Evaluation of Mucoadhesive Nano-Bilosomal In Situ Gels Containing Anti-Psychotic Clozapine for Treatment of Schizophrenia: In Vitro and In Vivo Studies
Abstract
1. Introduction
2. Results and Discussion
2.1. Analysis of DSD
2.1.1. Influence of Independent Factors on Particle Size
2.1.2. Influence of the Independent Factors on Entrapment Efficiency
2.1.3. Influence of Independent Factors on Zeta Potential
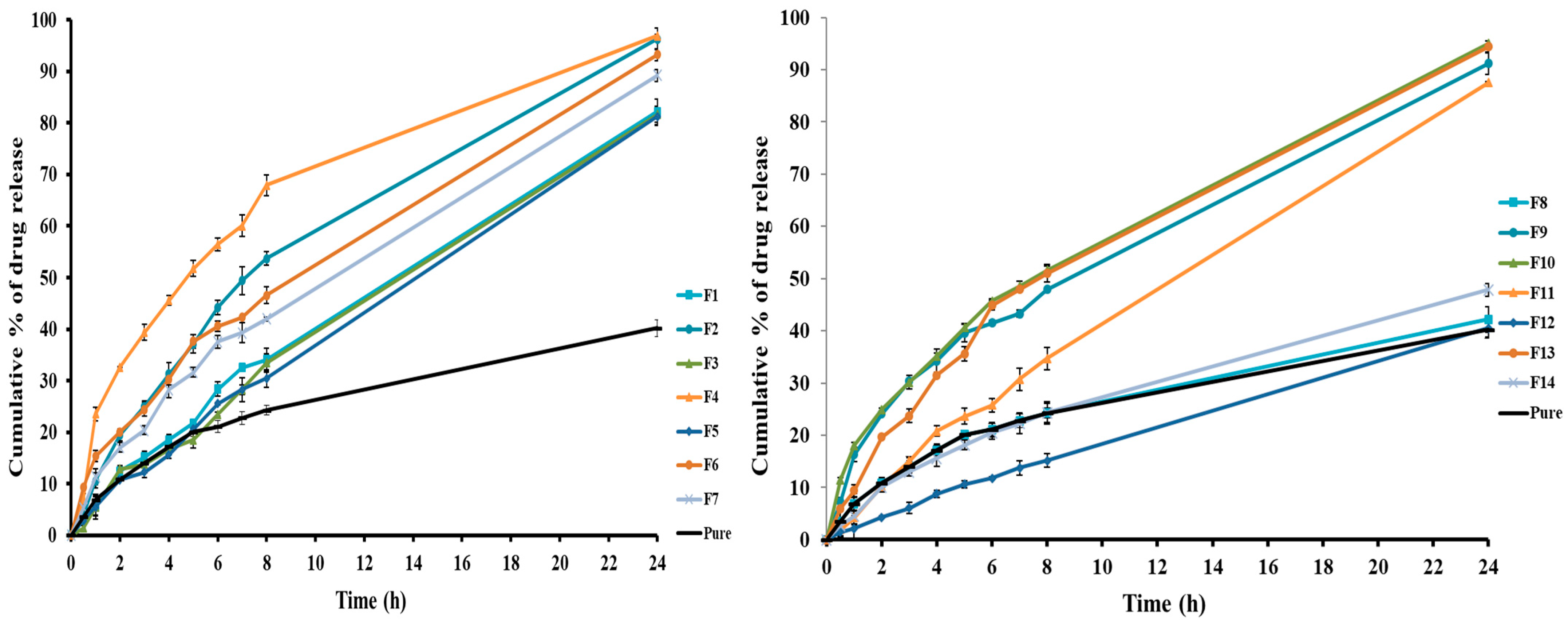
2.1.4. Influence of Independent Factors on Cumulative Drug Release After 8 h
2.2. Optimization of Clozapine-Loaded Bilosomal Formulation
2.3. Analysis of Optimized Clozapine-Loaded Bilosomal Formulation
2.3.1. Transmission Electron Microscopy (TEM) Investigation
2.3.2. DSC Analysis
2.3.3. In Vitro Release Study
2.4. Development of Clozapine-Loaded Bilosomal In Situ Gel Formulations
2.5. Characterization of In Situ Gel Formulations Loaded with Clozapine Bilosomes
2.5.1. pH Determination
2.5.2. Measurement of Viscosity
2.5.3. Assessment of Spreadability
2.5.4. Investigation of Mucoadhesive Strength
2.5.5. Study of In Vitro Release
2.6. Characterization of Optimized Bilosomal In Situ Gel Formulation Loaded with Clozapine
2.6.1. Ex Vivo Permeation Study
2.6.2. Pharmacokinetic Study
2.6.3. Impact of Optimized Gel Formulation on the Levels of Hippocampal Dopamine, Serotonin, and BDNF
3. Materials and Methods
3.1. Materials
3.2. Preparation of Clozapine-Loaded Bilosomes
3.3. Definitive Screening Design (DSD)
3.4. Characterization of Clozapine-Loaded, Lipid-Based Nano-Bilosomes
3.4.1. Determination of the Particle Size and Zeta Potential
3.4.2. Determination of Entrapment Efficiency
3.4.3. In Vitro Release Studies
3.5. Optimization of Clozapine-Loaded Bilosomes
3.6. Characterization of Optimized Bilosomal Formulation
3.6.1. Morphological Assessment Using Transmission Electron Microscope
3.6.2. Differential Scanning Calorimetry (DSC)
3.7. Preliminary Study for Preparation of Intranasal Clozapine-Loaded Bilosomal In Situ Gels
3.8. Characterization of Clozapine-Loaded Bilosomal In Situ Gels
3.8.1. Gelation Time Measurement
3.8.2. Gel Strength Determination
3.8.3. pH Measurement
3.8.4. Viscosity Evaluation
3.8.5. Spreadability Assessment
3.8.6. Mucoadhesive Strength Measurement
3.8.7. In Vitro Release Studies
3.9. Evaluation of Optimized Clozapine-Loaded Bilosomal In Situ Gel Formulation
3.9.1. Ex Vivo Drug Permeation Study
3.9.2. In Vivo Evaluation
Animals
Inducing Schizophrenia in Rats
Pharmacokinetic Parameters Calculation
Analysis of the Enzyme-Linked Immunosorbent Assay (ELISA)
3.10. Analysis of Data Using Statistical Methods
4. Conclusions
Supplementary Materials
Author Contributions
Funding
Institutional Review Board Statement
Informed Consent Statement
