Discovery and Anticancer Screening of Novel Oxindole-Based Derivative Bearing Pyridyl Group as Potent and Selective Dual FLT3/CDK2 Kinase Inhibitor
Abstract
1. Introduction
2. Results and Discussion
2.1. Chemistry
2.2. High Throughput Anticancer Screening for Compounds 5a–p
2.3. Dose-Dependent Effects of Compound 5l against NCI 60 Cancer Cell Panel
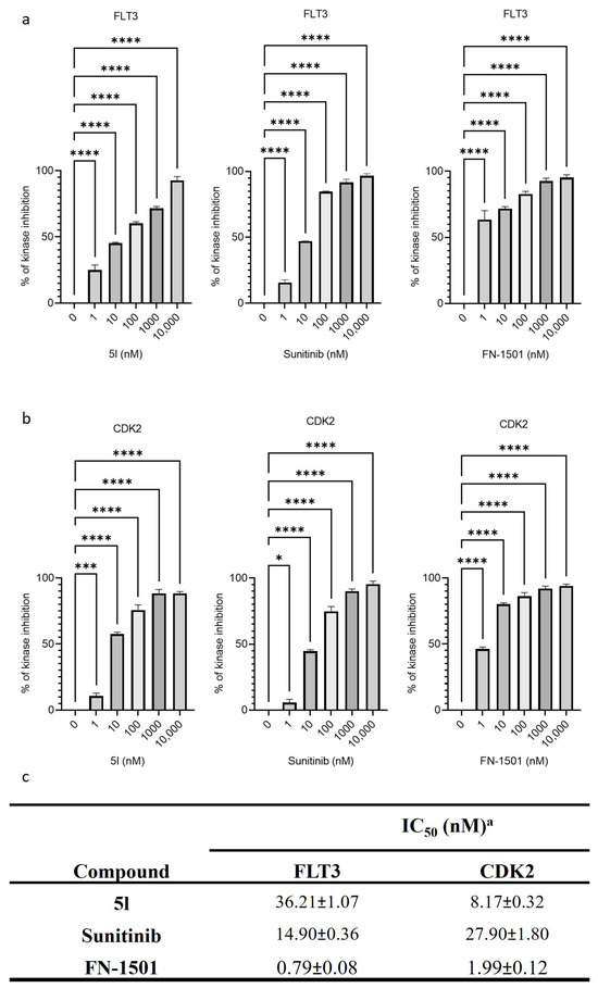
2.4. Kinase Screening of Compound 5l
2.5. Molecular Modeling Studies
2.6. Physicochemical, ADME, Pharmacokinetic Characteristics and Drug-Likeness Forecast
3. Materials and Methods
3.1. Chemistry
3.1.1. General
3.1.2. General Procedure for the Synthesis of Compounds 3a–d
3.1.3. General Procedure for the Synthesis of Compounds 5a–p
- 13C NMR (100 MHz, DMSO-d6) δ:
- 13C NMR (100 MHz, DMSO-d6) δ:
- 13C NMR (101 MHz, DMSO-d6) δ:
- 13C NMR (100 MHz, DMSO-d6) δ:
- 13C NMR (100 MHz, DMSO-d6) δ:
- 13C NMR (100 MHz, DMSO-d6) δ
- 13C NMR (100 MHz, DMSO-d6) δ:
- 13C NMR (101 MHz, DMSO-d6) δ:
- 13C NMR (100 MHz, DMSO-d6) δ:
- 13C NMR (100 MHz, DMSO-d6) δ:
- 13C NMR (100 MHz, DMSO-d6) δ:
- 13C NMR (100 MHz, DMSO-d6) δ:
- 13C NMR (100 MHz, DMSO-d6) δ:
- 13C NMR (100 MHz, DMSO-d6) δ:
- 13C NMR (100 MHz, DMSO-d6) δ:
- 13C NMR (100 MHz, DMSO-d6) δ:
3.2. Biological Assays
3.2.1. Screening of Antiproliferative Activity by NCI
3.2.2. Kinase Screening of Compound 5l
3.3. Molecular Modelling
3.3.1. Molecular Docking
3.3.2. MD Simulations
3.3.3. Prediction of Physicochemical and Pharmacokinetic Properties
4. Conclusions
Supplementary Materials
Author Contributions
Funding
Institutional Review Board Statement
Informed Consent Statement
Data Availability Statement
Acknowledgments
Conflicts of Interest
References
- Hanahan, D.; Weinberg, R.A. Hallmarks of cancer: The next generation. Cell 2011, 144, 646–674. [Google Scholar] [CrossRef] [PubMed]
- Pavlova, N.N.; Thompson, C.B. The emerging hallmarks of cancer metabolism. Cell Metab. 2016, 23, 27–47. [Google Scholar] [CrossRef] [PubMed]
- Siegel, R.L.; Miller, K.D.; Wagle, N.S.; Jemal, A. Cancer statistics, 2023. CA Cancer J. Clin. 2023, 73, 17–48. [Google Scholar] [CrossRef]
- Fu, R.-G.; Sun, Y.; Sheng, W.-B.; Liao, D.-F. Designing multi-targeted agents: An emerging anticancer drug discovery paradigm. Eur. J. Med. Chem. 2017, 136, 195–211. [Google Scholar] [CrossRef]
- Giordano, S.; Petrelli, A. From single-to multi-target drugs in cancer therapy: When aspecificity becomes an advantage. Curr. Med. Chem. 2008, 15, 422–432. [Google Scholar] [CrossRef] [PubMed]
- Trajanoska, K.; Bhérer, C.; Taliun, D.; Zhou, S.; Richards, J.B.; Mooser, V. From target discovery to clinical drug development with human genetics. Nature 2023, 620, 737–745. [Google Scholar] [CrossRef]
- Aroosa, M.; Malik, J.A.; Ahmed, S.; Bender, O.; Ahemad, N.; Anwar, S. The evidence for repurposing anti-epileptic drugs to target cancer. Mol. Biol. Rep. 2023, 50, 7667–7680. [Google Scholar] [CrossRef]
- Atanasov, A.G.; Zotchev, S.B.; Dirsch, V.M.; Supuran, C.T. Natural products in drug discovery: Advances and opportunities. Nat. Rev. Drug Discov. 2021, 20, 200–216. [Google Scholar] [CrossRef]
- Mahomoodally, M.F.; Atalay, A.; Picot, M.C.N.; Bender, O.; Celebi, E.; Mollica, A.; Zengin, G. Chemical, biological and molecular modelling analyses to probe into the pharmacological potential of Antidesma madagascariense Lam.: A multifunctional agent for developing novel therapeutic formulations. J. Pharm. Biomed. Anal. 2018, 161, 425–435. [Google Scholar] [CrossRef]
- Nicolaou, K.C. Advancing the drug discovery and development process. Angew. Chem. 2014, 126, 9280–9292. [Google Scholar] [CrossRef]
