(E)-1-(3-(3-Hydroxy-4-Methoxyphenyl)-1-(3,4,5-Trimethoxyphenyl)allyl)-1H-1,2,4-Triazole and Related Compounds: Their Synthesis and Biological Evaluation as Novel Antimitotic Agents Targeting Breast Cancer
Abstract
1. Introduction


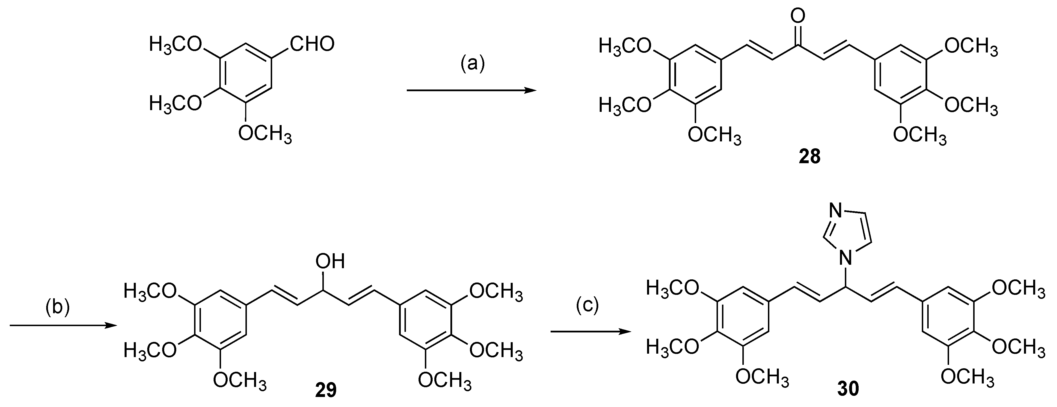
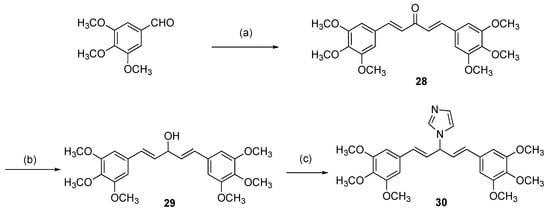
2. Chemistry


3. Biochemical Studies
3.1. Preliminary Screening of SERIES 1 Chalcone 1,2,4-Triazole Derivatives in MCF-7 Cells

3.2. Preliminary Screening of Chalcone Imidazole Derivatives in MCF-7 Cells (Series 2)
3.3. Preliminary Screening of Triazole and Imidazole Derivatives of Indanones in MCF-7 Cells (Series 3 and Series 4)


3.4. Preliminary Screening of Azole-Containing Chalcone and Indane Hybrids in Leukemia HL-60 and Triple-Negative MDA-MB-231 Breast Cancer Cells


3.5. NCI 60 Cell Line Panel Screening

3.6. Cheminformatics Analysis of Lead Compounds: Physicochemical Properties
3.7. Cytotoxicity in MCF-10A Cells

3.8. Cell Cycle and Pro-Apoptotic Effects of 22b in MCF-7 and MDA-MB-231 Breast Cancer Cells

3.9. Inhibition of Tubulin Polymerization by Compound 22b
3.10. Aromatase Inhibition by Compound 22b
3.11. Molecular Docking of Hybrids
4. Materials and Methods
4.1. Chemistry
4.1.1. General Method I: Preparation of (E)-1,3-Diarylprop-2-en-1-ols (21a–i)
4.1.2. General Method II: Preparation of Series 1 (E)-1-(1,3-Diarylallyl)-1H-1,2,4-Triazoles (22a–g)
4.1.3. General Method III: Preparation of Series 2 (E)-1-(1,3-Diarylallyl)-1H-Imidazoles (23a–e)
4.1.4. General Method IV: Preparation of Indanones (24a–i)
4.1.5. General Method V: Preparation of 3-aryl-4,5,6-Trimethoxy-2,3-Dihydro-1H-Inden-1-ols (25a–i)
4.1.6. General Method VI: Preparation of Series 3 1-(3-(aryl)-4,5,6-Trimethoxy-2,3-Dihydro-1H-Inden-1-yl)-1H-1,2,4-Triazoles (26a–e)
4.1.7. General Method VII: Preparation of Series 4 1-(3-aryl-4,5,6-Trimethoxy-2,3-Dihydro-1H-Inden-1-yl)-1H-Imidazoles (27a–i)
4.2. Biochemistry
4.2.1. Materials
4.2.2. Cell Culture
4.2.3. Cell Viability Assay (AlamarBlue)
4.2.4. Cell Cycle Analysis: Flow Cytometry
4.2.5. Annexin V/PI Apoptotic Assay
4.2.6. Immunofluorescence Microscopy
4.2.7. Tubulin Polymerization Assay
4.2.8. Cytochrome P450 Assays (CYP19 (Aromatase) and CYP1A1)
4.2.9. Computational Study: Molecular Docking
5. Conclusions
Supplementary Materials
Author Contributions
Funding
Institutional Review Board Statement
Informed Consent Statement
Data Availability Statement
Acknowledgments
Conflicts of Interest
Abbreviations
| AI | Aromatase inhibitor |
| ADC | Antibody–drug conjugate |
| ATR | Attenuated total reflection |
| BC | Breast Cancer |
| CDI | 1,1′-Carbonyldiimidazole |
| CTD | C-Terminal domain |
| CYP19 | Cytochrome P450 family |
| DEPT | Distortionless Enhancement by Polarization Transfer |
| DMEM | Dulbecco’s Modified Eagle Medium |
| DMSO | Dimethyl sulfoxide |
| ECACC | European Collection of Animal Cell Cultures |
| EGFR | Epidermal growth factor receptor |
| ER | Estrogen receptor |
| FACS | Fluorescence activated cell sorting |
| FBS | Fetal bovine serum |
| GI50 | 50% Growth inhibitory concentration |
| HER2 | Human epidermal growth factor receptor 2 |
| HER/neu | Receptor tyrosine-protein kinase erbB-2, CD340 |
| HDBC | Hormone-dependent breast cancer |
| HR | Hormone receptor |
| LC50 | Median lethal concentration |
| MBC | Metastatic breast cancer |
| MDR | Multidrug resistance |
| MEM | Minimum essential media |
| NCI | National Cancer Institute |
| NMR | Nuclear magnetic resonance |
| PARP | Poly (ADP-ribose) polymerase |
| PBS | Phosphate buffered saline |
| PBST | PBS containing 0.1% Tween |
| PI | Propidium iodide |
| PIK3CA | Phosphatidylinositol-4,5-Bisphosphate 3-Kinase Catalytic Subunit Alpha |
| PR | Progesterone receptor |
| PROTAC | Proteolysis targeting chimeric |
| SERCA | Selective estrogen receptor covalent antagonist |
| SERM | Selective estrogen receptor modulator |
| SERD | selective estrogen receptor degraders (SERD) |
| STS | Steroid sulfatase |
| TGI | Total growth inhibitory concentration |
| TLC | Thin layer chromatography |
| TNBC | Triple-negative breast cancer |
References
- WHO Breast Cancer. 2023. Available online: https://www.Who.Int/news-room/fact-sheets/detail/breast-cancer (accessed on 7 May 2024).
- Chaurasia, M.; Singh, R.; Sur, S.; Flora, S.J.S. A review of FDA approved drugs and their formulations for the treatment of breast cancer. Front. Pharmacol. 2023, 14, 1184472. [Google Scholar] [CrossRef] [PubMed]
- Tamoxifen for early breast cancer: An overview of the randomised trials. Early breast cancer trialists’ collaborative group. Lancet 1998, 351, 1451–1467.
