Novel Quinoline- and Naphthalene-Incorporated Hydrazineylidene–Propenamide Analogues as Antidiabetic Agents: Design, Synthesis, and Computational Studies
Abstract
1. Introduction
Rationale and Structure-Based Design
2. Results and Discussion
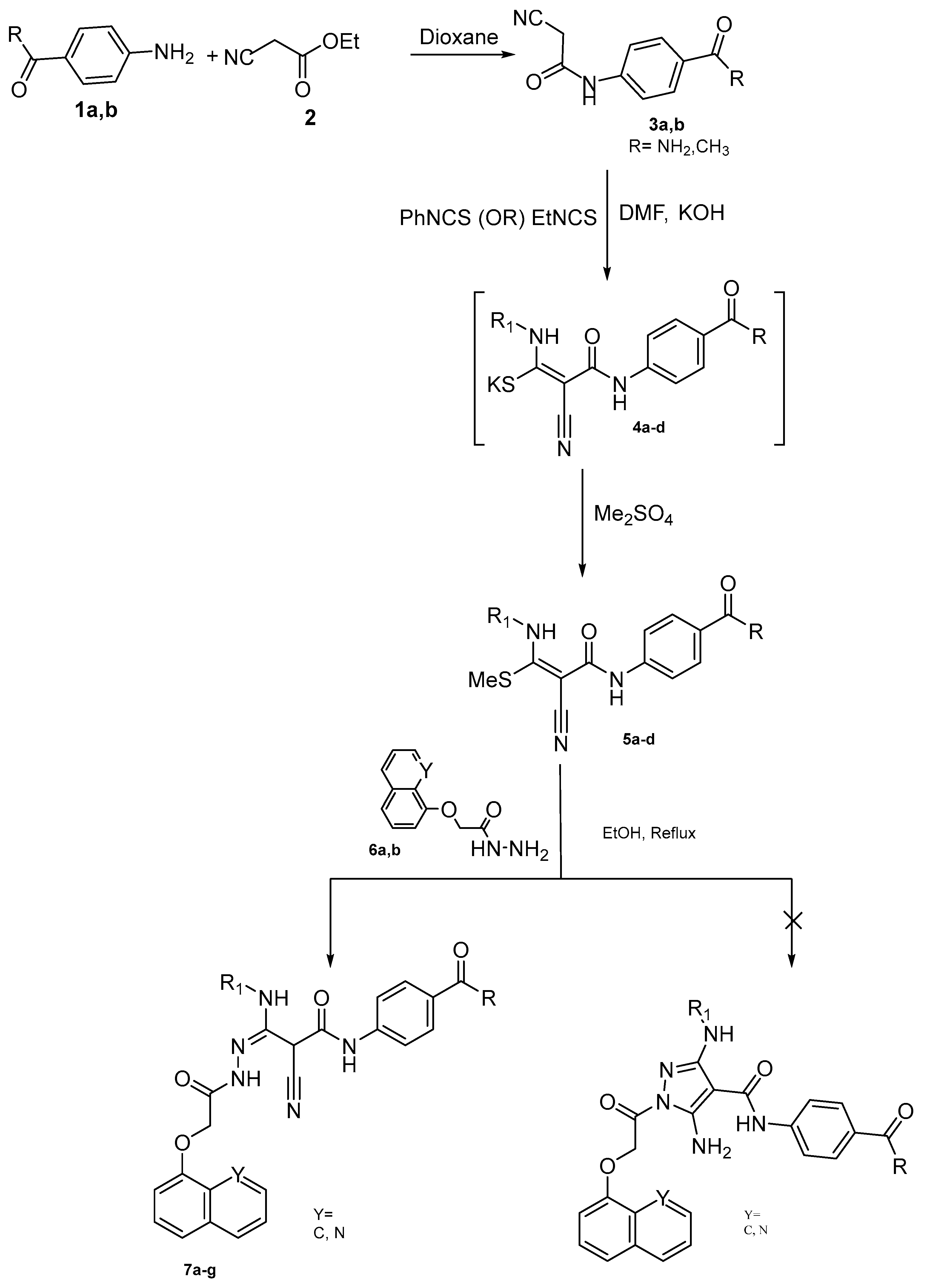
2.1. Chemistry
2.2. Biology
In Vitro Carbohydrate-Digesting Enzymes Inhibition Assays
2.3. Computational Assays
2.3.1. Molecular Docking Studies
2.3.2. Molecular Dynamics Simulation
Simulation of Molecular Dynamics of α-Glucosidase with Compound 7g and Acarbose
Molecular Dynamics Simulation of α-Amylase with Compound 7g and Acarbose
Molecular Dynamics Simulation of Aldose Reductase with Compound 7g and Quercetin
2.4. Physicochemical and Absorption, Distribution, Metabolism, Excretion, and Toxicity (ADMET) Properties
2.5. Structure–Activity Relationship
3. Materials and Methods
3.1. Reagents and Instrumentation
3.2. Synthesis
3.2.1. Synthesis of Compounds 3a,b
3.2.2. Synthesis of Compounds 5a–d
3.2.3. Synthesis of Compounds 7a–h
- 4-(2-cyano-3-(2-(2-(naphthalen-2-yloxy)acetyl)hydrazineylidene)-3-(phenylamino) propanamido)benzamide 7a
- 4-(2-cyano-3-(phenylamino)-3-(2-(2-(quinolin-4-yloxy)acetyl)hydrazineylidene) propanamido)benzamide 7b
- 4-(2-cyano-3-(ethylamino)-3-(2-(2-(naphthalen-2-yloxy)acetyl)hydrazineylidene) propanamido)benzamide 7c
- N-(4-acetylphenyl)-2-cyano-3-(2-(2-(naphthalen-2-yloxy)acetyl)hydrazineylidene)-3-(phenylamino)propenamide 7d
- N-(4-acetylphenyl)-2-cyano-3-(phenylamino)-3-(2-(2-(quinolin-4-yloxy)acetyl) hydrazineylidene)propenamide 7e
- N-(4-acetylphenyl)-2-cyano-3-(ethylamino)-3-(2-(2-(naphthalen-2-yloxy)acetyl) hydrazineylidene)propenamide 7f
- N-(4-acetylphenyl)-2-cyano-3-(ethylamino)-3-(2-(2-(quinolin-4-yloxy)acetyl) hydrazineylidene)propenamide 7g
3.3. Biology
In Vitro Carbohydrate Enzyme Inhibition Assays
3.4. Computational Studies
3.4.1. Molecular Docking Studies
3.4.2. Molecular Dynamics Simulations
4. Conclusions
Supplementary Materials
Author Contributions
Funding
Institutional Review Board Statement
Informed Consent Statement
Data Availability Statement
Acknowledgments
Conflicts of Interest
References
- Magliano, D.J.; Edward, J.B. IDF Diabetes Atlas, 6th ed.; IDF: Springfield, MO, USA, 2022. [Google Scholar]