- Paul, D.; Sanap, G.; Shenoy, S.; Kalyane, D.; Kalia, K.; Tekade, R.K. Artificial intelligence in drug discovery and development. Drug Discov. Today 2021, 26, 80. [Google Scholar] [CrossRef] [PubMed]
- Shen, B. A new golden age of natural products drug discovery. Cell 2015, 163, 1297–1300. [Google Scholar] [CrossRef]
- Alotaibi, A.A.; Asiri, H.H.; Rahman, A.F.M.M.; Alanazi, M.M. Novel pyrrolo[2,3-d]pyrimidine derivatives as multi-kinase inhibitors with VEGFR-2 selectivity. J. Saudi Chem. Soc. 2023, 27, 101712. [Google Scholar] [CrossRef]
- Wang, Z.; Cai, J.; Cheng, J.; Yang, W.; Zhu, Y.; Li, H.; Lu, T.; Chen, Y.; Lu, S. FLT3 Inhibitors in Acute Myeloid Leukemia: Challenges and Recent Developments in Overcoming Resistance. J. Med. Chem. 2021, 64, 2878–2900. [Google Scholar] [CrossRef] [PubMed]
- Ezelarab, H.A.A.; Ali, T.F.S.; Abbas, S.H.; Hassan, H.A.; Beshr, E.A.M. Indole-based FLT3 inhibitors and related scaffolds as potential therapeutic agents for acute myeloid leukemia. BMC Chem. 2023, 17, 73. [Google Scholar] [CrossRef] [PubMed]
- Al-Sanea, M.M.; Obaidullah, A.J.; Shaker, M.E.; Chilingaryan, G.; Alanazi, M.M.; Alsaif, N.A.; Alkahtani, H.M.; Alsubaie, S.A.; Abdelgawad, M.A. A New CDK2 Inhibitor with 3-Hydrazonoindolin-2-One Scaffold Endowed with Anti-Breast Cancer Activity: Design, Synthesis, Biological Evaluation, and In Silico Insights. Molecules 2021, 26, 412. [Google Scholar] [CrossRef] [PubMed]
- Li, C.; Liu, L.; Liang, L.; Xia, Z.; Li, Z.; Wang, X.; McGee, L.R.; Newhall, K.; Sinclair, A.; Kamb, A.; et al. AMG 925 is a dual FLT3/CDK4 inhibitor with the potential to overcome FLT3 inhibitor resistance in acute myeloid leukemia. Mol. Cancer Ther. 2015, 14, 375–383. [Google Scholar] [CrossRef] [PubMed]
- Richardson, G.E.; Al-Rajabi, R.; Uprety, D.; Hamid, A.; Williamson, S.K.; Baranda, J.; Mamdani, H.; Lee, Y.L.; Nitika; Li, L.; et al. A Multicenter, Open-Label, Phase I/II Study of FN-1501 in Patients with Advanced Solid Tumors. Cancers 2023, 15, 2553. [Google Scholar] [CrossRef] [PubMed]
- Wang, Y.; Zhi, Y.; Jin, Q.; Lu, S.; Lin, G.; Yuan, H.; Yang, T.; Wang, Z.; Yao, C.; Ling, J.; et al. Discovery of 4-((7H-Pyrrolo[2,3-d]pyrimidin-4-yl)amino)-N-(4-((4-methylpiperazin-1-yl)methyl)phenyl)-1H-pyrazole-3-carboxamide (FN-1501), an FLT3- and CDK-Kinase Inhibitor with Potentially High Efficiency against Acute Myelocytic Leukemia. J. Med. Chem. 2018, 61, 1499–1518. [Google Scholar] [CrossRef]
- Bender, O.; Shoman, M.E.; Ali, T.F.S.; Dogan, R.; Celik, I.; Mollica, A.; Hamed, M.I.A.; Aly, O.M.; Alamri, A.; Alanazi, J.; et al. Discovery of oxindole-based FLT3 inhibitors as a promising therapeutic lead for acute myeloid leukemia carrying the oncogenic ITD mutation. Arch. Pharm. 2023, 356, e2200407. [Google Scholar] [CrossRef]
- Alanazi, J.; Bender, O.; Dogan, R.; Malik, J.A.; Atalay, A.; Ali, T.F.S.; Beshr, E.A.M.; Shawky, A.M.; Aly, O.M.; Alqahtani, Y.N.H.; et al. Combination of an Oxindole Derivative with (−)-beta-Elemene Alters Cell Death Pathways in FLT3/ITD(+) Acute Myeloid Leukemia Cells. Molecules 2023, 28, 5253. [Google Scholar] [CrossRef] [PubMed]
- Bender, O.; Celik, I.; Dogan, R.; Atalay, A.; Shoman, M.E.; Ali, T.F.S.; Beshr, E.A.M.; Mohamed, M.; Alaaeldin, E.; Shawky, A.M.; et al. Vanillin-Based Indolin-2-one Derivative Bearing a Pyridyl Moiety as a Promising Anti-Breast Cancer Agent via Anti-Estrogenic Activity. ACS Omega 2023, 8, 6968–6981. [Google Scholar] [CrossRef] [PubMed]
- Chen, X.; Yang, T.; Deivasigamani, A.; Shanmugam, M.K.; Hui, K.M.; Sethi, G.; Go, M.L. N′-Alkylaminosulfonyl Analogues of 6-Fluorobenzylideneindolinones with Desirable Physicochemical Profiles and Potent Growth Inhibitory Activities on Hepatocellular Carcinoma. ChemMedChem 2015, 10, 1548–1558. [Google Scholar] [CrossRef] [PubMed]
