Therapeutic Potentials of Secoiridoids from the Fruits of Ligustrum lucidum Aiton against Inflammation-Related Skin Diseases
Abstract
:1. Introduction
2. Results
2.1. Isolation of Compounds from the Fruits of L. lucidum
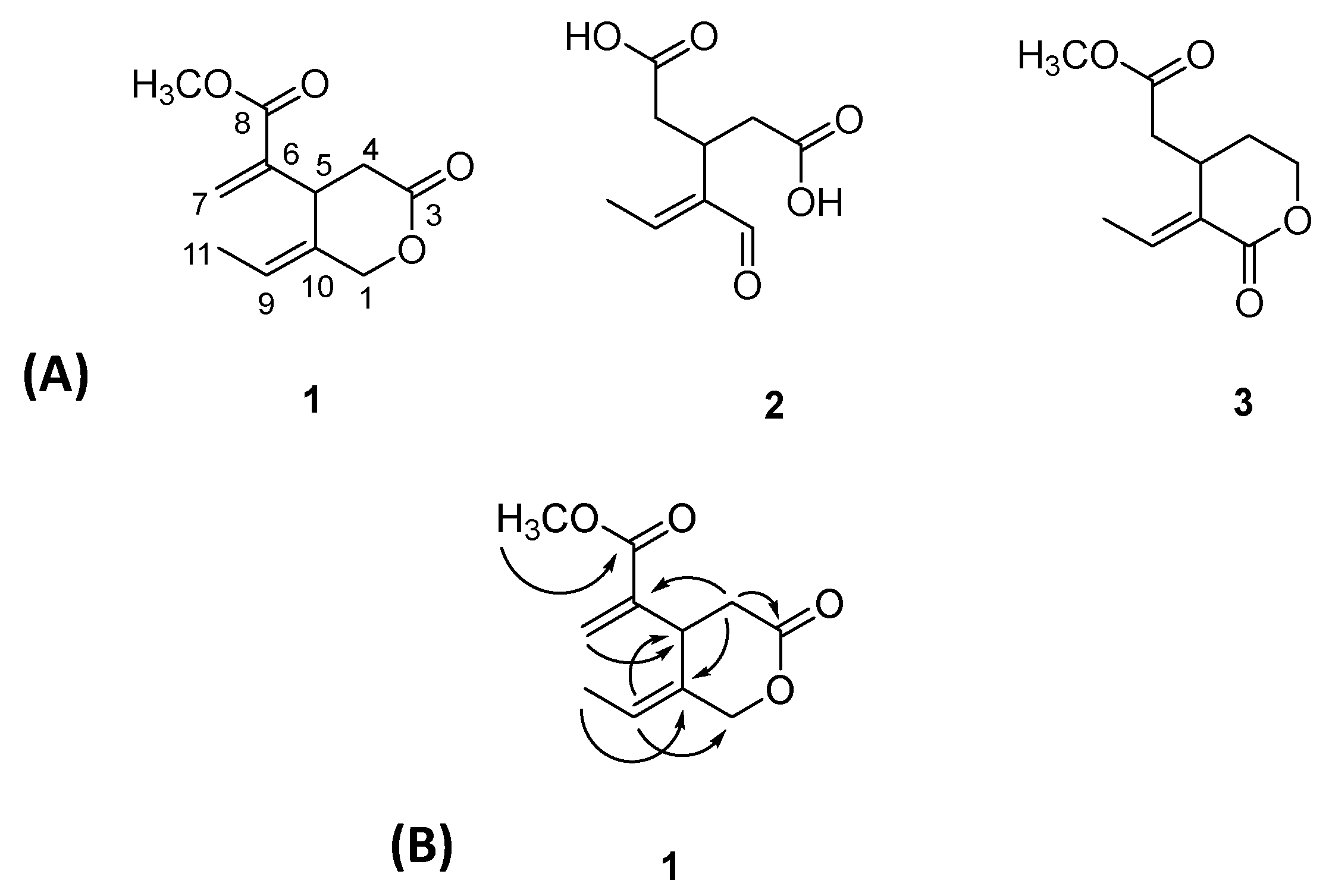
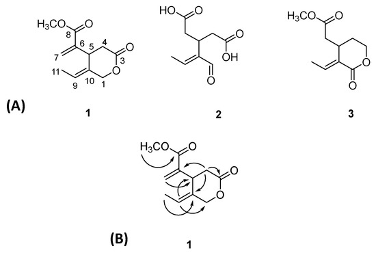
2.1.1. Structural Determination of New Compound
2.1.2. Identification of Known Compounds
2.2. Anti-Inflammatory Effects on LPS-Stimulated RAW264.7 Cells
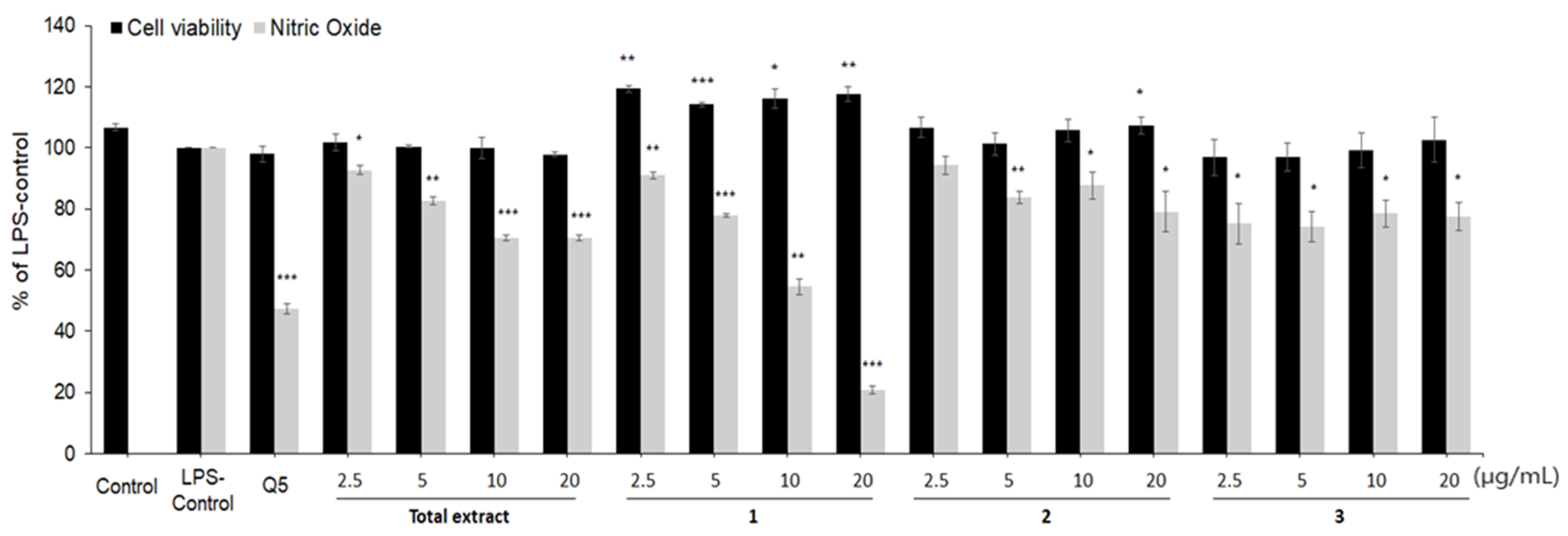
2.2.1. Inhibitory Effect of Compounds 1–3 on the Production of NO and Cytokines
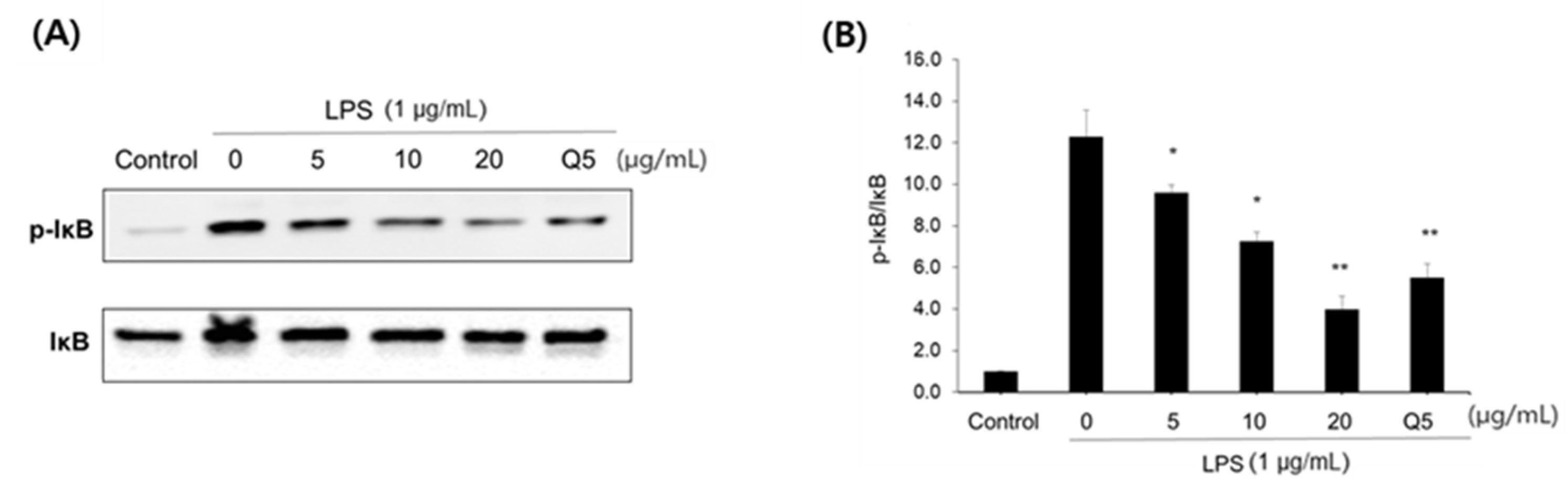
2.2.2. Effect of Compound 1 on NF-κB Pathway and MAPK/STAT3 Signaling
2.3. Effects on Psoriasis Regulation in TNF-α/IL-17A/IFN-γ Induced HaCaT Cells
2.4. Anti-Inflammatory Potential of L. ludicum and Its Secoirioids
3. Materials and Methods
3.1. General Experimental Procedure
3.2. Plant Material
3.3. Extraction and Isolation of Compounds
3.4. Evaluation of Anti-Inflammatory Activity
3.4.1. Effect of Compound 1 on MAPK/STAT3 Signaling
3.4.2. Cell Viability Assay
3.4.3. Measurement of NO
3.4.4. Real-Time RT-PCR
3.4.5. Western Blot Analysis
3.5. Statistical Analysis
4. Conclusions
Supplementary Materials
Author Contributions
Funding
Institutional Review Board Statement
Informed Consent Statement
Data Availability Statement
Conflicts of Interest
References
- Gao, L.; Li, C.; Wang, Z.; Liu, X.; You, Y.; Wei, H.; Guo, T. Ligustri lucidi fructus as a traditional Chinese medicine: A review of its phytochemistry and pharmacology. Nat. Prod. Res. 2015, 29, 493–510. [Google Scholar] [CrossRef] [PubMed]
- Xu, X.-H.; Yang, N.-Y.; Qian, S.-H.; Xie, N.; Duan, J.-A. Dammarane triterpenes fromLigustrum lucidum. J. Asian Nat. Prod. Res. 2008, 10, 33–37. [Google Scholar] [CrossRef]