Data Availability Statement
Acknowledgments
Conflicts of Interest
References
- Wang, C.; Shi, W.; Huang, C.; Zhu, J.; Huang, W.; Chen, G. The efficacy, acceptability, and safety of five atypical antipsychotics in patients with first-episode drug-naïve schizophrenia: A randomized comparative trial. Ann. Gen. Psychiatry 2017, 16, 47. [Google Scholar] [CrossRef] [PubMed]
- Haidary, H.A.; Padhy, R.K. Clozapine. In StatPearls [Internet]; StatPearls Publishing: Treasure Island, FL, USA, 2023. [Google Scholar]
- Grinchii, D.; Dremencov, E. Mechanism of Action of Atypical Antipsychotic Drugs in Mood Disorders. Int. J. Mol. Sci. 2020, 21, 9532. [Google Scholar] [CrossRef] [PubMed]
- Sweetman, S.C. Martindale: The Complete Drug Reference; Pharmaceutical Press: London, UK, 2002; pp. 1411–1416. [Google Scholar]
- Iqbal, E.; Govind, R.; Romero, A.; Dzahini, O.; Broadbent, M.; Stewart, R.; Smith, T.; Kim, C.H.; Werbeloff, N.; MacCabe, J.H.; et al. The side effect profile of Clozapine in real world data of three large mental health hospitals. PLoS ONE 2020, 15, e0243437. [Google Scholar] [CrossRef] [PubMed]
- Reeves, S.; Bertrand, J.; Obee, S.J.; Hunter, S.; Howard, R.; Flanagan, R.J. A population pharmacokinetic model to guide clozapine dose selection, based on age, sex, ethnicity, body weight and smoking status. Br. J. Clin. Pharmacol. 2024, 90, 135–145. [Google Scholar] [CrossRef] [PubMed]
- Łukasiewicz, S. Development of a New Polymeric Nanocarrier Dedicated to Controlled Clozapine Delivery at the Dopamine D2-Serotonin 5-HT1A Heteromers. Polymers 2021, 13, 1000. [Google Scholar] [CrossRef]
- Tareen, F.K.; Shah, K.U.; Ahmad, N.; Rehman, A.u.; Shah, S.U.; Ullah, N. Proniosomes as a carrier system for transdermal delivery of clozapine. Drug Dev. Ind. Pharm. 2020, 46, 946–954. [Google Scholar] [CrossRef]
- Panda, A.; Meena, J.; Katara, R.; Majumdar, D.K. Formulation and characterization of clozapine and risperidone co-entrapped spray-dried PLGA nanoparticles. Pharm. Dev. Technol. 2016, 21, 43–53. [Google Scholar] [CrossRef]
- Abdulla, N.A.; Balata, G.F.; El-Ghamry, H.A.; Gomaa, E. Intranasal delivery of Clozapine using nanoemulsion-based in-situ gels: An approach for bioavailability enhancement. Saudi Pharm. J. SPJ Off. Publ. Saudi Pharm. Soc. 2021, 29, 1466–1485. [Google Scholar] [CrossRef]
- Velupula, R.; Janapareddi, K. Development of Mucoadhesive Microemulsion of Clozapine for Nose to Brain Delivery: Design, Optimization, in Vitro and in Vivo Evaluation. In Proceedings of the International Conference on Drug Discovery (ICDD), BITS-Pilani, Hyderabad Campus, Hyderabad, India, 29 February–2 March 2020; Available online: https://ssrn.com/abstract=3533702 (accessed on 16 October 2024).
