Novel Anthraquinone Derivatives and Their Complexes with Metal Ions with Anticancer Activity: Structure/Redox and Chelation Activity Correlations
Abstract
1. Introduction
L• + O2 → LOO•
LOOH → LO• → epoxides, hydroperoxides, aldehydes
LOO• + L• → LOOL
LOO• + LOO• → LOOL + O2
2. Results and Discussion
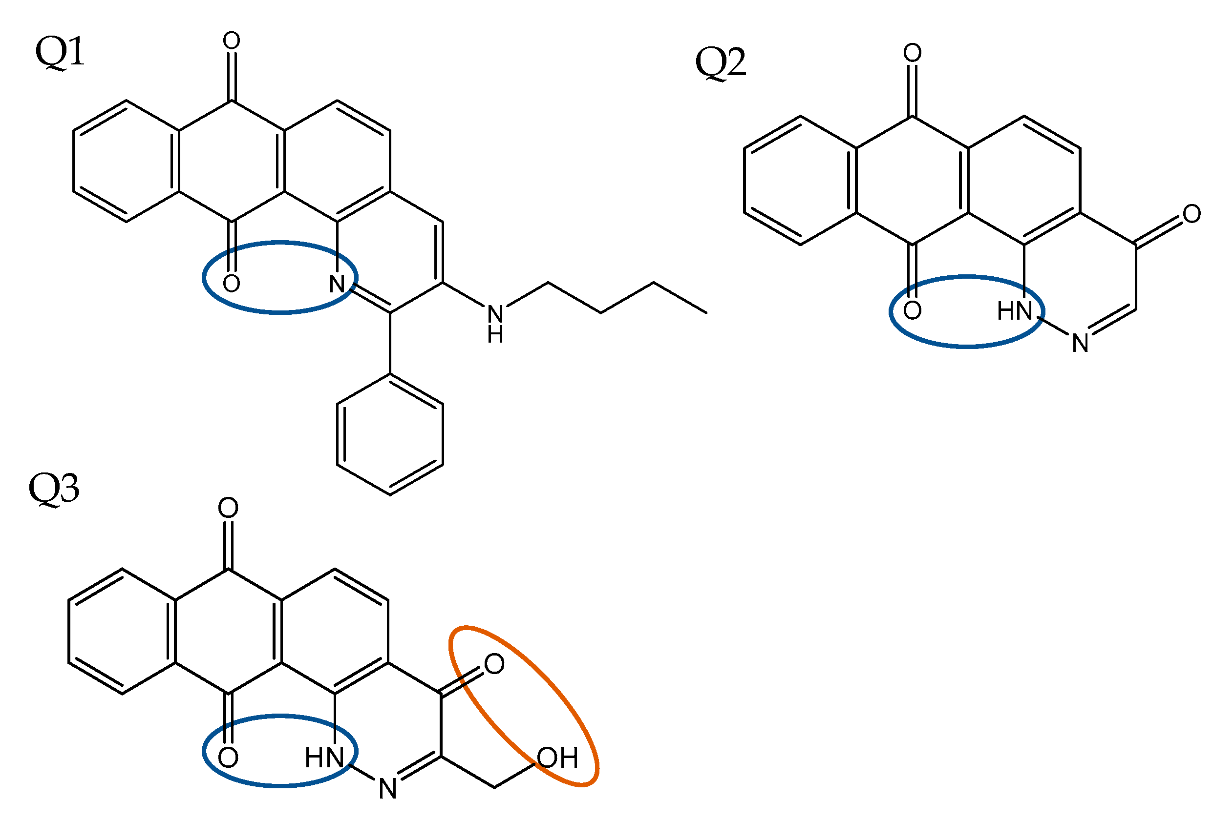
2.1. Tautomerism and Other Structural Features of the Quinone Derivatives
2.2. The Iron and Copper Chelating Properties of the Quinone Derivatives
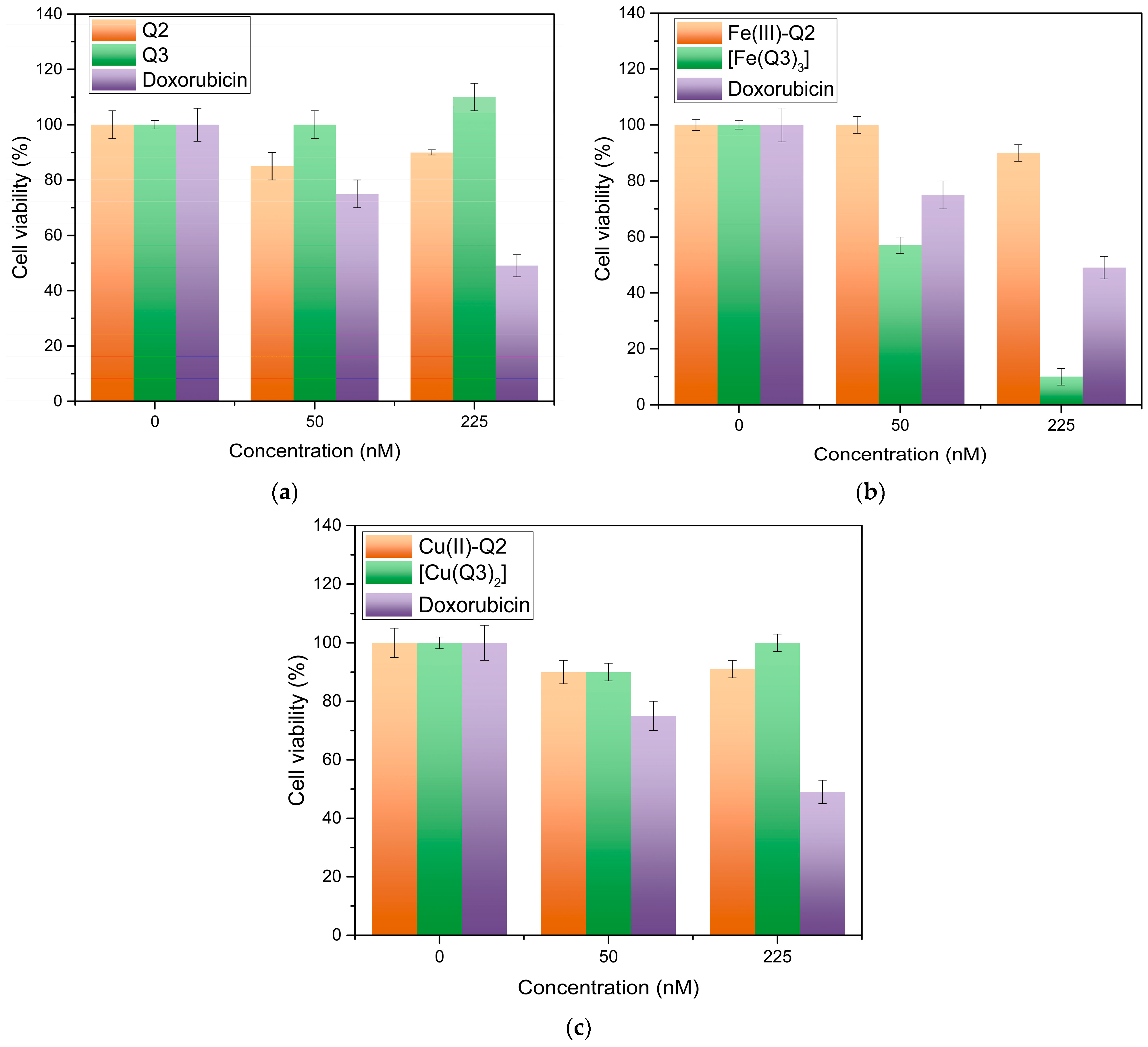
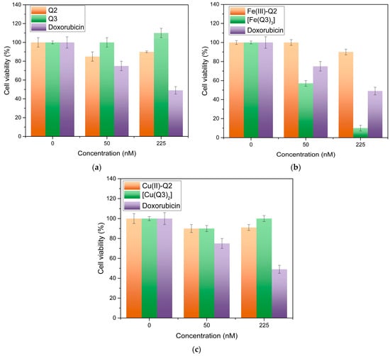
2.3. Cytotoxic Activity of the Quinones Q2 and Q3 and Their Iron and Copper Complexes
2.4. Iron- and Copper-Mediated Lipid Peroxidation
3. Materials and Methods
3.1. Materials
3.2. Q2 and Q3 Synthesis
3.2.1. 1-Amino-2-(3-hydroxyprop-1-yn-1-yl)anthracene-9,10-dione
3.2.2. 4-Hydroxynaphto[2,3-h]cinnoline-7,12-dione (Q2, Scheme 1)

3.2.3. 3-(Hydroxymethyl)naphtho [2,3-h]cinnoline-4,7,12(1H)-trione (Q3, Scheme 1)
3.3. NMR Study
3.4. EPR Study
3.5. High-Resolution Electrospray Mass Spectrometric Study
3.6. Chelate Metal Complex Stability Constants Determination
3.7. Sample Preparation for the Lipid Peroxidation Studies
3.8. Cytotoxicity Study
4. Conclusions
Supplementary Materials
Author Contributions
Funding
Institutional Review Board Statement
Informed Consent Statement
Data Availability Statement
Conflicts of Interest
Abbreviations
| A549 | Human lung carcinoma cell line |
| AQs | Anthraquinone derivatives |
| AU | Absorbance units |
| δ | Chemical shift |
| COSY | Correlation spectroscopy |
| DMEM | Dulbecco’s Modified Eagle Medium |
| DMSO | Dimethyl sulfoxide |
| DNA | Deoxyribonucleic acid |
| EPR | Electron paramagnetic resonance |
| HR-ESI-MS | High-resolution electrospray mass spectrometry |
| HSQC | Heteronuclear single quantum coherence |
| LA | Linoleic acid |
| MTT | 3-(4,5-Dimethylthiazol-2-yl)-2,5-diphenyltetrazolium bromide |
| mp | Melting point |
| NMR | Nuclear magnetic resonance |
| PBS | Phosphate-buffered saline |
| ppm | Part per million |
| Q1 | 2-Phenyl-4-(butylamino)naphtho[2,3-h]quinoline-7,12-dione |
| Q2 | 4-Hydroxynaphto[2,3-h]cinnoline-7,12-dione |
| Q3 | 3-(Hydroxymethyl)naphto[2,3-h]cinnoline-4,7,12(1H)-trione |
| ROS | Reactive oxygen species |
| TLC | Thin layer chromatography |
| UV–Vis | Ultraviolet–visible |
References
- Siegel, R.L.; Miller, K.D.; Fuchs, H.E.; Jemal, A. Cancer Statistics. CA Cancer J. Clin. 2022, 72, 7–33. [Google Scholar] [CrossRef]
- Cao, W.; Chen, H.D.; Yu, Y.W.; Li, N.; Chen, W.Q. Changing Profiles of Cancer Burden Worldwide and in China: A Secondary Analysis of the Global Cancer Statistics 2020. Chin. Med. J. 2021, 134, 783–791. [Google Scholar] [CrossRef] [PubMed]
