Neuroprotective Effects of Phenolic Constituents from Drynariae Rhizoma
Abstract
1. Introduction
2. Results and Discussion
2.1. Inhibitory Activity of DR Extract and Fractions on AD-Related Enzymes
2.2. Inhibitory Activity of Ten DR Compounds on AD Enzymes
2.3. Inhibitory Activity of Six Phenolic DR Compounds on Aβ Production
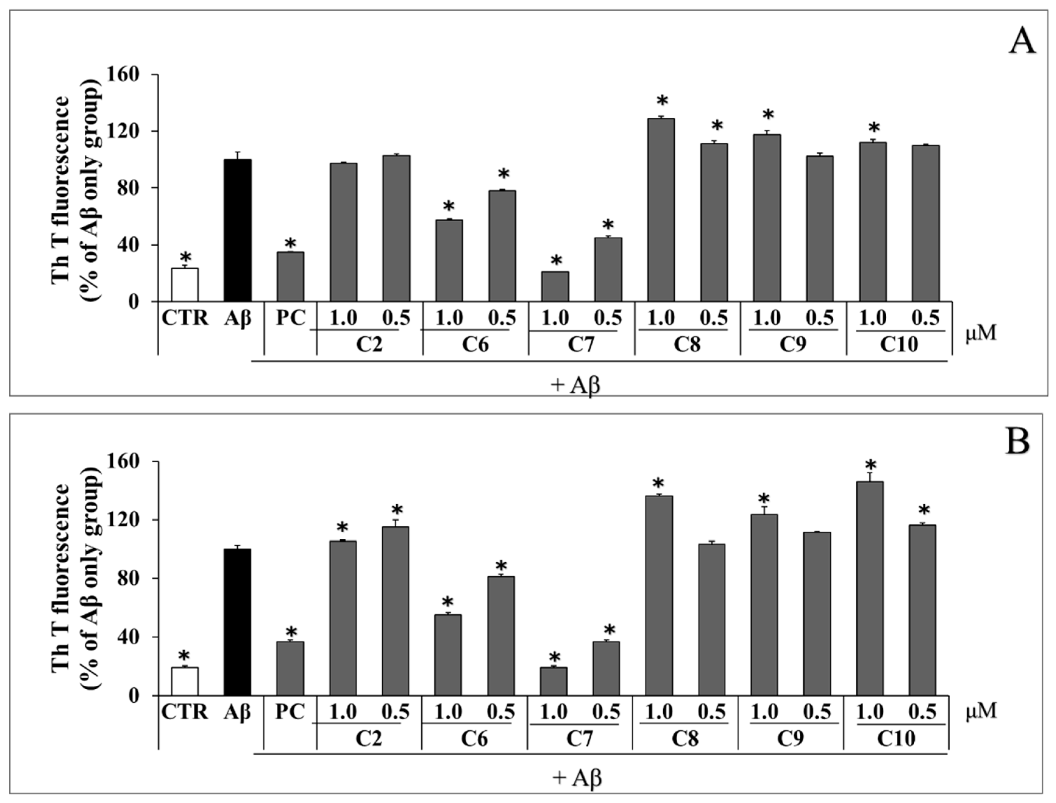
2.4. Analysis of Aβ Aggregation Reduction and Preformed Aβ Aggregate Degradation Caused by Six Phenolic DR Compounds
3. Materials and Methods
3.1. Samples Derived from Drynariae Rhizoma (DR): Extracts, Fractions, and Compounds
3.2. Equipment and Reagents
3.3. Cholinesterase (ChE)-Inhibitory Assay
3.4. β-Site Amyloid Precursor Protein Cleaving Enzyme 1 (BACE1)-Inhibitory Assay
3.5. Monoamine Oxidase-B (MAO-B)-Inhibitory Assay
3.6. Cell Culture and MTT Assay
3.7. Western Blot Analysis
3.8. Thioflavin T (Th T) Assay
3.9. Statistical Analysis
4. Conclusions
Supplementary Materials
Author Contributions
Funding
Institutional Review Board Statement
Informed Consent Statement
Data Availability Statement
Acknowledgments
Conflicts of Interest
References
- Chinese Pharmacopoeia Commission. Chinese Pharmacopoeia; China Medical Science Press: Beijing, China, 2015; Volume 1, pp. 191–193. [Google Scholar]
- Ministry of Food and Drug Safety. The Korean Pharmacopoeia; Ministry of Food and Drug Safety: Osong, Republic of Korea, 2022.