- Lackey, K.; Cory, M.; Davis, R.; Frye, S.V.; Harris, P.A.; Hunter, R.N.; Jung, D.K.; McDonald, O.B.; McNutt, R.W.; Peel, M.R. The discovery of potent cRaf1 kinase inhibitors. Bioorg. Med. Chem. Lett. 2000, 10, 223–226. [Google Scholar] [CrossRef] [PubMed]
- Mansour, H.S.; Abd El-wahab, H.A.; Ali, A.M.; Aboul-Fadl, T. Inversion kinetics of some E/Z 3-(benzylidene)-2-oxo-indoline derivatives and their in silico CDK2 docking studies. RSC Adv. 2021, 11, 7839–7850. [Google Scholar] [CrossRef] [PubMed]
- Sun, L.; Tran, N.; Tang, F.; App, H.; Hirth, P.; McMahon, G.; Tang, C. Synthesis and biological evaluations of 3-substituted indolin-2-ones: A novel class of tyrosine kinase inhibitors that exhibit selectivity toward particular receptor tyrosine kinases. J. Med. Chem. 1998, 41, 2588–2603. [Google Scholar] [CrossRef] [PubMed]
- Martin, M.P.; Alam, R.; Betzi, S.; Ingles, D.J.; Zhu, J.Y.; Schonbrunn, E. A novel approach to the discovery of small-molecule ligands of CDK2. Chembiochem 2012, 13, 2128–2136. [Google Scholar] [CrossRef] [PubMed]
- Kawase, T.; Nakazawa, T.; Eguchi, T.; Tsuzuki, H.; Ueno, Y.; Amano, Y.; Suzuki, T.; Mori, M.; Yoshida, T. Effect of Fms-like tyrosine kinase 3 (FLT3) ligand (FL) on antitumor activity of gilteritinib, a FLT3 inhibitor, in mice xenografted with FL-overexpressing cells. Oncotarget 2019, 10, 6111–6123. [Google Scholar] [CrossRef]
- Alafnan, A.; Dogan, R.; Bender, O.; Celik, I.; Mollica, A.; Malik, J.A.; Rengasamy, K.R.R.; Break, M.K.B.; Khojali, W.M.A.; Alharby, T.N. Beta Elemene induces cytotoxic effects in FLT3 ITD-mutated acute myeloid leukemia by modulating apoptosis. Eur. Rev. Med. Pharmacol. Sci. 2023, 27, 3270–3287. [Google Scholar]
- Daina, A.; Zoete, V. A BOILED-Egg To Predict Gastrointestinal Absorption and Brain Penetration of Small Molecules. ChemMedChem 2016, 11, 1117–1121. [Google Scholar] [CrossRef]
- Ebenezer, O.; Oyetunde-Joshua, F.; Omotoso, O.D.; Shapi, M. Benzimidazole and its derivatives: Recent Advances (2020–2022). Results Chem. 2023, 5, 100925. [Google Scholar] [CrossRef]
- Ye, Z.; Lei, Z.; Ye, X.; Zhou, L.; Wang, Y.; Yuan, Z.; Gao, F.; Britton, R. Decatungstate Catalyzed Synthesis of Trifluoromethylthioesters from Aldehydes via a Radical Process. J. Org. Chem. 2022, 87, 765–775. [Google Scholar] [CrossRef]
- Sun, Z.; Zaman, M.K.; Khan, S.N.; Cai, Y. Decarboxylative Oxidation of Carboxylic Acids Using Photocatalysis and Copper Catalysis. Synlett 2023, 34, 2029–2033. [Google Scholar] [CrossRef]
- Popov, A.B.; Krstulovic, L.; Kostrun, S.; Jelic, D.; Bokulic, A.; Stojkovic, M.R.; Zonjic, I.; Taylor, M.C.; Kelly, J.M.; Bajic, M.; et al. Design, synthesis, antitrypanosomal activity, DNA/RNA binding and in vitro ADME profiling of novel imidazoline-substituted 2-arylbenzimidazoles. Eur. J. Med. Chem. 2020, 207, 112802. [Google Scholar] [CrossRef] [PubMed]
- Sundberg, R.J.; Dahlhausen, D.J.; Manikumar, G.; Mavunkel, B.; Biswas, A.; Srinivasan, V.; King, F.; Waid, P. Preparation of 2-aryl and 2-aryloxymethyl imidazo[1,2-a]pyridines and related compounds. J. Heterocycl. Chem. 2009, 25, 129–137. [Google Scholar] [CrossRef]
- Taban, I.M.; Zhu, J.; DeLuca, H.F.; Simons, C. Analysis of the binding sites of vitamin D 1alpha-hydroxylase (CYP27B1) and vitamin D 24-hydroxylase (CYP24A1) for the design of selective CYP24A1 inhibitors: Homology modelling, molecular dynamics simulations and identification of key binding requirements. Bioorg. Med. Chem. 2017, 25, 5629–5636. [Google Scholar] [CrossRef] [PubMed]
- Amombo, G.M.; Kramer, T.; Lo Monte, F.; Goring, S.; Fach, M.; Smith, S.; Kolb, S.; Schubenel, R.; Baumann, K.; Schmidt, B. Modification of a promiscuous inhibitor shifts the inhibition from gamma-secretase to FLT-3. Bioorg. Med. Chem. Lett. 2012, 22, 7634–7640. [Google Scholar] [CrossRef]
