β-Lactam Antibiotics and β-Lactamase Enzymes Inhibitors, Part 2: Our Limited Resources
Abstract
1. Introduction
2. β-Lactamase Enzymes (BLEs)
3. β-Lactamase Enzymes Inhibitors (BLEsIs): What Works on Whom?
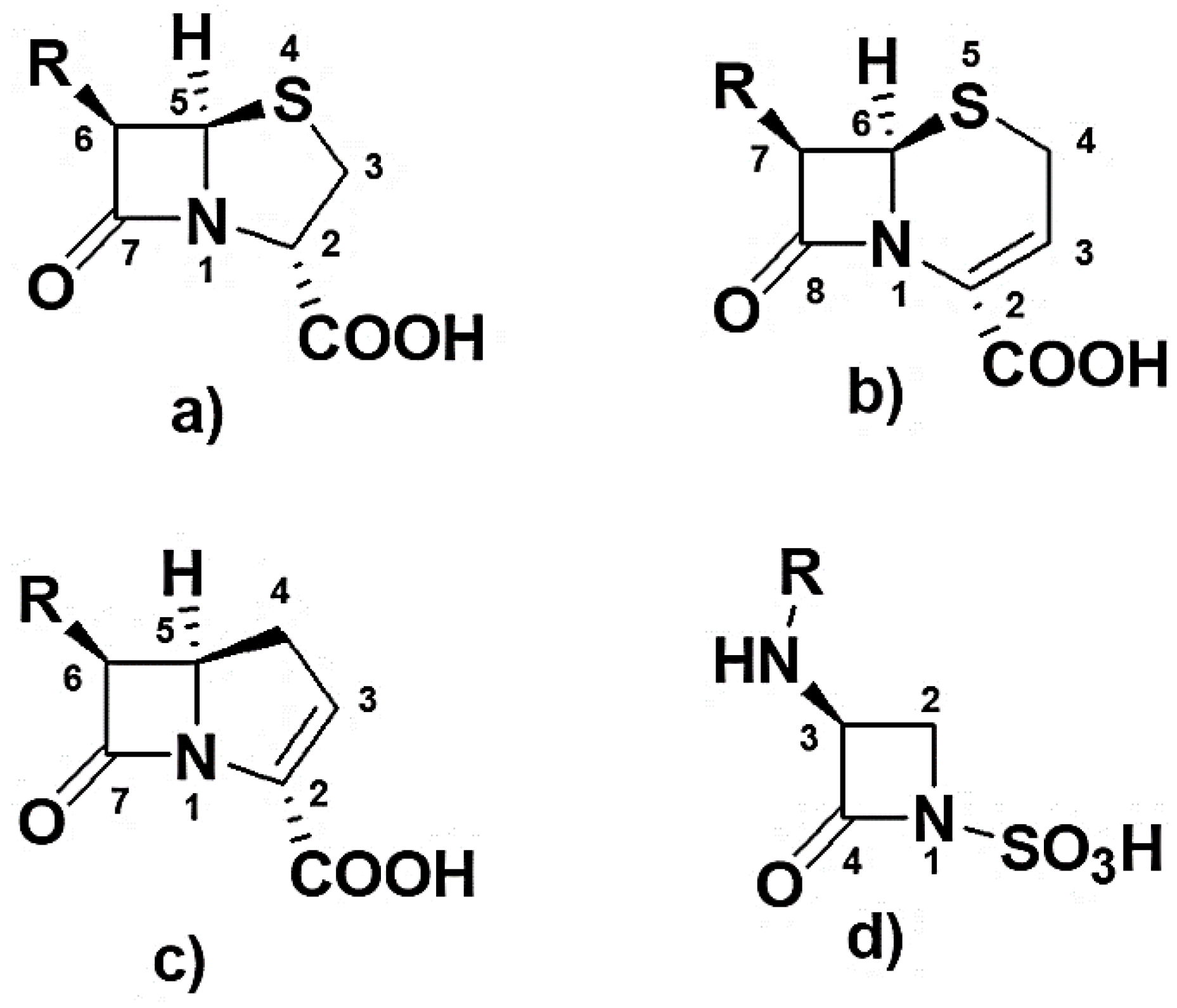
4. β-Lactam BLEsIs
4.1. Clinically Approved β-Lactam BLEsIs
4.1.1. Tebipenem
4.1.2. Clavulanic Acid (CA)
4.1.3. Sulbactam
4.1.4. Tazobactam
4.2. β-Lactam BLEsIs in Experimental Phase
4.2.1. Enmetazobactam
4.2.2. 6-Methylidene Penems
4.2.3. LN-1-255
4.2.4. Other Synthetized β-Lactam BLEsIs
5. Non-β-Lactam BLEsIs
5.1. Diazabicyclooctanes (DBOs)
5.1.1. Clinically Approved DBOs
Avibactam
Relebactam
5.1.2. DBOs in Experimental Phase
Zidebactam (WCK-5107)
Durlobactam (ETX-2514)
Nacubactam (OP-0595)
ETX-1317
WCK-5153
WCK-4234
ANT-3310
GT-055 (also Referred to as LCB18-055)
5.2. Boronic Acid Derivatives
5.2.1. Clinically Approved Boronic Acid Derivative
Vaborbactam (RPX-7009)
5.2.2. Boronic Acid Derivatives in Experimental Phase
Taniborbactam (VNRX-5133)
Ledaborbactam Etzadroxil (Formerly VNRX-7145) as Orally Bioavailable Prodrug of Ledarbobactam (VNRX-5236)
Xeruborbactam (QPX-7728)
5.3. Thiazole-Carboxylates Derivative
ANT-2681
6. Works in Progress
Evolving Resistance to Recently Approved BLAs/BLEsIs Combinations
7. Summary and Authors’ Conclusions
Author Contributions
Funding
Institutional Review Board Statement
Informed Consent Statement
Data Availability Statement
Conflicts of Interest
References
- Tooke, C.L.; Hinchliffe, P.; Bragginton, E.C.; Colenso, C.K.; Hvievonen, V.H.A.; Takebayeshi, Y.; Spencer, J. β-Lactamases and β-Lactamase Inhibitors in the 21st Century. J. Mol. Biol. 2019, 431, 3472–3500. [Google Scholar] [CrossRef] [PubMed]
- Bush, K. Past and Present Perspectives on β-Lactamases. Antimicrob. Agents Chemother. 2018, 62, e01076-18. [Google Scholar] [CrossRef] [PubMed]
- Bush, K.; Bradford, P.A. β-Lactams and β-Lactamase Inhibitors: An Overview. Cold Spring Harb. Perspect. Med. 2016, 6, a025247. [Google Scholar] [CrossRef]
