Antinociceptive and Anti-Inflammatory Activities of Acetonic Extract from Bougainvillea x buttiana (var. Rose)
Abstract
1. Introduction
2. Results
2.1. Extraction and Yields
2.2. Analgesic Activity
2.3. In Vivo Anti-Inflammatory Activity
2.4. Inhibition of Proteolytic Activity of BxbRAE-100%
2.5. Effect of BxbRAE-100% on the Activity of the Phospholipase A2 and Cyclooxygenase Enzymes
2.5.1. Anti-Phospholipase Activity of BxbRAE-100%
2.5.2. Cyclooxygenase Inhibitory Activity of BxbRAE-100%
2.6. Compounds Identified in BxbRAE 100%
2.7. In Silico Analysis of the Physicochemical Profile and ADME Properties of BxbRAE-100% Metabolites
3. Discussion
4. Materials and Methods
4.1. Chemicals, Drugs and Solvents
4.2. Animals
4.3. Extraction of Plant Material
4.4. Analgesic Activity
4.4.1. Acetic Acid-Induced Writhing Model
4.4.2. Tail Immersion Assay
4.4.3. Formalin Test
4.5. In Vivo Anti-Inflammatory Activity
4.5.1. TPA-Induced Ear Edema
4.5.2. Carrageenan-Induced Paw Edema
4.6. In Vitro Anti-Inflammatory Activity
4.6.1. Inhibitory Proteolytic Activity of BxbRAE-100%
4.6.2. Inhibition of Secretory Phospholipase A2 (sPLA2)
4.6.3. Cyclooxygenase Inhibitory Activity
4.7. In Silico Analysis of Compounds Present in BxbRAE-100%
4.8. Statistical Analysis
5. Conclusions
Author Contributions
Funding
Institutional Review Board Statement
Informed Consent Statement
Data Availability Statement
Conflicts of Interest
References
- Medzhitov, R. Inflammation 2010: New adventures of an old flame. Cell 2010, 140, 771–776. [Google Scholar] [CrossRef]
- Fioranelli, M.; Roccia, M.G.; Flavin, D.; Cota, L. Regulation of Inflammatory Reaction in Health and Disease. Int. J. Mol. Sci. 2021, 22, 5277. [Google Scholar] [CrossRef]
- Sánchez-Flórez, J.C.; Seija-Butnaru, D.; Valero, E.G.; Acosta, C.; Amaya, S. Pain Management Strategies in Rheumatoid Arthritis: A Narrative Review. J. Pain Palliat. Care Pharmacother. 2021, 35, 291–299. [Google Scholar] [CrossRef]
- VanderPluym, J. Indomethacin-responsive headaches. Curr. Neurol. Neurosci. Rep. 2015, 15, 516. [Google Scholar] [CrossRef]
- Raja, S.N.; Carr, D.B.; Cohen, M.; Finnerup, N.B.; Flor, H.; Gibson, S.; Keefe, F.J.; Mogil, J.S.; Ringkamp, M.; Sluka, K.A.; et al. The revised International Association for the Study of Pain definition of pain: Concepts, challenges, and compromises. Pain 2020, 161, 1976–1982. [Google Scholar] [CrossRef] [PubMed]
- Treede, R.D.; Rief, W.; Barke, A.; Aziz, Q.; Bennett, M.I.; Benoliel, R.; Cohen, M.; Evers, S.; Finnerup, N.B.; First, M.B.; et al. Chronic pain as a symptom or a disease: The IASP Classification of Chronic Pain for the International Classification of Diseases (ICD-11). Pain 2019, 160, 19–27. [Google Scholar] [CrossRef] [PubMed]
- Cascorbi, I. Inflammation: Treatment Progress and Limitations. Clin. Pharmacol. Ther. 2017, 102, 564–567. [Google Scholar] [CrossRef]
- Calixto, J.B.; Beirith, A.; Ferreira, J.; Santos, A.R.; Filho, V.C.; Yunes, R.A. Naturally occurring antinociceptive substances from plants. Phytother. Res. 2000, 14, 401–418. [Google Scholar] [CrossRef]
- Mathur, S.; Hoskins, C. Drug development: Lessons from nature (Review). Biomed. Rep. 2017, 6, 612–614. [Google Scholar] [CrossRef] [PubMed]
- Cos, P.; Vlietinck, A.J.; Berghe, D.V.; Maes, L. Anti-infective potential of natural products: How to develop a stronger in vitro ‘proof-of-concept’. J. Ethnopharmacol. 2006, 106, 290–302. [Google Scholar] [CrossRef]