- Workman, P. The NCI-60 Human Tumor Cell Line Screen: A Catalyst for Progressive Evolution of Models for Discovery and Development of Cancer Drugs. Cancer Res. 2023, 83, 3170–3173. [Google Scholar] [CrossRef]
- Vichai, V.; Kirtikara, K. Sulforhodamine B colorimetric assay for cytotoxicity screening. Nat. Protoc. 2006, 1, 1112–1116. [Google Scholar] [CrossRef]
- Friesner, R.A.; Murphy, R.B.; Repasky, M.P.; Frye, L.L.; Greenwood, J.R.; Halgren, T.A.; Sanschagrin, P.C.; Mainz, D.T. Extra precision glide: Docking and scoring incorporating a model of hydrophobic enclosure for protein-ligand complexes. J. Med. Chem. 2006, 49, 6177–6196. [Google Scholar] [CrossRef]
- Adasme, M.F.; Linnemann, K.L.; Bolz, S.N.; Kaiser, F.; Salentin, S.; Haupt, V.J.; Schroeder, M. PLIP 2021: Expanding the scope of the protein-ligand interaction profiler to DNA and RNA. Nucleic Acids Res. 2021, 49, W530–W534. [Google Scholar] [CrossRef] [PubMed]
- Abraham, M.J.; Murtola, T.; Schulz, R.; Páll, S.; Smith, J.C.; Hess, B.; Lindahl, E. GROMACS: High performance molecular simulations through multi-level parallelism from laptops to supercomputers. SoftwareX 2015, 1–2, 19–25. [Google Scholar] [CrossRef]
- Jo, S.; Kim, T.; Iyer, V.G.; Im, W. CHARMM-GUI: A web-based graphical user interface for CHARMM. J. Comput. Chem. 2008, 29, 1859–1865. [Google Scholar] [CrossRef]
- Lee, J.; Cheng, X.; Swails, J.M.; Yeom, M.S.; Eastman, P.K.; Lemkul, J.A.; Wei, S.; Buckner, J.; Jeong, J.C.; Qi, Y.; et al. CHARMM-GUI Input Generator for NAMD, GROMACS, AMBER, OpenMM, and CHARMM/OpenMM Simulations Using the CHARMM36 Additive Force Field. J. Chem. Theory Comput. 2016, 12, 405–413. [Google Scholar] [CrossRef] [PubMed]
- Huang, J.; Rauscher, S.; Nawrocki, G.; Ran, T.; Feig, M.; de Groot, B.L.; Grubmuller, H.; MacKerell, A.D., Jr. CHARMM36m: An improved force field for folded and intrinsically disordered proteins. Nat. Methods 2017, 14, 71–73. [Google Scholar] [CrossRef] [PubMed]
- Valdes-Tresanco, M.S.; Valdes-Tresanco, M.E.; Valiente, P.A.; Moreno, E. gmx_MMPBSA: A New Tool to Perform End-State Free Energy Calculations with GROMACS. J. Chem. Theory Comput. 2021, 17, 6281–6291. [Google Scholar] [CrossRef] [PubMed]
- Daina, A.; Michielin, O.; Zoete, V. SwissADME: A free web tool to evaluate pharmacokinetics, drug-likeness and medicinal chemistry friendliness of small molecules. Sci. Rep. 2017, 7, 42717. [Google Scholar] [CrossRef]
- Pires, D.E.; Blundell, T.L.; Ascher, D.B. pkCSM: Predicting Small-Molecule Pharmacokinetic and Toxicity Properties Using Graph-Based Signatures. J. Med. Chem. 2015, 58, 4066–4072. [Google Scholar] [CrossRef]








| Compound | Substituents | Chemical Shifts (Vinyl H, δ ppm) | Chemical Shifts (2′ and 6′-Hs, δ ppm) | E:Z Ratio a | |||
|---|---|---|---|---|---|---|---|
| R | Ar | E | Z | E | Z | ||
| 5a | H | phenyl | 7.34 | 7.75 | 7.36 | 7.68 | 3:97 |
| 5b | 5-F | phenyl | 7.33 | 7.82 | 7.35 | 7.61 | 15:85 |
| 5c | 5-Cl | phenyl | 7.33 | 7.89 | 7.35 | 7.81 | 35:65 |
| 5d | 6-Cl | phenyl | 7.30 | 7.80 | 7.36 | 7.69 | 15:85 |
| 5e | H | 2-pyridyl | 7.22 | 7.36 | 7.58 | 7.73 | 31:69 |
| 5f | 5-F | 2-pyridyl | 7.38 | 7.65 | 7.60 | 7.73 | 33:67 |
| 5g | 5-Cl | 2-pyridyl | 7.57 | 7.66 | 7.29 | 7.72 | 23:77 |
| 5h | 6-Cl | 2-pyridyl | 7.59 | 7.81 | 7.38 | 7.71 | 47:53 |
| 5i | H | 3-pyridyl | 7.13 | 7.58 | 7.63 | 7.72 | 44:56 |
| 5j | 5-F | 3-pyridyl | 7.00 | 7.45 | 7.36 | 8.57 | 38:62 |
| 5k | 5-Cl | 3-pyridyl | 7.29 | 7.67 | 7.19 | 7.76 | 41:59 |
| 5l | 6-Cl | 3-pyridyl | 7.63 | 7.80 | 7.62 | 8.47 | 39:61 |
| 5m | H | 4-pyridyl | 7.20 | 7.58 | 7.64 | 7.24 | 37:63 |