- Alfei, S.; Zuccari, G. Recommendations to Synthetize Old and New β-Lactamases Inhibitors: A Review to Encourage Further Production. Pharmaceuticals 2022, 15, 384. [Google Scholar] [CrossRef]
- Sauvage, E.; Kerff, F.; Terrak, M.; Ayala, J.A.; Charlier, P. The Penicillin-Binding Proteins: Structure and Role in Peptidoglycan Biosynthesis. FEMS Microbiol. Rev. 2008, 32, 234–258. [Google Scholar] [CrossRef]
- Palzkill, T. Metallo-β-Lactamase Structure and Function. Ann. N. Y. Acad. Sci. 2013, 1277, 91–104. [Google Scholar] [CrossRef] [PubMed]
- Neu, H.C. Aztreonam Activity, Pharmacology, and Clinical Uses. Am. J. Med. 1990, 88, S2–S6. [Google Scholar] [CrossRef]
- Sykes, R.B.; Bonner, D.P. Aztreonam: The First Monobactam. Am. J. Med. 1985, 78, 2–10. [Google Scholar] [CrossRef]
- Papp-Wallace, K.M.; Endimiani, A.; Taracila, M.A.; Bonomo, R.A. Carbapenems: Past, Present, and Future. Antimicrob. Agents Chemother. 2011, 55, 4943–4960. [Google Scholar] [CrossRef]
- Babic, M.; Hujer, A.M.; Bonomo, R.A. What’s New in Antibiotic Resistance? Focus on Beta-Lactamases. Drug Resist. Updates 2006, 9, 142–156. [Google Scholar] [CrossRef]
- Bush, K.; Fisher, J.F. Epidemiological Expansion, Structural Studies, and Clinical Challenges of New β-Lactamases from Gram-Negative Bacteria. Annu. Rev. Microbiol. 2011, 65, 455–478. [Google Scholar] [CrossRef] [PubMed]
- Tehrani, K.H.M.E.; Martin, N.I. β-Lactam/β-Lactamase Inhibitor Combinations: An Update. Med. Chem. Commun. 2018, 9, 1439–1456. [Google Scholar] [CrossRef] [PubMed]
- Karaiskos, I.; Galani, I.; Papoutsaki, V.; Galani, L.; Giamarellou, H. Carbapenemase Producing Klebsiella Pneumoniae: Implication on Future Therapeutic Strategies. Expert. Rev. Anti. Infect. 2021, 20, 53–69. [Google Scholar] [CrossRef] [PubMed]
- Khanna, N.R.; Gerriets, V. Beta Lactamase Inhibitors. In StatPearls; StatPearls Publishing: Treasure Island, FL, USA, 2021. Available online: https://www.ncbi.nlm.nih.gov/books/NBK557592/#_NBK557592_pubdet_ (accessed on 8 February 2022).