- Ngo, Q.-M.T.; Lee, H.-S.; Nguyen, V.T.; Kim, J.A.; Woo, M.H.; Min, B.S. Chemical constituents from the fruits of Ligustrum japonicum and their inhibitory effects on T cell activation. Phytochemistry 2017, 141, 147–155. [Google Scholar] [CrossRef] [PubMed]
- Pang, X.; Zhao, J.-Y.; Yu, H.-Y.; Yu, L.-Y.; Wang, T.; Zhang, Y.; Gao, X.-M.; Han, L.-F. Secoiridoid analogues from the fruits of Ligustrum lucidum and their inhibitory activities against influenza A virus. Bioorganic Med. Chem. Lett. 2018, 28, 1516–1519. [Google Scholar] [CrossRef]
- Suh, W.S.; Kwon, O.K.; Lee, T.H.; Subedi, L.; Kim, S.Y.; Lee, K.R. Secoiridoid Glycosides from the Twigs of Ligustrum obtusifolium Possess Anti-inflammatory and Neuroprotective Effects. Chem. Pharm. Bull. 2018, 66, 78–83. [Google Scholar] [CrossRef] [PubMed] [Green Version]
- Medzhitov, R. Origin and physiological roles of inflammation. Nature 2008, 454, 428–435. [Google Scholar] [CrossRef] [PubMed]
- Chen, L.; Deng, H.; Cui, H.; Fang, J.; Zuo, Z.; Deng, J.; Li, Y.; Wang, X.; Zhao, L. Inflammatory responses and inflammation-associated diseases in organs. Oncotarget 2018, 9, 7204–7218. [Google Scholar] [CrossRef] [PubMed] [Green Version]
- Glass, C.K.; Saijo, K.; Winner, B.; Marchetto, M.C.; Gage, F.H. Mechanisms Underlying Inflammation in Neurodegeneration. Cell 2010, 140, 918–934. [Google Scholar] [CrossRef] [Green Version]
- Gaber, T.; Strehl, C.; Buttgereit, F. Metabolic regulation of inflammation. Nat. Rev. Rheumatol. 2017, 13, 267–279. [Google Scholar] [CrossRef]
- Ross, E.A.; Devitt, A.; Johnson, J.R. Macrophages: The Good, the Bad, and the Gluttony. Front. Immunol. 2021, 12, 708186. [Google Scholar] [CrossRef]
- Rossol, M.; Heine, H.; Meusch, U.; Quandt, D.; Klein, C.; Sweet, M.J.; Hauschildt, S. LPS-induced Cytokine Production in Human Monocytes and Macrophages. Crit. Rev. Immunol. 2011, 31, 379–446. [Google Scholar] [CrossRef]