| 5n | 5-F | 4-pyridyl | 7.65 | 7.58 | 7.00 | 7.73 | 5:95 |
| 5o | 5-Cl | 4-pyridyl | 7.66 | 7.88 | 7.73 | 7.80 | 57:43 |
| 5p | 6-Cl | phenyl | 7.59 | 7.62 | 7.04 | 7.73 | 17:82 |
| 5a | 5b | 5c | 5d | 5e | 5f | 5g | 5h | 5i | 5j | 5k | 5l | 5m | 5n | 5o | 5p | ||
|---|---|---|---|---|---|---|---|---|---|---|---|---|---|---|---|---|---|
| Leukemia | CCRF-CEM | 0.52 | −10.84 | 0.21 | −2.18 | 57.72 | 5.79 | 16.80 | 53.72 | 52.44 | 75.00 | 36.38 | 83.93 | 40.51 | 40.63 | 53.85 | 34.36 |
| HL-60(TB) | 11.51 | 7.92 | −3.22 | −13.14 | 38.75 | 13.93 | 14.99 | 5.33 | 49.87 | 81.68 | 14.82 | 95.54 | 55.26 | 57.75 | 66.51 | 52.44 | |
| K-562 | 11.80 | 7.19 | −0.34 | 6.91 | 59.21 | 14.63 | 48.95 | 31.35 | 75.91 | 86.13 | 38.76 | 95.05 | 62.67 | 79.32 | 72.45 | 59.07 | |
| MOLT-4 | 2.73 | −0.05 | 3.28 | 0.86 | 62.52 | 3.55 | 53.15 | 61.47 | 69.98 | 88.53 | 52.62 | 98.08 | 78.47 | 76.73 | 81.22 | 79.00 | |
| RPMI-8226 | 1.13 | 2.59 | −3.85 | −7.36 | 63.99 | 19.38 | 26.10 | 32.41 | 45.37 | 61.23 | 29.67 | 95.51 | 71.47 | 64.51 | 70.50 | 74.88 | |
| SR | 14.63 | −0.14 | −0.06 | −4.93 | 57.72 | ND | 45.10 | 42.78 | 72.04 | 72.99 | 66.11 | 84.20 | 73.29 | 85.44 | 88.88 | 72.56 | |
| Non-Small Cell Lung Cancer | A549/ATCC | −3.26 | 3.90 | −0.99 | −4.59 | 29.20 | −1.04 | 35.64 | 62.53 | 26.18 | 39.36 | 16.13 | 58.80 | 34.51 | 29.79 | 39.94 | 27.89 |
| EKVX | 0.69 | 0.65 | 0.85 | −0.31 | 47.31 | 15.77 | 34.26 | 49.37 | 31.70 | 41.04 | 16.06 | 60.93 | 63.53 | 52.16 | 37.61 | 45.07 | |
| HOP-62 | −4.06 | −1.20 | 3.77 | 3.85 | 25.62 | −7.71 | 54.44 | 18.92 | 37.24 | 45.44 | 0.56 | 72.90 | 23.04 | 17.04 | 19.68 | 21.38 | |
| HOP-92 | −7.00 | 4.77 | 9.75 | −8.67 | 68.98 | 32.93 | 27.95 | 35.77 | 35.39 | 25.82 | −1.40 | 56.06 | 40.19 | 36.92 | 16.30 | 49.65 | |
| NCI-H226 | 4.45 | 9.53 | 11.09 | 7.13 | 40.80 | 6.67 | 98.74 | 48.64 | 38.16 | 55.56 | 11.80 | 62.93 | 42.40 | 44.48 | 38.30 | 49.48 | |
| NCI-H23 | −2.42 | 1.73 | −1.96 | 5.71 | 21.37 | 28.01 | 37.77 | 47.43 | 42.43 | 58.20 | 16.74 | 75.60 | 49.83 | 58.56 | 55.31 | 57.17 | |
| NCI-H322M | 0.44 | 2.81 | −0.07 | 0.49 | 29.48 | 3.29 | 35.75 | 24.71 | ND | ND | ND | ND | 20.85 | 27.56 | 40.64 | 22.52 | |
| NCI-H460 | −8.64 | −0.94 | −3.66 | −4.48 | 14.97 | 11.60 | 84.01 | 56.72 | 21.71 | 53.94 | 14.33 | 77.73 | 40.54 | 44.40 | 57.75 | 36.76 | |
| NCI-H522 | 2.18 | 5.91 | 2.10 | 0.19 | 24.56 | 68.08 | 33.95 | 31.58 | 49.90 | 89.53 | 19.75 | 103.96 | 32.70 | 81.98 | 86.03 | 45.21 | |
| Colon Cancer | COLO 205 | −13.05 | 1.92 | −6.62 | −9.74 | −14.73 | −10.80 | 10.90 | −3.47 | 26.13 | 46.06 | 5.66 | 96.36 | 38.26 | 22.07 | 19.21 | 39.71 |
| HCC-2998 | −13.07 | −9.12 | −3.96 | −1.79 | 1.60 | −20.25 | −4.51 | 16.74 | −2.08 | 23.37 | −9.21 | 50.88 | 20.64 | 25.74 | 12.39 | 20.13 | |
| HCT-116 | 4.24 | 4.15 | 3.41 | 2.33 | 41.10 | 57.83 | 71.55 | 47.82 | 56.52 | 84.67 | 34.64 | 92.99 | 40.51 | 56.12 | 60.51 | 61.51 | |
| HCT-15 | 0.04 | 3.51 | −4.25 | 5.00 | 45.93 | 10.70 | 64.27 | 45.50 | 60.55 | 84.77 | 46.54 | 97.24 | 62.31 | 78.75 | 79.14 | 76.92 | |
| HT29 | −6.64 | 2.38 | −2.95 | −5.27 | 16.23 | −0.51 | 32.53 | 19.66 | 32.66 | 84.09 | 18.10 | 90.33 | 11.25 | 36.44 | 39.69 | 37.78 | |
| KM12 | −3.15 | 2.42 | −1.02 | 4.92 | 61.27 | 18.82 | 21.25 | 21.65 | 87.44 | 97.33 | 52.80 | 99.70 | 66.27 | 69.85 | 60.64 | 47.83 | |
| SW-620 | −7.33 | −2.34 | 1.08 | 0.60 | ND | −2.79 | 52.53 | ND | 19.95 | 70.10 | 2.62 | 92.73 | 21.97 | 41.10 | 48.33 | 49.50 | |
| CNS Cancer | SF-268 | −1.74 | 5.43 | 3.26 | 5.55 | 27.33 | 29.87 | 20.68 | 23.17 | −19.59 | 11.10 | 5.10 | 45.36 | 22.71 | 38.83 | 55.71 | 16.72 |
| SF-295 | −6.78 | 1.11 | −11.14 | −14.66 | 27.03 | 1.98 | 15.52 | 14.28 | 31.20 | 54.81 | 4.51 | 63.31 | 58.27 | 51.70 | 44.17 | 32.18 | |
