Embelin and Its Derivatives: Design, Synthesis, and Potential Delivery Systems for Cancer Therapy
Abstract
1. Introduction
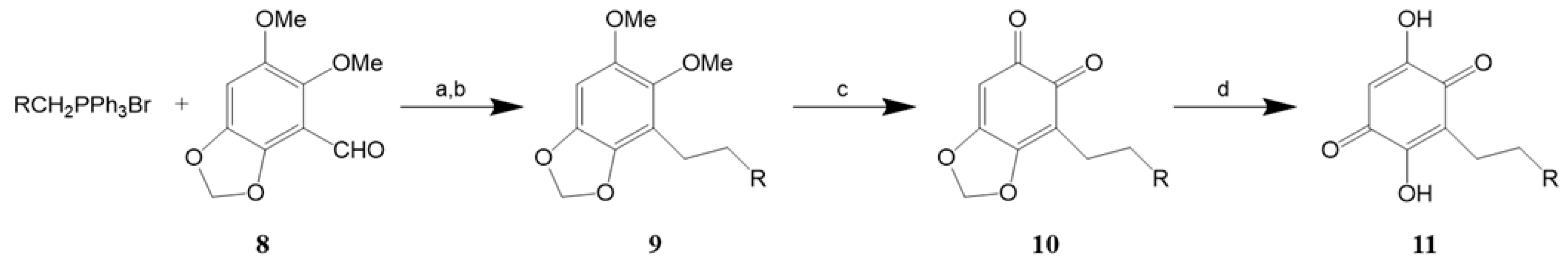
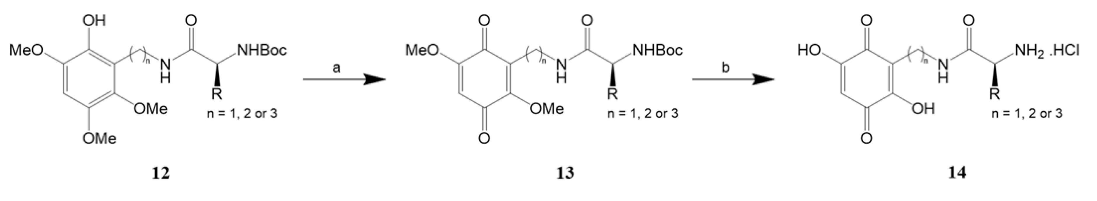
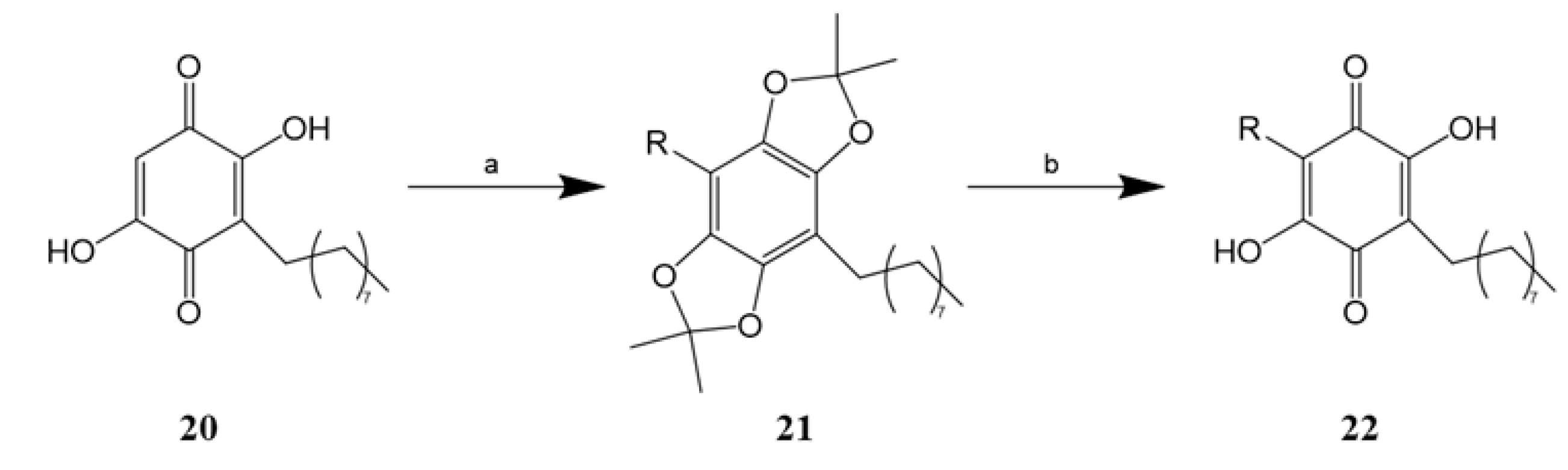
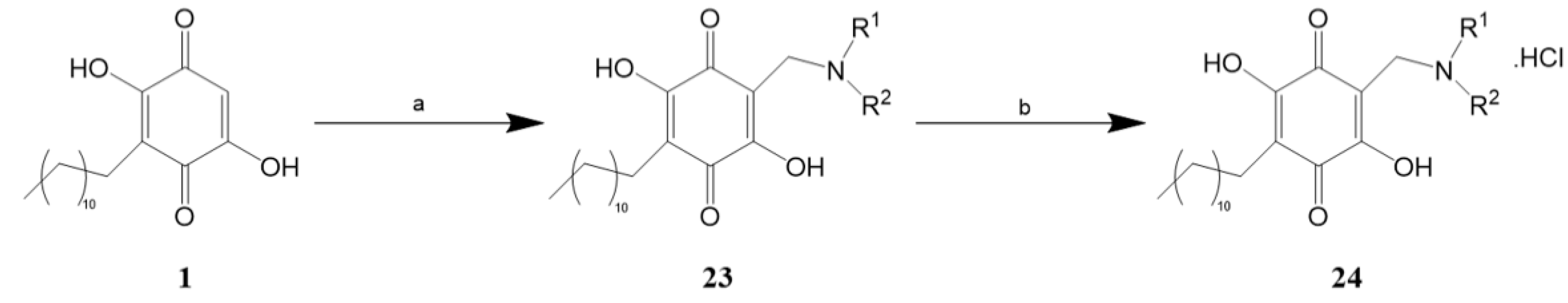
2. Synthesis of Embelin Derivatives
3. Embelin Delivery Systems
3.1. Polymeric Micelles
3.1.1. Encapsulation
3.1.2. Conjugation
3.2. Hydrogels
3.3. Polymeric Nanoparticles
4. Conclusions and Future Direction
Funding
Institutional Review Board Statement
Informed Consent Statement
Data Availability Statement
Conflicts of Interest
References
- Siegel, R.L.; Miller, K.D.; Fuchs, H.E.; Jemal, A. Cancer statistics, 2022. CA Cancer J. Clin. 2022, 72, 7–33. [Google Scholar] [CrossRef]
- Li, Y.J.; Lei, Y.H.; Yao, N.; Wang, C.R.; Hu, N.; Ye, W.C.; Zhang, D.M.; Chen, Z.S. Autophagy and multidrug resistance in cancer. Chin. J. Cancer 2017, 36, 52. [Google Scholar] [CrossRef]
- Wu, T.; Dai, Y.; Wang, W.; Teng, G.; Jiao, H.; Shuai, X.; Zhang, R.; Zhao, P.; Qiao, L. Macrophage targeting contributes to the inhibitory effects of embelin on colitis-associated cancer. Oncotarget 2016, 7, 19548–19558. [Google Scholar] [CrossRef]
- Lichota, A.; Gwozdzinski, K. Anticancer Activity of Natural Compounds from Plant and Marine Environment. Int. J. Mol. Sci. 2018, 19, 3533. [Google Scholar] [CrossRef]
- Gupta, O.P.; Ali, M.M.; Ray Ghatak, B.J.; Atal, C.K. Some pharmacological investigations of embelin and its semisynthetic derivatives. Indian J. Physiol. Pharmacol. 1977, 21, 31–39. [Google Scholar]
- Dallacker, F.; Lohnert, G. Derivatives of methylenedioxybenzene, 35. A novel synthesis of 3,6 dihydroxy-2-ethyl-1,4-benzoquinone, embelin, vilangin, rapanone, dihydromaesaquinone, bhogatin, spinulosin and oosporein. Chem. Ber. 1972, 105, 614–624. [Google Scholar] [CrossRef]
- Du, Y.C.; Wie, J.S. Study of Vermifuges. I. Isolation of Embelin from the Fruit of Mugua-Wha (Embelia Oblongifolia Hemsl.). Yao Xue Xue Bao 1963, 10, 578–580. [Google Scholar]
- Chitra, M.; Devi, C.S.; Sukumar, E. Antibacterial activity of embelin. Fitoterapia 2003, 74, 401–403. [Google Scholar] [CrossRef]
- Chitra, M.; Sukumar, E.; Suja, V.; Devi, C.S. Antitumor, anti-inflammatory and analgesic property of embelin, a plant product. Chemotherapy 1994, 40, 109–113. [Google Scholar] [CrossRef]