- Viedma-Rodriguez, R.; Baiza-Gutman, L.; Salamanca-Gomez, F.; Diaz-Zaragoza, M.; Martinez-Hernandez, G.; Ruiz Esparza-Garrido, R.; Velazquez-Flores, M.A.; Arenas-Aranda, D. Mechanisms associated with resistance to tamoxifen in estrogen receptor-positive breast cancer (review). Oncol. Rep. 2014, 32, 3–15. [Google Scholar] [CrossRef] [PubMed]
- Ghanavati, M.; Young, I.; Kirezci, E.; Ranasinghe, R.; Duong, T.M.; Luijendijk, A.P. An assessment of whether long-term global changes in waves and storm surges have impacted global coastlines. Sci. Rep. 2023, 13, 11549. [Google Scholar] [CrossRef]
- Gong, L.; Tang, H.; Luo, Z.; Sun, X.; Tan, X.; Xie, L.; Lei, Y.; Cai, M.; He, C.; Ma, J.; et al. Tamoxifen induces fatty liver disease in breast cancer through the MAPK8/FoxO pathway. Clin. Transl. Med. 2020, 10, 137–150. [Google Scholar] [CrossRef]
- Downton, T.; Zhou, F.; Segara, D.; Jeselsohn, R.; Lim, E. Oral selective estrogen receptor degraders (SERDs) in breast cancer: Advances, challenges, and current status. Drug Des. Dev. Ther. 2022, 16, 2933–2948. [Google Scholar] [CrossRef]
- Puyang, X.; Furman, C.; Zheng, G.Z.; Wu, Z.J.; Banka, D.; Aithal, K.; Agoulnik, S.; Bolduc, D.M.; Buonamici, S.; Caleb, B.; et al. Discovery of selective estrogen receptor covalent antagonists for the treatment of ERalpha(WT) and ERalpha(MUT) breast cancer. Cancer Discov. 2018, 8, 1176–1193. [Google Scholar] [CrossRef]
- Lin, X.; Xiang, H.; Luo, G. Targeting estrogen receptor alpha for degradation with protacs: A promising approach to overcome endocrine resistance. Eur. J. Med. Chem. 2020, 206, 112689. [Google Scholar] [CrossRef]
- Iacopetta, D.; Ceramella, J.; Baldino, N.; Sinicropi, M.S.; Catalano, A. Targeting breast cancer: An overlook on current strategies. Int. J. Mol. Sci. 2023, 24, 3643. [Google Scholar] [CrossRef]
- Clusan, L.; Ferriere, F.; Flouriot, G.; Pakdel, F. A basic review on estrogen receptor signaling pathways in breast cancer. Int. J. Mol. Sci. 2023, 24, 6834. [Google Scholar] [CrossRef]
- Bhatia, N.; Thareja, S. Aromatase inhibitors for the treatment of breast cancer: An overview (2019–2023). Bioorg Chem. 2024, 151, 107607. [Google Scholar] [CrossRef] [PubMed]
- Iwate, S.; Nishino, T.; Inoue, H.; Nagata, N.; Satomi, Y. Antitumorigenic activities of chalcones (II). Photo-isomerization of chalcones and the correlation with their biological activities. Biol. Pharm. Bull. 1997, 20, 1266–1270. [Google Scholar] [CrossRef] [PubMed]
- Miller, W.R.; Larionov, A.A. Understanding the mechanisms of aromatase inhibitor resistance. Breast Cancer Res. 2012, 14, 201. [Google Scholar] [CrossRef] [PubMed]
- Hanker, A.B.; Sudhan, D.R.; Arteaga, C.L. Overcoming endocrine resistance in breast cancer. Cancer Cell 2020, 37, 496–513. [Google Scholar] [CrossRef]
- Cuzick, J.; Sestak, I.; Forbes, J.F.; Dowsett, M.; Cawthorn, M.; Mansel, R.E.; Loibl, S.; Bonanni, B.; Evans, D.G.; Howell, A. Use of anastrozole for breast cancer prevention (IBIS-II): Long-term results of a randomised controlled trial. Lancet 2020, 395, 117–122. [Google Scholar] [CrossRef]
- Swain, S.M.; Shastry, M.; Hamilton, E. Targeting HER2-positive breast cancer: Advances and future directions. Nat. Rev. Drug Discov. 2023, 22, 101–126. [Google Scholar] [CrossRef]
- Ye, F.; Dewanjee, S.; Li, Y.; Jha, N.K.; Chen, Z.S.; Kumar, A.; Vishakha; Behl, T.; Jha, S.K.; Tang, H. Advancements in clinical aspects of targeted therapy and immunotherapy in breast cancer. Mol. Cancer 2023, 22, 105. [Google Scholar] [CrossRef]
- Martorana, F.; Motta, G.; Pavone, G.; Motta, L.; Stella, S.; Vitale, S.R.; Manzella, L.; Vigneri, P. AKT Inhibitors: New weapons in the fight against breast cancer? Front. Pharmacol. 2021, 12, 662232. [Google Scholar] [CrossRef]
- Goldenberg, D.M.; Sharkey, R.M. Antibody-drug conjugates targeting TROP-2 and incorporating SN-38: A case study of anti-TROP-2 sacituzumab govitecansacituzumab govitecan. MAbs 2019, 11, 987–995. [Google Scholar] [CrossRef]
- Bardia, A.; Hurvitz, S.A.; Tolaney, S.M.; Loirat, D.; Punie, K.; Oliveira, M.; Brufsky, A.; Sardesai, S.D.; Kalinsky, K.; Zelnak, A.B.; et al. Sacituzumab govitecan in metastatic triple-negative breast cancer. N. Engl. J. Med. 2021, 384, 1529–1541. [Google Scholar] [CrossRef]
- Tung, N.; Garber, J.E. PARP inhibition in breast cancer: Progress made and future hopes. NPJ Breast Cancer 2022, 8, 47. [Google Scholar] [CrossRef] [PubMed]
- Bianchini, G.; Balko, J.M.; Mayer, I.A.; Sanders, M.E.; Gianni, L. Triple-negative breast cancer: Challenges and opportunities of a heterogeneous disease. Nat. Rev. Clin. Oncol. 2016, 13, 674–690. [Google Scholar] [CrossRef] [PubMed]
- Khan, M.A.; Jain, V.K.; Rizwanullah, M.; Ahmad, J.; Jain, K. PI3K/AKT/mTOR pathway inhibitors in triple-negative breast cancer: A review on drug discovery and future challenges. Drug Discov. Today 2019, 24, 2181–2191. [Google Scholar] [CrossRef] [PubMed]
- Liu, Y.; Hu, Y.; Xue, J.; Li, J.; Yi, J.; Bu, J.; Zhang, Z.; Qiu, P.; Gu, X. Advances in immunotherapy for triple-negative breast cancer. Mol. Cancer 2023, 22, 145. [Google Scholar] [CrossRef]
- Li, Y.; Zhan, Z.; Yin, X.; Fu, S.; Deng, X. Targeted therapeutic strategies for triple-negative breast cancer. Front. Oncol. 2021, 11, 731535. [Google Scholar] [CrossRef]
- Ou, Y.; Wang, M.; Xu, Q.; Sun, B.; Jia, Y. Small molecule agents for triple negative breast cancer: Current status and future prospects. Transl. Oncol. 2024, 41, 101893. [Google Scholar] [CrossRef]
- Zajec, Z.; Dernovsek, J.; Cingl, J.; Ogris, I.; Gedgaudas, M.; Zubriene, A.; Mitrovic, A.; Golic Grdadolnik, S.; Gobec, M.; Tomasic, T. New class of HSP90 C-terminal domain inhibitors with anti-tumor properties against triple-negative breast cancer. J. Med. Chem. 2024, 67, 12984–13018. [Google Scholar] [CrossRef]
- Zhuang, C.; Zhang, W.; Sheng, C.; Zhang, W.; Xing, C.; Miao, Z. Chalcone: A privileged structure in medicinal chemistry. Chem. Rev. 2017, 117, 7762–7810. [Google Scholar] [CrossRef]
- Zhou, B.; Xing, C. Diverse molecular targets for chalcones with varied bioactivities. Med. Chem. 2015, 5, 388–404. [Google Scholar] [CrossRef]
- Rudrapal, M.; Khan, J.; Dukhyil, A.A.B.; Alarousy, R.; Attah, E.I.; Sharma, T.; Khairnar, S.J.; Bendale, A.R. Chalcone scaffolds, bioprecursors of flavonoids: Chemistry, bioactivities, and pharmacokinetics. Molecules 2021, 26, 7177. [Google Scholar] [CrossRef]