- So, B.-G. Illustrated Chinese Materia Medica (Chinese Bonchodogam); Yeogang Publishing: Seoul, Republic of Korea, 1994. [Google Scholar]
- Xue, C.-Y.; Xue, H.-G. Application of real-time scorpion PCR for authentication and quantification of the traditional Chinese medicinal plant Drynaria fortunei. Planta Med. 2008, 74, 1416–1420. [Google Scholar] [CrossRef] [PubMed][Green Version]
- Bharti, S.; Rani, N.; Krishnamurthy, B.; Arya, D.S. Preclinical evidence for the pharmacological actions of naringin: A review. Planta Med. 2014, 80, 437–451. [Google Scholar] [CrossRef] [PubMed]
- Yang, Z.-Y.; Kuboyama, T.; Kazuma, K.; Konno, K.; Tohda, C. Active constituents from Drynaria fortunei rhizomes on the attenuation of Aβ25–35-induced axonal atrophy. J. Nat. Prod. 2015, 78, 2297–2300. [Google Scholar] [CrossRef]
- Li, F.; Meng, F.; Xiong, Z.; Li, Y.; Liu, R.; Liu, H. Stimulative activity of Drynaria fortunei (Kunze) J. Sm. extracts and two of its flavonoids on the proliferation of osteoblastic like cells. Pharmazie 2006, 61, 962–965. [Google Scholar] [PubMed]
- Aldemir, E.E.; Selmanoğlu, G.; Karacaoğlu, E. The Potential Protective Role of Neoeriocitrin in a Streptozotocin-Induced Diabetic Model in INS-1E Pancreatic ß-Cells. Braz. Arch. Biol. Technol. 2023, 66, e23220138. [Google Scholar] [CrossRef]
- Dong, Y.; Toume, K.; Kimijima, S.; Zhang, H.; Zhu, S.; He, Y.; Cai, S.; Maruyama, T.; Komatsu, K. Metabolite profiling of Drynariae Rhizoma using 1H NMR and HPLC coupled with multivariate statistical analysis. J. Nat. Med. 2023, 77, 839–857. [Google Scholar] [CrossRef] [PubMed]
- Sun, X.; Wei, B.; Peng, Z.; Chen, X.; Fu, Q.; Wang, C.; Zhen, J.; Sun, J. A polysaccharide from the dried rhizome of Drynaria fortunei (Kunze) J. Sm. prevents ovariectomized (OVX)-induced osteoporosis in rats. J. Cell. Mol. Med. 2020, 24, 3692–3700. [Google Scholar] [CrossRef] [PubMed]
- Wang, X.-L.; Wang, N.-L.; Zhang, Y.; Gao, H.; Pang, W.-Y.; Wong, M.-S.; Zhang, G.; Qin, L.; Yao, X.-S. Effects of eleven flavonoids from the osteoprotective fraction of Drynaria fortunei (K UNZE) J. SM. on osteoblastic proliferation using an osteoblast-like cell line. Chem. Pharm. Bull. 2008, 56, 46–51. [Google Scholar] [CrossRef] [PubMed]
- Sun, J.-S.; Lin, C.-Y.; Dong, G.-C.; Sheu, S.-Y.; Lin, F.-H.; Chen, L.-T.; Wang, Y.-J. The effect of Gu-Sui-Bu (Drynaria fortunei J. Sm) on bone cell activities. Biomaterials 2002, 23, 3377–3385. [Google Scholar] [CrossRef]
- Mou, M.; Li, C.; Huang, M.; Zhao, Z.; Ling, H.; Zhang, X.; Wang, F.; Yin, X.; Ma, Y. Antiosteoporotic effect of the Rhizome of Drynaria Fortunei (Kunze)(Polypodiaceae) With Special emphasis on its modes of action. Acta Pol. Pharm. 2015, 72, 1073–1080. [Google Scholar]