- Duraipandiyan, V.; Ignacimuthu, S. Antibacterial and antifungal activity of Cassia fistula L.: An ethnomedicinal plant. J. Ethnopharmacol. 2007, 112, 590–594. [Google Scholar] [CrossRef]
- Ye, M.; Han, J.; Chen, H.; Zheng, J.; Guo, D. Analysis of phenolic compounds in rhubarbs using liquid chromatography coupled with electrospray ionization mass spectrometry. J. Am. Soc. Mass Spectrom. 2007, 18, 82–91. [Google Scholar] [CrossRef] [PubMed]
- Ornelas García, I.G.; Guerrero Barrera, A.L.; Avelar González, F.J.; Chávez Vela, N.A.; Gutiérrez Montiel, D. Bougainvillea glabra Choisy (Nyctinaginacea): Review of phytochemistry and antimicrobial potential. Front. Chem. 2023, 11, 1276514. [Google Scholar] [CrossRef] [PubMed]
- Schalepfer, L.; Bernarda, G.O. Las Flores de Casa Libertad; UACM, Ed.; UACM: Mexico City, Mexico, 2017. [Google Scholar]
- Poswal, F.S.; Russell, G.; Mackonochie, M.; MacLennan, E.; Adukwu, E.C.; Rolfe, V. Herbal Teas and their Health Benefits: A Scoping Review. Plant Foods Hum. Nutr. 2019, 74, 266–276. [Google Scholar] [CrossRef]
- Alvarez Perez Gil, A.L.; Barbosa Navarro, L.; Patipo Vera, M.; Petricevich, V.L. Anti-inflammatory and antinociceptive activities of the ethanolic extract of Bougainvillea xbuttiana. J. Ethnopharmacol. 2012, 144, 712–719. [Google Scholar] [CrossRef] [PubMed]
- Arteaga Figueroa, L.; Abarca-Vargas, R.; García Alanis, C.; Petricevich, V.L. Comparison between Peritoneal Macrophage Activation by Bougainvillea × buttiana Extract and LPS and/or Interleukins. BioMed Res. Int. 2017, 2017, 4602952. [Google Scholar] [CrossRef]
- Arteaga Figueroa, L.; Barbosa Navarro, L.; Patiño Vera, M.; Petricevich, V.L. Preliminary Studies of the Immunomodulator Effect of the Bougainvillea × buttiana Extract in a Mouse Model. Evid.-Based Complement. Altern. Med. 2015, 2015, 479412. [Google Scholar] [CrossRef] [PubMed]
- Abarca-Vargas, R.; Peña Malacara, C.F.; Petricevich, V.L. Characterization of Chemical Compounds with Antioxidant and Cytotoxic Activities in Bougainvillea × buttiana Holttum and Standl, (var. Rose) Extracts. Antioxidants 2016, 5, 45. [Google Scholar] [CrossRef]
- Abarca-Vargas, R.; Zamilpa, A.; Petricevich, V.L. Development and Validation of Conditions for Extracting Flavonoids Content and Evaluation of Antioxidant and Cytoprotective Activities from Bougainvillea × buttiana Bracteas (var. Rose). Antioxidants 2019, 8, 264. [Google Scholar] [CrossRef]
- Yeung, Y.T.; Aziz, F.; Guerrero-Castilla, A.; Arguelles, S. Signaling Pathways in Inflammation and Anti-inflammatory Therapies. Curr. Pharm. Des. 2018, 24, 1449–1484. [Google Scholar] [CrossRef]
- Figueroa, L.A.; Navarro, L.B.; Vera, M.P.; Petricevich, V.L. Antioxidant activity, total phenolic and flavonoid contents, and cytotoxicity evaluation of Bougainvillea × buttiana. Int. J. Pharm. Pharm. Sci. 2014, 6, 497–502. [Google Scholar]
- Shamni, O.; Cohen, G.; Gruzman, A.; Zaid, H.; Klip, A.; Cerasi, E.; Sasson, S. Regulation of GLUT4 activity in myotubes by 3-O-methyl-d-glucose. Biochim. Biophys. Acta (BBA) Biomembr. 2017, 1859, 1900–1910. [Google Scholar] [CrossRef] [PubMed]
- Seufert, A.L.; Napier, B.A. A new frontier for fat: Dietary palmitic acid induces innate immune memory. Immunometabolism 2023, 5, e00021. [Google Scholar] [CrossRef] [PubMed]