- Tan, M.S.A.; Pandey, P.; Lohman, R.J.; Falconer, J.R.; Siskind, D.J.; Parekh, H.S. Fabrication and Characterization of Clozapine Nanoemulsion Sol-Gel for Intranasal Administration. Mol. Pharm. 2022, 19, 4055–4066. [Google Scholar] [CrossRef]
- Sayed, S.; Elsharkawy, F.M.; Amin, M.M.; Shamsel-Din, H.A.; Ibrahim, A.B. Brain targeting efficiency of intranasal clozapine-loaded mixed micelles following radio labeling with Technetium-99m. Drug Deliv. 2021, 28, 1524–1538. [Google Scholar] [CrossRef]
- Saifi, Z.; Rizwanullah, M.; Mir, S.R.; Amin, S. Bilosomes nanocarriers for improved oral bioavailability of acyclovir: A complete characterization through in vitro, ex-vivo and in vivo assessment. J. Drug Deliv. Sci. Technol. 2020, 57, 101634. [Google Scholar] [CrossRef]
- Elsheikh, M.A.; El-Feky, Y.A.; Al-Sawahli, M.M.; Ali, M.E.; Fayez, A.M.; Abbas, H. A Brain-Targeted Approach to Ameliorate Memory Disorders in a Sporadic Alzheimer’s Disease Mouse Model via Intranasal Luteolin-Loaded Nanobilosomes. Pharmaceutics 2022, 14, 576. [Google Scholar] [CrossRef] [PubMed]
- El-Nabarawi, M.A.; Shamma, R.N.; Farouk, F.; Nasralla, S.M. Bilosomes as a novel carrier for the cutaneous delivery for dapsone as a potential treatment of acne: Preparation, characterization and in vivo skin deposition assay. J. Liposome Res. 2020, 30, 1–11. [Google Scholar] [CrossRef] [PubMed]
- Nair, V.S.; Srivastava, V.; Bhavana, V.; Yadav, R.; Rajana, N.; Singh, S.B.; Mehra, N.K. Exploring Penetration Ability of Carbonic Anhydrase Inhibitor–Loaded Ultradeformable Bilosome for Effective Ocular Application. AAPS PharmSciTech 2023, 24, 157. [Google Scholar] [CrossRef] [PubMed]
- Chacko, I.A.; Ghate, V.M.; Dsouza, L.; Lewis, S.A. Lipid vesicles: A versatile drug delivery platform for dermal and transdermal applications. Colloids Surf. B Biointerfaces 2020, 195, 111262. [Google Scholar] [CrossRef]
- Tawfik, M.A.; Mohamed, M.I.; Tadros, M.I.; El-Helaly, S.N. Low-frequency sonophoresis as an active approach to potentiate the transdermal delivery of agomelatine-loaded novasomes: Design, optimization, and pharmacokinetic profiling in rabbits. AAPS PharmSciTech 2021, 22, 261. [Google Scholar] [CrossRef]
- Ibrahim, T.M. Exploitation of transdermal nanobilosomal gel platforms for ameliorating anti-diabetic activity of empagliflozin following I-optimal design. J. Drug Deliv. Sci. Technol. 2023, 84, 104455. [Google Scholar] [CrossRef]
- Mohsen, A.M.; El-Hashemy, H.A.; Salama, A.; Darwish, A.B. Formulation of tizanidine hydrochloride–loaded provesicular system for improved oral delivery and therapeutic activity employing a 23 full factorial design. Drug Deliv. Transl. Res. 2023, 13, 580–592. [Google Scholar] [CrossRef]
- Chen, J.; Jiang, Q.-D.; Wu, Y.-M.; Liu, P.; Yao, J.-H.; Lu, Q.; Zhang, H.; Duan, J.-A. Potential of essential oils as penetration enhancers for transdermal administration of ibuprofen to treat dysmenorrhoea. Molecules 2015, 20, 18219–18236. [Google Scholar] [CrossRef]
- Abdelnabi, D.M.; Abdallah, M.H.; Elghamry, H.A. Buspirone hydrochloride loaded in situ nanovesicular gel as an anxiolytic nasal drug delivery system: In vitro and animal studies. AAPS PharmSciTech 2019, 20, 134. [Google Scholar] [CrossRef]
- Bakhaidar, R.B.; Naveen, N.R.; Basim, P.; Murshid, S.S.; Kurakula, M.; Alamoudi, A.J.; Bukhary, D.M.; Jali, A.M.; Majrashi, M.A.; Alshehri, S.; et al. Response Surface Methodology (RSM) Powered Formulation Development, Optimization and Evaluation of Thiolated Based Mucoadhesive Nanocrystals for Local Delivery of Simvastatin. Polymers 2022, 14, 5184. [Google Scholar] [CrossRef] [PubMed]
- Moussa, H.; Dahmoune, F.; malik Mahdjoub, M.; Kadri, N.; Remini, H. Definitive screening design and I-optimal design for optimization of ultrasound-assisted extraction of phenolic content and antioxidant capacity from Salvia officinalis L. leaves. Sustain. Chem. Pharm. 2022, 29, 100820. [Google Scholar] [CrossRef]