- Huang, J.; Tong, X.; Yu, Z.; Hu, Y.; Zhang, L.; Liu, Y.; Zhou, Z. Dietary supplementation of total flavonoids from Rhizoma Drynariae improves bone health in older caged laying hens. Poult. Sci. 2020, 99, 5047–5054. [Google Scholar] [CrossRef]
- Huang, S.-T.; Chang, C.-C.; Pang, J.-H.S.; Huang, H.-S.; Chou, S.-C.; Kao, M.-C.; You, H.-L. Drynaria fortunei promoted angiogenesis associated with modified MMP-2/TIMP-2 balance and activation of VEGF ligand/receptors expression. Front. Pharmacol. 2018, 9, 979. [Google Scholar] [CrossRef] [PubMed]
- Zhao, K.; Chen, M.; Liu, T.; Zhang, P.; Wang, S.; Liu, X.; Wang, Q.; Sheng, J. Rhizoma drynariae total flavonoids inhibit the inflammatory response and matrix degeneration via MAPK pathway in a rat degenerative cervical intervertebral disc model. Biomed. Pharmacother. 2021, 138, 111466. [Google Scholar] [CrossRef] [PubMed]
- Gil, T.-Y.; Park, J.; Park, Y.-J.; Kim, H.-J.; Cominguez, D.C.; An, H.-J. Drynaria rhizome water extract alleviates high-fat diet-induced obesity in mice. Mol. Med. Rep. 2023, 29, 30. [Google Scholar] [CrossRef] [PubMed]
- Liu, M.-Y.; Zeng, F.; Shen, Y.; Wang, Y.-Y.; Zhang, N.; Geng, F. Bioguided isolation and structure identification of acetylcholinesterase enzyme inhibitors from Drynariae rhizome. J. Anal. Methods Chem. 2020, 2020, 2971841. [Google Scholar] [CrossRef] [PubMed]
- Neațu, M.; Covaliu, A.; Ioniță, I.; Jugurt, A.; Davidescu, E.I.; Popescu, B.O. Monoclonal Antibody Therapy in Alzheimer’s Disease. Pharmaceutics 2023, 16, 60. [Google Scholar] [CrossRef] [PubMed]
- Lau, A.; Beheshti, I.; Modirrousta, M.; Kolesar, T.A.; Goertzen, A.L.; Ko, J.H. Alzheimer’s Disease-Related Metabolic Pattern in Diverse Forms of Neurodegenerative Diseases. Diagnostics 2021, 11, 2023. [Google Scholar] [CrossRef] [PubMed]
- Ganguli, M.; Dodge, H.H.; Shen, C.; Pandav, R.S.; DeKosky, S.T. Alzheimer Disease and Mortality: A 15-Year Epidemiological Study. Arch. Neurol. 2005, 62, 779–784. [Google Scholar] [CrossRef] [PubMed]
- Castellani, R.J.; Rolston, R.K.; Smith, M.A. Alzheimer disease. Dis. Mon. 2010, 56, 484–546. [Google Scholar] [CrossRef]
- Armstrong, R.A. What causes alzheimer’s disease? Folia Neuropathol. 2013, 51, 169–188. [Google Scholar] [CrossRef]
- Schliebs, R.; Arendt, T. The cholinergic system in aging and neuronal degeneration. Behav. Brain Res. 2011, 221, 555–563. [Google Scholar] [CrossRef] [PubMed]
- Park, J.H.; Whang, W.K. Bioassay-guided isolation of anti-Alzheimer active components from the aerial parts of Hedyotis diffusa and simultaneous analysis for marker compounds. Molecules 2020, 25, 5867. [Google Scholar] [CrossRef] [PubMed]