- Chapkin, R.S.; McMurray, D.N.; Davidson, L.A.; Patil, B.S.; Fan, Y.Y.; Lupton, J.R. Bioactive dietary long-chain fatty acids: Emerging mechanisms of action. Br. J. Nutr. 2008, 100, 1152–1157. [Google Scholar] [CrossRef] [PubMed]
- Belury, M.A. Dietary conjugated linoleic acid in health: Physiological effects and mechanisms of action. Annu. Rev. Nutr. 2002, 22, 505–531. [Google Scholar] [CrossRef] [PubMed]
- Alarcon-Gil, J.; Sierra-Magro, A.; Morales-Garcia, J.A.; Sanz-SanCristobal, M.; Alonso-Gil, S.; Cortes-Canteli, M.; Niso-Santano, M.; Martínez-Chacón, G.; Fuentes, J.M.; Santos, A.; et al. Neuroprotective and Anti-Inflammatory Effects of Linoleic Acid in Models of Parkinson’s Disease: The Implication of Lipid Droplets and Lipophagy. Cells 2022, 11, 2297. [Google Scholar] [CrossRef]
- Odiase-Omoighe, J.; Agoreyo, B. Identification of Bioactive Compounds in Sclerotia Extracts from Pleurotus tuber-regium (Fr.) Sing. using Gas Chromatograph–Mass Spectrometer (GC-MS). Niger. J. Biotechnol. 2022, 38, 39–50. [Google Scholar] [CrossRef]
- Nava Lauson, C.B.; Tiberti, S.; Corsetto, P.A.; Conte, F.; Tyagi, P.; Machwirth, M.; Ebert, S.; Loffreda, A.; Scheller, L.; Sheta, D.; et al. Linoleic acid potentiates CD8(+) T cell metabolic fitness and antitumor immunity. Cell Metab. 2023, 35, 633–650.e9. [Google Scholar] [CrossRef] [PubMed]
- Hagr, T.; Ali, K.; Satti, A.; Omer, S. GC-MS analysis, phytochemical, and antimicrobial activity of sudanese Nigella sativa (L) oil. Eur. J. Biomed. Pharmaceut. Sci. 2018, 5, 23–29. [Google Scholar]
- Alrumman, S.; Mostafa, Y.; Al-Qahtani, S.; Sahlabji, T.; Taha, T. Antimicrobial Activity and GC-MS Analysis of Bioactive Constituents of Thermophilic Bacteria Isolated from Saudi Hot Springs. Arab. J. Sci. Eng. 2018, 44, 75–85. [Google Scholar] [CrossRef]
- Oluyori, A.P.; Nwonuma, C.; Akpo, T.; Inyinbor, A.A.; Dada, O.A.; Oladeji, O.S.; Ogunnupebi, T.A. In Vivo Antiplasmodial Potential of the Leaf, Mesocarp, and Epicarp of the Raphia hookeri Plant in Mice Infected with Plasmodium berghei NK65. Evid.-Based Complement. Altern. Med. 2022, 2022, 4129045. [Google Scholar] [CrossRef]
- Dash, R.; Mitra, S.; Ali, M.C.; Oktaviani, D.F.; Hannan, M.A.; Choi, S.M.; Moon, I.S. Phytosterols: Targeting Neuroinflammation in Neurodegeneration. Curr. Pharm. Des. 2021, 27, 383–401. [Google Scholar] [CrossRef]
- García, M.D.; Sáenz, M.T.; Gómez, M.A.; Fernández, M.A. Topical antiinflammatory activity of phytosterols isolated from Eryngium foetidum on chronic and acute inflammation models. Phytother. Res. 1999, 13, 78–80. [Google Scholar] [CrossRef]
- Navarro, A.; De las Heras, B.; Villar, A. Anti-inflammatory and immunomodulating properties of a sterol fraction from Sideritis foetens Clem. Biol. Pharm. Bull. 2001, 24, 470–473. [Google Scholar] [CrossRef]
- Tan, D.C.; Kassim, N.K.; Ismail, I.S.; Hamid, M.; Ahamad Bustamam, M.S. Identification of Antidiabetic Metabolites from Paederia foetida L. Twigs by Gas Chromatography-Mass Spectrometry-Based Metabolomics and Molecular Docking Study. BioMed Res. Int. 2019, 2019, 7603125. [Google Scholar] [CrossRef]
- Wikarta, J.; Kim, S.M. Anti-Inflammatory Activity and Cytotoxicity of the Starfish Extracts on Cancer Cells in Culture. Med. Chem. 2016, 6, 331–338. [Google Scholar] [CrossRef]
- Hakkola, J.; Hukkanen, J.; Turpeinen, M.; Pelkonen, O. Inhibition and induction of CYP enzymes in humans: An update. Arch. Toxicol. 2020, 94, 3671–3722. [Google Scholar] [CrossRef]