- Sung, H.; Ferlay, J.; Siegel, R.L.; Laversanne, M.; Soerjomataram, I.; Jemal, A.; Bray, F. Global Cancer Statistics 2020: GLOBOCAN Estimates of Incidence and Mortality Worldwide for 36 Cancers in 185 Countries. CA Cancer J. Clin. 2021, 71, 209–249. [Google Scholar] [CrossRef] [PubMed]
- Kontoghiorghe, C.N.; Andreou, N.; Constantinou, K.; Kontoghiorghes, G.J. World Health Dilemmas: Orphan and Rare Diseases, Orphan Drugs and Orphan Patients. World J. Methodol. 2014, 4, 163–188. [Google Scholar] [CrossRef] [PubMed]
- Mattioli, R.; Ilari, A.; Colotti, B.; Mosca, L.; Fazi, F.; Colotti, G. Doxorubicin and Other Anthracyclines in Cancers: Activity, Chemoresistance and Its Overcoming. Mol. Asp. Med. 2023, 93, 101205. [Google Scholar] [CrossRef] [PubMed]
- Beretta, G.L.; Zunino, F. Molecular Mechanisms of Anthracycline Activity. In Anthracycline Chemistry and Biology II; Topics in Current Chemistry (TOPCURRCHEM, Volume 283); Springer: Berlin/Heidelberg, Germany, 2008; pp. 1–19. [Google Scholar] [CrossRef]
- Kankeu, C.; Clarke, K.; Passante, E.; Huber, H.J. Doxorubicin-Induced Chronic Dilated Cardiomyopathy-the Apoptosis Hypothesis Revisited. J. Mol. Med. 2017, 95, 239–248. [Google Scholar] [CrossRef]
- Hrelia, S.; Fiorentini, D.; Maraldi, T.; Angeloni, C.; Bordoni, A.; Biagi, P.L.; Hakim, G. Doxorubicin Induces Early Lipid Peroxidation Associated with Changes in Glucose Transport in Cultured Cardiomyocytes. Biochim. Biophys. Acta (BBA) Biomembr. 2002, 1567, 150–156. [Google Scholar] [CrossRef]
- Bhattacharya, B.; Mukherjee, S.; Bhattacharya, B.; Mukherjee, S. Cancer Therapy Using Antibiotics. J. Cancer Ther. 2015, 6, 849–858. [Google Scholar] [CrossRef]
- Polyakov, N.; Leshina, T.; Fedenok, L.; Slepneva, I.; Kirilyuk, I.; Furso, J.; Olchawa, M.; Sarna, T.; Elas, M.; Bilkis, I.; et al. Redox-Active Quinone Chelators: Properties, Mechanisms of Action, Cell Delivery, and Cell Toxicity. Antioxid. Redox Signal. 2018, 28, 1394–1403. [Google Scholar] [CrossRef] [PubMed]
- Al-Aamri, H.M.; Ku, H.; Irving, H.R.; Tucci, J.; Meehan-Andrews, T.; Bradley, C. Time Dependent Response of Daunorubicin on Cytotoxicity, Cell Cycle and DNA Repair in Acute Lymphoblastic Leukaemia. BMC Cancer 2019, 19, 179. [Google Scholar] [CrossRef]
- Mitra, S.; Nguyen, L.N.; Akter, M.; Park, G.; Choi, E.H.; Kaushik, N.K. Impact of ROS Generated by Chemical, Physical, and Plasma Techniques on Cancer Attenuation. Cancers 2019, 11, 1030. [Google Scholar] [CrossRef] [PubMed]