- Vieira, R.; Souto, S.B.; Sánchez-López, E.; López Machado, A.; Severino, P.; Jose, S.; Souto, E.B. Sugar-lowering drugs for type 2 diabetes mellitus and metabolic syndrome—Review of classical and new compounds: Part-I. Pharmaceuticals 2019, 12, 152. [Google Scholar] [CrossRef] [PubMed]
- Sreepathi, N.; Kumari, V.C.; Huligere, S.S.; Al-Odayni, A.B.; Lasehinde, V.; Jayanthi, M.K.; Ramu, R. Screening for potential novel probiotic Levilactobacillus brevis RAMULAB52 with antihyperglycemic property from fermented Carica papaya L. Front. Microbiol. 2023, 14, 1168102. [Google Scholar] [CrossRef]
- Kashtoh, H.; Baek, K.H. Recent Updates on Phytoconstituent Alpha-Glucosidase Inhibitors: An Approach towards the Treatment of Type Two Diabetes. Plants 2022, 11, 2722. [Google Scholar] [CrossRef]
- Sabir, S.M.; Zeb, A.; Mahmood, M.; Abbas, S.R.; Ahmad, Z.; Iqbal, N. Phytochemical analysis and biological activities of ethanolic extract of Curcuma longa rhizome. Braz. J. Biol. 2020, 81, 737–740. [Google Scholar] [CrossRef] [PubMed]
- Zhang, R.; Deng, P.; Dai, A.; Guo, S.; Wang, Y.; Wei, P.; Wu, J. Design, synthesis, and biological activity of novel ferulic amide Ac5c derivatives. ACS Omega 2021, 6, 27561–27567. [Google Scholar] [CrossRef] [PubMed]
- Ghosh, A.K.; Brindisi, M. Organic carbamates in drug design and medicinal chemistry. J. Med. Chem. 2015, 58, 2895–2940. [Google Scholar] [CrossRef] [PubMed]
- Gouda, M.A.; Al-Ghorbani, M.; Al-Zaqri, N. Synthesis and cytotoxic activity of some new heterocycles incorporating cyclohepta [b] thiophene-3-carboxamide derivatives. J. Heterocycl. Chem. 2020, 57, 3664–3672. [Google Scholar] [CrossRef]
- Matada, B.S.; Pattanashettar, R.; Yernale, N.G. A comprehensive review on the biological interest of quinoline and its derivatives. Bioorganic Med. Chem. 2021, 32, 115973. [Google Scholar] [CrossRef]
- Ibrahim, N.S.M.; Kadry, H.H.; Zaher, A.F.; Mohamed, K.O. Review: Synthesis and anticancer activity of pyrimido[4,5-b]quinolines in the last twenty years. Chem. Pap. 2024, 78, 2729–2755. [Google Scholar] [CrossRef]
- Makar, S.; Saha, T.; Singh, S.K. Naphthalene, a versatile platform in medicinal chemistry: Sky-high perspective. Eur. J. Med. Chem. 2019, 161, 252–276. [Google Scholar] [CrossRef] [PubMed]
- Antipenko, L.; Karpenko, A.; Kovalenko, S.; Katsev, A.; Komarovska-Porokhnyavets, E.; Novikov, V.; Chekotilo, A. Synthesis of new 2-thio-[1, 2, 4] triazolo [1, 5-c] quinazoline derivatives and its antimicrobial activity. Chem. Pharm. Bull. 2009, 57, 580–585. [Google Scholar] [CrossRef]