- Joshi, R.; Kamat, J.P.; Mukherjee, T. Free radical scavenging reactions and antioxidant activity of embelin: Biochemical and pulse radiolytic studies. Chem.-Biol. Interact. 2007, 167, 125–134. [Google Scholar] [CrossRef]
- Krishnaswamy, M.; Purushothaman, K.K. Antifertility properties of Embelia ribes. Indian J. Exp. Biol. 1980, 18, 638–639. [Google Scholar]
- Swamy, H.K.; Krishna, V.; Shankarmurthy, K.; Rahiman, B.A.; Mankani, K.L.; Mahadevan, K.M.; Harish, B.G.; Naika, H.R. Wound healing activity of embelin isolated from the ethanol extract of leaves of Embelia ribes Burm. J. Ethnopharmacol. 2007, 109, 529–534. [Google Scholar] [CrossRef]
- Mahendran, S.; Thippeswamy, B.S.; Veerapur, V.P.; Badami, S. Anticonvulsant activity of embelin isolated from Embelia ribes. Phytomedicine 2011, 18, 186–188. [Google Scholar] [CrossRef]
- Radhakrishnan, N.; Alam, M. Antifertility activity of embelin in albino rats. Indian J. Exp. Biol. 1975, 13, 70–71. [Google Scholar]
- Singh, D.; Singh, R.; Singh, P.; Gupta, R.S. Effects of embelin on lipid peroxidation and free radical scavenging activity against liver damage in rats. Basic Clin. Pharmacol. Toxicol. 2009, 105, 243–248. [Google Scholar] [CrossRef]
- Ahn, K.S.; Sethi, G.; Aggarwal, B.B. Embelin, an inhibitor of X chromosome-linked inhibitor-of-apoptosis protein, blocks nuclear factor-kappaB (NF-kappaB) signaling pathway leading to suppression of NF-kappaB-regulated antiapoptotic and metastatic gene products. Mol. Pharmacol. 2007, 71, 209–219. [Google Scholar] [CrossRef]
- Dai, Y.; Jiao, H.; Teng, G.; Wang, W.; Zhang, R.; Wang, Y.; Hebbard, L.; George, J.; Qiao, L. Embelin reduces colitis-associated tumorigenesis through limiting IL-6/STAT3 signaling. Mol. Cancer Ther. 2014, 13, 1206–1216. [Google Scholar] [CrossRef]
- Dai, Y.; Qiao, L.; Chan, K.W.; Yang, M.; Ye, J.; Ma, J.; Zou, B.; Gu, Q.; Wang, J.; Pang, R.; et al. Peroxisome proliferator-activated receptor-gamma contributes to the inhibitory effects of Embelin on colon carcinogenesis. Cancer Res. 2009, 69, 4776–4783. [Google Scholar] [CrossRef]
- Heo, J.Y.; Kim, H.J.; Kim, S.M.; Park, K.R.; Park, S.Y.; Kim, S.W.; Nam, D.; Jang, H.J.; Lee, S.G.; Ahn, K.S.; et al. Embelin suppresses STAT3 signaling, proliferation, and survival of multiple myeloma via the protein tyrosine phosphatase PTEN. Cancer Lett. 2011, 308, 71–80. [Google Scholar] [CrossRef]
- Joy, B.; Sivadasan, R.; Emilia, A.T.; John, M.; Sobhan, P.K.; Seervi, M.; TR, S. Lysosomal destabilization and cathepsin B contributes for cytochrome c release and caspase activation in embelin-induced apoptosis. Mol. Carcinog. 2010, 49, 324–336. [Google Scholar] [CrossRef]