- Gilliam, L.A.A.; Moylan, J.S.; Patterson, E.W.; Smith, J.D.; Wilson, A.S.; Rabbani, Z.; Reid, M.B. Doxorubicin Acts via Mitochondrial ROS to Stimulate Catabolism in C2C12 Myotubes. Am. J. Physiol. Cell Physiol. 2012, 302, 195–202. [Google Scholar] [CrossRef] [PubMed]
- Carmichael, A.J.; Mossoba, M.M.; Riesz, P. Photogeneration of Superoxide by Adriamycin and Daunomycin: An Electron Spin Resonance and Spin Trapping Study. FEBS Lett. 1983, 164, 401–405. [Google Scholar] [CrossRef] [PubMed]
- Lo, Y.L.; Wang, W. Formononetin Potentiates Epirubicin-Induced Apoptosis via ROS Production in HeLa Cells In Vitro. Chem. Biol. Interact. 2013, 205, 188–197. [Google Scholar] [CrossRef] [PubMed]
- Pang, M.J.; Yang, Z.; Zhang, X.L.; Liu, Z.F.; Fan, J.; Zhang, H.Y. Physcion, a Naturally Occurring Anthraquinone Derivative, Induces Apoptosis and Autophagy in Human Nasopharyngeal Carcinoma. Acta Pharmacol. Sin. 2016, 37, 1623–1640. [Google Scholar] [CrossRef]
- Pinkus, R.; Weiner, L.M.; Daniel, V. Role of Oxidants and Antioxidants in the Induction of AP-1, NF-ΚB, and Glutathione S-Transferase Gene Expression. J. Biol. Chem. 1996, 271, 13422–13429. [Google Scholar] [CrossRef]
- Bo, S.; Lai, J.; Lin, H.; Luo, X.; Zeng, Y.; Du, T. Purpurin, a Anthraquinone Induces ROS-Mediated A549 Lung Cancer Cell Apoptosis via Inhibition of PI3K/AKT and Proliferation. J. Pharm. Pharmacol. 2021, 73, 1101–1108. [Google Scholar] [CrossRef]
- Markova, I.D.; Polyakov, N.E.; Selyutina, O.Y.; Fedenok, L.G.; Fedotov, K.Y.; Slepneva, I.A.; Leshina, T.V.; Pokrovsky, A.G.; Vasilieva, N.V.; Weiner, L.M. Light-Stimulated Generation of Free Radicals by Quinones-Chelators. Z. Phys. Chem. 2017, 231, 369–389. [Google Scholar] [CrossRef]
- Goncharov, I.; Weiner, L.; Vogel, Z. Δ9-Tetrahydrocannabinol Increases C6 Glioma Cell Death Produced by Oxidative Stress. Neuroscience 2005, 134, 567–574. [Google Scholar] [CrossRef]
- Castro, D.T.H.; Leite, D.F.; da Silva Baldivia, D.; Dos Santos, H.F.; Balogun, S.O.; da Silva, D.B.; Carollo, C.A.; de Picoli Souza, K.; Dos Santos, E.L. Structural Characterization and Anticancer Activity of a New Anthraquinone from Senna velutina (Fabaceae). Pharmaceuticals 2023, 16, 951. [Google Scholar] [CrossRef]
- Meng, L.Q.; Wang, Y.; Luo, Y.H.; Piao, X.J.; Liu, C.; Wang, Y.; Zhang, Y.; Wang, J.R.; Wang, H.; Xu, W.T.; et al. Quinalizarin Induces Apoptosis through Reactive Oxygen Species (ROS)-Mediated Mitogen-Activated Protein Kinase (MAPK) and Signal Transducer and Activator of Transcription 3 (STAT3) Signaling Pathways in Colorectal Cancer Cells. Med. Sci. Monit. 2018, 24, 3710. [Google Scholar] [CrossRef] [PubMed]