- Rohini, R.; Muralidhar Reddy, P.; Shanker, K.; Hu, A.; Ravinder, V. Antimicrobial study of newly synthesized 6-substituted indolo[1,2-c] quinazolines. Eur. J. Med. Chem. 2010, 45, 1200–1205. [Google Scholar] [CrossRef] [PubMed]
- Chen, C.; Hou, X.; Wang, G.; Pan, W.; Yang, X.; Zhang, Y.; Fang, H. Design, synthesis and biological evaluation of quinoline derivatives as HDAC class I inhibitors. Eur. J. Med. Chem. 2017, 133, 11–23. [Google Scholar] [CrossRef] [PubMed]
- Saravanan, G.; Alagarsamy, V.; Prakash, C.R. Synthesis and evaluation of antioxidant activities of novel quinazoline derivatives. Int. J. Pharm. Sci. 2010, 2, 83–86. [Google Scholar] [CrossRef]
- Al-Ghorbani, M.; Alharbi, O.; Al-Odayni, A.-B.; Abduh, N.A.Y. Quinoline and Isoindoline-Integrated Polycyclic Compounds as Antioxidant, and Antidiabetic Agents Targeting the Dual Inhibition of α-Glycosidase and α-Amylase Enzymes. Pharmaceuticals 2023, 16, 1222. [Google Scholar] [CrossRef] [PubMed]
- Al-Ghorbani, M.; Rekha, N.D.; Lakshmi Ranganatha, V.; Prashanth, T.; Veerabasappagowda, T.; Khanum, S.A. Synthesis and biological efficacy of novel piperazine analogues bearing quinoline and pyridine moieties. Russ. J. Bioorganic Chem. 2015, 41, 554–561. [Google Scholar] [CrossRef]
- Maradesha, T.; Patil, S.M.; Phanindra, B.; Achar, R.R.; Silina, E.; Stupin, V.; Ramu, R. Multiprotein inhibitory effect of dietary polyphenol rutin from whole green jackfruit flour targeting different stages of diabetes mellitus: Defining a bio-computational stratagem. Separations 2022, 9, 262. [Google Scholar] [CrossRef]
- Maradesha, T.; Patil, S.M.; Al-Mutairi, K.A.; Ramu, R.; Madhunapantula, S.V.; Alqadi, T. Inhibitory effect of polyphenols from the whole green jackfruit flour against α-glucosidase, α-amylase, aldose reductase and glycation at multiple stages and their interaction: Inhibition kinetics and molecular simulations. Molecules 2022, 27, 1888. [Google Scholar] [CrossRef]
- Cui, Q.; Sulea, T.; Schrag, J.D.; Munger, C.; Hung, M.N.; Naïm, M.; Purisima, E.O. Molecular dynamics—Solvated interaction energy studies of protein–protein interactions: The MP1–p14 scaffolding complex. J. Mol. Biol. 2008, 379, 787–802. [Google Scholar] [CrossRef] [PubMed]