- Kim, S.W.; Kim, S.M.; Bae, H.; Nam, D.; Lee, J.H.; Lee, S.G.; Shim, B.S.; Kim, S.H.; Ahn, K.S.; Choi, S.H.; et al. Embelin inhibits growth and induces apoptosis through the suppression of Akt/mTOR/S6K1 signaling cascades. Prostate 2013, 73, 296–305. [Google Scholar] [CrossRef]
- Lin, Z.; Jensen, J.K.; Hong, Z.; Shi, X.; Hu, L.; Andreasen, P.A.; Huang, M. Structural insight into inactivation of plasminogen activator inhibitor-1 by a small-molecule antagonist. Chem. Biol. 2013, 20, 253–261. [Google Scholar] [CrossRef]
- Modak, R.; Basha, J.; Bharathy, N.; Maity, K.; Mizar, P.; Bhat, A.V.; Vasudevan, M.; Rao, V.K.; Kok, W.K.; Natesh, N.; et al. Probing p300/CBP associated factor (PCAF)-dependent pathways with a small molecule inhibitor. ACS Chem. Biol. 2013, 8, 1311–1323. [Google Scholar] [CrossRef]
- Nigam, N.; Grover, A.; Goyal, S.; Katiyar, S.P.; Bhargava, P.; Wang, P.C.; Sundar, D.; Kaul, S.C.; Wadhwa, R. Targeting Mortalin by Embelin Causes Activation of Tumor Suppressor p53 and Deactivation of Metastatic Signaling in Human Breast Cancer Cells. PLoS ONE 2015, 10, e0138192. [Google Scholar] [CrossRef]
- Reuter, S.; Prasad, S.; Phromnoi, K.; Kannappan, R.; Yadav, V.R.; Aggarwal, B.B. Embelin suppresses osteoclastogenesis induced by receptor activator of NF-kappaB ligand and tumor cells in vitro through inhibition of the NF-kappaB cell signaling pathway. Mol. Cancer Res. 2010, 8, 1425–1436. [Google Scholar] [CrossRef]
- Siegelin, M.D.; Gaiser, T.; Siegelin, Y. The XIAP inhibitor Embelin enhances TRAIL-mediated apoptosis in malignant glioma cells by down-regulation of the short isoform of FLIP. Neurochem. Int. 2009, 55, 423–430. [Google Scholar] [CrossRef]
- Xu, M.; Cui, J.; Fu, H.; Proksch, P.; Lin, W.; Li, M. Embelin derivatives and their anticancer activity through microtubule disassembly. Planta Med. 2005, 71, 944–948. [Google Scholar] [CrossRef]
- Martin-Acosta, P.; Amesty, A.; Guerra-Rodriguez, M.; Guerra, B.; Fernandez-Perez, L.; Estevez-Braun, A. Modular Synthesis and Antiproliferative Activity of New Dihydro-1H-pyrazolo[1,3-b]pyridine Embelin Derivatives. Pharmaceuticals 2021, 14, 1026. [Google Scholar] [CrossRef]
- Babu, A.; Laila, S.P.; Fernandez, A. A Fluoro Derivative of Embelin, as Potent B-RAF Inhibitor in Melanoma. Anti-Cancer Agents Med. Chem. 2021, 21, 2066–2074. [Google Scholar] [CrossRef]