- Park, J.-H.; Ju, Y.H.; Choi, J.W.; Song, H.J.; Jang, B.K.; Woo, J.; Chun, H.; Kim, H.J.; Shin, S.J.; Yarishkin, O. Newly developed reversible MAO-B inhibitor circumvents the shortcomings of irreversible inhibitors in Alzheimer’s disease. Sci. Adv. 2019, 5, eaav0316. [Google Scholar] [CrossRef] [PubMed]
- Sathya, M.; Premkumar, P.; Karthick, C.; Moorthi, P.; Jayachandran, K.; Anusuyadevi, M. BACE1 in Alzheimer’s disease. Clin. Chim. Acta 2012, 414, 171–178. [Google Scholar] [CrossRef] [PubMed]
- Hardy, J.; Selkoe, D.J. The amyloid hypothesis of Alzheimer’s disease: Progress and problems on the road to therapeutics. Science 2002, 297, 353–356. [Google Scholar] [CrossRef]
- Funamoto, S.; Tagami, S.; Okochi, M.; Morishima-Kawashima, M. Successive cleavage of β-amyloid precursor protein by γ-secretase. In Seminars in Cell & Developmental Biology; Elsevier: Amsterdam, The Netherlands, 2020; pp. 64–74. [Google Scholar]
- Zheng, H.; Koo, E.H. Biology and pathophysiology of the amyloid precursor protein. Mol. Neurodegener. 2011, 6, 27. [Google Scholar] [CrossRef] [PubMed]
- Lammich, S.; Kojro, E.; Postina, R.; Gilbert, S.; Pfeiffer, R.; Jasionowski, M.; Haass, C.; Fahrenholz, F. Constitutive and regulated α-secretase cleavage of Alzheimer’s amyloid precursor protein by a disintegrin metalloprotease. Proc. Natl. Acad. Sci. USA 1999, 96, 3922–3927. [Google Scholar] [CrossRef] [PubMed]
- Yan, R.; Bienkowski, M.J.; Shuck, M.E.; Miao, H.; Tory, M.C.; Pauley, A.M.; Brashler, J.R.; Stratman, N.C.; Mathews, W.R.; Buhl, A.E. Membrane-anchored aspartyl protease with Alzheimer’s disease β-secretase activity. Nature 1999, 402, 533–537. [Google Scholar] [CrossRef]
- Le Brocque, D.; Henry, A.; Cappai, R.; Li, Q.-X.; Tanner, J.E.; Galatis, D.; Gray, C.; Holmes, S.; Underwood, J.R.; Beyreuther, K. Processing of the Alzheimer’s disease amyloid precursor protein in Pichia pastoris: Immunodetection of α-, β-, and γ-secretase products. Biochemistry 1998, 37, 14958–14965. [Google Scholar] [CrossRef]
- Murphy, M.P.; Hickman, L.J.; Eckman, C.B.; Uljon, S.N.; Wang, R.; Golde, T.E. γ-Secretase, evidence for multiple proteolytic activities and influence of membrane positioning of substrate on generation of amyloid β peptides of varying length. J. Biol. Chem. 1999, 274, 11914–11923. [Google Scholar] [CrossRef]
- Marlow, L.; Cain, M.; Pappolla, M.A.; Sambamurti, K. β-secretase processing of the Alzheimer’s amyloid protein precursor (APP). J. Mol. Neurosci. 2003, 20, 233–239. [Google Scholar] [CrossRef] [PubMed]
- Shrivastava, A.N.; Kowalewski, J.M.; Renner, M.; Bousset, L.; Koulakoff, A.; Melki, R.; Giaume, C.; Triller, A. β-amyloid and ATP-induced diffusional trapping of astrocyte and neuronal metabotropic glutamate type-5 receptors. Glia 2013, 61, 1673–1686. [Google Scholar] [CrossRef] [PubMed]