| SF-539 | −3.40 | 4.67 | 4.12 | 5.48 | 35.34 | 47.67 | 26.50 | 57.68 | 36.20 | 63.28 | 20.23 | 59.26 | 24.88 | 41.74 | 43.95 | 94.23 | |
| SNB-19 | 2.17 | 1.26 | −1.05 | −3.09 | 39.30 | 12.95 | 49.26 | 19.99 | 37.12 | 62.06 | 22.92 | 56.18 | 43.13 | 60.46 | 73.78 | 28.72 | |
| SNB-75 | 14.60 | 5.15 | 13.07 | 26.70 | 34.73 | 10.24 | −12.56 | 63.32 | −1.11 | −5.67 | −10.24 | 18.28 | 35.24 | 26.57 | 21.24 | 14.90 | |
| U251 | −3.49 | 0.40 | −1.54 | −4.25 | 46.45 | 41.77 | 76.30 | 61.58 | 53.17 | 83.65 | 27.33 | 76.38 | 38.92 | 61.27 | 66.89 | 64.39 | |
| Melanoma | LOX IMVI | −7.76 | −6.24 | 0.14 | 7.32 | ND | 12.60 | 43.51 | ND | 54.99 | 76.91 | 10.09 | 91.00 | 41.37 | 67.26 | 58.74 | 65.24 |
| MALME-3M | −7.59 | 7.33 | −12.99 | −15.38 | 25.40 | 7.24 | 61.53 | 18.04 | ND | ND | ND | ND | 17.41 | 26.79 | 43.03 | 12.53 | |
| M14 | 5.67 | 3.39 | 7.34 | 3.83 | 8.30 | −5.09 | 10.07 | 20.00 | 37.62 | 67.06 | 12.17 | 77.08 | 23.70 | 32.49 | 33.05 | 16.86 | |
| MDA-MB-435 | −2.33 | 5.59 | −3.79 | 0.59 | 10.09 | −2.77 | 23.10 | 23.86 | 60.93 | 98.28 | 29.29 | 121.06 | 49.62 | 61.67 | 58.73 | 29.23 | |
| SK-MEL-2 | −4.59 | ND | −0.35 | −11.32 | −12.23 | −3.45 | −11.36 | −10.28 | 24.10 | 50.38 | 0.36 | 66.23 | 27.19 | 28.05 | 4.23 | 27.64 | |
| SK-MEL-28 | −7.21 | 2.92 | −8.75 | −2.97 | −0.76 | −8.53 | −0.48 | −8.02 | −2.65 | 28.18 | −20.47 | 46.27 | −4.73 | −9.39 | 14.48 | −10.92 | |
| SK-MEL-5 | 1.96 | −0.59 | 1.90 | 2.83 | 48.36 | −5.85 | 10.49 | 23.98 | 59.40 | 112.65 | 11.41 | 152.58 | 90.02 | 93.11 | 62.56 | 64.97 | |
| UACC-257 | −9.45 | 2.53 | −6.58 | −16.07 | 12.60 | −4.06 | −18.19 | −2.10 | 30.52 | 39.79 | 2.42 | 76.69 | 35.79 | 23.43 | 23.69 | 17.22 | |
| UACC-62 | 6.11 | 4.38 | 5.69 | 4.09 | 40.38 | 9.94 | 33.28 | 49.62 | 43.48 | 57.78 | 23.29 | 64.31 | 31.09 | 28.35 | 37.60 | 34.70 | |
| Ovarian Cancer | IGROV1 | −9.53 | 2.92 | −5.14 | 8.41 | 36.84 | 6.35 | 45.40 | 26.16 | ND | ND | ND | ND | 25.35 | 64.65 | 84.73 | 67.88 |
| OVCAR-3 | ND | ND | ND | ND | 18.16 | 8.17 | 42.68 | 6.16 | −9.24 | 9.05 | −10.93 | 61.78 | 21.49 | 39.24 | 67.36 | 53.00 | |
| OVCAR-4 | −7.99 | 0.82 | −7.18 | 3.65 | 30.83 | 5.38 | 101.81 | 75.83 | 37.83 | 47.23 | 21.23 | 68.41 | 42.67 | 43.43 | 47.34 | 31.80 | |
| OVCAR-5 | −2.24 | −0.99 | −2.92 | −0.55 | 5.53 | −9.45 | 11.76 | 15.63 | −27.58 | −11.18 | −34.52 | 21.73 | −33.20 | −27.63 | −14.36 | -29.38 | |
| OVCAR-8 | 2.34 | −0.84 | −0.47 | −0.41 | 29.68 | 3.52 | 54.06 | 13.60 | 47.19 | 65.13 | 23.45 | 88.63 | 35.02 | 56.25 | 61.47 | 61.29 | |
| NCI/ADR-RES | −0.55 | 0.01 | 1.88 | −4.24 | 46.72 | 21.70 | 85.88 | 38.98 | 54.97 | 85.57 | 26.04 | 112.40 | 61.81 | 74.16 | 67.62 | 59.29 | |
| SK-OV-3 | −5.78 | 0.16 | −1.70 | −3.01 | 16.83 | 3.75 | 10.80 | 4.39 | 13.15 | 13.15 | 5.36 | 32.24 | 9.38 | 13.69 | 11.41 | 15.54 | |
| Renal Cancer | 786-0 | 3.67 | 0.43 | −2.86 | −4.97 | 17.97 | 16.63 | 74.30 | 18.66 | 17.25 | 24.20 | 1.47 | 47.25 | 14.60 | 19.37 | 32.37 | 23.86 |
| A498 | 7.90 | ND | −2.37 | 6.98 | 16.42 | 32.51 | 54.92 | −11.54 | −17.75 | −29.11 | −31.56 | 8.90 | 2.17 | 12.87 | 1.01 | −1.39 | |
| ACHN | −4.27 | −7.30 | −1.45 | 5.18 | 33.62 | 23.75 | 43.04 | 9.61 | 37.54 | 51.84 | 16.38 | 55.13 | 24.10 | 70.27 | 70.23 | 34.02 | |
| CAKI-1 | 2.00 | 8.23 | 13.42 | 10.70 | 40.75 | 33.47 | 38.44 | 28.79 | 56.73 | 67.60 | 51.03 | 69.80 | 45.63 | 62.32 | 38.71 | 52.78 | |
| RXF 393 | −16.17 | 0.31 | −5.38 | −14.25 | 44.78 | 24.20 | ND | 38.18 | 24.86 | 37.26 | 6.84 | 63.42 | 43.88 | 47.62 | 73.84 | 67.40 | |
| SN12C | 6.16 | 0.27 | 0.70 | 4.03 | 47.67 | 4.04 | 55.48 | 24.90 | 27.14 | 46.15 | 9.17 | 66.06 | 21.40 | 41.32 | 34.41 | 34.65 | |