- Akira, S. Toll-like receptor signaling. J. Biol. Chem. 2003, 278, 38105–38108. [Google Scholar] [CrossRef] [Green Version]
- Akashi, S.; Shimazu, R.; Ogata, H.; Nagai, Y.; Takeda, K.; Kimoto, M.; Miyake, K. Cutting Edge: Cell Surface Expression and Lipopolysaccharide Signaling Via the Toll-Like Receptor 4-MD-2 Complex on Mouse Peritoneal Macrophages. J. Immunol. 2000, 164, 3471–3475. [Google Scholar] [CrossRef] [Green Version]
- Lai, J.L.; Liu, Y.H.; Liu, C.; Qi, M.P.; Liu, R.N.; Zhu, X.F.; Hu, C.M. Indirubin inhibits LPS-induced inflammation via TLR4 abrogation mediated by the NF-kB and MAPK signaling pathways. Inflammation 2017, 40, 1–12. [Google Scholar] [CrossRef]
- Dhingra, A.K.; Chopra, B. Inflammation as a Therapeutic Target for Various Deadly Disorders: A Review. Curr. Drug Targets 2020, 21, 582–588. [Google Scholar] [CrossRef]
- Arulselvan, P.; Fard, M.T.; Tan, W.S.; Gothai, S.; Fakurazi, S.; Norhaizan, M.E.; Kumar, S.S. Role of Antioxidants and Natural Products in Inflammation. Oxid. Med. Cell. Longev. 2016, 2016, 5276130. [Google Scholar] [CrossRef] [Green Version]
- Deng, Y.; Chang, C.; Lu, Q. The Inflammatory Response in Psoriasis: A Comprehensive Review. Clin. Rev. Allergy Immunol. 2016, 50, 377–389. [Google Scholar] [CrossRef]
- Rendon, A.; Schäkel, K. Psoriasis Pathogenesis and Treatment. Int. J. Mol. Sci. 2019, 20, 1475. [Google Scholar] [CrossRef] [Green Version]
- Lowes, M.A.; Suárez-Fariñas, M.; Krueger, J.G. Immunology of Psoriasis. Annu. Rev. Immunol. 2014, 32, 227–255. [Google Scholar] [CrossRef] [Green Version]
- Kamiya, K.; Kishimoto, M.; Sugai, J.; Komine, M.; Ohtsuki, M. Risk Factors for the Development of Psoriasis. Int. J. Mol. Sci. 2019, 20, 4347. [Google Scholar] [CrossRef] [Green Version]
- Hawkes, J.E.; Yan, B.Y.; Chan, T.C.; Krueger, J.G. Discovery of the IL-23/IL-17 signaling pathway and the treatment of psoriasis. J. Immunol. 2018, 201, 1605–1613. [Google Scholar] [CrossRef]