- Mohamed, O.A.; Masood, S.H.; Bhowmik, J.L. Modeling, analysis, and optimization of dimensional accuracy of FDM-fabricated parts using definitive screening design and deep learning feedforward artificial neural network. Adv. Manuf. 2021, 9, 115–129. [Google Scholar] [CrossRef]
- Ibrahim, T.M.; Abdulla, N.A.; Mohamed, M.A. Investigating the efficacy of mirtazapine-embedded invasomal gel nanocarriers via I-optimal design for management of atopic dermatitis. J. Drug Deliv. Sci. Technol. 2024, 92, 105395. [Google Scholar] [CrossRef]
- Abdallah, M.H.; El-Horany, H.E.-S.; El-Nahas, H.M.; Ibrahim, T.M. Tailoring Risperidone-Loaded Glycethosomal In Situ Gels Using Box–Behnken Design for Treatment of Schizophrenia-Induced Rats via Intranasal Route. Pharmaceutics 2023, 15, 2521. [Google Scholar] [CrossRef]
- Alruwaili, N.K.; Zafar, A.; Alsaidan, O.A.; Yasir, M.; Mostafa, E.M.; Alnomasy, S.F.; Rawaf, A.; Alquraini, A.; Alomar, F.A. Development of surface modified bilosomes for the oral delivery of quercetin: Optimization, characterization in-vitro antioxidant, antimicrobial, and cytotoxicity study. Drug Deliv. 2022, 29, 3035–3050. [Google Scholar] [CrossRef]
- Zafar, A.; Imam, S.S.; Alruwaili, N.K.; Yasir, M.; Alsaidan, O.A.; Alshehri, S.; Ghoneim, M.M.; Khalid, M.; Alquraini, A.; Alharthi, S.S. Formulation and Evaluation of Topical Nano-Lipid-Based Delivery of Butenafine: In Vitro Characterization and Antifungal Activity. Gels 2022, 8, 133. [Google Scholar] [CrossRef]
- Kammoun, A.K.; Khedr, A.; Hegazy, M.A.; Almalki, A.J.; Hosny, K.M.; Abualsunun, W.A.; Murshid, S.S.A.; Bakhaidar, R.B. Formulation, optimization, and nephrotoxicity evaluation of an antifungal in situ nasal gel loaded with voriconazole–clove oil transferosomal nanoparticles. Drug Deliv. 2021, 28, 2229–2240. [Google Scholar] [CrossRef]
- Salem, H.F.; Moubarak, G.A.; Ali, A.A.; Salama, A.A.A.; Salama, A.H. Budesonide-Loaded Bilosomes as a Targeted Delivery Therapeutic Approach Against Acute Lung Injury in Rats. J. Pharm. Sci. 2023, 112, 760–770. [Google Scholar] [CrossRef]
- Zafar, A.; Alruwaili, N.K.; Imam, S.S.; Alsaidan, O.A.; Yasir, M.; Ghoneim, M.M.; Alshehri, S.; Anwer, M.K.; Almurshedi, A.S.; Alanazi, A.S. Development and evaluation of luteolin loaded pegylated bilosome: Optimization, in vitro characterization, and cytotoxicity study. Drug Deliv. 2021, 28, 2562–2573. [Google Scholar] [CrossRef]
- Zewail, M.; Gaafar, P.M.E.; Youssef, N.A.H.A.; Ali, M.E.; Ragab, M.F.; Kamal, M.F.; Noureldin, M.H.; Abbas, H. Novel Siprulina platensis Bilosomes for Combating UVB Induced Skin Damage. Pharmaceuticals 2023, 16, 36. [Google Scholar] [CrossRef] [PubMed]
- Salama, A.; El-Hashemy, H.A.; Darwish, A.B. Formulation and optimization of lornoxicam-loaded bilosomes using 23 full factorial design for the management of osteoarthritis in rats: Modulation of MAPK/Erk1 signaling pathway. J. Drug Deliv. Sci. Technol. 2022, 69, 103175. [Google Scholar] [CrossRef]
- Ammar, H.O.; Mohamed, M.I.; Tadros, M.I.; Fouly, A.A. Transdermal delivery of ondansetron hydrochloride via bilosomal systems: In vitro, ex vivo, and in vivo characterization studies. AAPS PharmSciTech 2018, 19, 2276–2287. [Google Scholar] [CrossRef] [PubMed]
- Abdallah, M.H.; Elghamry, H.A.; Khalifa, N.E.; Khojali, W.M.A.; Khafagy, E.-S.; Lila, A.S.A.; El-Horany, H.E.-S.; El-Housiny, S. Ginger Extract-Loaded Sesame Oil-Based Niosomal Emulgel: Quality by Design to Ameliorate Anti-Inflammatory Activity. Gels 2022, 8, 737. [Google Scholar] [CrossRef]
- Ahmed, S.; Kassem, M.A.; Sayed, S. Bilosomes as promising nanovesicular carriers for improved transdermal delivery: Construction, in vitro optimization, ex vivo permeation and in vivo evaluation. Int. J. Nanomed. 2020, 15, 9783–9798. [Google Scholar] [CrossRef]
- Zaki, R.M.; Seshadri, V.D.; Mutayran, A.S.; Elsawaf, L.A.; Hamad, A.M.; Almurshedi, A.S.; Yusif, R.M.; Said, M. Wound Healing Efficacy of Rosuvastatin Transethosomal Gel, I Optimal Optimization, Histological and In Vivo Evaluation. Pharmaceutics 2022, 14, 2521. [Google Scholar] [CrossRef]