| TK-10 | −8.25 | 4.82 | −12.74 | −53.98 | 12.67 | 4.47 | 9.89 | −0.24 | −15.67 | −1.92 | −37.80 | 29.45 | 17.94 | 29.95 | 17.72 | −0.51 | |
| UO-31 | 14.90 | 2.55 | 23.92 | 23.83 | 61.16 | 26.54 | 40.45 | 38.05 | ND | ND | ND | ND | 44.72 | 54.75 | 51.15 | 48.99 | |
| Prostate Cancer | PC-3 | 5.85 | −2.77 | 12.86 | 11.75 | 44.33 | 8.70 | 37.93 | 54.69 | 29.76 | 43.60 | 24.30 | 67.11 | 45.96 | 47.39 | 52.41 | 44.98 |
| DU-145 | −4.38 | 0.40 | −5.61 | −1.25 | 20.29 | 7.73 | 12.18 | 39.56 | 39.82 | 46.09 | 0.75 | 58.61 | 33.71 | 38.44 | 49.28 | 29.35 | |
| Breast Cancer | MCF7 | 15.76 | 7.57 | 16.00 | 38.42 | 50.78 | 37.75 | 71.08 | 63.66 | 57.95 | 91.04 | 55.46 | 90.45 | 71.59 | 91.77 | 92.81 | 71.58 |
| MDA-MB-231 | −10.01 | 2.43 | −5.30 | −3.65 | ND | 14.92 | 78.27 | ND | 35.36 | 42.04 | 9.08 | 67.52 | 16.63 | 20.73 | 24.93 | 32.73 | |
| HS 578T | −6.13 | −0.32 | −2.25 | 3.27 | ND | 21.88 | 85.17 | ND | 17.58 | 37.36 | 3.67 | 62.66 | 17.94 | 28.85 | 27.03 | 34.99 | |
| BT-549 | −5.74 | −6.03 | −2.68 | −1.23 | 41.23 | 13.15 | 21.20 | 33.81 | 53.20 | 65.71 | 14.50 | 95.71 | ND | ND | ND | ND | |
| T-47D | 0.85 | 3.79 | 4.11 | 4.32 | 54.90 | 60.74 | 31.01 | 37.95 | 51.02 | 66.72 | 23.23 | 68.95 | 65.12 | 64.35 | 61.00 | 67.13 | |
| MDA-MB-468 | 0.75 | 1.56 | −0.96 | 1.52 | 61.73 | 28.22 | 49.57 | 60.78 | 51.24 | 58.51 | 12.49 | 85.71 | 91.12 | 61.82 | 44.85 | 65.63 |
| Compound | Mean Growth Percent | Range of Growth Inhibition on All Cells | The Most Sensitive Cell Line | Positive Cytostatic Effect b | Positive Cytotoxic Effect c | Sensitive/Total Cell Lines |
|---|---|---|---|---|---|---|
| 5a | −1.00 | −16.17 to 15.76 | - | 0/59 | 0/59 | 0/59 |
| 5b | 1.62 | −10.84 to 9.53 | - | 0/57 | 0/57 | 0/57 |
| 5c | 0.10 | −12.99 to 23.92 | - | 0/59 | 0/59 | 0/59 |
| 5d | 0.13 | −53.98 to 38.42 | - | 0/59 | 0/59 | 0/59 |
| 5e | 33.37 | −14.73 a to 68.98 | HOP-92 | 11/56 | 0/56 | 11/56 |
| 5f | 13.74 | −20.25 a to 68.87 | NCI-H522 | 3/59 | 0/59 | 3/59 |
| 5g | 38.63 | −18.19 a to 101.81 | OVCAR-4 | 17/59 | 1/59 | 18/59 |
| 5h | 30.77 | −11.54 a to 75.83 | OVCAR-4 | 11/56 | 0/56 | 11/56 |
| 5i | 34.95 | −27.57 a to 87.44 | KM12 | 17/56 | 0/56 | 17/56 |
| 5j | 53.95 | −29.10 a to 112.65 | SK-MEL-5 | 32/56 | 1/56 | 33/56 |
| 5k | 14.49 | −37.79 a to 66.11 | SR | 5/56 | 0/56 | 5/56 |
| 5l | 72.81 | 8.89 to 152.57 | SK-MEL-5 | 44/56 | 4/56 | 48/56 |
| 5m | 38.04 | −33.20 a to 91.11 | MDA-MB-468 | 14/59 | 0/59 | 14/59 |
| 5n | 46.02 | −27.62 a to 93.11 | SK-MEL-5 | 26/59 | 0/59 | 26/59 |
| 5o | 47.19 | −14.36 a to 92.81 | MCF7 | 28/59 | 0/59 | 28/59 |
| 5p | 41.27 | −29.37 a to 94.23 | SF-539 | 21/59 | 0/59 | 21/59 |
| Subpanel/Tumor Cell Lines | Compound | ||
|---|---|---|---|
| 5l | |||
| GI50 (µM) | TGI (µM) | LC50 (µM) | |
| Leukemia | |||
| CCRF-CEM | 3.72 | >100 | >100 |
| HL60(TB) | 4.08 | >100 | >100 |
| K-562 | 3.08 | >100 | >100 |
| MOLT-4 | 2.99 | ND | >100 |
| RPMI-8226 | 3.09 | >100 | >100 |
| Non-small cell lung cancer | |||
| A549/ATCC | 15.50 | >100 | >100 |
| EKVX | 6.02 | >100 | >100 |
| HOP-62 | 12.9 | >100 | >100 |
| HOP-92 | 6.51 | 62.70 | >100 |
| NCI-H226 | 9.00 | 70.00 | >100 |
| NCI-H23 | 5.93 | >100 | >100 |
| NCI-H322M | 23.20 | >100 | >100 |
| NCI-H460 | 14.00 | >100 | >100 |
| NCI-H522 | 12.30 | 82.20 | >100 |
| Colon cancer | |||
| COLO 205 | 9.62 | >100 | >100 |
| HCC-2998 | 13.70 | >100 | >100 |
| HCT-116 | 6.97 | >100 | >100 |
| HCT-15 | 3.46 | 25.20 | >100 |
| HT29 | 6.45 | 37.80 | >100 |
| KM12 | 5.30 | >100 | >100 |
| SW-620 | 2.76 | >100 | >100 |
| CNS cancer | |||
| SF-268 | 10.80 | 88.10 | >100 |
| SF-295 | 10.60 | 39.90 | >100 |
| SF-539 | 13.60 | >100 | >100 |
| SNB-19 | 12.40 | >100 | >100 |
| U251 | 7.55 | 39.40 | >100 |