- Patil, S.M.; Martiz, R.M.; Satish, A.M.; Shbeer, A.M.; Ageel, M.; Al-Ghorbani, M.; Ranganatha, L.; Parameswaran, S.; Ramu, R. Discovery of novel coumarin derivatives as potential dual inhibitors against α-glucosidase and α-amylase for the management of post-prandial hyperglycemia via molecular modelling approaches. Molecules 2022, 27, 3888. [Google Scholar] [CrossRef] [PubMed]
- Bhaumik, S.; Sarkar, A.; Debnath, S.; Debnath, B.; Ghosh, R.; Zaki, M.E.; Al-Hussain, S.A. α-Glucosidase inhibitory potential of Oroxylum indicum using molecular docking, molecular dynamics, and in vitro evaluation. Saudi Pharm. J. 2024, 32, 102095. [Google Scholar] [CrossRef]
- Askarzadeh, M.; Azizian, H.; Adib, M.; Mohammadi-Khanaposhtani, M.; Mojtabavi, S.; Faramarzi, M.A.; Sajjadi-Jazi, S.M.; Larijani, B.; Hamedifar, H.; Mahdavi, M. Design, synthesis, in vitro α-glucosidase inhibition, docking, and molecular dynamics of new phthalimide-benzenesulfonamide hybrids for targeting type 2 diabetes. Sci. Rep. 2022, 12, 10569. [Google Scholar] [CrossRef]
- Mohamed, G.A.; Omar, A.M.; El-Araby, M.E.; Mass, S.; Ibrahim, S.R. Assessments of alpha-amylase inhibitory potential of tagetes flavonoids through in vitro, molecular docking, and molecular dynamics simulation studies. Int. J. Mol. Sci. 2023, 15, 10195. [Google Scholar] [CrossRef] [PubMed]
- Antony, P.; Vijayan, R. Identification of Novel Aldose Reductase Inhibitors from Spices: A Molecular Docking and Simulation Study. PLoS ONE 2015, 10, e0138186. [Google Scholar] [CrossRef] [PubMed]
- Gouda, M.A.; Baashen, M.; Al-Ghorbani, M. Synthesis and Characterization of Some New 2-Iminochromene Derivatives. Indian J. Heterocycl. Chem. 2022, 32, 473–478. [Google Scholar]
- Elgemeie, G.H.; Elsayed, S.H.; Hassan, A.S. Direct route to a new class of acrylamide thioglycosides and their conversions to pyrazole derivatives. Synth. Commun. 2008, 38, 2700. [Google Scholar] [CrossRef]
- Schrödinger, LLC. Schrödinger Release 2022-3: LigPrep; Schrödinger, LLC: New York, NY, USA, 2021. [Google Scholar]
- Toukmaji, A.Y.; Paul, D.; John, A., Jr. Distributed P trticle-Mesh Ewald: A Parallel Ewald Summation Method. In Proceedings of the International Conference on Parallel and Distributed Processing Techniques and Applications, Sunnyvale, CA, USA, 9–11 August 1996; Volume 9, p. 33. [Google Scholar]
- Zielkiewicz, J. Structural properties of water: Comparison of the SPC, SPCE, TIP4P, and TIP5P models of water. J. Chem. Phys. 2005, 123, 104501. [Google Scholar] [CrossRef] [PubMed]
