Development of a PET Probe Targeting Bromodomain and Extra-Terminal Proteins for In Vitro and In Vivo Visualization
Abstract
1. Introduction
2. Results and Discussion
2.1. PET Radioligand Design
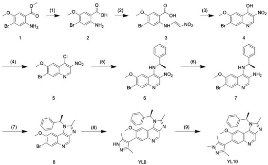
2.2. Chemical Synthesis of Standard Compound YL10 and Labeling Precursor YL9
2.3. Ex Vivo Binding Affinity and Selectivity and Physical Properties of YL10
2.4. Radiosynthesis of [11C]YL10
2.5. Molecular Docking of YL10 with BRD4 BD1
2.6. In Vitro Autoradiography Study
2.7. PET Imaging of [11C]YL10 in Mice
2.8. Brain Uptake and Comparison Between Baseline and Blocking
2.9. Regional Brain Uptake of [11C]YL10 in Mice
2.10. Peripheral Organ SUV Analysis
3. Materials and Methods
Experimental Section
4. Conclusions
Supplementary Materials
Author Contributions
Funding
Institutional Review Board Statement
Informed Consent Statement
Data Availability Statement
Acknowledgments
Conflicts of Interest
References
- Bell, C.C.; Fennell, K.A.; Chan, Y.C.; Rambow, F.; Yeung, M.M.; Vassiliadis, D.; Lara, L.; Yeh, P.; Martelotto, L.G.; Rogiers, A.; et al. Targeting enhancer switching overcomes non-genetic drug resistance in acute myeloid leukaemia. Nat. Commun. 2019, 10, 2723. [Google Scholar] [CrossRef] [PubMed] [PubMed Central]
- French, C.A.; Miyoshi, I.; Aster, J.C.; Kubonishi, I.; Kroll, T.G.; Dal Cin, P.; Vargas, S.O.; Perez-Atayde, A.R.; Fletcher, J.A. BRD4 bromodomain gene rearrangement in aggressive carcinoma with translocation t(15;19). Am. J. Pathol. 2001, 159, 1987–1992. [Google Scholar] [CrossRef] [PubMed] [PubMed Central]
- Yang, Z.; He, N.; Zhou, Q. Brd4 recruits P-TEFb to chromosomes at late mitosis to promote G1 gene expression and cell cycle progression. Mol. Cell. Biol. 2008, 28, 967–976. [Google Scholar] [CrossRef] [PubMed] [PubMed Central]
- Rahl, P.B.; Lin, C.Y.; Seila, A.C.; Flynn, R.A.; McCuine, S.; Burge, C.B.; Sharp, P.A.; Young, R.A. c-Myc regulates transcriptional pause release. Cell 2010, 141, 432–445. [Google Scholar] [CrossRef] [PubMed] [PubMed Central]
- Yang, Z.; Yik, J.H.; Chen, R.; He, N.; Jang, M.K.; Ozato, K.; Zhou, Q. Recruitment of P-TEFb for stimulation of transcriptional elongation by the bromodomain protein Brd4. Mol. Cell 2005, 19, 535–545. [Google Scholar] [CrossRef] [PubMed]
- Benito, E.; Ramachandran, B.; Schroeder, H.; Schmidt, G.; Urbanke, H.; Burkhardt, S.; Capece, V.; Dean, C.; Fischer, A. The BET/BRD inhibitor JQ1 improves brain plasticity in WT and APP mice. Transl. Psychiatry 2017, 7, e1239. [Google Scholar] [CrossRef] [PubMed] [PubMed Central]
- Gacias, M.; Gerona-Navarro, G.; Plotnikov, A.N.; Zhang, G.; Zeng, L.; Kaur, J.; Moy, G.; Rusinova, E.; Rodriguez, Y.; Matikainen, B.; et al. Selective chemical modulation of gene transcription favors oligodendrocyte lineage progression. Chem. Biol. 2014, 21, 841–854. [Google Scholar] [CrossRef] [PubMed] [PubMed Central]
- Bandukwala, H.S.; Gagnon, J.; Togher, S.; Greenbaum, J.A.; Lamperti, E.D.; Parr, N.J.; Molesworth, A.M.; Smithers, N.; Lee, K.; Witherington, J.; et al. Selective inhibition of CD4+ T-cell cytokine production and autoimmunity by BET protein and c-Myc inhibitors. Proc. Natl. Acad. Sci. USA 2012, 109, 14532–14537. [Google Scholar] [CrossRef] [PubMed] [PubMed Central]
- Filippakopoulos, P.; Qi, J.; Picaud, S.; Shen, Y.; Smith, W.B.; Fedorov, O.; Morse, E.M.; Keates, T.; Hickman, T.T.; Felletar, I.; et al. Selective inhibition of BET bromodomains. Nature 2010, 468, 1067–1073. [Google Scholar] [CrossRef] [PubMed] [PubMed Central]
- Sdelci, S.; Lardeau, C.H.; Tallant, C.; Klepsch, F.; Klaiber, B.; Bennett, J.; Rathert, P.; Schuster, M.; Penz, T.; Fedorov, O.; et al. Mapping the chemical chromatin reactivation landscape identifies BRD4-TAF1 cross-talk. Nat. Chem. Biol. 2016, 12, 504–510. [Google Scholar] [CrossRef] [PubMed]