- Adebayo, A.; John-Africa, L.; Chike-Ekwughe, A.; Omotosho, O.; Mosaku, T. Anti-nociceptive and anti-inflammatory activities of extract of Anchomanes difformis in rats. Pak. J. Pharm. Sci. 2014, 27, 265–270. [Google Scholar]
- Afify, E.; Alkreathy, H.; Ali, A.; Alfaifi, H.; Khan, L. Characterization of the Antinociceptive Mechanisms of Khat Extract (Catha edulis) in Mice. Front. Neurol. 2017, 8, 69. [Google Scholar] [CrossRef]
- Aziz, M.A. Qualitative phytochemical screening and evaluation of anti-inflammatory, analgesic and antipyretic activities of Microcos paniculata barks and fruits. J. Integr. Med. 2015, 13, 173–184. [Google Scholar] [CrossRef]
- Le Bars, D.; Gozariu, M.; Cadden, S.W. Animal models of nociception. Pharmacol. Rev. 2001, 53, 597–652. [Google Scholar]
- Costa, E.A.; Lino, R.C.; Gomes, M.N.; Nascimento, M.V.; Florentino, I.F.; Galdino, P.M.; Andrade, C.H.; Rezende, K.R.; Magalhães, L.O.; Menegatti, R. Anti-inflammatory and antinociceptive activities of LQFM002—A 4-nerolidylcatechol derivative. Life Sci. 2013, 92, 237–244. [Google Scholar] [CrossRef]
- Shibata, M.; Ohkubo, T.; Takahashi, H.; Inoki, R. Modified formalin test: Characteristic biphasic pain response. Pain 1989, 38, 347–352. [Google Scholar] [CrossRef]
- Carlson, R.P.; O’Neill-Davis, L.; Chang, J.; Lewis, A.J. Modulation of mouse ear edema by cyclooxygenase and lipoxygenase inhibitors and other pharmacologic agents. Agents Actions 1985, 17, 197–204. [Google Scholar] [CrossRef]
- Morris, C.J. Carrageenan-induced paw edema in the rat and mouse. Inflamm. Protoc. 2003, 225, 115–121. [Google Scholar]
- Chatpalliwar, V.; Joharapurkar, A.; Wanjari, M.; Chakraborty, R.; Kharkar, V. Anti-inflammatory activity of Martynia diandra glox. Indian Drugs 2002, 39, 543–545. [Google Scholar]
- Yatoo, M.I.; Gopalakrishnan, A.; Saxena, A.; Parray, O.R.; Tufani, N.A.; Chakraborty, S.; Tiwari, R.; Dhama, K.; Iqbal, H.M.N. Anti-Inflammatory Drugs and Herbs with Special Emphasis on Herbal Medicines for Countering Inflammatory Diseases and Disorders—A Review. Recent Pat. Inflamm. Allergy Drug Discov. 2018, 12, 39–58. [Google Scholar] [CrossRef]
- Murakami, M.; Kudo, I. Phospholipase A2. J. Biochem. 2002, 131, 285–292. [Google Scholar] [CrossRef]
- Vane, J.R.; Bakhle, Y.S.; Botting, R.M. Cyclooxygenases 1 and 2. Annu. Rev. Pharmacol. Toxicol. 1998, 38, 97–120. [Google Scholar] [CrossRef]
- Rawlings, N.D.; Barrett, A.J. Evolutionary families of peptidases. Biochem. J. 1993, 290 Pt 1, 205–218. [Google Scholar] [CrossRef]
- Turk, B. Targeting proteases: Successes, failures and future prospects. Nat. Rev. Drug Discov. 2006, 5, 785–799. [Google Scholar] [CrossRef]
- Demir, F.; Troldborg, A.; Thiel, S.; Lassé, M.; Huesgen, P.F.; Tomas, N.M.; Wiech, T.; Rinschen, M.M. Proteolysis and inflammation of the kidney glomerulus. Cell Tissue Res. 2021, 385, 489–500. [Google Scholar] [CrossRef]
- Khumalo, G.P.; Van Wyk, B.E.; Feng, Y.; Cock, I.E. A review of the traditional use of southern African medicinal plants for the treatment of inflammation and inflammatory pain. J. Ethnopharmacol. 2022, 283, 114436. [Google Scholar] [CrossRef]
- Kaabi, Y.A. Potential Roles of Anti-Inflammatory Plant-Derived Bioactive Compounds Targeting Inflammation in Microvascular Complications of Diabetes. Molecules 2022, 27, 7352. [Google Scholar] [CrossRef]