- Amnuaikit, T.; Limsuwan, T.; Khongkow, P.; Boonme, P. Vesicular carriers containing phenylethyl resorcinol for topical delivery system; liposomes, transfersomes and invasomes. Asian J. Pharm. Sci. 2018, 13, 472–484. [Google Scholar] [CrossRef]
- Abdallah, M.H.; Elghamry, H.A.; Khalifa, N.E.; Khojali, W.M.; Khafagy, E.-S.; Shawky, S.; El-Horany, H.E.-S.; El-Housiny, S. Development and optimization of erythromycin loaded transethosomes cinnamon oil based emulgel for antimicrobial efficiency. Gels 2023, 9, 137. [Google Scholar] [CrossRef]
- Abdallah, M.H.; Elsewedy, H.S.; AbuLila, A.S.; Almansour, K.; Unissa, R.; Elghamry, H.A.; Soliman, M.S. Quality by design for optimizing a novel liposomal jojoba oil-based emulgel to ameliorate the anti-inflammatory effect of brucine. Gels 2021, 7, 219. [Google Scholar] [CrossRef]
- Teaima, M.H.; Alsofany, J.M.; El-Nabarawi, M.A. Clove oil endorsed transdermal flux of dronedarone hydrochloride loaded bilosomal nanogel: Factorial design, in vitro evaluation and ex vivo permeation. AAPS PharmSciTech 2022, 23, 182. [Google Scholar] [CrossRef]
- Shatalebi, M.; Mostafavi, S.; Moghaddas, A. Niosome as a drug carrier for topical delivery of N-acetyl glucosamine. Res. Pharm. Sci. 2010, 5, 107. [Google Scholar] [PubMed]
- Pinkas, O.; Haneman, O.; Chemke, O.; Zilberman, M. Fiber-reinforced composite hydrogels for bioadhesive and sealant applications. Polym. Adv. Technol. 2017, 28, 1162–1169. [Google Scholar] [CrossRef]
- Marzouk, M.A.; Osman, D.A.; Abd El-Fattah, A.I. Formulation and in vitro evaluation of a thermoreversible mucoadhesive nasal gel of itopride hydrochloride. Drug Dev. Ind. Pharm. 2018, 44, 1857–1867. [Google Scholar] [CrossRef] [PubMed]
- Elsewedy, H.S.; Younis, N.S.; Shehata, T.M.; Mohamed, M.E.; Soliman, W.E. Enhancement of anti-inflammatory activity of optimized niosomal colchicine loaded into jojoba oil-based emulgel using response surface methodology. Gels 2021, 8, 16. [Google Scholar] [CrossRef] [PubMed]
- Sita, V.; Vavia, P. Bromocriptine nanoemulsion-loaded transdermal gel: Optimization using factorial design, in vitro and in vivo evaluation. AAPS PharmSciTech 2020, 21, 80. [Google Scholar] [CrossRef]
- Wang, Y.; Jiang, S.; Wang, H.; Bie, H. A mucoadhesive, thermoreversible in situ nasal gel of geniposide for neurodegenerative diseases. PLoS ONE 2017, 12, e0189478. [Google Scholar] [CrossRef]
- Malhotra, A.K.; Adler, C.M.; Kennison, S.D.; Elman, I.; Pickar, D.; Breier, A. Clozapine blunts N-methyl-D-aspartate antagonist-induced psychosis: A study with ketamine. Biol. Psychiatry 1997, 42, 664–668. [Google Scholar] [CrossRef]
- El-Khatib, Y.A.; Sayed, R.H.; Sallam, N.A.; Zaki, H.F.; Khattab, M.M. 17β-Estradiol augments the neuroprotective effect of agomelatine in depressive-and anxiety-like behaviors in ovariectomized rats. Psychopharmacology 2020, 237, 2873–2886. [Google Scholar] [CrossRef]
- Gholizadeh, N.; Dalimi, A.; Ghaffarifar, F.; Nader-Mohammadi, M.; Molavi, P.; Dadkhah, M.; Molaei, S. Berberine improves inhibitory avoidance memory impairment of Toxoplasma gondii-infected rat model of ketamine-induced schizophrenia. BMC Complement. Med. Ther. 2023, 23, 303. [Google Scholar] [CrossRef]
- Durany, N.; Michel, T.; Zöchling, R.; Boissl, K.W.; Cruz-Sánchez, F.F.; Riederer, P.; Thome, J. Brain-derived neurotrophic factor and neurotrophin 3 in schizophrenic psychoses. Schizophr. Res. 2001, 52, 79–86. [Google Scholar] [CrossRef]
- Takahashi, M.; Shirakawa, O.; Toyooka, K.; Kitamura, N.; Hashimoto, T.; Maeda, K.; Koizumi, S.; Wakabayashi, K.; Takahashi, H.; Someya, T. Abnormal expression of brain-derived neurotrophic factor and its receptor in the corticolimbic system of schizophrenic patients. Mol. Psychiatry 2000, 5, 293–300. [Google Scholar] [CrossRef] [PubMed]
- Bai, O.; Chlan-Fourney, J.; Bowen, R.; Keegan, D.; Li, X.M. Expression of brain-derived neurotrophic factor mRNA in rat hippocampus after treatment with antipsychotic drugs. J. Neurosci. Res. 2003, 71, 127–131. [Google Scholar] [CrossRef] [PubMed]