- Visentin, C.; Musso, L.; Broggini, L.; Bonato, F.; Russo, R.; Moriconi, C.; Bolognesi, M.; Miranda, E.; Dallavalle, S.; Passarella, D.; et al. Embelin as Lead Compound for New Neuroserpin Polymerization Inhibitors. Life 2020, 10, 111. [Google Scholar] [CrossRef]
- Stalin, A.; Kandhasamy, S.; Kannan, B.S.; Verma, R.S.; Ignacimuthu, S.; Kim, Y.; Shao, Q.; Chen, Y.; Palani, P. Synthesis of a 1,2,3-bistriazole derivative of embelin and evaluation of its effect on high-fat diet fed-streptozotocin-induced type 2 diabetes in rats and molecular docking studies. Bioorganic Chem. 2020, 96, 103579. [Google Scholar] [CrossRef]
- Oramas-Royo, S.; Haidar, S.; Amesty, A.; Martin-Acosta, P.; Feresin, G.; Tapia, A.; Aichele, D.; Jose, J.; Estevez-Braun, A. Design, synthesis and biological evaluation of new embelin derivatives as CK2 inhibitors. Bioorganic Chem. 2020, 95, 103520. [Google Scholar] [CrossRef]
- Martin-Acosta, P.; Pena, R.; Feresin, G.; Tapia, A.; Lorenzo-Castrillejo, I.; Machin, F.; Amesty, A.; Estevez-Braun, A. Efficient Multicomponent Synthesis of Diverse Antibacterial Embelin-Privileged Structure Conjugates. Molecules 2020, 25, 3290. [Google Scholar] [CrossRef]
- Chen, X.; Gao, M.; Jian, R.; Hong, W.D.; Tang, X.; Li, Y.; Zhao, D.; Zhang, K.; Chen, W.; Zheng, X.; et al. Design, synthesis and alpha-glucosidase inhibition study of novel embelin derivatives. J. Enzym. Inhib. Med. Chem. 2020, 35, 565–573. [Google Scholar] [CrossRef]
- Shuveksh, P.S.; Ahmed, K.; Padhye, S.; Schobert, R.; Biersack, B. Chemical and Biological Aspects of the Natural 1,4-Benzoquinone Embelin and its (semi-)Synthetic Derivatives. Curr. Med. Chem. 2017, 24, 1998–2009. [Google Scholar] [CrossRef]
- Martin-Acosta, P.; Feresin, G.; Tapia, A.; Estevez-Braun, A. Microwave-Assisted Organocatalytic Intramolecular Knoevenagel/Hetero Diels-Alder Reaction with O-(Arylpropynyloxy)-Salicylaldehydes: Synthesis of Polycyclic Embelin Derivatives. J. Org. Chem. 2016, 81, 9738–9756. [Google Scholar] [CrossRef]
- Singh, B.; Guru, S.K.; Sharma, R.; Bharate, S.S.; Khan, I.A.; Bhushan, S.; Bharate, S.B.; Vishwakarma, R.A. Synthesis and anti-proliferative activities of new derivatives of embelin. Bioorganic Med. Chem. Lett. 2014, 24, 4865–4870. [Google Scholar] [CrossRef]
- Chen, F.; Zhang, G.; Hong, Z.; Lin, Z.; Lei, M.; Huang, M.; Hu, L. Design, synthesis, and SAR of embelin analogues as the inhibitors of PAI-1 (plasminogen activator inhibitor-1). Bioorganic Med. Chem. Lett. 2014, 24, 2379–2382. [Google Scholar] [CrossRef]