- Marotta, L.; Rossi, S.; Ibba, R.; Brogi, S.; Calderone, V.; Butini, S.; Campiani, G.; Gemma, S. The green chemistry of chalcones: Valuable sources of privileged core structures for drug discovery. Front. Chem. 2022, 10, 988376. [Google Scholar] [CrossRef] [PubMed]
- Salehi, B.; Quispe, C.; Chamkhi, I.; El Omari, N.; Balahbib, A.; Sharifi-Rad, J.; Bouyahya, A.; Akram, M.; Iqbal, M.; Docea, A.O.; et al. Pharmacological properties of chalcones: A review of preclinical including molecular mechanisms and clinical evidence. Front. Pharmacol. 2020, 11, 592654. [Google Scholar] [CrossRef] [PubMed]
- Dan, W.; Dai, J. Recent developments of chalcones as potential antibacterial agents in medicinal chemistry. Eur. J. Med. Chem. 2020, 187, 111980. [Google Scholar] [CrossRef] [PubMed]
- Rajendran, G.; Bhanu, D.; Aruchamy, B.; Ramani, P.; Pandurangan, N.; Bobba, K.N.; Oh, E.J.; Chung, H.Y.; Gangadaran, P.; Ahn, B.C. Chalcone: A promising bioactive scaffold in medicinal chemistry. Pharmaceuticals 2022, 15, 1250. [Google Scholar] [CrossRef]
- Krolicka, E.; Kiec-Kononowicz, K.; Lazewska, D. Chalcones as potential ligands for the treatment of Parkinson’s disease. Pharmaceuticals 2022, 15, 847. [Google Scholar] [CrossRef]
- Yin, B.T.; Yan, C.Y.; Peng, X.M.; Zhang, S.L.; Rasheed, S.; Geng, R.X.; Zhou, C.H. Synthesis and biological evaluation of alpha-triazolyl chalcones as a new type of potential antimicrobial agents and their interaction with calf thymus DNA and human serum albumin. Eur. J. Med. Chem. 2014, 71, 148–159. [Google Scholar] [CrossRef]
- Karthikeyan, C.; Moorthy, N.S.; Ramasamy, S.; Vanam, U.; Manivannan, E.; Karunagaran, D.; Trivedi, P. Advances in chalcones with anticancer activities. Recent. Pat. Anticancer. Drug Discov. 2015, 10, 97–115. [Google Scholar] [CrossRef]
- Ducki, S.; Forrest, R.; Hadfield, J.A.; Kendall, A.; Lawrence, N.J.; McGown, A.T.; Rennison, D. Potent antimitotic and cell growth inhibitory properties of substituted chalcones. Bioorg Med. Chem. Lett. 1998, 8, 1051–1056. [Google Scholar] [CrossRef]
- Hsu, Y.L.; Kuo, P.L.; Tzeng, W.S.; Lin, C.C. Chalcone inhibits the proliferation of human breast cancer cell by blocking cell cycle progression and inducing apoptosis. Food Chem. Toxicol. 2006, 44, 704–713. [Google Scholar] [CrossRef]
- Ducki, S. The development of chalcones as promising anticancer agents. IDrugs 2007, 10, 42–46. [Google Scholar]
- Salum, L.B.; Altei, W.F.; Chiaradia, L.D.; Cordeiro, M.N.; Canevarolo, R.R.; Melo, C.P.; Winter, E.; Mattei, B.; Daghestani, H.N.; Santos-Silva, M.C.; et al. Cytotoxic 3,4,5-trimethoxychalcones as mitotic arresters and cell migration inhibitors. Eur. J. Med. Chem. 2013, 63, 501–510. [Google Scholar] [CrossRef] [PubMed]
- Ducki, S.; Rennison, D.; Woo, M.; Kendall, A.; Chabert, J.F.; McGown, A.T.; Lawrence, N.J. Combretastatin-like chalcones as inhibitors of microtubule polymerization. Part 1: Synthesis and biological evaluation of antivascular activity. Bioorg. Med. Chem. 2009, 17, 7698–7710. [Google Scholar] [CrossRef] [PubMed]
- Ducki, S.; Mackenzie, G.; Greedy, B.; Armitage, S.; Chabert, J.F.; Bennett, E.; Nettles, J.; Snyder, J.P.; Lawrence, N.J. Combretastatin-like chalcones as inhibitors of microtubule polymerisation. Part 2: Structure-based discovery of alpha-aryl chalcones. Bioorg. Med. Chem. 2009, 17, 7711–7722. [Google Scholar] [CrossRef]
- Canela, M.D.; Noppen, S.; Bueno, O.; Prota, A.E.; Bargsten, K.; Saez-Calvo, G.; Jimeno, M.L.; Benkheil, M.; Ribatti, D.; Velazquez, S.; et al. Antivascular and antitumor properties of the tubulin-binding chalcone tub091. Oncotarget 2017, 8, 14325–14342. [Google Scholar] [CrossRef]
- Zhu, C.; Zuo, Y.; Wang, R.; Liang, B.; Yue, X.; Wen, G.; Shang, N.; Huang, L.; Chen, Y.; Du, J.; et al. Discovery of potent cytotoxic ortho-aryl chalcones as new scaffold targeting tubulin and mitosis with affinity-based fluorescence. J. Med. Chem. 2014, 57, 6364–6382. [Google Scholar] [CrossRef]
- Wu, W.; Ye, H.; Wan, L.; Han, X.; Wang, G.; Hu, J.; Tang, M.; Duan, X.; Fan, Y.; He, S.; et al. Millepachine, a novel chalcone, induces G2/M arrest by inhibiting CDK1 activity and causing apoptosis via ROS-mitochondrial apoptotic pathway in human hepatocarcinoma cells in vitro and in vivo. Carcinogenesis 2013, 34, 1636–1643. [Google Scholar] [CrossRef]
- Winter, E.; Devantier Neuenfeldt, P.; Chiaradia-Delatorre, L.D.; Gauthier, C.; Yunes, R.A.; Nunes, R.J.; Creczynski-Pasa, T.B.; Di Pietro, A. Symmetric bis-chalcones as a new type of breast cancer resistance protein inhibitors with a mechanism different from that of chromones. J. Med. Chem. 2014, 57, 2930–2941. [Google Scholar] [CrossRef]
- Lembo, V.; Bottegoni, G. Systematic investigation of dual-target-directed ligands. J. Med. Chem. 2024, 67, 10374–10385. [Google Scholar] [CrossRef]
- O’Boyle, N.M.; Pollock, J.K.; Carr, M.; Knox, A.J.; Nathwani, S.M.; Wang, S.; Caboni, L.; Zisterer, D.M.; Meegan, M.J. Beta-lactam estrogen receptor antagonists and a dual-targeting estrogen receptor/tubulin ligand. J. Med. Chem. 2014, 57, 9370–9382. [Google Scholar] [CrossRef]
- Knox, A.J.; Price, T.; Pawlak, M.; Golfis, G.; Flood, C.T.; Fayne, D.; Williams, D.C.; Meegan, M.J.; Lloyd, D.G. Integration of ligand and structure-based virtual screening for the identification of the first dual targeting agent for heat shock protein 90 (HSP90) and tubulin. J. Med. Chem. 2009, 52, 2177–2180. [Google Scholar] [CrossRef]
- Lv, W.; Liu, J.; Lu, D.; Flockhart, D.A.; Cushman, M. Synthesis of mixed (E,Z)-, (E)-, and (Z)-norendoxifen with dual aromatase inhibitory and estrogen receptor modulatory activities. J. Med. Chem. 2013, 56, 4611–4618. [Google Scholar] [CrossRef] [PubMed]
- Lv, W.; Liu, J.; Skaar, T.C.; Flockhart, D.A.; Cushman, M. Design and synthesis of norendoxifen analogues with dual aromatase inhibitory and estrogen receptor modulatory activities. J. Med. Chem. 2015, 58, 2623–2648. [Google Scholar] [CrossRef] [PubMed]
- Lu, W.J.; Desta, Z.; Flockhart, D.A. Tamoxifen metabolites as active inhibitors of aromatase in the treatment of breast cancer. Breast Cancer Res. Treat. 2012, 131, 473–481. [Google Scholar] [CrossRef] [PubMed]