- Çelik, H.; Arinç, E. Bioreduction of Idarubicin and Formation of ROS Responsible for DNA Cleavage by NADPH-Cytochrome P450 Reductase and Its Potential Role in the Antitumor Effect. J. Pharm. Pharm. Sci. 2008, 11, 68–82. [Google Scholar] [CrossRef] [PubMed]
- Li, Y.; Guo, F.; Guan, Y.; Chen, T.; Ma, K.; Zhang, L.; Wang, Z.; Su, Q.; Feng, L.; Liu, Y.; et al. Novel Anthraquinone Compounds Inhibit Colon Cancer Cell Proliferation via the Reactive Oxygen Species/JNK Pathway. Molecules 2020, 25, 1672. [Google Scholar] [CrossRef]
- Weiner, L.M. Oxygen Radicals Generation and DNA Scission by Anticancer and Synthetic Quinones. Methods Enzymol. 1994, 233, 92–105. [Google Scholar] [CrossRef]
- Mandal, B.; Singha, S.; Dey, S.K.; Mazumdar, S.; Kumar, S.; Karmakar, P.; Das, S. CuII Complex of Emodin with Improved Anticancer Activity as Demonstrated by Its Performance on HeLa and Hep G2 Cells. RSC Adv. 2017, 7, 41403–41418. [Google Scholar] [CrossRef]
- Jabłońska-Trypuć, A.; Świderski, G.; Krętowski, R.; Lewandowski, W. Newly Synthesized Doxorubicin Complexes with Selected Metals—Synthesis, Structure and Anti-Breast Cancer Activity. Molecules 2017, 22, 1106. [Google Scholar] [CrossRef]
- Christidi, E.; Brunham, L.R. Regulated Cell Death Pathways in Doxorubicin-Induced Cardiotoxicity. Cell Death Dis. 2021, 12, 339. [Google Scholar] [CrossRef]
- Yoshida, Y.; Furuta, S.; Niki, E. Effects of Metal Chelating Agents on the Oxidation of Lipids Induced by Copper and Iron. Biochim. Biophys. Acta (BBA) Lipids Lipid Metab. 1993, 1210, 81–88. [Google Scholar] [CrossRef]
- Zhu, H.; Sarkar, S.; Scott, L.; Danelisen, I.; Trush, M.A.; Jia, Z.; Li, Y.R. Doxorubicin Redox Biology: Redox Cycling, Topoisomerase Inhibition, and Oxidative Stress HHS Public Access. React. Oxigen Species 2016, 1, 189–198. [Google Scholar] [CrossRef]
- Thomas, C.E.; Aust, S.D. Release of Iron from Ferritin by Cardiotoxic Anthracycline Antibiotics. Arch. Biochem. Biophys. 1986, 248, 684–689. [Google Scholar] [CrossRef] [PubMed]
- Andersson, B.S.; Eksborg, S.; Vidal, R.F.; Sundberg, M.; Carlberg, M. Anthraquinone-Induced Cell Injury: Acute Toxicity of Carminomycin, Epirubicin, Idarubicin and Mitoxantrone in Isolated Cardiomyocytes. Toxicology 1999, 135, 11–20. [Google Scholar] [CrossRef] [PubMed]
- Huang, S.S.; Yeh, S.F.; Hong, C.Y. Effect of Anthraquinone Derivatives on Lipid Peroxidation in Rat Heart Mitochondria: Structure-Activity Relationship. J. Nat. Prod. 1995, 58, 1365–1371. [Google Scholar] [CrossRef] [PubMed]
- Mostert, L.J.; Van Dorst, J.A.L.M.; Koster, J.F.; van Eijk, H.G.; Kontoghiorghes, G.J. Free Radical and Cytotoxic Effects of Chelators and Their Iron Complexes in the Hepatocyte. Free Radic. Res. Commun. 1987, 3, 379–388. [Google Scholar] [CrossRef] [PubMed]