- Rubio-Senent, F.; Martos, S.; García, A.; Fernández-Bolaños, J.G.; Rodríguez-Gutiérrez, G.; Fernández-Bolaños, J. Isolation and Characterization of a Secoiridoid Derivative from Two-Phase Olive Waste (Alperujo). J. Agric. Food Chem. 2015, 63, 1151–1159. [Google Scholar] [CrossRef] [Green Version]
- English, B.J.; Williams, R.M. A Divergent Strategy for the Synthesis of Secologanin Derived Natural Products. J. Org. Chem. 2010, 75, 7869–7876. [Google Scholar] [CrossRef] [Green Version]
- Fan, B.; Li, X.; Ze, K.; Xu, R.; Shi, R.-F.; Geng, L.; Li, F.-L.; Wang, Y.-F.; Chen, J.; Li, B. Expression of T-helper 17 cells and signal transducers in patients with psoriasis vulgaris of blood-heat syndrome and blood-stasis syndrome. Chin. J. Integr. Med. 2015, 21, 10–16. [Google Scholar] [CrossRef]
- Blauvelt, A.; Chiricozzi, A. The Immunologic Role of IL-17 in Psoriasis and Psoriatic Arthritis Pathogenesis. Clin. Rev. Allergy Immunol. 2018, 55, 379–390. [Google Scholar] [CrossRef] [Green Version]
- Rowe, A.; Farrell, A.M.; Bunker, C.B. Constitutive endothelial and inducible nitric oxide synthase in inflammatory dermatoses. Brit. J. Dermatol. 1997, 136, 18–23. [Google Scholar] [CrossRef]
- Ormerod, A.D.; Weller, R.; Copeland, P.; Benjamin, N.; Ralston, S.H.; Grabowksi, P.; Herriot, R. Detection of nitric oxide and nitric oxide synthases in psoriasis. Arch. Dermatol. Res. 1998, 290, 3–8. [Google Scholar] [CrossRef]
- Örem, A.; Aliyazicioglu, R.; Kiran, E.; Vanizor, B.; Çimnocodeit, G.; Deger, O. The relationship between nitric oxide production and activity of the disease in patients with psoriasis. Arch. Dermatol. 1997, 133, 1606–1607. [Google Scholar] [CrossRef]
- Man, M.-Q.; Wakefield, J.S.; Mauro, T.M.; Elias, P.M. Regulatory Role of Nitric Oxide in Cutaneous Inflammation. Inflammation 2022, 45, 949–964. [Google Scholar] [CrossRef]