- Gobbi, S.; Martini, S.; Rozza, R.; Spinello, A.; Caciolla, J.; Rampa, A.; Belluti, F.; Zaffaroni, N.; Magistrato, A.; Bisi, A. Switching from aromatase inhibitors to dual targeting flavonoid-based compounds for breast cancer treatment. Molecules 2023, 28, 3047. [Google Scholar] [CrossRef]
- Caciolla, J.; Martini, S.; Spinello, A.; Pavlin, M.; Turrini, E.; Simonelli, F.; Belluti, F.; Rampa, A.; Bisi, A.; Fimognari, C.; et al. Balanced dual acting compounds targeting aromatase and estrogen receptor alpha as an emerging therapeutic opportunity to counteract estrogen responsive breast cancer. Eur. J. Med. Chem. 2021, 224, 113733. [Google Scholar] [CrossRef]
- Woo, L.W.; Bubert, C.; Purohit, A.; Potter, B.V. Hybrid dual aromatase-steroid sulfatase inhibitors with exquisite picomolar inhibitory activity. ACS Med. Chem. Lett. 2011, 2, 243–247. [Google Scholar] [CrossRef]
- Dohle, W.; Prota, A.E.; Menchon, G.; Hamel, E.; Steinmetz, M.O.; Potter, B.V.L. Tetrahydroisoquinoline sulfamates as potent microtubule disruptors: Synthesis, antiproliferative and antitubulin activity of dichlorobenzyl-based derivatives, and a tubulin cocrystal structure. ACS Omega 2019, 4, 755–764. [Google Scholar] [CrossRef]
- Tang, C.; Li, C.; Zhang, S.; Hu, Z.; Wu, J.; Dong, C.; Huang, J.; Zhou, H.B. Novel bioactive hybrid compound dual targeting estrogen receptor and histone deacetylase for the treatment of breast cancer. J. Med. Chem. 2015, 58, 4550–4572. [Google Scholar] [CrossRef]
- Xin, L.; Wang, C.; Cheng, Y.; Wang, H.; Guo, X.; Deng, X.; Deng, X.; Xie, B.; Hu, H.; Min, C.; et al. Discovery of novel ERalpha and aromatase dual-targeting PROTAC degraders to overcome endocrine-resistant breast cancer. J. Med. Chem. 2024, 67, 8913–8931. [Google Scholar] [CrossRef]
- Pettit, G.R.; Singh, S.B.; Boyd, M.R.; Hamel, E.; Pettit, R.K.; Schmidt, J.M.; Hogan, F. Antineoplastic agents. 291. Isolation and synthesis of combretastatins A-4, A-5, and A-6(1A). J. Med. Chem. 1995, 38, 1666–1672. [Google Scholar] [CrossRef]
- Pettit, G.R.; Toki, B.; Herald, D.L.; Verdier-Pinard, P.; Boyd, M.R.; Hamel, E.; Pettit, R.K. Antineoplastic agents. 379. Synthesis of phenstatin phosphate. J. Med. Chem. 1998, 41, 1688–1695. [Google Scholar] [CrossRef] [PubMed]
- Doiron, J.; Soultan, A.H.; Richard, R.; Toure, M.M.; Picot, N.; Richard, R.; Cuperlovic-Culf, M.; Robichaud, G.A.; Touaibia, M. Synthesis and structure-activity relationship of 1- and 2-substituted-1,2,3-triazole letrozole-based analogues as aromatase inhibitors. Eur. J. Med. Chem. 2011, 46, 4010–4024. [Google Scholar] [CrossRef] [PubMed]
- Janowska, S.; Holota, S.; Lesyk, R.; Wujec, M. Aromatase inhibitors as a promising direction for the search for new anticancer drugs. Molecules 2024, 29, 346. [Google Scholar] [CrossRef] [PubMed]
- Ana, G.; Kelly, P.M.; Malebari, A.M.; Noorani, S.; Nathwani, S.M.; Twamley, B.; Fayne, D.; O’Boyle, N.M.; Zisterer, D.M.; Pimentel, E.F.; et al. Synthesis and biological evaluation of 1-(diarylmethyl)-1H-1,2,4-triazoles and 1-(diarylmethyl)-1H-imidazoles as a novel class of anti-mitotic agent for activity in breast cancer. Pharmaceuticals 2021, 14, 169. [Google Scholar] [CrossRef]
- Kamal, A.; Kumar, G.B.; Vishnuvardhan, M.V.; Shaik, A.B.; Reddy, V.S.; Mahesh, R.; Sayeeda, I.B.; Kapure, J.S. Synthesis of phenstatin/isocombretastatin-chalcone conjugates as potent tubulin polymerization inhibitors and mitochondrial apoptotic inducers. Org. Biomol. Chem. 2015, 13, 3963–3981. [Google Scholar] [CrossRef]
- Negi, A.S.; Gautam, Y.; Alam, S.; Chanda, D.; Luqman, S.; Sarkar, J.; Khan, F.; Konwar, R. Natural antitubulin agents: Importance of 3,4,5-trimethoxyphenyl fragment. Bioorg Med. Chem. 2015, 23, 373–389. [Google Scholar] [CrossRef]
- Letulle, C.; Toublet, F.X.; Pinon, A.; Hba, S.; Laurent, A.; Sol, V.; Fagnere, C.; Rioux, B.; Allais, F.; Michallet, S.; et al. Synthesis and antiproliferative effect of 3,4,5-trimethoxylated chalcones on colorectal and prostatic cancer cells. Pharmaceuticals 2024, 17, 1207. [Google Scholar] [CrossRef]
- Ghinet, A.; Rigo, B.; Henichart, J.P.; Le Broc-Ryckewaert, D.; Pommery, J.; Pommery, N.; Thuru, X.; Quesnel, B.; Gautret, P. Synthesis and biological evaluation of phenstatin metabolites. Bioorg. Med. Chem. 2011, 19, 6042–6054. [Google Scholar] [CrossRef]
- Pylypenko, O.O.; Okovytyy, S.I.; Sviatenko, L.K.; Voronkov, E.O.; Shabelnyk, K.P.; Kovalenko, S.I. Tautomeric behavior of 1,2,4-triazole derivatives: Combined spectroscopic and theoretical study. Struct. Chem. 2023, 34, 181–192. [Google Scholar] [CrossRef]
- Lv, W.; Liu, J.; Skaar, T.C.; O’Neill, E.; Yu, G.; Flockhart, D.A.; Cushman, M. Synthesis of triphenylethylene bisphenols as aromatase inhibitors that also modulate estrogen receptors. J. Med. Chem. 2016, 59, 157–170. [Google Scholar] [CrossRef]
- Lazinski, L.M.; Royal, G.; Robin, M.; Maresca, M.; Haudecoeur, R. Bioactive aurones, indanones, and other hemiindigoid scaffolds: Medicinal chemistry and photopharmacology perspectives. J. Med. Chem. 2022, 65, 12594–12625. [Google Scholar] [CrossRef] [PubMed]
- Huang, L.; Miao, H.; Sun, Y.; Meng, F.; Li, X. Discovery of indanone derivatives as multi-target-directed ligands against alzheimer’s disease. Eur. J. Med. Chem. 2014, 87, 429–439. [Google Scholar] [CrossRef] [PubMed]
- Nel, M.S.; Petzer, A.; Petzer, J.P.; Legoabe, L.J. 2-benzylidene-1-indanone derivatives as inhibitors of monoamine oxidase. Bioorg. Med. Chem. Lett. 2016, 26, 4599–4605. [Google Scholar] [CrossRef] [PubMed]
- Adole, V.A.; More, R.A.; Jagdale, B.S.; Pawar, T.B.; Chobe, S.S.; Shinde, R.A.; Dhonnar, S.L.; Koli, P.B.; Patil, A.V.; Bukane, A.R.; et al. Microwave prompted solvent-free synthesis of new series of heterocyclic tagged 7-arylidene indanone hybrids and their computational, antifungal, antioxidant, and cytotoxicity study. Bioorg. Chem. 2021, 115, 105259. [Google Scholar] [CrossRef]
- Beteck, R.M.; Legoabe, L.J.; Isaacs, M.; Hoppe, H.C. In vitro anti-trypanosomal activities of indanone-based chalcones. Drug Res. 2019, 69, 337–341. [Google Scholar] [CrossRef]
- Shrestha, A.; Jin Oh, H.; Kim, M.J.; Pun, N.T.; Magar, T.B.T.; Bist, G.; Choi, H.; Park, P.H.; Lee, E.S. Design, synthesis, and structure-activity relationship study of halogen containing 2-benzylidene-1-indanone derivatives for inhibition of LPS-stimulated ROS production in RAW 264.7 macrophages. Eur. J. Med. Chem. 2017, 133, 121–138. [Google Scholar] [CrossRef]