- Timoshnikov, V.A.; Selyutina, O.Y.; Polyakov, N.E.; Didichenko, V.; Kontoghiorghes, G.J. Mechanistic Insights of Chelator Complexes with Essential Transition Metals: Antioxidant/Pro-Oxidant Activity and Applications in Medicine. Int. J. Mol. Sci. 2022, 23, 1247. [Google Scholar] [CrossRef]
- Kontoghiorghes, G.J.; Kolnagou, A.; Kontoghiorghe, C.N.; Mourouzidis, L.; Timoshnikov, V.A.; Polyakov, N.E. Trying to Solve the Puzzle of the Interaction of Ascorbic Acid and Iron: Redox, Chelation and Therapeutic Implications. Medicines 2020, 7, 45. [Google Scholar] [CrossRef]
- Kontoghiorghe, C.N.; Kolnagou, A.; Kontoghiorghes, G.J. Phytochelators Intended for Clinical Use in Iron Overload, Other Diseases of Iron Imbalance and Free Radical Pathology. Molecules 2015, 20, 19725. [Google Scholar] [CrossRef]
- Wang, D.; Tang, L.; Zhang, Y.; Ge, G.; Jiang, X.; Mo, Y.; Wu, P.; Deng, X.; Li, L.; Zuo, S.; et al. Regulatory Pathways and Drugs Associated with Ferroptosis in Tumors. Cell Death Dis. 2022, 13, 544. [Google Scholar] [CrossRef] [PubMed]
- Green, D.R. The Coming Decade of Cell Death Research: Five Riddles. Cell 2019, 177, 1094–1107. [Google Scholar] [CrossRef]
- Wang, Y.; Chen, Q.; Song, H.; Zhang, Y.; Chen, H.; Liu, P.; Sun, T.; Jiang, C. A Triple Therapeutic Strategy with Antiexosomal Iron Efflux for Enhanced Ferroptosis Therapy and Immunotherapy. Small 2022, 18, 2201704. [Google Scholar] [CrossRef] [PubMed]
- Kontoghiorghes, G.J.; Kontoghiorghe, C.N. Prospects for the Introduction of Targeted Antioxidant Drugs for the Prevention and Treatment of Diseases Related to Free Radical Pathology. Expert Opin. Investig. Drugs 2019, 28, 593–603. [Google Scholar] [CrossRef]
- Selyutina, O.Y.; Kononova, P.A.; Koshman, V.E.; Fedenok, L.G.; Polyakov, N.E. The Interplay of Ascorbic Acid with Quinones-Chelators—Influence on Lipid Peroxidation: Insight into Anticancer Activity. Antioxidants 2022, 11, 376. [Google Scholar] [CrossRef] [PubMed]
- Greenaway, F.T.; Dabrowiak, J.C. The Binding of Copper Ions to Daunomycin and Adriamycin. J. Inorg. Biochem. 1982, 16, 91–107. [Google Scholar] [CrossRef]
- Damena, T.; Alem, M.B.; Zeleke, D.; Desalegn, T.; Eswaramoorthy, R.; Demissie, T.B. Novel Zinc(II) and Copper(II) Complexes of 2-((2-Hydroxyethyl)amino)quinoline-3-carbaldehyde for Antibacterial and Antioxidant Activities: A Combined Experimental, DFT, and Docking Studies. ACS Omega 2022, 7, 26336–26352. [Google Scholar] [CrossRef]
- Dikalov, S.I.; Rumyantseva, G.V.; Piskunov, A.V.; Weiner, L.M. Role of Quinone-Iron(III) Interaction in NADPH-Dependent Enzymatic Generation of Hydroxyl Radicals. Biochemistry 1992, 31, 8947–8953. [Google Scholar] [CrossRef] [PubMed]