- Kang, Y.-M.; Kim, H.-M.; Lee, M.; An, H.-J. Oleanolic Acid Alleviates Atopic Dermatitis-like Responses In Vivo and In Vitro. Int. J. Mol. Sci. 2021, 22, 12000. [Google Scholar] [CrossRef]
- Li, G.; Wu, H.; Sun, L.; Cheng, K.; Lv, Z.; Chen, K.; Qian, F.; Li, Y. (-)-α-Bisabolol alleviates atopic dermatitis by inhibiting MAPK and NF-κB signaling in mast cell. Molecules 2022, 27, 3985. [Google Scholar] [CrossRef] [PubMed]
- Shi, Z.-R.; Tan, G.-Z.; Cao, C.-X.; Han, Y.-F.; Megn, Z.; Man, X.-Y.; Jiang, Z.X.; Zhang, Y.P.; Dang, N.N.; Wek, K.H.; et al. Decrease in galectin-3 in keratinocytes: A potential diagnostic marker and a crucial contributor to the pathogenesis of psoriasis. J. Autoimmun. 2018, 89, 30–40. [Google Scholar] [CrossRef] [PubMed]
- Ampawong, S.; Kengkoom, K.; Sukphopetch, P.; Aramwit, P.; Muangkaew, W.; Kanjanapruthipong, T.; Buaban, T. Evaluating the effect of rice (Oryza sativa L.: SRNC05053-6-2) crude extract on psoriasis using in vitro and in vivo models. Sci. Rep. 2020, 10, 17618. [Google Scholar] [CrossRef]
- Salsano, J.E.; Digiacomo, M.; Cuffaro, D.; Bertini, S.; Macchia, M. Content variations in oleocanthalic acid and other phenolic compounds in extra-nirgin olive oil during storage. Foods 2022, 11, 1354. [Google Scholar] [CrossRef] [PubMed]
- Castillo-Luna, A.; Ledesma-Escobar, C.A.; Gómez-Díaz, R.; Priego-Capote, F. The secoiridoid profile of virgin olive oil conditions phenolic metabolism. Food Chem. 2022, 395, 133585. [Google Scholar] [CrossRef]






| Carbon Number | δH (700 MHz) | δC (175 MHz) |
|---|---|---|
| 1 | 4.78 (1H, d, J = 9.8 Hz) | 72.3 |
| 4.74 (1H, d, J = 9.8 Hz) | ||
| 3 | - | 173.7 |
| 4 | 2.91 (1H, dd, J = 15.4, 6.3 Hz) | 35.2 |
| 2.75 (1H, dd, J = 15.4, 6.3 Hz) | ||
| 5 | 4.01 (1H, t, J = 6.3 Hz) | 35.8 |
| 6 | - | 140.6 |
| 7 | 6.31 (1H, s) | 125.9 |