- Drutovic, D.; Chripkova, M.; Pilatova, M.; Kruzliak, P.; Perjesi, P.; Sarissky, M.; Lupi, M.; Damia, G.; Broggini, M.; Mojzis, J. Benzylidenetetralones, cyclic chalcone analogues, induce cell cycle arrest and apoptosis in HCT116 colorectal cancer cells. Tumour Biol. 2014, 35, 9967–9975. [Google Scholar] [CrossRef]
- Prakasham, A.P.; Saxena, A.K.; Luqman, S.; Chanda, D.; Kaur, T.; Gupta, A.; Yadav, D.K.; Chanotiya, C.S.; Shanker, K.; Khan, F.; et al. Synthesis and anticancer activity of 2-benzylidene indanones through inhibiting tubulin polymerization. Bioorg. Med. Chem. 2012, 20, 3049–3057. [Google Scholar] [CrossRef]
- Saxena, H.O.; Faridi, U.; Srivastava, S.; Kumar, J.K.; Darokar, M.P.; Luqman, S.; Chanotiya, C.S.; Krishna, V.; Negi, A.S.; Khanuja, S.P. Gallic acid-based indanone derivatives as anticancer agents. Bioorg. Med. Chem. Lett. 2008, 18, 3914–3918. [Google Scholar] [CrossRef]
- Taylor, J.G.; Ribeiro, R.D.S.; Correia, C.R.D. Facile synthesis of symmetrical 3,3-diarylacrylates by a Heck-Matsuda reaction: An expedient route to biologically active indanones. Tetrahedron Lett. 2011, 52, 3861–3864. [Google Scholar] [CrossRef]
- Srivastava, A.; Fatima, K.; Fatima, E.; Singh, A.; Singh, A.; Shukla, A.; Luqman, S.; Shanker, K.; Chanda, D.; Khan, F.; et al. Fluorinated benzylidene indanone exhibits antiproliferative activity through modulation of microtubule dynamics and antiangiogenic activity. Eur. J. Pharm. Sci. 2020, 154, 105513. [Google Scholar] [CrossRef] [PubMed]
- Singh, A.; Fatima, K.; Singh, A.; Behl, A.; Mintoo, M.J.; Hasanain, M.; Ashraf, R.; Luqman, S.; Shanker, K.; Mondhe, D.M.; et al. Anticancer activity and toxicity profiles of 2-benzylidene indanone lead molecule. Eur. J. Pharm. Sci. 2015, 76, 57–67. [Google Scholar] [CrossRef] [PubMed]
- Fang, L.; Zhang, X.-Y.; Yuan, Q.; Li, D.-D.; Jiao, Q.C.; Yang, Y.-S.; Zhu, H.-L. A novel indanone-derivated fluorescence sensor for cysteine detection and biological imaging. Dye. Pigment. 2020, 175, 108122. [Google Scholar] [CrossRef]
- Lawrence, N.J.; Armitage, E.S.M.; Greedy, B.; Cook, D.; Ducki, S.; McGown, A.T. The synthesis of indanones related to combretastatin A-4 via microwave-assisted Nazarov cyclization of chalcones. Tetrahedron Lett. 2006, 47, 1637–1640. [Google Scholar] [CrossRef]
- Barbosa, E.G.; Bega, L.A.; Beatriz, A.; Sarkar, T.; Hamel, E.; do Amaral, M.S.; de Lima, D.P. A diaryl sulfide, sulfoxide, and sulfone bearing structural similarities to combretastatin A-4. Eur. J. Med. Chem. 2009, 44, 2685–2688. [Google Scholar] [CrossRef]
- Cushman, M.; Nagarathnam, D.; Gopal, D.; He, H.M.; Lin, C.M.; Hamel, E. Synthesis and evaluation of analogues of (Z)-1-(4-methoxyphenyl)-2-(3,4,5-trimethoxyphenyl)ethene as potential cytotoxic and antimitotic agents. J. Med. Chem. 1992, 35, 2293–2306. [Google Scholar] [CrossRef]
- Huang, X.; Huang, R.; Li, L.; Gou, S.; Wang, H. Synthesis and biological evaluation of novel chalcone derivatives as a new class of microtubule destabilizing agents. Eur. J. Med. Chem. 2017, 132, 11–25. [Google Scholar] [CrossRef]
- Pereira, D.; Duraes, F.; Szemeredi, N.; Freitas-da-Silva, J.; Pinto, E.; Martins-da-Costa, P.; Pinto, M.; Correia-da-Silva, M.; Spengler, G.; Sousa, E.; et al. New chalcone-triazole hybrids with promising antimicrobial activity in multidrug resistance strains. Int. J. Mol. Sci. 2022, 23, 14291. [Google Scholar] [CrossRef]
- Bhukal, A.; Kumar, V.; Kumar, L.; Lal, K. Recent advances in chalcone-triazole hybrids as potential pharmacological agents. Results Chem. 2023, 6, 101173. [Google Scholar] [CrossRef]
- Vilanova, C.; Torijano-Gutierrez, S.; Diaz-Oltra, S.; Murga, J.; Falomir, E.; Carda, M.; Alberto Marco, J. Design and synthesis of pironetin analogue/combretastatin A-4 hybrids containing a 1,2,3-triazole ring and evaluation of their cytotoxic activity. Eur. J. Med. Chem. 2014, 87, 125–130. [Google Scholar] [CrossRef]
- Ducki, S. Antimitotic chalcones and related compounds as inhibitors of tubulin assembly. Anticancer Agents Med. Chem. 2009, 9, 336–347. [Google Scholar] [CrossRef] [PubMed]
- Messaoudi, S.; Treguier, B.; Hamze, A.; Provot, O.; Peyrat, J.F.; De Losada, J.R.; Liu, J.M.; Bignon, J.; Wdzieczak-Bakala, J.; Thoret, S.; et al. Isocombretastatins a versus combretastatins A: The forgotten isoCA-4 isomer as a highly promising cytotoxic and antitubulin agent. J. Med. Chem. 2009, 52, 4538–4542. [Google Scholar] [CrossRef] [PubMed]
- Malebari, A.M.; Greene, L.M.; Nathwani, S.M.; Fayne, D.; O’Boyle, N.M.; Wang, S.; Twamley, B.; Zisterer, D.M.; Meegan, M.J. Beta-lactam analogues of combretastatin A-4 prevent metabolic inactivation by glucuronidation in chemoresistant HT-29 colon cancer cells. Eur. J. Med. Chem. 2017, 130, 261–285. [Google Scholar] [CrossRef] [PubMed]
- National Cancer Institute. DCTD Division of Cancer Treatment and Diagnostics, DTP Developmental Therapeutics Programme. National Cancer Institute: Bethesda, MD, USA. Available online: https://dtp.Cancer.Gov/organization/btb/default.Htm (accessed on 24 October 2024).
- Holbeck, S.L.; Collins, J.M.; Doroshow, J.H. Analysis of food and drug administration-approved anticancer agents in theNCI60 panel of human tumor cell lines. Mol. Cancer Ther. 2010, 9, 1451–1460. [Google Scholar] [CrossRef]
- Compare Analysis. Available online: https://dtp.Cancer.Gov/databases_tools/compare.Htm (accessed on 24 October 2024).
- Cuthbertson, C.R.; Guo, H.; Kyani, A.; Madak, J.T.; Arabzada, Z.; Neamati, N. The dihydroorotate dehydrogenase inhibitor brequinar is synergistic with ENT1/2 inhibitors. ACS Pharmacol. Transl. Sci. 2020, 3, 1242–1252. [Google Scholar] [CrossRef]
- Kemp, A.J.; Lyons, S.D.; Christopherson, R.I. Effects of acivicin and dichloroallyl lawsone upon pyrimidine biosynthesis in mouse l1210 leukemia cells. J. Biol. Chem. 1986, 261, 14891–14895. [Google Scholar] [CrossRef]
- Daina, A.; Michielin, O.; Zoete, V. SwissADME: A free web tool to evaluate pharmacokinetics, drug-likeness and medicinal chemistry friendliness of small molecules. Sci. Rep. 2017, 7, 42717. [Google Scholar] [CrossRef]
- Chemaxon: Chemicalize. Available online: https://chemicalize.Com/app/calculation (accessed on 24 October 2024).