- Tang, L.X.; Yang, J.L.; Shen, X. Effects of Additional Iron-Chelators on Fe2+-Initiated Lipid Peroxidation: Evidence to Support the Fe2+ … Fe3+ Complex as the Initiator. J. Inorg. Biochem. 1997, 68, 265–272. [Google Scholar] [CrossRef] [PubMed]
- Arora, A.; Strasburg, G.M. Development and Validation of Fluorescence Spectroscopic Assays to Evaluate Antioxidant Efficacy. Application to Metal Chelators. JAOCS J. Am. Oil Chem. Soc. 1997, 74, 1031–1040. [Google Scholar] [CrossRef]
- Niki, E. Antioxidants in Relation to Lipid Peroxidation. Chem. Phys. Lipids 1987, 44, 227–253. [Google Scholar] [CrossRef]
- Ömür-Özbek, P.; Dietrich, A.M.; Duncan, S.E.; Lee, Y.W. Role of Lipid Oxidation, Chelating Agents, and Antioxidants in Metallic Flavor Development in the Oral Cavity. J. Agric. Food Chem. 2012, 60, 2274–2280. [Google Scholar] [CrossRef] [PubMed]
- Schneider, C. An Update on Products and Mechanisms of Lipid Peroxidation. Mol. Nutr. Food Res. 2009, 53, 315–321. [Google Scholar] [CrossRef] [PubMed]
- Spiteller, G. Linoleic Acid Peroxidation—The Dominant Lipid Peroxidation Process in Low Density Lipoprotein—And Its Relationship to Chronic Diseases. Chem. Phys. Lipids 1998, 95, 105–162. [Google Scholar] [CrossRef] [PubMed]
- Cotticelli, M.G.; Crabbe, A.M.; Wilson, R.B.; Shchepinov, M.S. Insights into the Role of Oxidative Stress in the Pathology of Friedreich Ataxia Using Peroxidation Resistant Polyunsaturated Fatty Acids. Redox Biol. 2013, 1, 398–404. [Google Scholar] [CrossRef] [PubMed]
- Nakayama, T.; Eriba, Y.; Hashimoto, K. Lipid Peroxidation in Linoleic Acid Micelles Caused by H2O2 in the Presence of Myoglobin. Biosci. Biotechnol. Biochem. 1997, 61, 817–820. [Google Scholar] [CrossRef][Green Version]
- Fukuzawa, K.; Tadokoro, T.; Kishikawa, K.; Mukai, K.; Gebicki, J.M. Site-Specific Induction of Lipid Peroxidation by Iron in Charged Micelles. Arch. Biochem. Biophys. 1988, 260, 146–152. [Google Scholar] [CrossRef] [PubMed]
- Gulcin, İ.; Alwasel, S.H. Metal Ions, Metal Chelators and Metal Chelating Assay as Antioxidant Method. Processes 2022, 10, 132. [Google Scholar] [CrossRef]
- Karawita, R.; Siriwardhana, N.; Lee, K.W.; Heo, M.S.; Yeo, I.K.; Lee, Y.D.; Jeon, Y.J. Reactive Oxygen Species Scavenging, Metal Chelation, Reducing Power and Lipid Peroxidation Inhibition Properties of Different Solvent Fractions from Hizikia fusiformis. Eur. Food Res. Technol. 2005, 220, 363–371. [Google Scholar] [CrossRef]
- Flores, M.; Olson, T.L.; Wang, D.; Edwardraja, S.; Shinde, S.; Williams, J.A.C.; Ghirlanda, G.; Allen, J.P. Copper Environment in Artificial Metalloproteins Probed by Electron Paramagnetic Resonance Spectroscopy. J. Phys. Chem. B 2015, 119, 13825–13833. [Google Scholar] [CrossRef] [PubMed]