- Korb, E.; Herre, M.; Zucker-Scharff, I.; Darnell, R.B.; Allis, C.D. BET protein Brd4 activates transcription in neurons and BET inhibitor Jq1 blocks memory in mice. Nat. Neurosci. 2015, 18, 1464–1473. [Google Scholar] [CrossRef] [PubMed] [PubMed Central]
- Nicodeme, E.; Jeffrey, K.L.; Schaefer, U.; Beinke, S.; Dewell, S.; Chung, C.W.; Chandwani, R.; Marazzi, I.; Wilson, P.; Coste, H.; et al. Suppression of inflammation by a synthetic histone mimic. Nature 2010, 468, 1119–1123. [Google Scholar] [CrossRef] [PubMed] [PubMed Central]
- Sullivan, J.M.; Badimon, A.; Schaefer, U.; Ayata, P.; Gray, J.; Chung, C.W.; von Schimmelmann, M.; Zhang, F.; Garton, N.; Smithers, N.; et al. Autism-like syndrome is induced by pharmacological suppression of BET proteins in young mice. J. Exp. Med. 2015, 212, 1771–1781. [Google Scholar] [CrossRef] [PubMed] [PubMed Central]
- Wang, C.; Schroeder, F.A.; Hooker, J.M. Development of New Positron Emission Tomography Radiotracer for BET Imaging. ACS Chem. Neurosci. 2017, 8, 17–21. [Google Scholar] [CrossRef] [PubMed]
- Bai, P.; Lan, Y.; Patnaik, D.; Wang, H.; Liu, Y.; Chen, Z.; Yuan, G.; Afshar, S.; Striar, R.; Zagaroli, J.S.; et al. Design, Synthesis, and Evaluation of Thienodiazepine Derivatives as Positron Emission Tomography Imaging Probes for Bromodomain and Extra-Terminal Domain Family Proteins. J. Med. Chem. 2021, 64, 14745–14756. [Google Scholar] [CrossRef] [PubMed]
- Seal, J.; Lamotte, Y.; Donche, F.; Bouillot, A.; Mirguet, O.; Gellibert, F.; Nicodeme, E.; Krysa, G.; Kirilovsky, J.; Beinke, S.; et al. Identification of a novel series of BET family bromodomain inhibitors: Binding mode and profile of I-BET151 (GSK1210151A). Bioorg. Med. Chem. Lett. 2012, 22, 2968–2972. [Google Scholar] [CrossRef] [PubMed]
- Gilan, O.; Rioja, I.; Knezevic, K.; Bell, M.J.; Yeung, M.M.; Harker, N.R.; Lam, E.Y.N.; Chung, C.W.; Bamborough, P.; Petretich, M.; et al. Selective targeting of BD1 and BD2 of the BET proteins in cancer and immunoinflammation. Science 2020, 368, 387–394. [Google Scholar] [CrossRef] [PubMed] [PubMed Central]
- Leeson, P.D.; Springthorpe, B. The influence of drug-like concepts on decision-making in medicinal chemistry. Nat. Rev. Drug Discov. 2007, 6, 881–890. [Google Scholar] [CrossRef] [PubMed]
- Pardridge, W.M. The blood-brain barrier: Bottleneck in brain drug development. NeuroRx 2005, 2, 3–14. [Google Scholar] [CrossRef] [PubMed] [PubMed Central]
- Mabondzo, A.; Bottlaender, M.; Guyot, A.C.; Tsaouin, K.; Deverre, J.R.; Balimane, P.V. Validation of in vitro cell-based human blood-brain barrier model using clinical positron emission tomography radioligands to predict in vivo human brain penetration. Mol. Pharm. 2010, 7, 1805–1815. [Google Scholar] [CrossRef] [PubMed]
- Pike, V.W. PET radiotracers: Crossing the blood-brain barrier and surviving metabolism. Trends Pharmacol. Sci. 2009, 30, 431–440. [Google Scholar] [CrossRef] [PubMed] [PubMed Central]
- Yu, S.; Zhang, Y.; Yang, J.; Xu, H.; Lan, S.; Zhao, B.; Luo, M.; Ma, X.; Zhang, H.; Wang, S.; et al. Discovery of (R)-4-(8-methoxy-2-methyl-1-(1-phenylethy)-1H-imidazo[4,5-c]quinnolin-7-yl)-3,5-dimethylisoxazole as a potent and selective BET inhibitor for treatment of acute myeloid leukemia (AML) guided by FEP calculation. Eur. J. Med. Chem. 2024, 263, 115924. [Google Scholar] [CrossRef] [PubMed]
- Bugnon, M.; Röhrig, U.F.; Goullieux, M.; Perez, M.A.S.; Daina, A.; Michielin, O.; Zoete, V. SwissDock 2024: Major enhancements for small-molecule docking with Attracting Cavities and AutoDock Vina. Nucleic Acids Res. 2024, 52, W324–W332. [Google Scholar] [CrossRef] [PubMed] [PubMed Central]