- Baell, J.B.; Nissink, J.W.M. Seven year itch: Pan-assay interference compounds (PAINS) in 2017-utility and limitations. ACS Chem. Biol. 2018, 13, 36–44. [Google Scholar] [CrossRef]
- Soule, H.D.; Maloney, T.M.; Wolman, S.R.; Peterson, W.D., Jr.; Brenz, R.; McGrath, C.M.; Russo, J.; Pauley, R.J.; Jones, R.F.; Brooks, S.C. Isolation and characterization of a spontaneously immortalized human breast epithelial cell line, MCF-10. Cancer Res. 1990, 50, 6075–6086. [Google Scholar]
- Qu, Y.; Han, B.; Yu, Y.; Yao, W.; Bose, S.; Karlan, B.Y.; Giuliano, A.E.; Cui, X. Evaluation of MCF10A as a reliable model for normal human mammary epithelial cells. PLoS ONE 2015, 10, e0131285. [Google Scholar] [CrossRef]
- Vale, N.; Silva, S.; Duarte, D.; Crista, D.M.A.; Pinto da Silva, L.; Esteves da Silva, J.C.G. Normal breast epithelial MCF-10A cells to evaluate the safety of carbon dots. RSC Med. Chem. 2021, 12, 245–253. [Google Scholar] [CrossRef] [PubMed]
- Mc Gee, M.M. Targeting the mitotic catastrophe signaling pathway in cancer. Mediators Inflamm. 2015, 2015, 146282. [Google Scholar] [CrossRef] [PubMed]
- O’Boyle, N.M.; Ana, G.; Kelly, P.M.; Nathwani, S.M.; Noorani, S.; Fayne, D.; Bright, S.A.; Twamley, B.; Zisterer, D.M.; Meegan, M.J. Synthesis and evaluation of antiproliferative microtubule-destabilising combretastatin A-4 piperazine conjugates. Org. Biomol. Chem. 2019, 17, 6184–6200. [Google Scholar] [CrossRef] [PubMed]
- Prota, A.E.; Lucena-Agell, D.; Ma, Y.; Estevez-Gallego, J.; Li, S.; Bargsten, K.; Josa-Prado, F.; Altmann, K.H.; Gaillard, N.; Kamimura, S.; et al. Structural insight into the stabilization of microtubules by taxanes. Elife 2023, 12, e84791. [Google Scholar] [CrossRef]
- Tsuchiya, Y.; Nakajima, M.; Yokoi, T. Cytochrome P450-mediated metabolism of estrogens and its regulation in human. Cancer Lett. 2005, 227, 115–124. [Google Scholar] [CrossRef]
- Miyoshi, Y.; Ando, A.; Hasegawa, S.; Ishitobi, M.; Yamamura, J.; Irahara, N.; Tanji, Y.; Taguchi, T.; Tamaki, Y.; Noguchi, S. Association of genetic polymorphisms in CYP19 and CYP1A1 with the oestrogen receptor-positive breast cancer risk. Eur. J. Cancer 2003, 39, 2531–2537. [Google Scholar] [CrossRef]
- Stresser, D.M.; Turner, S.D.; McNamara, J.; Stocker, P.; Miller, V.P.; Crespi, C.L.; Patten, C.J. A high-throughput screen to identify inhibitors of aromatase (CYP19). Anal. Biochem. 2000, 284, 427–430. [Google Scholar] [CrossRef]
- Maiti, A.; Cuendet, M.; Croy, V.L.; Endringer, D.C.; Pezzuto, J.M.; Cushman, M. Synthesis and biological evaluation of (+/-)-abyssinone II and its analogues as aromatase inhibitors for chemoprevention of breast cancer. J. Med. Chem. 2007, 50, 2799–2806. [Google Scholar] [CrossRef]
- Endringer, D.C.; Guimaraes, K.G.; Kondratyuk, T.P.; Pezzuto, J.M.; Braga, F.C. Selective inhibition of aromatase by a dihydroisocoumarin from Xyris pterygoblephara. J. Nat. Prod. 2008, 71, 1082–1084. [Google Scholar] [CrossRef]
- El-Kersh, D.M.; Ezzat, S.M.; Salama, M.M.; Mahrous, E.A.; Attia, Y.M.; Ahmed, M.S.; Elmazar, M.M. Anti-estrogenic and anti-aromatase activities of citrus peels major compounds in breast cancer. Sci. Rep. 2021, 11, 7121. [Google Scholar] [CrossRef]
- Yu, C.; Shin, Y.G.; Kosmeder, J.W.; Pezzuto, J.M.; van Breemen, R.B. Liquid chromatography/tandem mass spectrometric determination of inhibition of human cytochrome p450 isozymes by resveratrol and resveratrol-3-sulfate. Rapid Commun. Mass. Spectrom. 2003, 17, 307–313. [Google Scholar] [CrossRef] [PubMed]
- Ravelli, R.B.; Gigant, B.; Curmi, P.A.; Jourdain, I.; Lachkar, S.; Sobel, A.; Knossow, M. Insight into tubulin regulation from a complex with colchicine and a stathmin-like domain. Nature 2004, 428, 198–202. [Google Scholar] [CrossRef] [PubMed]
- Molecular Operating Environment (MOE) Version 2022.02; Chemical Computing Group Inc.: Montreal, QC, Canada, 2022.
- Gaspari, R.; Prota, A.E.; Bargsten, K.; Cavalli, A.; Steinmetz, M.O. Structural basis of cis- and trans-combretastatin binding to tubulin. Chem 2017, 2, 102–113. [Google Scholar] [CrossRef]
- Edwards, M.L.; Stemerick, D.M.; Sunkara, P.S. Chalcones: A new class of antimitotic agents. J. Med. Chem. 1990, 33, 1948–1954. [Google Scholar] [CrossRef] [PubMed]
- Rao, Y.K.; Fang, S.H.; Tzeng, Y.M. Synthesis and biological evaluation of 3′,4′,5′-trimethoxychalcone analogues as inhibitors of nitric oxide production and tumor cell proliferation. Bioorg. Med. Chem. 2009, 17, 7909–7914. [Google Scholar] [CrossRef]
- La Regina, G.; Bai, R.; Coluccia, A.; Famiglini, V.; Pelliccia, S.; Passacantilli, S.; Mazzoccoli, C.; Ruggieri, V.; Sisinni, L.; Bolognesi, A.; et al. New pyrrole derivatives with potent tubulin polymerization inhibiting activity as anticancer agents including hedgehog-dependent cancer. J. Med. Chem. 2014, 57, 6531–6552. [Google Scholar] [CrossRef]
- Chang, M.Y.; Tsai, C.Y.; Wu, M.H. NBS-mediated cyclization of trans-cinnamic alcohols. Tetrahedron 2013, 69, 6364–6370. [Google Scholar] [CrossRef]
- Pathak, V.; Ahmad, I.; Kahlon, A.K.; Hasanain, M.; Sharma, S.; Srivastava, K.K.; Sarkar, J.; Shankar, K.; Sharma, A.; Gupta, A. Syntheses of 2-methoxyestradiol and eugenol template based diarylpropenes as non-steroidal anticancer agents. RSC Adv. 2014, 4, 35171–35185. [Google Scholar] [CrossRef]
- Lawrence, N.J.; Hadfield, J.A.; McGown, A.T.; Butler, J.; Ducki, S.; Rennison, D.; Woo, M. Combretastatin A4 Derivatives Having Antineoplastic Activity; WO2003040077, Paterson Institute for Cancer Research, United Kingdom; University of Manchester Institute of Science and Technology: Manchester, UK, 2003. [Google Scholar]
- Romagnoli, R.; Baraldi, P.G.; Sarkar, T.; Carrion, M.D.; Cara, C.L.; Cruz-Lopez, O.; Preti, D.; Tabrizi, M.A.; Tolomeo, M.; Grimaudo, S.; et al. Synthesis and biological evaluation of 1-methyl-2-(3′,4′,5′-trimethoxybenzoyl)-3-aminoindoles as a new class of antimitotic agents and tubulin inhibitors. J. Med. Chem. 2008, 51, 1464–1468. [Google Scholar] [CrossRef]
- Singh, A.; Fatima, K.; Srivastava, A.; Khwaja, S.; Priya, D.; Singh, A.; Mahajan, G.; Alam, S.; Saxena, A.K.; Mondhe, D.M.; et al. Anticancer activity of gallic acid template-based benzylidene indanone derivative as microtubule destabilizer. Chem. Biol. Drug Des. 2016, 88, 625–634. [Google Scholar] [CrossRef]
- Liang, G.; Shao, L.; Wang, Y.; Zhao, C.; Chu, Y.; Xiao, J.; Zhao, Y.; Li, X.; Yang, S. Exploration and synthesis of curcumin analogues with improved structural stability both in vitro and in vivo as cytotoxic agents. Bioorg. Med. Chem. 2009, 17, 2623–2631. [Google Scholar] [CrossRef] [PubMed]
- Cytoskeleton Inc. Available online: https://www.Cytoskeleton.Com/tubulin-resources (accessed on 16 October 2024).