- Joesten, M.D.; Koch, R.C.; Martin, T.W.; Venable, J.H. Electron Paramagnetic Resonance Studies of Some Copper(II) Complexes with Organophosphorus Chelates. J. Am. Chem. Soc. 1971, 93, 1138–1140. [Google Scholar] [CrossRef]
- Koval, O.A.; Fomin, A.S.; Kaledin, V.I.; Semenov, D.V.; Potapenko, M.O.; Kuligina, E.V.; Nikolin, V.P.; Nikitenko, E.V.; Richter, V.A. A Novel Pro-Apoptotic Effector Lactaptin Inhibits Tumor Growth in Mice Models. Biochimie 2012, 94, 2467–2474. [Google Scholar] [CrossRef]
- Timoshnikov, V.A.; Kobzeva, T.; Selyutina, O.Y.; Polyakov, N.E.; Kontoghiorghes, G.J. Effective Inhibition of Copper-Catalyzed Production of Hydroxyl Radicals by Deferiprone. J. Biol. Inorg. Chem. 2019, 24, 331–371. [Google Scholar] [CrossRef]
- Selyutina, O.Y.; Kononova, P.A.; Koshman, V.E.; Shelepova, E.A.; Azad, M.G.; Afroz, R.; Dharmasivam, M.; Bernhardt, P.V.; Polyakov, N.E.; Richardson, D.R. Ascorbate-and Iron-Driven Redox Activity of Dp44mT and Emodin Facilitates Peroxidation of Micelles and Bicelles. Biochim. Biophys. Acta (BBA) Gen. Subj. 2022, 1866, 130078. [Google Scholar] [CrossRef] [PubMed]
- Shvartsberg, M.S.; Piskunov, A.V.; Moroz, A.A. Aminoiodoanthraquinones. Bull. Acad. Sci. USSR Div. Chem. Sci. 1990, 39, 987. [Google Scholar] [CrossRef]
- Barabanov, I.I.; Fedenok, L.G.; Polyakov, N.E.; Shvartsberg, M.S. Transformations of 1-Amino-2-(3-Hydroxyalk-1-ynyl)-9,10-anthraquinones in the presence of amines. Russ. chem. bull. 2001, 50, 1663–1667. [Google Scholar] [CrossRef]
- Fedenok, L.G.; Barabanov, I.I.; Ivanchikova, I.D. Two Routes of Heterocyclization of 2-Alkynylanthraquinone-1-Diazonium Salts. The Synthesis of 1H-Naphtho[2,3-h]cinnoline-4,7,12-trione. Tetrahedron 2001, 57, 1331–1334. [Google Scholar] [CrossRef]
- Kupče, E.; Freeman, R. Compensated Adiabatic Inversion Pulses: Broadband INEPT and HSQC. J. Magn. Reson. 2007, 187, 258–265. [Google Scholar] [CrossRef] [PubMed]
- Kay, L.E.; Keifer, P.; Saarinen, T. Pure Absorption Gradient Enhanced Heteronuclear Single Quantum Correlation Spectroscopy with Improved Sensitivity. J. Am. Chem. Soc. 1992, 114, 10663–10665. [Google Scholar] [CrossRef]
- Gutiérrez, L.; Stepien, G.; Gutiérrez, L.; Pérez-Hernández, M.; Pardo, J.; Pardo, J.; Grazú, V.; de la Fuente, J.M. Nanotechnology in Drug Discovery and Development. In Comprehensive Medicinal Chemistry III; Elsevier: Amsterdam, The Netherlands, 2017; pp. 264–295. [Google Scholar] [CrossRef]











| Parameter | [Cu(II)(Q3)2] in Ethanol |
|---|---|
| ε1 | 1750 ± 80 M−1 cm−1 |
| K1 | (5 ± 1) × 106 M−1 |