- Martyna, G.J.; Klein, M.L.; Tuckerman, M. Nosé–Hoover chains: The canonical ensemble via continuous dynamics. J. Chem. Phys. 1992, 94, 2635–2643. [Google Scholar] [CrossRef]
















| Compounds | Structures | IC50 (µg/mL) | ||
|---|---|---|---|---|
| Enzymes | ||||
| α-Glucosidase | α-Amylase | Aldose Reductase | ||
| 5a | ![]() | 27.00 ± 0.80 | 33.13 ± 0.19 | 25.14 ± 0.30 |
| 7a | ![]() | 26.50 ± 0.98 | 22.42 ± 0.37 | 22.17 ± 1.10 |
| 7b | ![]() | 26.05 ± 1.12 | 19.45 ± 0.27 | 21.15 ± 1.00 |
| 7c | ![]() | 29.45 ± 2.10 | 26.99 ± 0.40 | 24.02 ± 0.32 |
| 7d | ![]() | 33.00 ± 0.25 | 23.75 ± 0.55 | 17.45 ± 0.10 |
| 7e | ![]() | 26.50 ± 0.39 | 19.98 ± 1.15 | 22.39 ± 0.37 |
| 7f | ![]() | 26.66 ± 0.11 | 29.12 ± 0.88 | 20.18 ± 0.84 |
| 7g | ![]() | 20.23 ± 1.10 | 17.15 ± 0.30 | 12.15 ± 0.24 |
| Acarbose | ![]() | 28.12 ± 0.20 | 25.42 ± 0.10 | - |
| Quercetin | ![]() | - | - | 15.45 ± 0.32 |
| Enzymes | α-Glucosidase | α-Amylase | Aldose Reductase | ||||
|---|---|---|---|---|---|---|---|
| Compound | Glide Score (kcal/mol) | Number of Hydrogen Bonds | Glide Score (kcal/mol) | Number of Hydrogen Bonds | Glide Score (kcal/mol) | Number of Hydrogen Bonds | |
| 5a | −7.03 | 3 | −6.28 | 2 | −8.96 | 3 | |
| 7a | −6.63 | 3 | −6.48 | 2 | −6.15 | 1 | |
| 7b | −7.72 | 2 | −8.23 | 3 | −7.18 | 2 | |
| 7c | −6.21 | 1 | −7.89 | 2 | −6.96 | 3 | |
| 7d | −7.52 | 3 | −7.02 | 4 | −5.83 | 1 | |
| 7e | −8.22 | 2 | −6.79 | 3 | −5.52 | 2 | |
| 7f | −6.98 | 2 | −7.55 | 2 | −4.68 | 3 | |
| 7g | −8.80 | 3 | −8.91 | 3 | −9.20 | 2 | |
| Acarbose | −10.87 | 6 | −10.38 | 4 | - | - | |
| Quercetin | - | - | - | - | −9.95 | 3 | |
| Physicochemical Parameters | Values | ADMET Parameters | Values |
|---|---|---|---|
| Molecular weight (M.Wt) (g/mol) | 472.19 | Absorption | |
| Volume (L/kg of body weight) | 479.518 | Caco-2 permeability | −5.059 cm/s |
| Density (g/L) | 0.985 | MDCK permeability | 6 × 10−6 cm/s |
| Number of hydrogen bond acceptors (nHA) | 10 | Pgp inhib | 0.604 |
| Number of hydrogen bond donors (nHD) | 3 | Distribution | |
| nRot | 9 | VD | 0.693 |
| nRing | 3 | Blood–brain barrier (BBB) | 0.626 cm/s |
| nHet | 10 | Metabolism | |
| fChar | 0 | CYP1A2 | - |
| nRig | 22 | CYP2C19 | - |
| Flexibility | 0.545 | CYP2C9 | - |
| Topological polar surface area (TPSA) (Å2) | 125.57 | CYP2D6 | - |
| logS | −4.953 mol/L | Excretion | |