- Nemr, A.A.; El-Mahrouk, G.M.; Badie, H.A. Hyaluronic acid-enriched bilosomes: An approach to enhance ocular delivery of agomelatine via D-optimal design: Formulation, in vitro characterization, and in vivo pharmacodynamic evaluation in rabbits. Drug Deliv. 2022, 29, 2343–2356. [Google Scholar] [CrossRef] [PubMed]
- Shukla, B.K.; Rawat, S.; Gautam, M.K.; Bhandari, H.; Garg, S.; Singh, J. Photocatalytic degradation of orange G dye by using bismuth molybdate: Photocatalysis optimization and modeling via definitive screening designs. Molecules 2022, 27, 2309. [Google Scholar] [CrossRef] [PubMed]
- Abdallah, M.H.; Lila, A.S.; Anwer, M.K.; Khafagy, E.S.; Mohammad, M.; Soliman, M.S. Formulation, Development and Evaluation of Ibuprofen Loaded Nano-transferosomal Gel for the Treatment of Psoriasis. J. Pharm. Res. Int. 2019, 31, 1–8. [Google Scholar] [CrossRef]
- Abdallah, M.H.; Sabry, S.A.; Hasan, A.A. Enhancing transdermal delivery of glimepiride via entrapment in proniosomal gel. J. Young Pharm. 2016, 8, 335. [Google Scholar] [CrossRef]
- Faisal, M.M.; Gomaa, E.; Ibrahim, A.E.; El Deeb, S.; Al-Harrasi, A.; Ibrahim, T.M. Verapamil-Loaded Cubosomes for Enhancing Intranasal Drug Delivery: Development, Characterization, Ex Vivo Permeation, and Brain Biodistribution Studies. AAPS PharmSciTech 2024, 25, 95. [Google Scholar] [CrossRef]
- Alyami, M.H.; Alyami, H.S.; Abdo, A.M.; ASabry, S.; El-Nahas, H.M.; Ayoub, M.M. Maximizing the Use of Ivermectin Transethosomal Cream in the Treatment of Scabies. Pharmaceutics 2024, 16, 1026. [Google Scholar] [CrossRef]
- Choi, H.G.; Jung, J.H.; Ryu, J.M.; Yoon, S.J.; Oh, Y.K.; Kim, C.K. Development of in situ-gelling and mucoadhesive acetaminophen liquid suppository. Int. J. Pharm. 1998, 165, 33–44. [Google Scholar] [CrossRef]
- Abdallah, M.H.; Shahien, M.M.; Alshammari, A.; Ibrahim, S.; Ahmed, E.H.; Atia, H.A.; Elariny, H.A. The Exploitation of Sodium Deoxycholate-Stabilized Nano-Vesicular Gel for Ameliorating the Antipsychotic Efficiency of Sulpiride. Gels 2024, 10, 239. [Google Scholar] [CrossRef]
- Abdallah, M.H.; Abdelnabi, D.M.; Elghamry, H.A. Response Surface Methodology for Optimization of Buspirone Hydrochloride-Loaded In Situ Gel for Pediatric Anxiety. Gels 2022, 8, 395. [Google Scholar] [CrossRef] [PubMed]
- Shahien, M.M.; Alshammari, A.; Ibrahim, S.; Ahmed, E.H.; Atia, H.A.; Elariny, H.A.; Abdallah, M.H. Development of Glycerosomal pH Triggered In Situ Gelling System to Ameliorate the Nasal Delivery of Sulpiride for Pediatric Psychosis. Gels 2024, 10, 608. [Google Scholar] [CrossRef] [PubMed]
- Patel, H.P.; Chaudhari, P.S.; Gandhi, P.A.; Desai, B.V.; Desai, D.T.; Dedhiya, P.P.; Vyas, B.A.; Maulvi, F.A. Nose to brain delivery of tailored clozapine nanosuspension stabilized using (+)-alpha-tocopherol polyethylene glycol 1000 succinate: Optimization and in vivo pharmacokinetic studies. Int. J. Pharm. 2021, 600, 120474. [Google Scholar] [CrossRef] [PubMed]
- Ibrahim, T.M.; Eissa, R.G.; El-Megrab, N.A.; El-Nahas, H.M. Morphological characterization of optimized risperidone-loaded in-situ gel forming implants with pharmacokinetic and behavioral assessments in rats. J. Drug Deliv. Sci. Technol. 2021, 61, 102195. [Google Scholar] [CrossRef]









| Particle Size | ||||||
|---|---|---|---|---|---|---|
| Source | Sum of Squares | df | Mean Square | F-Value | p-Value | |
| Model | 90,468.22 | 5 | 18,093.64 | 20.65 | 0.0002 | Significant |
| A-PL amount | 28,291.76 | 1 | 28,291.76 | 32.29 | 0.0005 | |
| B-Surfactant amount | 8219.69 | 1 | 8219.69 | 9.38 | 0.0155 | |
| C-SDC amount | 32,341.97 | 1 | 32,341.97 | 36.91 | 0.0003 | |
| D-Clove oil amount | 7182.40 | 1 | 7182.40 | 8.20 | 0.0211 | |
| E-Clozapine amount | 14,432.40 | 1 | 14,432.40 | 16.47 | 0.0036 | |
| Residual | 7010.48 | 8 | 876.31 | |||
| Cor total | 97,478.70 | 13 | ||||
| Entrapment Efficiency % | ||||||
| Source | Sum of Squares | df | Mean Square | F-Value | p-Value | |
| Model | 7187.38 | 6 | 1197.90 | 100.39 | <0.0001 | Significant |