- Ghuysen, J.-M. Serine β-lactamases and penicillin-binding proteins. Annu. Rev. Microbiol. 1991, 45, 37–67. [Google Scholar] [CrossRef]
- Crowder, M.W.; Spencer, J.; Vila, A.J. Metallo-β-Lactamases: Novel Weaponry for Antibiotic Resistance in Bacteria. Acc. Chem. Res. 2006, 39, 721–728. [Google Scholar] [CrossRef]
- Wang, Z.; Fast, W.; Valentine, A.M.; Benkovic, S.J. Metallo-β-Lactamase: Structure and Mechanism. Curr. Opin. Chem. Biol. 1999, 3, 614–622. [Google Scholar] [CrossRef]
- El-Gamal, M.I.; Brahim, I.; Hisham, N.; Aladdin, R.; Mohammed, H.; Bahaaeldin, A. Recent Updates of Carbapenem Antibiotics. Eur. J. Med. Chem. 2017, 131, 185–195. [Google Scholar] [CrossRef]
- Maveyraud, L.; Mourey, L.; Kotra, L.P.; Pedelacq, J.-D.; Guillet, V.; Mobashery, S.; Samama, J.-P. Structural Basis for Clinical Longevity of Carbapenem Antibiotics in the Face of Challenge by the Common Class A β-Lactamases from the Antibiotic-Resistant Bacteria. J. Am. Chem. Soc. 1998, 120, 9748–9752. [Google Scholar] [CrossRef]
- Nukaga, M.; Bethel, C.R.; Thomson, J.M.; Hujer, A.M.; Distler, A.; Anderson, V.E.; Knox, J.R.; Bonomo, R.A. Inhibition of Class A Beta-Lactamases by Carbapenems: Crystallographic Observation of Two Conformations of Meropenem in SHV-1. J. Am. Chem. Soc. 2008, 130, 12656–12662. [Google Scholar] [CrossRef]
- Tremblay, L.W.; Fan, F.; Blanchard, J.S. Biochemical and Structural Characterization of Mycobacterium Tuberculosis Beta-Lactamase with the Carbapenems Ertapenem and Doripenem. Biochemistry 2010, 49, 3766–3773. [Google Scholar] [CrossRef]
- Bush, K. Alarming β-Lactamase-Mediated Resistance in Multidrug-Resistant Enterobacteriaceae. Curr. Opin. Microbiol. 2010, 13, 558–564. [Google Scholar] [CrossRef]
- Carcione, D.; Siracusa, C.; Sulejmani, A.; Leoni, V.; Intra, J. Old and New Beta-Lactamase Inhibitors: Molecular Structure, Mechanism of Action, and Clinical Use. Antibiotics 2021, 10, 995. [Google Scholar] [CrossRef] [PubMed]
- Fernández, L.; Hancock, R.E.W. Adaptive and Mutational Resistance: Role of Porins and Efflux Pumps in Drug Resistance. Clin. Microbiol. Rev. 2012, 25, 661–681. [Google Scholar] [CrossRef]
- Li, H.; Luo, Y.-F.; Williams, B.J.; Blackwell, T.S.; Xie, C.-M. Structure and Function of OprD Protein in Pseudomonas Aeruginosa: From Antibiotic Resistance to Novel Therapies. Int. J. Med. Microbiol. 2012, 302, 63–68. [Google Scholar] [CrossRef]
- Ayoub Moubareck, C.; Hammoudi Halat, D. Insights into Acinetobacter Baumannii: A Review of Microbiological, Virulence, and Resistance Traits in a Threatening Nosocomial Pathogen. Antibiotics 2020, 9, 119. [Google Scholar] [CrossRef]
- Moyá, B.; Beceiro, A.; Cabot, G.; Juan, C.; Zamorano, L.; Alberti, S.; Oliver, A. Pan-β-Lactam Resistance Development in Pseudomonas Aeruginosa Clinical Strains: Molecular Mechanisms, Penicillin-Binding Protein Profiles, and Binding Affinities. Antimicrob. Agents Chemother. 2012, 56, 4771–4778. [Google Scholar] [CrossRef]
- Yamachika, S.; Sugihara, C.; Kamai, Y.; Yamashita, M. Correlation between Penicillin-Binding Protein 2 Mutations and Carbapenem Resistance in Escherichia Coli. J. Med. Microbiol. 2013, 62, 429–436. [Google Scholar] [CrossRef] [PubMed]
- World Health Organization. Global Priority List of Antibiotic-Resistant Bacteria to Guide Research, Discovery, and Development of New Antibiotics. Available online: https://www.who.int/news-room/detail/27-02-2017-who-publishes-list-of-bacteria-for-which-new-antibiotics-are-urgently-needed (accessed on 10 February 2022).