| logP | 2.678 mol/L | Clearance | 13 mL/kg/min |
| logD | 1.627 mol/L | Toxicity | |
| Stereo centers | 1 | hERG blockers | 0.007 µM |
| Lipinski’s rule | Accepted | AMES toxicity | 0.895 |
| Pfizer’s rule | Accepted | Carcinogenicity | 0.33 |
| Pan assay interference compounds (PAINS) | 0 alerts | Acute toxicity rule | 0.65 |
| Aggregates | 0 alerts | ||
Disclaimer/Publisher’s Note: The statements, opinions and data contained in all publications are solely those of the individual author(s) and contributor(s) and not of MDPI and/or the editor(s). MDPI and/or the editor(s) disclaim responsibility for any injury to people or property resulting from any ideas, methods, instructions or products referred to in the content. |
© 2024 by the authors. Licensee MDPI, Basel, Switzerland. This article is an open access article distributed under the terms and conditions of the Creative Commons Attribution (CC BY) license (https://creativecommons.org/licenses/by/4.0/).
Share and Cite
Alharbi, O.; Alsaedi, W.H.; Alsehli, M.; Althagafi, S.H.; Alharbi, H.Y.; Asiri, Y.M.; Ramu, R.; Al-Ghorbani, M. Novel Quinoline- and Naphthalene-Incorporated Hydrazineylidene–Propenamide Analogues as Antidiabetic Agents: Design, Synthesis, and Computational Studies. Pharmaceuticals 2024, 17, 1692. https://doi.org/10.3390/ph17121692
Alharbi O, Alsaedi WH, Alsehli M, Althagafi SH, Alharbi HY, Asiri YM, Ramu R, Al-Ghorbani M. Novel Quinoline- and Naphthalene-Incorporated Hydrazineylidene–Propenamide Analogues as Antidiabetic Agents: Design, Synthesis, and Computational Studies. Pharmaceuticals. 2024; 17(12):1692. https://doi.org/10.3390/ph17121692
Chicago/Turabian StyleAlharbi, Osama, Wael H. Alsaedi, Mosa Alsehli, Saif H. Althagafi, Hussam Y. Alharbi, Yazeed M. Asiri, Ramith Ramu, and Mohammed Al-Ghorbani. 2024. "Novel Quinoline- and Naphthalene-Incorporated Hydrazineylidene–Propenamide Analogues as Antidiabetic Agents: Design, Synthesis, and Computational Studies" Pharmaceuticals 17, no. 12: 1692. https://doi.org/10.3390/ph17121692
APA StyleAlharbi, O., Alsaedi, W. H., Alsehli, M., Althagafi, S. H., Alharbi, H. Y., Asiri, Y. M., Ramu, R., & Al-Ghorbani, M. (2024). Novel Quinoline- and Naphthalene-Incorporated Hydrazineylidene–Propenamide Analogues as Antidiabetic Agents: Design, Synthesis, and Computational Studies. Pharmaceuticals, 17(12), 1692. https://doi.org/10.3390/ph17121692