| 5.75 (1H, s) | ||
| 8 | - | 166.4 |
| 9 | 5.82 (1H, q, J = 5.6 Hz) | 125.6 |
| 10 | - | 131.9 |
| 11 | 1.56 (3H, d, J = 5.6 Hz) | 12.8 |
| OCH | 3.80 (3H, s) | 51.2 |
Publisher’s Note: MDPI stays neutral with regard to jurisdictional claims in published maps and institutional affiliations. |
© 2022 by the authors. Licensee MDPI, Basel, Switzerland. This article is an open access article distributed under the terms and conditions of the Creative Commons Attribution (CC BY) license (https://creativecommons.org/licenses/by/4.0/).
Share and Cite
Yeon, S.W.; Choi, S.R.; Liu, Q.; Jo, Y.H.; Choi, D.H.; Kim, M.R.; Ryu, S.H.; Lee, S.; Hwang, B.Y.; Hwang, H.S.; et al. Therapeutic Potentials of Secoiridoids from the Fruits of Ligustrum lucidum Aiton against Inflammation-Related Skin Diseases. Pharmaceuticals 2022, 15, 932. https://doi.org/10.3390/ph15080932
Yeon SW, Choi SR, Liu Q, Jo YH, Choi DH, Kim MR, Ryu SH, Lee S, Hwang BY, Hwang HS, et al. Therapeutic Potentials of Secoiridoids from the Fruits of Ligustrum lucidum Aiton against Inflammation-Related Skin Diseases. Pharmaceuticals. 2022; 15(8):932. https://doi.org/10.3390/ph15080932
Chicago/Turabian StyleYeon, Sang Won, Su Ryeon Choi, Qing Liu, Yang Hee Jo, Da Hee Choi, Mi Ran Kim, Se Hwan Ryu, Solip Lee, Bang Yeon Hwang, Hyung Seo Hwang, and et al. 2022. "Therapeutic Potentials of Secoiridoids from the Fruits of Ligustrum lucidum Aiton against Inflammation-Related Skin Diseases" Pharmaceuticals 15, no. 8: 932. https://doi.org/10.3390/ph15080932
APA StyleYeon, S. W., Choi, S. R., Liu, Q., Jo, Y. H., Choi, D. H., Kim, M. R., Ryu, S. H., Lee, S., Hwang, B. Y., Hwang, H. S., & Lee, M. K. (2022). Therapeutic Potentials of Secoiridoids from the Fruits of Ligustrum lucidum Aiton against Inflammation-Related Skin Diseases. Pharmaceuticals, 15(8), 932. https://doi.org/10.3390/ph15080932