- Lee, C.H.; Ko, M.S.; Kim, Y.S.; Ham, J.E.; Choi, J.Y.; Hwang, K.W.; Park, S.-Y. Neuroprotective Effects of Davallia Mariesii Roots and Its Active Constituents on Scopolamine-Induced Memory Impairment in In Vivo and In Vitro Studies. Pharmaceuticals 2023, 16, 1606. [Google Scholar] [CrossRef] [PubMed]
- Yang, D.Y.; Wang, X.Z. Gu Sui Bu (Rhizoma Drynariae)—A Good Drug for Senile Dementia. J. Tradit. Chin. Med. 2005, 25, 290–291. [Google Scholar] [PubMed]
- Park, S.-Y.; Kim, H.-S.; Hong, S.S.; Sul, D.; Hwang, K.W.; Lee, D. The neuroprotective effects of traditional oriental herbal medicines against β-amyloid-induced toxicity. Pharm. Biol. 2009, 47, 976–981. [Google Scholar] [CrossRef]
- Yang, Z.; Kuboyama, T.; Tohda, C. A systematic strategy for discovering a therapeutic drug for Alzheimer’s disease and its target molecule. Front. Pharmacol. 2017, 8, 273886. [Google Scholar] [CrossRef] [PubMed]
- Ferdous, R.; Islam, M.B.; Al-Amin, M.Y.; Dey, A.K.; Mondal, M.O.A.; Islam, M.N.; Alam, A.K.; Rahman, A.A.; Sadik, M.G. Anticholinesterase and antioxidant activity of Drynaria quercifolia and its ameliorative effect in scopolamine-induced memory impairment in mice. J. Ethnopharmacol. 2024, 319, 117095. [Google Scholar] [CrossRef] [PubMed]
- Ahn, J.S.; Whang, W.K. The Development and Validation of Simultaneous Multi-Component Quantitative Analysis via HPLC–PDA Detection of 12 Secondary Metabolites Isolated from Drynariae Rhizoma. Separations 2023, 10, 601. [Google Scholar] [CrossRef]
- Zhang, Y.-W.; Thompson, R.; Zhang, H.; Xu, H. APP processing in Alzheimer’s disease. Mol. Brain 2011, 4, 3. [Google Scholar] [CrossRef]
- De Jonghe, C.; Esselens, C.; Kumar-Singh, S.; Craessaerts, K.; Serneels, S.; Checler, F.; Annaert, W.; Van Broeckhoven, C.; De Strooper, B. Pathogenic APP mutations near the γ-secretase cleavage site differentially affect Aβ secretion and APP C-terminal fragment stability. Hum. Mol. Genet. 2001, 10, 1665–1671. [Google Scholar] [CrossRef]
- Ellman, G.L.; Courtney, K.D.; Andres, V., Jr.; Featherstone, R.M. A new and rapid colorimetric determination of acetylcholinesterase activity. Biochem. Pharmacol. 1961, 7, 88–95. [Google Scholar] [CrossRef] [PubMed]
- Kim, J.M.; Hwang, K.W.; Joo, H.B.; Park, S.Y. Anti-Amyloidogenic Properties of D ryopteris Crassirhizoma Roots in A lzheimer’s Disease Cellular Model. J. Food Biochem. 2015, 39, 478–484. [Google Scholar] [CrossRef]



| Sample | IC50 1 (μg/mL) | |||
|---|---|---|---|---|
| AChE | BChE | BACE1 | MAO-B | |
| Ext. | >10,000 | >10,000 | 207.07 ± 5.14 | >10,000 |
| Dichloromethane Fr. | >10,000 | >10,000 | >10,000 | >10,000 |