- Gabay, O.; Sanchez, C.; Salvat, C.; Chevy, F.; Breton, M.; Nourissat, G.; Wolf, C.; Jacques, C.; Berenbaum, F. Stigmasterol: A phytosterol with potential anti-osteoarthritic properties. Osteoarthr. Cartil. 2010, 18, 106–116. [Google Scholar] [CrossRef]
- Innes, J.K.; Calder, P.C. Omega-6 fatty acids and inflammation. Prostaglandins Leukot. Essent. Fat. Acids 2018, 132, 41–48. [Google Scholar] [CrossRef]
- Lipinski, C.A.; Lombardo, F.; Dominy, B.W.; Feeney, P.J. Experimental and computational approaches to estimate solubility and permeability in drug discovery and development settings. Adv. Drug Deliv. Rev. 2001, 46, 3–26. [Google Scholar] [CrossRef]
- Guengerich, F.P. Cytochrome P-450 3A4: Regulation and role in drug metabolism. Annu. Rev. Pharmacol. Toxicol. 1999, 39, 1–17. [Google Scholar] [CrossRef]
- Feltrin, C.; Farias, I.V.; Sandjo, L.P.; Reginatto, F.H.; Simões, C.M.O. Effects of Standardized Medicinal Plant Extracts on Drug Metabolism Mediated by CYP3A4 and CYP2D6 Enzymes. Chem. Res. Toxicol. 2020, 33, 2408–2419. [Google Scholar] [CrossRef]
- Koster, R.; Anderson, W.; De Beer, E. Acetic acid for analgesic screening. Fed. Proc. 1959, 18, 412–417. [Google Scholar]
- Siegmund, E.; Cadmus, R.; Lu, G. A method for evaluating both non-narcotic and narcotic analgesics. Proc. Soc. Exp. Biol. Med. 1957, 4, 729–731. [Google Scholar] [CrossRef]
- Parimaladevi, B.; Boominathan, R.; Mandal, S.C. Studies on analgesic activity of Cleome viscosa in mice. Fitoterapia 2003, 74, 262–266. [Google Scholar] [CrossRef]
- Rosland, J.H.; Tjølsen, A.; Mæhle, B.; Hole, K. The formalin test in mice: Effect of formalin concentration. Pain 1990, 42, 235–242. [Google Scholar] [CrossRef]
- Romero-Estudillo, I.; Viveros-Ceballos, J.L.; Cazares-Carreño, O.; González-Morales, A.; de Jesús, B.F.; López-Castillo, M.; Razo-Hernández, R.S.; Castañeda-Corral, G.; Ordóñez, M. 000Synthesis of new α-aminophosphonates: Evaluation as anti-inflammatory agents and QSAR studies. Bioorg. Med. Chem. 2019, 27, 2376–2386. [Google Scholar] [CrossRef]
- Sugishita, E.; Amagaya, S.; Ogihara, Y. Anti-inflammatory testing methods: Comparative evaluation of mice and rats. J. Pharmacobio-Dyn. 1981, 4, 565–575. [Google Scholar] [CrossRef]
- Adulyatham, P.; Owusu-Apenten, R. Stabilization and partial purification of a protease from ginger rhizome (Zingiber offinale Roscoe). J. Food Sci. 2005, 70, C231–C234. [Google Scholar] [CrossRef]
- de Araújo, A.L.; Radvanyi, F. Determination of phospholipase A2 activity by a colorimetric assay using a pH indicator. Toxicon 1987, 25, 1181–1188. [Google Scholar] [CrossRef]
- Daina, A.; Michielin, O.; Zoete, V. SwissADME: A free web tool to evaluate pharmacokinetics, drug-likeness and medicinal chemistry friendliness of small molecules. Sci. Rep. 2017, 7, 42717. [Google Scholar] [CrossRef]
- Pires, D.E.; Blundell, T.L.; Ascher, D.B. pkCSM: Predicting Small-Molecule Pharmacokinetic and Toxicity Properties Using Graph-Based Signatures. J. Med. Chem. 2015, 58, 4066–4072. [Google Scholar] [CrossRef]
- NORMA Oficial Mexicana NOM-062-ZOO-1999, Especificaciones Técnicas para la Producción, Cuidado y Uso de los Animales de Laboratorio. Diario Oficial de la Federación, 1999. pp. 107–165. Available online: https://dof.gob.mx/nota_detalle.php?codigo=764738&fecha=18/06/2001#gsc.tab=0 (accessed on 20 January 2024).