| A-PL amount | 2069.39 | 1 | 2069.39 | 173.43 | <0.0001 | |
| B-Surfactant amount | 1682.83 | 1 | 1682.83 | 141.03 | <0.0001 | |
| C-SDC amount | 1198.41 | 1 | 1198.41 | 100.44 | <0.0001 | |
| D-Clove oil amount | 1841.14 | 1 | 1841.14 | 154.30 | <0.0001 | |
| E-Clozapine amount | 461.16 | 1 | 461.16 | 38.65 | 0.0004 | |
| F-Type of span | 188.26 | 1 | 188.26 | 15.78 | 0.0054 | |
| Residual | 83.53 | 7 | 11.93 | |||
| Cor total | 7270.91 | 13 | ||||
| Zeta Potential | ||||||
| Source | Sum of Squares | df | Mean Square | F-Value | p-Value | |
| Model | 776.70 | 2 | 388.35 | 33.06 | <0.0001 | Significant |
| B-Surfactant amount | 239.12 | 1 | 239.12 | 20.36 | 0.0009 | |
| E-Clozapine amount | 537.58 | 1 | 537.58 | 45.77 | <0.0001 | |
| Residual | 129.20 | 11 | 11.75 | |||
| Cor total | 905.90 | 13 | ||||
| Cumulative Release After 8 h | ||||||
| Source | Sum of Squares | df | Mean Square | F-Value | p-Value | |
| Model | 2456.58 | 5 | 491.32 | 21.25 | 0.0002 | Significant |
| A-PL amount | 934.21 | 1 | 934.21 | 40.40 | 0.0002 | |
| B-Surfactant amount | 358.83 | 1 | 358.83 | 15.52 | 0.0043 | |
| C-SDC amount | 571.08 | 1 | 571.08 | 24.70 | 0.0011 | |
| D-Clove oil amount | 149.23 | 1 | 149.23 | 6.45 | 0.0347 | |
| F-Type of span | 264.62 | 1 | 264.62 | 11.44 | 0.0096 | |
| Residual | 184.99 | 8 | 23.12 | |||
| Cor total | 2641.57 | 13 | ||||
| Factors | Optimized Level | |
|---|---|---|
| A-PL amount (mg) | 104.69 | |
| B-Surfactant amount (mg) | 100 | |
| C-SDC amount (mg) | 45.33 | |
| D-Clove oil amount (mg) | 97.76 | |
| E- Clozapine amount (mg/mL) | 5 | |
| F-Type of span | Span 60 | |
| Responses | Predicted | Experimental |
| Particle size (nm) | 164.33 | 179.60 ± 12.72 |
| Entrapment efficiency (%) | 88.57 | 86.91 ± 1.36 |
| Zeta potential (mV) | 47.34 | 48.60 ± 1.04 |
| Cumulative drug release after 8 h | 69.65 | 66.13 ± 1.26 |
| Formulation | Gel Base Type | Mucoadhesive Agent | Gel:Bilosome Ratio (w/w) | Gelation Time (sec) | Gel Strength (sec) |
|---|---|---|---|---|---|
| G1 | P 407 (20% w/w) | Carbopol 940 (0.2% w/w) | 2:1 | No gelation | - |
| 3:1 | No gelation | - | |||
| 4:1 | No gelation | - | |||
| G2 | P 407 (20% w/w) | Carbopol 940 (0.3% w/w) | 2:1 | No gelation | - |
| 3:1 | No gelation | - | |||
| 4:1 | 9.89 ± 0.72 | 35.19 ± 1.30 | |||
| G3 | P 407 (20% w/w) | Carbopol 940 (0.4% w/w) | 1:1 | No gelation | - |
| 2:1 | 6.12 ± 1.13 | 47.13 ± 1.45 | |||
| G4 | P 407 (20% w/w) | HPMC (1% w/w) | 2:1 | No gelation | - |
| 3:1 | No gelation | - | |||
| 4:1 | No gelation | - | |||
| G5 | P 407 (20% w/w) | HPMC (1.5% w/w) | 2:1 | No gelation | - |
| 3:1 | No gelation | - | |||
| 4:1 | 11.27 ± 2.03 | 33.69 ± 1.27 | |||
| G6 | P 407 (20% w/w) | HPMC (2% w/w) | 1:1 | No gelation | - |
| 2:1 | 13.28 ± 1.97 | 27.72 ± 1.51 |
| Formulation | Gel Base Type | Mucoadhesive Agent | Gel:Formula Ratio | pH | Viscosity (cP) | Spreadability (cm) | Mucoadhesive Strength (dyne/cm2) |
|---|---|---|---|---|---|---|---|
| G2 | P 407 (20% w/w) | Carbopol 940 (0.3% w/w) | 4:1 | 6.25 ± 0.36 | 15,400.00 ± 264.58 | 2.90 ± 0.72 | 4727.16 ± 63.77 |
| G3 | P 407 (20% w/w) | Carbopol 940 (0.4% w/w) | 2:1 | 6.17 ± 0.14 | 17,566.67 ± 115.47 | 2.76 ± 0.15 | 5132.68 ± 39. 62 |
| G5 | P 407 (20% w/w) | HPMC (1.5% w/w) | 4:1 | 6.58 ± 0.60 | 14,733.33 ± 152.75 | 3.28 ± 0.12 | 4407.81 ± 43.65 |
| G6 | P 407 (20% w/w) | HPMC (2% w/w) | 2:1 | 6.60 ± 0.27 | 12,766.67 ± 230.94 | 3.89 ± 0.36 | 4273.93 ± 30.17 |
| Parameters | Optimized Bilosomal In Situ Gel (G6) | Control In Situ Gel (Contain Pure Drug) |
|---|---|---|
| Jss (μg/cm2·h−1) | 50.86 ± 1.28 | 23.03 ± 1.81 |
| Kp × 10−3 (cm/h) | 9.95 ± 0.83 | 4.51 ± 0.24 |
| ER | 2.21 | - |
| Parameters | Oral Commercial Tablet | Intranasal Control Gel | Intranasal Optimized Bilosomal Gel (G6) |
|---|---|---|---|
| Cmax (ng/mL) | 243.61 ± 20.92 | 71.30 ± 9.15 | 165.49 ± 21.93 |
| tmax (h) | 3 | 1 | 4 |
| Kel (h−1) | 0.38 ± 0.09 | 0.12 ± 0.11 | 0.07 ± 0.01 |
| t1/2 (h) | 1.82 ± 0.32 | 5.67 ± 0.48 | 9.74 ± 0.98 |