- Viault, G.; Babu, K.S.; Gautier, F.; Barille-Nion, S.; Juin, P.; Tasseau, O.; Gree, R. Hemisynthesis of selected embelin analogs and investigation of their proapoptotic activity against cancer cells. Med. Chem. 2013, 9, 1028–1034. [Google Scholar] [CrossRef]
- Pena, R.; Jimenez-Alonso, S.; Feresin, G.; Tapia, A.; Mendez-Alvarez, S.; Machin, F.; Ravelo, A.G.; Estevez-Braun, A. Multicomponent synthesis of antibacterial dihydropyridin and dihydropyran embelin derivatives. J. Org. Chem. 2013, 78, 7977–7985. [Google Scholar] [CrossRef]
- Mahendran, S.; Badami, S.; Ravi, S.; Thippeswamy, B.S.; Veerapur, V.P. Synthesis and evaluation of analgesic and anti-inflammatory activities of most active free radical scavenging derivatives of embelin-A structure-activity relationship. Chem. Pharm. Bull. 2011, 59, 913–919. [Google Scholar] [CrossRef][Green Version]
- Chen, J.; Nikolovska-Coleska, Z.; Wang, G.; Qiu, S.; Wang, S. Design, synthesis, and characterization of new embelin derivatives as potent inhibitors of X-linked inhibitor of apoptosis protein. Bioorganic Med. Chem. Lett. 2006, 16, 5805–5808. [Google Scholar] [CrossRef]
- Lamblin, M.; Sallustrau, A.; Commandeur, C.; Cresteil, T.; Felpin, F.; Dessolin, J. Synthesis and biological evaluation of hydrophilic embelin derivatives. Tetrahedron 2012, 68, 4655. [Google Scholar] [CrossRef]
- Danquah, M.K.; Zhang, X.A.; Mahato, R.I. Extravasation of polymeric nanomedicines across tumor vasculature. Adv. Drug Deliv. Rev. 2011, 63, 623–639. [Google Scholar] [CrossRef]
- Lavasanifar, A.; Samuel, J.; Kwon, G.S. Poly(ethylene oxide)-block-poly(L-amino acid) micelles for drug delivery. Adv. Drug Deliv. Rev. 2002, 54, 169–190. [Google Scholar] [CrossRef]
- Maeda, H.; Sawa, T.; Konno, T. Mechanism of tumor-targeted delivery of macromolecular drugs, including the EPR effect in solid tumor and clinical overview of the prototype polymeric drug SMANCS. J. Control. Release 2001, 74, 47–61. [Google Scholar] [CrossRef]
- Maeda, H.; Wu, J.M.; Sawa, T.; Matsumura, K.; Hori, K. Tumor vascular permeability and the EPR effect in macromolecular therapeutics: A review. J. Control. Release 2000, 65, 271–284. [Google Scholar]
- Vicent, M.J.; Duncan, R. Polymer conjugates: Nanosized medicines for treating cancer. Trends Biotechnol. 2006, 24, 39–47. [Google Scholar] [CrossRef]