| Compound Name and Structure | Activity | Reference |
|---|---|---|
| Carbohydrates | ||
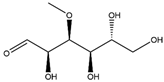
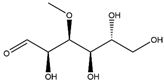
3-O-Methyl-d-glucose![]() | Increased the rate of hexose transport into myotubes by increasing glucose transporter type 4 (GLUT-4) activity | [22,23] |
| Saturated Fatty Acids | ||
n-Hexadecanoic acid ![]() | Antioxidant, anti-inflammatory, antinociceptive, hypocholesterolemic, nematicide, hemolytic, anti-androgenic, 5-alfa reductase inhibitor and immunomodulator | [22,23,24,25] |
| Polyunsaturated Fatty Acids | ||
9,12-Octadecadienoic(Z,Z)-![]() | Antioxidant, antibacterial, anti-inflammatory neuroprotective, hypocholesterolemic, cancer preventive, hepatoprotector, antihistaminic, and antieczemic | [26,27,28,29,30] |
| Fatty Alcohol | ||
1-Dotriacontanol![]() | Antimicrobial, and antioxidant | [31,32] |
| Phytosterols | ||
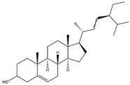
Stigmasta-5,22-dien-3-ol ![]() | Antioxidant, anti-inflammatory, antibacterial, cytotoxic, anti-hepatotoxic, antiviral, and hypercholesteremic | [33,34,35] |
Stigmast-7-en-3-ol, (3β,5α) ![]() | Anti-cancer, antidiabetic, and anti-inflammatory | [36,37] |
| Compound | MW | nHBD | nHBA | Log P | NVio | Meet Lipinski RO5 Criteria | TPSA (Å2) | nRotB |
|---|---|---|---|---|---|---|---|---|
| <500 | <5 | <10 | ≤5 | <1 | Yes/No | <140 | <10 | |
| 3-O-Methyl-d-glucose | 194.18 | 4 | 6 | −2.25 | 0 | Yes | 107.22 | 6 |
| n-Hexadecanoic acid | 256.43 | 1 | 2 | 7.06 | 1 | Yes | 37.30 | 14 |
| 9,12-Octadecadienoic(Z,Z)- | 280.45 | 1 | 2 | 6.86 | 1 | Yes | 37.30 | 13 |
| 1-Dotriacontanol | 466.88 | 1 | 1 | 10.11 | 1 | Yes | 20.23 | 30 |
| Stigmasta-5,22-dien-3-ol | 414.72 | 1 | 1 | 8.62 | 1 | Yes | 20.23 | 6 |
| Stigmast-7-en-3-ol, (3β,5α) | 414.72 | 1 | 1 | 8.05 | 1 | Yes | 20.23 | 5 |
| Compound | Absorption | Distribution | Excretion | ||||||
|---|---|---|---|---|---|---|---|---|---|
| Log S | HIA | Log Kp | P-gp | PPB% | BBB | Vd | Cltot | Renal OCT2 Substrate | |
| 3-O-Methyl-d-glucose | 1.17 Highly soluble | 27.2 | −9.54 | No | 29.67 | No | 0.43 | 1.84 | No |
| n-Hexadecanoic acid | −5.02 Moderately soluble | 91.9 | −2.77 | No | 98.95 | Yes | 0.61 | 2.38 | No |
| 9,12-Octadecadienoic (Z,Z)- | −4.67 Moderately soluble | 90.4 | −3.37 | No | 98.95 | Yes | 0.61 | 2.37 | No |
| 1-Dotriacontanol | −10.7 Insoluble | 84.3 | −2.06 | Yes | 100 | No | 5.1 | 4.73 | No |
| Stigmasta-5,22-dien-3-ol | −7.74 Poorly soluble | 95.9 | −2.38 | No | 95.04 | No | 1.27 | 7.35 | No |
| Stigmast-7-en-3-ol, (3β,5α) | −7.99 Poorly soluble | 97.8 | −2.17 | No | 95.17 | No | 1.46 | 11.31 | No |
| Compound | Metabolism | |||||||||