| Ethyl acetate Fr. | 618.33 ± 1.75 | 391.70 ± 3.12 | 85.36 ± 3.24 | 75.22 ± 1.02 |
| n-Butanol Fr. | 607.73 ± 2.07 | 439.14 ± 3.12 | 97.82 ± 4.11 | 869.90 ± 25.46 |
| Water Fr. | >10,000 | >10,000 | >10,000 | >10,000 |
| Berberine 2 | 0.04 ± 0.001 | 0.96 ± 0.08 | ||
| Quercetin 3 | 5.25 ± 0.18 | |||
| Selegiline 4 | 0.76 ± 0.03 | |||
| Compound | IC50 1 (μM) | |||
|---|---|---|---|---|
| AChE | BChE | BACE1 | MAO-B | |
| 1 | 33.39 ± 0.42 | 53.78 ± 1.15 | >1000 | >1000 |
| 2 | 14.77 ± 0.07 | 488 ± 10.11 | 44.98 ± 0.48 | 401.31 ± 2.66 |
| 3 | ND 5 | ND 5 | 234.61 ± 6.86 | 154.94 ± 7.18 |
| 4 | ND 5 | 30.63 ± 0.38 | 147.43 ± 0.74 | 600.93 ± 3.72 |
| 5 | >1000 | 38.76 ± 0.71 | >1000 | ND 5 |
| 6 | 353.43 ± 0.32 | 32.61 ± 5.66 | 83.27 ± 0.33 | 109.19 ± 0.08 |
| 7 | 47.33 ± 0.22 | 28.83 ± 0.31 | 39.11 ± 0.17 | 65.84 ± 3.72 |
| 8 | 31.65 ± 0.14 | 30.04 ± 0.23 | 13.66 ± 0.14 | 2.64 ± 0.016 |
| 9 | 124.32 ± 35.33 | 251.96 ± 12.27 | 64.95 ± 0.17 | 51.26 ± 0.14 |
| 10 | 57.70 ± 5.96 | 331.77 ± 0.14 | 55.72 ± 0.17 | 98.77 ± 0.14 |
| Berberine 2 | 0.31 ± 0.01 | 1.82 ± 0.33 | ||
| Quercetin 3 | 9.72 ± 3.72 | |||
| Selegiline 4 | 0.04 ± 0.001 | |||
Disclaimer/Publisher’s Note: The statements, opinions and data contained in all publications are solely those of the individual author(s) and contributor(s) and not of MDPI and/or the editor(s). MDPI and/or the editor(s) disclaim responsibility for any injury to people or property resulting from any ideas, methods, instructions or products referred to in the content. |
© 2024 by the authors. Licensee MDPI, Basel, Switzerland. This article is an open access article distributed under the terms and conditions of the Creative Commons Attribution (CC BY) license (https://creativecommons.org/licenses/by/4.0/).
Share and Cite
Ahn, J.S.; Lee, C.H.; Liu, X.-Q.; Hwang, K.W.; Oh, M.H.; Park, S.-Y.; Whang, W.K. Neuroprotective Effects of Phenolic Constituents from Drynariae Rhizoma. Pharmaceuticals 2024, 17, 1061. https://doi.org/10.3390/ph17081061
Ahn JS, Lee CH, Liu X-Q, Hwang KW, Oh MH, Park S-Y, Whang WK. Neuroprotective Effects of Phenolic Constituents from Drynariae Rhizoma. Pharmaceuticals. 2024; 17(8):1061. https://doi.org/10.3390/ph17081061
Chicago/Turabian StyleAhn, Jin Sung, Chung Hyeon Lee, Xiang-Qian Liu, Kwang Woo Hwang, Mi Hyune Oh, So-Young Park, and Wan Kyunn Whang. 2024. "Neuroprotective Effects of Phenolic Constituents from Drynariae Rhizoma" Pharmaceuticals 17, no. 8: 1061. https://doi.org/10.3390/ph17081061
APA StyleAhn, J. S., Lee, C. H., Liu, X.-Q., Hwang, K. W., Oh, M. H., Park, S.-Y., & Whang, W. K. (2024). Neuroprotective Effects of Phenolic Constituents from Drynariae Rhizoma. Pharmaceuticals, 17(8), 1061. https://doi.org/10.3390/ph17081061