- Lu, J.; Huang, Y.; Zhao, W.; Marquez, R.T.; Meng, X.; Li, J.; Gao, X.; Venkataramanan, R.; Wang, Z.; Li, S. PEG-derivatized embelin as a nanomicellar carrier for delivery of paclitaxel to breast and prostate cancers. Biomaterials 2013, 34, 1591–1600. [Google Scholar] [CrossRef]
- Huang, Y.; Lu, J.; Gao, X.; Li, J.; Zhao, W.; Sun, M.; Stolz, D.B.; Venkataramanan, R.; Rohan, L.C.; Li, S. PEG-derivatized embelin as a dual functional carrier for the delivery of paclitaxel. Bioconjugate Chem. 2012, 23, 1443–1451. [Google Scholar] [CrossRef]
- Danquah, M.; Duke, C.B., III; Patil, R.; Miller, D.D.; Mahato, R.I. Combination therapy of antiandrogen and XIAP inhibitor for treating advanced prostate cancer. Pharm. Res. 2012, 29, 2079–2091. [Google Scholar] [CrossRef]
- Li, F.; Danquah, M.; Mahato, R.I. Synthesis and characterization of amphiphilic lipopolymers for micellar drug delivery. Biomacromolecules 2010, 11, 2610–2620. [Google Scholar] [CrossRef]
- Danquah, M.; Li, F.; Duke, C.B., III; Miller, D.D.; Mahato, R.I. Micellar delivery of bicalutamide and embelin for treating prostate cancer. Pharm. Res. 2009, 26, 2081–2092. [Google Scholar] [CrossRef]
- Peng, M.; Xu, S.; Zhang, Y.; Zhang, L.; Huang, B.; Fu, S.; Xue, Z.; Da, Y.; Dai, Y.; Qiao, L.; et al. Thermosensitive injectable hydrogel enhances the antitumor effect of embelin in mouse hepatocellular carcinoma. J. Pharm. Sci. 2014, 103, 965–973. [Google Scholar] [CrossRef]
- Xu, Y.; Liu, D.; Hu, J.; Ding, P.; Chen, M. Hyaluronic acid-coated pH sensitive poly (beta-amino ester) nanoparticles for co-delivery of embelin and TRAIL plasmid for triple negative breast cancer treatment. Int. J. Pharm. 2020, 573, 118637. [Google Scholar] [CrossRef]
- Chen, F.; Zhang, J.; Wang, L.; Wang, Y.; Chen, M. Tumor pH(e)-triggered charge-reversal and redox-responsive nanoparticles for docetaxel delivery in hepatocellular carcinoma treatment. Nanoscale 2015, 7, 15763–15779. [Google Scholar] [CrossRef]
- Masood, F. Polymeric nanoparticles for targeted drug delivery system for cancer therapy. Mater Sci. Eng. C 2016, 60, 569–578. [Google Scholar] [CrossRef]









| Delivery System | Particle Size (nm) | Application | Outcome | Reference |
|---|---|---|---|---|
| PEG5K a-embelin conjugate micelles | 20 | 4T1.2 Murine breast cancer cells and PC3 Human prostate cancer xenograft models | Enhanced antitumor effect when used in combination with PTX f in 4T1.2 and PC3 cell lines in vivo. | [49] |