- Sun, D.; Gao, W.; Hu, H.; Zhou, S. Why 90% of clinical drug development fails and how to improve it? Acta Pharm. Sin. B 2022, 12, 3049–3062. [Google Scholar] [CrossRef] [PubMed]
- Sun, D.; Macedonia, C.; Chen, Z.; Chandrasekaran, S.; Najarian, K.; Zhou, S.; Cernak, T.; Ellingrod, V.L.; Jagadish, H.V.; Marini, B.; et al. Can machine learning overcome the 95% failure rate and reality that only 30% of approved cancer drugs meaningfully extend patient survival? J. Med. Chem. 2024, 67, 16035–16055. [Google Scholar] [CrossRef] [PubMed]
- Burstein, H.J.; Lacchetti, C.; Anderson, H.; Buchholz, T.A.; Davidson, N.E.; Gelmon, K.A.; Giordano, S.H.; Hudis, C.A.; Solky, A.J.; Stearns, V.; et al. Adjuvant endocrine therapy for women with hormone receptor-positive breast cancer: ASCO clinical practice guideline focused update. J. Clin. Oncol. 2019, 37, 423–438. [Google Scholar] [CrossRef] [PubMed]
- Burstein, H.J.; Somerfield, M.R.; Barton, D.L.; Dorris, A.; Fallowfield, L.J.; Jain, D.; Johnston, S.R.D.; Korde, L.A.; Litton, J.K.; Macrae, E.R.; et al. Endocrine treatment and targeted therapy for hormone receptor-positive, human epidermal growth factor receptor 2-negative metastatic breast cancer: ASCO guideline update. J. Clin. Oncol. 2021, 39, 3959–3977. [Google Scholar] [CrossRef]
- Burstein, H.J.; Cirrincione, C.T.; Barry, W.T.; Chew, H.K.; Tolaney, S.M.; Lake, D.E.; Ma, C.; Blackwell, K.L.; Winer, E.P.; Hudis, C.A. Endocrine therapy with or without inhibition of epidermal growth factor receptor and human epidermal growth factor receptor 2: A randomized, double-blind, placebo-controlled phase III trial of fulvestrant with or without lapatinib for postmenopausal women with hormone receptor-positive advanced breast cancer-CALGB 40302 (Alliance). J. Clin. Oncol. 2014, 32, 3959–3966. [Google Scholar]
- Patel, R.; Klein, P.; Tiersten, A.; Sparano, J.A. An emerging generation of endocrine therapies in breast cancer: A clinical perspective. npj Breast Cancer 2023, 9, 20. [Google Scholar] [CrossRef]
- Visconti, R.; Grieco, D. Fighting tubulin-targeting anticancer drug toxicity and resistance. Endocr. Relat. Cancer 2017, 24, T107–T117. [Google Scholar] [CrossRef]
- Silverman, J.A.; Deitcher, S.R. Marqibo(R) (vincristine sulfate liposome injection) improves the pharmacokinetics and pharmacodynamics of vincristine. Cancer Chemother. Pharmacol. 2013, 71, 555–564. [Google Scholar] [CrossRef]
- Krause, W. Resistance to anti-tubulin agents: From vinca alkaloids to epothilones. Cancer Drug Resist. 2019, 2, 82–106. [Google Scholar] [CrossRef]
- Tian, G.; Song, Q.; Liu, Z.; Guo, J.; Cao, S.; Long, S. Recent advances in 1,2,3- and 1,2,4-triazole hybrids as antimicrobials and their SAR: A critical review. Eur. J. Med. Chem. 2023, 259, 115603. [Google Scholar] [CrossRef] [PubMed]
- Rashdan, H.R.M.; Abdelrahman, M.T.; De Luca, A.C.; Mangini, M. Towards a new generation of hormone therapies: Design, synthesis and biological evaluation of novel 1,2,3-triazoles as estrogen-positive breast cancer therapeutics and non-steroidal aromatase inhibitors. Pharmaceuticals 2024, 17, 88. [Google Scholar] [CrossRef] [PubMed]
- Arora, S.; Wang, X.I.; Keenan, S.M.; Andaya, C.; Zhang, Q.; Peng, Y.; Welsh, W.J. Novel microtubule polymerization inhibitor with potent antiproliferative and antitumor activity. Cancer Res. 2009, 69, 1910–1915. [Google Scholar] [CrossRef] [PubMed]









| Cell line | 22a | 22b | 23b | 27a | 30 | Cell line | 22a | 22b | 23b | 27a | 30 |
|---|---|---|---|---|---|---|---|---|---|---|---|
| Leukemia | Melanoma | ||||||||||
| CCRF-CEM | 35.07 | 6.31 | 37.13 | 90.92 | 65.10 | LOX IMVI | 49.98 | 50.87 | 46.09 | 86.38 | 85.14 |
| HL-60 (TB) | −17.94 | −36.28 | −36.59 | 83.57 | 70.60 | MALME-3M | 61.34 | 54.35 | 57.72 | 73.18 | 93.80 |
| K-562 | 17.72 | 8.05 | 13.63 | 44.70 | 61.41 | M14 | 17.86 | −12.29 | 18.61 | 73.08 | 82.03 |
| MOLT-4 | 39.43 | 21.84 | 31.88 | 90.04 | 74.07 | MDA-MB-435 | −9.62 | −32.99 | −25.56 | 5.00 | 45.63 |
| RPMI-8226 | 50.84 | 19.89 | 15.14 | 94.65 | 60.48 | SK-MEL-2 | 12.89 | 18.23 | 41.65 | 89.63 | 81.02 |
| SR | 18.93 | 5.67 | 6.18 | 35.42 | 31.50 | SK-MEL-28 | 62.59 | 59.08 | 58.86 | 78.29 | 100.52 |
| Non-Small Cell Lung Cancer | SK-MEL-5 | 33.03 | 23.87 | 16.98 | 53.15 | 62.09 | |||||
| A549/ATCC | 35.48 | 40.13 | 29.07 | 55.83 | 78.93 | UACC-257 | 46.44 | 55.61 | 34.19 | 58.46 | 75.61 |
| EKVX | 66.04 | 59.45 | 81.22 | 100.83 | 94.43 | UACC-62 | 33.84 | 37.50 | 36.37 | 65.53 | 68.23 |
| HOP-62 | 41.84 | 22.52 | 47.25 | 80.77 | 84.91 | Ovarian Cancer | |||||
| HOP-92 | 40.32 | 47.98 | 30.49 | 59.58 | 56.24 | IGROV1 | 64.61 | 50.48 | 55.74 | 82.43 | 78.02 |
| NCI-H226 | 75.97 | 62.21 | 88.36 | 97.37 | 84.81 | OVCAR-3 | 9.06 | 15.65 | 4.86 | 57.06 | 83.41 |
| NCI-H23 | 67.01 | 41.50 | 55.69 | 91.50 | 81.16 | OVCAR-4 | 96.82 | 83.51 | 78.81 | 100.34 | 92.69 |
| NCI-H322M | 61.24 | 54.65 | 45.84 | 101.51 | 96.68 | OVCAR-5 | 90.16 | 86.55 | 102.8 | 106.81 | 129.83 |
| NCI-H460 | 22.14 | 13.26 | 16.55 | 78.74 | 93.96 | OVCAR-8 | 52.16 | 15.99 | 40.97 | 89.25 | 83.74 |
| NCI-H522 | 28.37 | 13.04 | 24.65 | 50.13 | 64.75 | NCI/ADR-RES | 36.28 | 10.82 | 45.70 | 93.87 | 89.35 |
| Colon Cancer | SK-OV-3 | 35.55 | 12.67 | 33.54 | 86.31 | 92.06 | |||||
| COLO 205 | 30.72 | 60.64 | 89.81 | 106.99 | 99.42 | Renal Cancer | |||||
