglumine antimoniate | 70.33 | 2.7 | 2.7 | |
| Amphotericin B | 0.17 | 0.23 | 0.18 | |
| Compound | Chemical Structures | IC50 | CC50 | |
|---|---|---|---|---|
| Promastigotes | Amastigotes | |||
| 1 | ![]() | >10.0 | >10.0 | n.t. |
| 4 | ![]() | >10.0 | >10.0 | n.t. |
| 5 * | ![]() | >10.0 | n.t. | 125.40 |
| 7CN * | ![]() | 3.14 | 2.79 | 99.52 |
| 8CN * | ![]() | 1.20 | 2.60 | 43.90 |
| 13 | ![]() | >10.0 | >10.0 | n.t. |
| 14 | ![]() | >10.0 | >10.0 | n.t. |
| 15 | ![]() | 9.2 | 9.3 | n.t. |
| 16 | ![]() | >10.0 | >10.0 | n.t. |
| 23 | ![]() | >10.0 | >10.0 | n.t. |
| 17 | ![]() | 8.61 | >10.0 | n.t. |
| 18 | ![]() | >10.0 | >10.0 | n.t. |
| Meglumine antimoniate | 58.9 | 2.7 | 44.9 | |
| Amphotericin B | 0.30 | 0.23 | 0.30 | |
| Compounds | Chemical Structures | IC50 | CC50 | |
|---|---|---|---|---|
| Promastigotes | Amastigotes | |||
| 2 | ![]() | >10.0 | >10.0 | n.t. |
| 7 | ![]() | >10.0 | >10.0 | n.t. |
| 8 | ![]() | >10.0 | >10.0 | n.t. |
| 19 | ![]() | 9.35 | >10.0 | 309.7 |
| 3 | ![]() | >10.0 | >10.0 | n.t. |
| 9 | ![]() | >10.0 | n.t. | n.t. |
| 10 | ![]() | >10.0 | n.t. | n.t. |
| 11 | ![]() | >10.0 | n.t. | n.t. |
| 20 | ![]() | >10.0 | n.t. | n.t. |
| 21 | ![]() | 3.1 | 2.9 | 220.83 |
| 22 | ![]() | 6.52 | 8.35 | 194.56 |
| Meglumine antimoniate | 67.9 | 2.77 | 2.77 | |
| Anfotericina B | 0.36 | 0.23 | 0.38 | |
![]() | ||||
|---|---|---|---|---|
| Compounds | R | Anti-Promastigotes | Cytotoxicity | SI |
| IC50 | CC50 | |||
| 32 | -H | >10.0 | n.t. | - |
| 33 | 5-CN | 9.32 | 203.46 | 21.83 |
| 34 | 4-NO2 | 2.14 | 189.37 | 88.49 |
| 35 | 5-CH3 | >10.0 | n.t. | - |
| 36 | 7-CH3 | 2.92 | 185.89 | 63.66 |
| 37 | 4-Br | 4.50 | 241.70 | 53.71 |
| 38 | 5-Br | 3.49 | 238.94 | 68.45 |
| 39 | 4-OCH3 | 2.15 | 178.46 | 83.00 |
| 40 | 5-OCH3 | >10.0 | n.t. | - |
| Amphotericin B | 0.36 | 0.38 | 1.10 | |
| Pentamidine | 42.32 | 293.79 | 6.90 | |
Disclaimer/Publisher’s Note: The statements, opinions and data contained in all publications are solely those of the individual author(s) and contributor(s) and not of MDPI and/or the editor(s). MDPI and/or the editor(s) disclaim responsibility for any injury to people or property resulting from any ideas, methods, instructions or products referred to in the content. |
© 2025 by the authors. Licensee MDPI, Basel, Switzerland. This article is an open access article distributed under the terms and conditions of the Creative Commons Attribution (CC BY) license (https://creativecommons.org/licenses/by/4.0/).
Share and Cite
de Araújo, R.S.A.; Bernardo, V.G.; Tibúrcio, R.d.S.; Bedor, D.C.G.; Campos, M.L.d.; Pontarolo, R.; de Sousa, J.M.S.; Rodrigues, K.A.d.F.; Scotti, M.T.; Nayarisseri, A.; et al. 2-Aminothiophene Derivatives—New Drug Candidates Against Leishmaniasis: Drug Design, Synthesis, Pharmacomodulation, and Antileishmanial Activity. Pharmaceuticals 2025, 18, 125. https://doi.org/10.3390/ph18010125
de Araújo RSA, Bernardo VG, Tibúrcio RdS, Bedor DCG, Campos MLd, Pontarolo R, de Sousa JMS, Rodrigues KAdF, Scotti MT, Nayarisseri A, et al. 2-Aminothiophene Derivatives—New Drug Candidates Against Leishmaniasis: Drug Design, Synthesis, Pharmacomodulation, and Antileishmanial Activity. Pharmaceuticals. 2025; 18(1):125. https://doi.org/10.3390/ph18010125
Chicago/Turabian Stylede Araújo, Rodrigo Santos Aquino, Vitória Gaspar Bernardo, Robert da Silva Tibúrcio, Danilo Cesar Galindo Bedor, Michel Leandro de Campos, Roberto Pontarolo, Julyanne Maria Saraiva de Sousa, Klinger Antonio da Franca Rodrigues, Marcus Tullius Scotti, Anuraj Nayarisseri, and et al. 2025. "2-Aminothiophene Derivatives—New Drug Candidates Against Leishmaniasis: Drug Design, Synthesis, Pharmacomodulation, and Antileishmanial Activity" Pharmaceuticals 18, no. 1: 125. https://doi.org/10.3390/ph18010125
APA Stylede Araújo, R. S. A., Bernardo, V. G., Tibúrcio, R. d. S., Bedor, D. C. G., Campos, M. L. d., Pontarolo, R., de Sousa, J. M. S., Rodrigues, K. A. d. F., Scotti, M. T., Nayarisseri, A., Marchand, P., & Mendonça-Junior, F. J. B. (2025). 2-Aminothiophene Derivatives—New Drug Candidates Against Leishmaniasis: Drug Design, Synthesis, Pharmacomodulation, and Antileishmanial Activity. Pharmaceuticals, 18(1), 125. https://doi.org/10.3390/ph18010125






