- Röhrig, U.F.; Goullieux, M.; Bugnon, M.; Zoete, V. Attracting Cavities 2.0: Improving the Flexibility and Robustness for Small-Molecule Docking. J. Chem. Inf. Model. 2023, 63, 3925–3940. [Google Scholar] [CrossRef] [PubMed] [PubMed Central]
- Duncan, J.S. Positron emission tomography receptor studies. Adv. Neurol. 1999, 79, 893–899. [Google Scholar] [CrossRef] [PubMed]
- Koepp, M.J.; Hand, K.S.; Labbé, C.; Richardson, M.P.; Van Paesschen, W.; Baird, V.H.; Cunningham, V.J.; Bowery, N.G.; Brooks, D.J.; Duncan, J.S. In vivo [11C]flumazenil-PET correlates with ex vivo [3H]flumazenil autoradiography in hippocampal sclerosis. Ann. Neurol. 1998, 43, 618–626. [Google Scholar] [CrossRef] [PubMed]
- Liu, Y.; Chen, Z.; Wang, Y.; Hallisey, M.R.; Varela, B.L.; Siewko, A.; Tocci, D.; Wang, C.; Xu, Y. Noninvasive Positron Emission Tomography Imaging of SIRT1 in a Model of Early-Stage Alcoholic Liver Disease. Mol. Pharm. 2023, 20, 1990–1995. [Google Scholar] [CrossRef] [PubMed]
- Lan, Y.; Bai, P.; Liu, Y.; Afshar, S.; Striar, R.; Rattray, A.K.; Meyer, T.N.; Langan, A.G.; Posner, A.M.; Shen, S.; et al. Visualization of Receptor-Interacting Protein Kinase 1 (RIPK1) by Brain Imaging with Positron Emission Tomography. J. Med. Chem. 2021, 64, 15420–15428. [Google Scholar] [CrossRef] [PubMed] [PubMed Central]
- Wang, Y.; Wang, Y.; Xu, Y.; Tocci, D.; Wang, C. Development and Evaluation of [11C]I-58: A Novel PET Radiotracer Targeting BRD4 BD2 for Advanced Epigenetic Imaging. ACS Omega 2024, 9, 36177–36184. [Google Scholar] [CrossRef] [PubMed] [PubMed Central]










| MW | tPSA | cLogP | Kd Values for BET (BROMOscan, μM) | |
|---|---|---|---|---|
| BRD4 (BD1) | BRD4 (BD2) | |||
| 425.2 | 52.8 | 2.6 | 0.48 | 1.65 |
Disclaimer/Publisher’s Note: The statements, opinions and data contained in all publications are solely those of the individual author(s) and contributor(s) and not of MDPI and/or the editor(s). MDPI and/or the editor(s) disclaim responsibility for any injury to people or property resulting from any ideas, methods, instructions or products referred to in the content. |
© 2024 by the authors. Licensee MDPI, Basel, Switzerland. This article is an open access article distributed under the terms and conditions of the Creative Commons Attribution (CC BY) license (https://creativecommons.org/licenses/by/4.0/).
Share and Cite
Wang, Y.; Wang, Y.; Xu, Y.; Cheng, H.; Dagnew, T.M.; Kang, L.; Tocci, D.; Shen, I.Z.; Zhang, C.; Wang, C. Development of a PET Probe Targeting Bromodomain and Extra-Terminal Proteins for In Vitro and In Vivo Visualization. Pharmaceuticals 2024, 17, 1670. https://doi.org/10.3390/ph17121670
Wang Y, Wang Y, Xu Y, Cheng H, Dagnew TM, Kang L, Tocci D, Shen IZ, Zhang C, Wang C. Development of a PET Probe Targeting Bromodomain and Extra-Terminal Proteins for In Vitro and In Vivo Visualization. Pharmaceuticals. 2024; 17(12):1670. https://doi.org/10.3390/ph17121670
Chicago/Turabian StyleWang, Yongle, Yanli Wang, Yulong Xu, Hua Cheng, Tewodros Mulugeta Dagnew, Leyi Kang, Darcy Tocci, Iris Z. Shen, Can Zhang, and Changning Wang. 2024. "Development of a PET Probe Targeting Bromodomain and Extra-Terminal Proteins for In Vitro and In Vivo Visualization" Pharmaceuticals 17, no. 12: 1670. https://doi.org/10.3390/ph17121670
APA StyleWang, Y., Wang, Y., Xu, Y., Cheng, H., Dagnew, T. M., Kang, L., Tocci, D., Shen, I. Z., Zhang, C., & Wang, C. (2024). Development of a PET Probe Targeting Bromodomain and Extra-Terminal Proteins for In Vitro and In Vivo Visualization. Pharmaceuticals, 17(12), 1670. https://doi.org/10.3390/ph17121670