|---|---|---|---|---|---|---|---|---|---|---|
| CYP1A2 | CYP2C9 | CYP2C19 | CYP2D6 | CYP3A4 | ||||||
| S | I | S | I | S | I | S | I | S | I | |
| 3-O-Methyl-d-glucose | No | No | No | No | No | No | No | No | No | No |
| n-Hexadecanoic acid | No | Yes | No | No | No | No | No | Yes | Yes | No |
| 9,12-Octadecadienoic(Z,Z)- | No | Yes | No | Yes | No | No | No | No | Yes | No |
| 1-Dotriacontanol | No | No | No | No | No | No | No | No | Yes | No |
| Stigmasta-5,22-dien-3-ol | No | No | No | No | No | No | No | No | Yes | No |
| Stigmast-7-en-3-ol, (3β,5α) | No | No | No | No | No | No | No | No | Yes | No |
| Physicochemical profile | Lipinski’s RO5 descriptors |
|
| ADME properties | Absorption |
|
| Distribution |
| |
| Metabolism |
| |
| Excretion |
|
Disclaimer/Publisher’s Note: The statements, opinions and data contained in all publications are solely those of the individual author(s) and contributor(s) and not of MDPI and/or the editor(s). MDPI and/or the editor(s) disclaim responsibility for any injury to people or property resulting from any ideas, methods, instructions or products referred to in the content. |
© 2024 by the authors. Licensee MDPI, Basel, Switzerland. This article is an open access article distributed under the terms and conditions of the Creative Commons Attribution (CC BY) license (https://creativecommons.org/licenses/by/4.0/).
Share and Cite
Castañeda-Corral, G.; Cedillo-Cortezano, M.; Aviles-Flores, M.; López-Castillo, M.; Acevedo-Fernández, J.J.; Petricevich, V.L. Antinociceptive and Anti-Inflammatory Activities of Acetonic Extract from Bougainvillea x buttiana (var. Rose). Pharmaceuticals 2024, 17, 1037. https://doi.org/10.3390/ph17081037
Castañeda-Corral G, Cedillo-Cortezano M, Aviles-Flores M, López-Castillo M, Acevedo-Fernández JJ, Petricevich VL. Antinociceptive and Anti-Inflammatory Activities of Acetonic Extract from Bougainvillea x buttiana (var. Rose). Pharmaceuticals. 2024; 17(8):1037. https://doi.org/10.3390/ph17081037
Chicago/Turabian StyleCastañeda-Corral, Gabriela, Mayra Cedillo-Cortezano, Magdalena Aviles-Flores, Misael López-Castillo, Juan José Acevedo-Fernández, and Vera L. Petricevich. 2024. "Antinociceptive and Anti-Inflammatory Activities of Acetonic Extract from Bougainvillea x buttiana (var. Rose)" Pharmaceuticals 17, no. 8: 1037. https://doi.org/10.3390/ph17081037
APA StyleCastañeda-Corral, G., Cedillo-Cortezano, M., Aviles-Flores, M., López-Castillo, M., Acevedo-Fernández, J. J., & Petricevich, V. L. (2024). Antinociceptive and Anti-Inflammatory Activities of Acetonic Extract from Bougainvillea x buttiana (var. Rose). Pharmaceuticals, 17(8), 1037. https://doi.org/10.3390/ph17081037