| Melanoma | |||
| LOX IMVI | 4.70 | 24.80 | 96.60 |
| MELME-3M | 18.90 | 75.70 | >100 |
| M14 | 29.00 | >100 | >100 |
| MDA-MB-435 | 4.44 | 76.90 | >100 |
| SK-MEL-2 | 9.67 | 65.90 | >100 |
| SK-MEL-28 | 12.30 | 28.50 | 65.60 |
| SK-MEL-5 | 3.46 | 14..20 | 71.50 |
| UACC-257 | 8.06 | 43.80 | >100 |
| UACC-62 | 7.70 | 43.50 | >100 |
| Ovarian cancer | |||
| IGROV1 | 10.70 | 3.32 | >100 |
| OVCAR-3 | 57.70 | 2.26 | >100 |
| OVCAR-5 | 25.00 | >100 | >100 |
| OVCAR-8 | 7.96 | 45.20 | >100 |
| NCI/ADR-RES | 3.45 | 23.60 | >100 |
| SK-OV-3 | 71.80 | >100 | >100 |
| Renal cancer | |||
| 786-0 | 26.60 | >100 | >100 |
| A498 | 18.00 | 85.20 | >100 |
| ACHN | 10.80 | 75.30 | >100 |
| CAKI-1 | 4.44 | 26.90 | >100 |
| RXF393 | 9.07 | 90.20 | >100 |
| SN12C | 9.74 | 66.60 | >100 |
| TK-10 | 77.10 | >100 | >100 |
| UO-31 | 2.70 | >100 | >100 |
| Prostate cancer | |||
| PC-3 | 6.37 | >100 | >100 |
| DU-145 | 13.20 | 54.90 | >100 |
| Breast cancer | |||
| MCF7 | 2.90 | 30.90 | >100 |
| MDA-MB-231/ATCC | 15.80 | >100 | >100 |
| HS 578T | 12.80 | 98.10 | >100 |
| BT-549 | 10.40 | 46.30 | >100 |
| T-47D | 3.18 | >100 | >100 |
| MDA-MB-468 | 3.76 | 43.00 | >100 |
| Subpanel Tumor Cell Line | 5l | |
|---|---|---|
| MG-MID a | Selectivity Index | |
| Leukemia | 3.39 | 3.61 |
| NSCL cancer | 11.70 | 1.05 |
| Colon cancer | 5.97 | 2.05 |
| CNS cancer | 10.99 | 1.11 |
| Melanoma | 10.91 | 1.12 |
| Ovarian cancer | 29.43 | 0.42 |
| Renal cancer | 19.80 | 0.62 |
| Prostate cancer | 9.78 | 1.25 |
| Breast cancer | 8.14 | 1.50 |
| Full panel MG-MID | 12.23 |
Disclaimer/Publisher’s Note: The statements, opinions and data contained in all publications are solely those of the individual author(s) and contributor(s) and not of MDPI and/or the editor(s). MDPI and/or the editor(s) disclaim responsibility for any injury to people or property resulting from any ideas, methods, instructions or products referred to in the content. |
© 2024 by the authors. Licensee MDPI, Basel, Switzerland. This article is an open access article distributed under the terms and conditions of the Creative Commons Attribution (CC BY) license (https://creativecommons.org/licenses/by/4.0/).
Share and Cite
Soudi, A.; Bender, O.; Celik, I.; El-Hafeez, A.A.A.; Dogan, R.; Atalay, A.; Elkaeed, E.B.; Alsfouk, A.A.; Abdelhafez, E.M.N.; Aly, O.M.; et al. Discovery and Anticancer Screening of Novel Oxindole-Based Derivative Bearing Pyridyl Group as Potent and Selective Dual FLT3/CDK2 Kinase Inhibitor. Pharmaceuticals 2024, 17, 659. https://doi.org/10.3390/ph17050659
Soudi A, Bender O, Celik I, El-Hafeez AAA, Dogan R, Atalay A, Elkaeed EB, Alsfouk AA, Abdelhafez EMN, Aly OM, et al. Discovery and Anticancer Screening of Novel Oxindole-Based Derivative Bearing Pyridyl Group as Potent and Selective Dual FLT3/CDK2 Kinase Inhibitor. Pharmaceuticals. 2024; 17(5):659. https://doi.org/10.3390/ph17050659
Chicago/Turabian StyleSoudi, Aya, Onur Bender, Ismail Celik, Amer Ali Abd El-Hafeez, Rumeysa Dogan, Arzu Atalay, Eslam B. Elkaeed, Aisha A. Alsfouk, Elshimaa M. N. Abdelhafez, Omar M. Aly, and et al. 2024. "Discovery and Anticancer Screening of Novel Oxindole-Based Derivative Bearing Pyridyl Group as Potent and Selective Dual FLT3/CDK2 Kinase Inhibitor" Pharmaceuticals 17, no. 5: 659. https://doi.org/10.3390/ph17050659
APA StyleSoudi, A., Bender, O., Celik, I., El-Hafeez, A. A. A., Dogan, R., Atalay, A., Elkaeed, E. B., Alsfouk, A. A., Abdelhafez, E. M. N., Aly, O. M., Sippl, W., & Ali, T. F. S. (2024). Discovery and Anticancer Screening of Novel Oxindole-Based Derivative Bearing Pyridyl Group as Potent and Selective Dual FLT3/CDK2 Kinase Inhibitor. Pharmaceuticals, 17(5), 659. https://doi.org/10.3390/ph17050659