| PEG3.5K a-embelin conjugate micelles | 22 | MDA-MB-231 Human breast cancer cells, 4T1 Murine breast cancer cells, PC3 and DU145 Human prostate cancer cells | Comparable cytotoxic effect to free embelin in all four cell lines in vitro. Synergizes with PTX f in inhibiting cell proliferation in all four cell lines tested in vitro. | [50] |
| Embelin-loaded PEG a-b-p(CB d-co-LA b) micelles | 85.6 ± 1.2 | C4-2 Human prostate cancer xenograft model | Increased tumor regression in combination with CBDIV17 e antiandrogen in vivo | [51] |
| Embelin-loaded PEG a-b-PCD c micelles | 110 | C4-2 Human prostate cancer cells | Enhanced inhibition of C4-2 prostate cancer cell proliferation in vitro | [52] |
| Embelin-loaded PEG a-b-PLA b micelles | 30–50 | LNCaP Human prostate cancer xenograft model | Increased regression of hormone insensitive tumor in vivo | [53] |
| Embelin-loaded PECT g hydrogel | 100 | H22 Mouse hepatic cancer cells and H22 mouse hepatic cancer xenograft models | Increased cytotoxic effect compared to free embelin in vitro. Enhance antitumor efficacy in vivo. | [54] |
| Embelin-loaded HA h-PBAE i-PEI j nanoparticles | 182.7 ± 2.7 | MDA-MB-231 Human breast cancer cells | Enhanced inhibition of MDA-MB-231 breast cancer cell proliferation in vitro | [55] |
Publisher’s Note: MDPI stays neutral with regard to jurisdictional claims in published maps and institutional affiliations. |
© 2022 by the author. Licensee MDPI, Basel, Switzerland. This article is an open access article distributed under the terms and conditions of the Creative Commons Attribution (CC BY) license (https://creativecommons.org/licenses/by/4.0/).
Share and Cite
Danquah, M. Embelin and Its Derivatives: Design, Synthesis, and Potential Delivery Systems for Cancer Therapy. Pharmaceuticals 2022, 15, 1131. https://doi.org/10.3390/ph15091131
Danquah M. Embelin and Its Derivatives: Design, Synthesis, and Potential Delivery Systems for Cancer Therapy. Pharmaceuticals. 2022; 15(9):1131. https://doi.org/10.3390/ph15091131
Chicago/Turabian StyleDanquah, Michael. 2022. "Embelin and Its Derivatives: Design, Synthesis, and Potential Delivery Systems for Cancer Therapy" Pharmaceuticals 15, no. 9: 1131. https://doi.org/10.3390/ph15091131
APA StyleDanquah, M. (2022). Embelin and Its Derivatives: Design, Synthesis, and Potential Delivery Systems for Cancer Therapy. Pharmaceuticals, 15(9), 1131. https://doi.org/10.3390/ph15091131