| ε2 | 4440 ± 100 M−1 cm−1 |
| K2 | (7.5 ± 2.5) × 105 M−1 |
| Parameter | [Cu(I)Q3] |
|---|---|
| ε1 | 580 ± 70 M−1 cm−1 |
| K1 | (3 ± 1) × 107 M−1 |
| Sample | k, s−1 |
|---|---|
| control, Fe(II) | (3.6 ± 0.8) × 10−4 |
| control, Cu(II) | (0.8 ± 0.2) × 10−4 |
| Q2-Fe(II) | (4.5 ± 0.6) × 10−4 |
| Q2-Cu(II) | (0.6 ± 0.3) × 10−4 |
| Q3-Fe(II) | (0.2 ± 0.1) × 10−4 |
| Q3-Cu(II) | (2 ± 0.4) × 10−4 |
Disclaimer/Publisher’s Note: The statements, opinions and data contained in all publications are solely those of the individual author(s) and contributor(s) and not of MDPI and/or the editor(s). MDPI and/or the editor(s) disclaim responsibility for any injury to people or property resulting from any ideas, methods, instructions or products referred to in the content. |
© 2024 by the authors. Licensee MDPI, Basel, Switzerland. This article is an open access article distributed under the terms and conditions of the Creative Commons Attribution (CC BY) license (https://creativecommons.org/licenses/by/4.0/).
Share and Cite
Selyutina, O.Y.; Ul’yanova, M.A.; Chinak, O.A.; Timoshnikov, V.A.; Fedenok, L.G.; Stepanov, A.A.; Yanshole, V.V.; Kulik, L.V.; Vasilevsky, S.F.; Polyakov, N.E.; et al. Novel Anthraquinone Derivatives and Their Complexes with Metal Ions with Anticancer Activity: Structure/Redox and Chelation Activity Correlations. Pharmaceuticals 2024, 17, 1717. https://doi.org/10.3390/ph17121717
Selyutina OY, Ul’yanova MA, Chinak OA, Timoshnikov VA, Fedenok LG, Stepanov AA, Yanshole VV, Kulik LV, Vasilevsky SF, Polyakov NE, et al. Novel Anthraquinone Derivatives and Their Complexes with Metal Ions with Anticancer Activity: Structure/Redox and Chelation Activity Correlations. Pharmaceuticals. 2024; 17(12):1717. https://doi.org/10.3390/ph17121717
Chicago/Turabian StyleSelyutina, Olga Yu., Maya A. Ul’yanova, Olga A. Chinak, Viktor A. Timoshnikov, Lidiya G. Fedenok, Alexander A. Stepanov, Vadim V. Yanshole, Leonid V. Kulik, Sergey F. Vasilevsky, Nikolay E. Polyakov, and et al. 2024. "Novel Anthraquinone Derivatives and Their Complexes with Metal Ions with Anticancer Activity: Structure/Redox and Chelation Activity Correlations" Pharmaceuticals 17, no. 12: 1717. https://doi.org/10.3390/ph17121717
APA StyleSelyutina, O. Y., Ul’yanova, M. A., Chinak, O. A., Timoshnikov, V. A., Fedenok, L. G., Stepanov, A. A., Yanshole, V. V., Kulik, L. V., Vasilevsky, S. F., Polyakov, N. E., & Kontoghiorghes, G. J. (2024). Novel Anthraquinone Derivatives and Their Complexes with Metal Ions with Anticancer Activity: Structure/Redox and Chelation Activity Correlations. Pharmaceuticals, 17(12), 1717. https://doi.org/10.3390/ph17121717