| HCC-2998 | 84.15 | 67.70 | 76.97 | 99.22 | 99.87 | 786-0 | 39.65 | 23.33 | 34.04 | 91.67 | 95.20 |
| HCT-116 | 21.99 | 10.52 | 16.67 | 81.13 | 78.18 | A498 | 36.38 | 19.81 | 67.46 | 88.34 | 104.55 |
| HCT-15 | 31.14 | 16.53 | 24.91 | 59.92 | 77.23 | ACHN | 57.45 | 63.11 | 46.34 | 86.36 | 99.92 |
| HT29 | 4.96 | 41.01 | 70.97 | 101.76 | 80.30 | CAKI-1 | 51.61 | 34.50 | 60.21 | 74.50 | nd |
| KM12 | 30.66 | 26.67 | 29.04 | 50.59 | 82.35 | RXF 393 | 46.51 | −16.94 | 33.07 | 70.77 | 88.15 |
| SW-620 | 26.63 | 27.62 | 17.41 | 62.47 | 88.00 | SN12C | 62.02 | 49.61 | 57.15 | 104.36 | 84.52 |
| CNS Cancer | TK-10 | 48.52 | 41.24 | 84.45 | 101.23 | 115.50 | |||||
| SF-268 | 57.07 | 54.09 | 56.10 | 89.96 | 91.93 | UO-31 | 64.39 | 54.20 | 59.92 | 79.93 | 66.56 |
| SF-295 | 22.52 | 1.43 | 16.59 | 57.51 | 95.73 | Prostate Cancer | |||||
| SF-539 | 56.52 | −4.58 | 23.09 | 89.80 | 93.55 | PC-3 | 31.20 | 23.47 | 25.28 | 60.69 | 58.09 |
| SNB-19 | 49.01 | 34.19 | 47.27 | 93.73 | 89.08 | DU-145 | 61.25 | 21.00 | 37.76 | 102.37 | 100.17 |
| SNB-75 | 51.27 | 40.99 | 20.04 | 90.16 | 54.99 | Breast Cancer | |||||
| U251 | 31.77 | 20.72 | 27.12 | 80.36 | 81.64 | MCF7 | 22.48 | 21.22 | 17.87 | 44.77 | 57.42 |
| MDA-MB-231/ATCC | 50.05 | 45.54 | 52.97 | 81.01 | 76.21 | ||||||
| HS 578T | 51.18 | 28.47 | 32.05 | 85.38 | 77.21 | ||||||
| BT-549 | 45.45 | 36.59 | 44.34 | 90.36 | 83.42 | ||||||
| T-47D | 30.79 | 34.38 | 40.62 | 94.34 | 77.54 | ||||||
| MDA-MB-468 | 40.88 | 8.27 | 40.60 | 78.64 | 57.22 | ||||||
| Cell Line | Compound 22b | Cell Line | Compound 22b |
|---|---|---|---|
| GI50 (μM) b,c | GI50 (μM) b,c | ||
| Leukemia | Colon Cancer | ||
| CCRF-CEM | 0.0320 | COLO 205 | 3.66 |
| HL-60(TB) | 0.0245 | HCC-2998 | 3.00 |
| K-562 | 0.0320 | HCT-116 | 0.0410 |
| MOLT-4 | nd d | HCT-15 | 0.0508 |
| RPMI-8226 | 0.0370 | HT29 | 3.68 |
| SR | 0.0248 | KM12 | 0.0405 |
| Melanoma | SW-620 | 0.0394 | |
| LOX IMVI | 0.0511 | Renal Cancer | |
| MALME-3M | >100 * | 786-0 | −5.05 * |
| M14 | 0.0287 | A498 | 3.13 |
| MDA-MB-435 | 0.0183 | ACHN | 0.0579 |
| SK-MEL-2 | 0.0438 | CAKI-1 | 2.83 |
| SK-MEL-28 | 3.62 | RXF 393 | >100 * |
| SK-MEL-5 | 0.0458 | SN12C | 7.19 |
| UACC-257 | >100 | TK-10 | 21.2 |
| UACC-62 | 0.0476 | UO-31 | >100 * |
| Lung Cancer | CNS Cancer | ||
| A549/ATCC | 4.56 | SF-268 | 0.0589 |
| EKVX | 6.07 | SF-295 | −5.43 * |
| HOP-62 | −4.52 * | SF-539 | 0.0267 |
| HOP-92 | 67.0 | SNB-19 | −4.59 * |
| NCI-H226 | 5.93 | SNB-75 | >100 * |
| NCI-H23 | 3.47 | U251 | 0.0506 |
| NCI-H322M | >100 * | Prostate Cancer | |
| NCI-H460 | 0.0423 | PC-3 | 0.0360 |
| NCI-H522 | 0.0223 | DU-145 | −5.18 * |
| Ovarian Cancer | Breast Cancer | ||
| IGROV1 | 5.83 | MCF7 | 0.0330 |
| OVCAR-3 | 0.0260 | MDA-MB-231/ATCC | 3.02 |
| OVCAR-4 | 7.05 | HS 578T | >100 * |
| OVCAR-5 | 4.48 | BT-549 | 0.0712 |
| OVCAR-8 | −5.44 * | T-47D | >100 |
| NCI/ADR-RES | −5.28 * | MDA-MB-468 | >100 * |
| SK-OV-3 | >100 * | MG-MID e | 0.3715 |
Disclaimer/Publisher’s Note: The statements, opinions and data contained in all publications are solely those of the individual author(s) and contributor(s) and not of MDPI and/or the editor(s). MDPI and/or the editor(s) disclaim responsibility for any injury to people or property resulting from any ideas, methods, instructions or products referred to in the content. |
© 2025 by the authors. Licensee MDPI, Basel, Switzerland. This article is an open access article distributed under the terms and conditions of the Creative Commons Attribution (CC BY) license (https://creativecommons.org/licenses/by/4.0/).
Share and Cite
Ana, G.; Malebari, A.M.; Noorani, S.; Fayne, D.; O’Boyle, N.M.; Zisterer, D.M.; Pimentel, E.F.; Endringer, D.C.; Meegan, M.J. (E)-1-(3-(3-Hydroxy-4-Methoxyphenyl)-1-(3,4,5-Trimethoxyphenyl)allyl)-1H-1,2,4-Triazole and Related Compounds: Their Synthesis and Biological Evaluation as Novel Antimitotic Agents Targeting Breast Cancer. Pharmaceuticals 2025, 18, 118. https://doi.org/10.3390/ph18010118
Ana G, Malebari AM, Noorani S, Fayne D, O’Boyle NM, Zisterer DM, Pimentel EF, Endringer DC, Meegan MJ. (E)-1-(3-(3-Hydroxy-4-Methoxyphenyl)-1-(3,4,5-Trimethoxyphenyl)allyl)-1H-1,2,4-Triazole and Related Compounds: Their Synthesis and Biological Evaluation as Novel Antimitotic Agents Targeting Breast Cancer. Pharmaceuticals. 2025; 18(1):118. https://doi.org/10.3390/ph18010118
Chicago/Turabian StyleAna, Gloria, Azizah M. Malebari, Sara Noorani, Darren Fayne, Niamh M. O’Boyle, Daniela M. Zisterer, Elisangela Flavia Pimentel, Denise Coutinho Endringer, and Mary J. Meegan. 2025. "(E)-1-(3-(3-Hydroxy-4-Methoxyphenyl)-1-(3,4,5-Trimethoxyphenyl)allyl)-1H-1,2,4-Triazole and Related Compounds: Their Synthesis and Biological Evaluation as Novel Antimitotic Agents Targeting Breast Cancer" Pharmaceuticals 18, no. 1: 118. https://doi.org/10.3390/ph18010118
APA StyleAna, G., Malebari, A. M., Noorani, S., Fayne, D., O’Boyle, N. M., Zisterer, D. M., Pimentel, E. F., Endringer, D. C., & Meegan, M. J. (2025). (E)-1-(3-(3-Hydroxy-4-Methoxyphenyl)-1-(3,4,5-Trimethoxyphenyl)allyl)-1H-1,2,4-Triazole and Related Compounds: Their Synthesis and Biological Evaluation as Novel Antimitotic Agents Targeting Breast Cancer. Pharmaceuticals, 18(1), 118. https://doi.org/10.3390/ph18010118