| AUC0–24 h (ng·mL−1·h) | 936.21 ± 42.19 | 354.00 ± 34.12 | 1739.46 ± 56.72 |
| AUC0-∞ (ng·mL−1·h) | 1029.51 ± 49.92 | 530.30 ± 40.49 | 2215.74 ± 63.80 |
| MRT (h) | 4.45 ± 0.74 | 7.42 ± 0.46 | 14.79 ± 0.88 |
| Relative bioavailability (%) | 264.46 | - | 491.37 |
| Run | A: PL Amount (mg) | B: Surfactant Amount (mg) | C: SDC Amount (mg) | D: Clove Oil Amount (mg) | E: Clozapine Amount (mg/mL) | F: Type of Span | Particle Size (nm) | Entrapment Efficiency (%) | Zeta Potential (mV) | Cumulative Release After 8 h (%) |
|---|---|---|---|---|---|---|---|---|---|---|
| 1 | 250 | 55 | 30 | 50 | 10 | Span 80 | 335.40 ± 27.15 | 55.29 ± 0.19 | 32.38 ± 0.45 | 34.06 ± 2.15 |
| 2 | 100 | 55 | 50 | 0 | 5 | Span 80 | 238.70 ± 9.82 | 41.93 ± 1.71 | 41.71 ± 1.37 | 53.67 ± 1.30 |
| 3 | 100 | 10 | 10 | 100 | 10 | Span 80 | 382.30 ± 18.10 | 30.77 ± 1.92 | 25.69 ± 1.92 | 33.44 ± 1.81 |
| 4 | 100 | 100 | 30 | 100 | 5 | Span 60 | 215.50 ± 23.06 | 78.67 ± 1.04 | 49.96 ± 0.98 | 67.91 ± 2.04 |
| 5 | 400 | 55 | 10 | 100 | 15 | Span 60 | 455.00 ± 21.67 | 70.21 ± 1.75 | 30.52 ± 1.18 | 30.41 ± 1.69 |
| 6 | 250 | 100 | 50 | 100 | 15 | Span 80 | 285.20 ± 17.72 | 81.46 ± 0.62 | 30.54 ± 1.92 | 46.56 ± 1.65 |
| 7 | 400 | 100 | 50 | 0 | 10 | Span 60 | 345.00 ± 25.44 | 88.57 ± 1.19 | 40.86 ± 1.33 | 41.97 ± 0.38 |
| 8 | 250 | 10 | 10 | 0 | 5 | Span 60 | 407.70 ± 20.17 | 26.56 ± 1.86 | 33.54 ± 1.57 | 24.28 ± 2.15 |
| 9 | 100 | 100 | 10 | 0 | 15 | Span 60 | 405.10 ± 15.93 | 24.99 ± 0.81 | 30.75 ± 0.79 | 47.97 ± 0.30 |
| 10 | 250 | 55 | 30 | 50 | 10 | Span 60 | 295.60 ± 17.92 | 65.27 ± 1.57 | 40.55 ± 2.11 | 51.64 ± 0.81 |
| 11 | 400 | 10 | 50 | 100 | 5 | Span 80 | 325.50 ± 10.85 | 83.59 ± 1.52 | 41.95 ± 1.05 | 34.73 ± 2.14 |
| 12 | 400 | 10 | 30 | 0 | 15 | Span 80 | 535.00 ± 22.35 | 32.64 ± 2.01 | 21.87 ± 1.95 | 15.15 ± 1.29 |
| 13 | 100 | 10 | 50 | 50 | 15 | Span 60 | 292.50 ± 9.15 | 39.08 ± 0.63 | 25.76 ± 1.31 | 51.01 ± 1.65 |
| 14 | 400 | 100 | 10 | 50 | 5 | Span 80 | 405.50 ± 12.37 | 78.74 ± 1.25 | 45.60 ± 1.05 | 24.30 ± 1.88 |
Disclaimer/Publisher’s Note: The statements, opinions and data contained in all publications are solely those of the individual author(s) and contributor(s) and not of MDPI and/or the editor(s). MDPI and/or the editor(s) disclaim responsibility for any injury to people or property resulting from any ideas, methods, instructions or products referred to in the content. |
© 2024 by the authors. Licensee MDPI, Basel, Switzerland. This article is an open access article distributed under the terms and conditions of the Creative Commons Attribution (CC BY) license (https://creativecommons.org/licenses/by/4.0/).
Share and Cite
Abdallah, M.H.; Shahien, M.M.; El-Horany, H.E.-S.; Ahmed, E.H.; El-Nahas, H.M.; Abdulla, N.A.; Ibrahim, T.M. Evaluation of Mucoadhesive Nano-Bilosomal In Situ Gels Containing Anti-Psychotic Clozapine for Treatment of Schizophrenia: In Vitro and In Vivo Studies. Pharmaceuticals 2024, 17, 1404. https://doi.org/10.3390/ph17101404
Abdallah MH, Shahien MM, El-Horany HE-S, Ahmed EH, El-Nahas HM, Abdulla NA, Ibrahim TM. Evaluation of Mucoadhesive Nano-Bilosomal In Situ Gels Containing Anti-Psychotic Clozapine for Treatment of Schizophrenia: In Vitro and In Vivo Studies. Pharmaceuticals. 2024; 17(10):1404. https://doi.org/10.3390/ph17101404
Chicago/Turabian StyleAbdallah, Marwa H., Mona M. Shahien, Hemat El-Sayed El-Horany, Enas Haridy Ahmed, Hanan M. El-Nahas, Nourhan A. Abdulla, and Tarek M. Ibrahim. 2024. "Evaluation of Mucoadhesive Nano-Bilosomal In Situ Gels Containing Anti-Psychotic Clozapine for Treatment of Schizophrenia: In Vitro and In Vivo Studies" Pharmaceuticals 17, no. 10: 1404. https://doi.org/10.3390/ph17101404
APA StyleAbdallah, M. H., Shahien, M. M., El-Horany, H. E.-S., Ahmed, E. H., El-Nahas, H. M., Abdulla, N. A., & Ibrahim, T. M. (2024). Evaluation of Mucoadhesive Nano-Bilosomal In Situ Gels Containing Anti-Psychotic Clozapine for Treatment of Schizophrenia: In Vitro and In Vivo Studies. Pharmaceuticals, 17(10), 1404. https://doi.org/10.3390/ph17101404