- Olsen, I. New Promising β-Lactamase Inhibitors for Clinical Use. Eur. J. Clin. Microbiol. Infect. Dis. 2015, 34, 1303–1308. [Google Scholar] [CrossRef]
- González-Bello, C.; Rodríguez, D.; Pernas, M.; Rodríguez, Á.; Colchón, E. β-Lactamase Inhibitors To Restore the Efficacy of Antibiotics against Superbugs. J. Med. Chem. 2020, 63, 1859–1881. [Google Scholar] [CrossRef] [PubMed]
- Ambler, R.P.; Coulson, A.F.W.; Frère, J.M.; Ghuysen, J.M.; Joris, B.; Forsman, M.; Levesque, R.C.; Tiraby, G.; Waley, S.G. A Standard Numbering Scheme for the Class A β-Lactamases. Biochem. J. 1991, 276, 269–270. [Google Scholar] [CrossRef]
- Rotondo, C.M.; Wright, G.D. Inhibitors of metallo-β-lactamases. Curr. Opin. Microbiol. 2017, 39, 96–105. [Google Scholar] [CrossRef]
- Biedenbach, D.; Bouchillon, S.; Hackel, M.; Hoban, D.; Kazmierczak, K.; Hawser, S.; Badal, R. Dissemination of NDM Metallo-β-Lactamase Genes among Clinical Isolates of Enterobacteriaceae Collected during the SMART Global Surveillance Study from 2008 to 2012. Antimicrob. Agents Chemother. 2015, 59, 826–830. [Google Scholar] [CrossRef] [PubMed]
- Macheboeuf, P.; Contreras-Martel, C.; Job, V.; Dideberg, O.; Dessen, A. Penicillin Binding Proteins: Key players in bacterial cell cycle and drug resistance processes. FEMS Microbiol. Rev. 2006, 30, 673–691. [Google Scholar] [CrossRef]
- Dahiya, S.; Singla, P.; Chaudhary, U.; Singh, B. Prevalence of Klebsiella pneumoniae Carbapenemase (KPC), Metallo Beta Lactamases and AmpC beta Lactamases in Clinical Isolates of Klebsiella Species. Int. J. Curr. Microbiol. App. Sci. 2015, 4, 170. [Google Scholar]
- Grigorenko, V.G.; Rubtsova, M.Y.; Uporov, I.V.; Ishtubaev, I.V.; Andreeva, I.P.; Shcherbinin, D.S.; Egorov, A.M. Bacterial TEM-Type Serine Beta-Lactamases: Structure and Analysis of Mutations. Biochem. Mosc. Suppl. Ser. B 2018, 12, 87–95. [Google Scholar] [CrossRef]
- Sonda, T.; Kumburu, H.; van Zwetselaar, M.; Alifrangis, M.; Lund, O.; Kibiki, G.; Aarestrup, F.M. Meta-Analysis of Proportion Estimates of Extended-Spectrum-Beta-Lactamase-Producing Enterobacteriaceae in East Africa Hospitals. Antimicrob. Resist. Infect. Control 2016, 5, 18. [Google Scholar] [CrossRef]
- Onduru, O.G.; Mkakosya, R.S.; Aboud, S.; Rumisha, S.F. Genetic Determinants of Resistance among ESBL-Producing Enterobacteriaceae in Community and Hospital Settings in East, Central, and Southern Africa: A Systematic Review and Meta-Analysis of Prevalence. Can. J. Infect. Dis. Med. Microbiol. 2021, 2021, 5153237. [Google Scholar] [CrossRef] [PubMed]
- Varela, M.F.; Stephen, J.; Lekshmi, M.; Ojha, M.; Wenzel, N.; Sanford, L.M.; Hernandez, A.J.; Parvathi, A.; Kumar, S.H. Bacterial Resistance to Antimicrobial Agents. Antibiotics 2021, 10, 593. [Google Scholar] [CrossRef] [PubMed]
- Delgado, D.Y.C.; Barrigas, Z.P.T.; Astutillo, S.G.O.; Jaramillo, A.P.A.; Ausili, A. Detection and Molecular Characterization of β-Lactamase Genes in Clinical Isolates of Gram-Negative Bacteria in Southern Ecuador. Braz. J. Infect. Dis. 2016, 20, 627–630. [Google Scholar] [CrossRef]
- Poirel, L.; Naas, T.; Nordmann, P. Diversity, Epidemiology, and Genetics of Class D β-Lactamases. Antimicrob. Agents Chemother. 2010, 54, 24–38. [Google Scholar] [CrossRef]
- Evans, B.A.; Amyes, S.G.B. OXA β-Lactamases. Clin. Microbiol. Rev. 2014, 27, 241–263. [Google Scholar] [CrossRef]
- Philippon, A.; Arlet, G.; Jacoby, G.A. Plasmid-determined AmpC-type beta-lactamases. Antimicrob. Agents Chemother. 2002, 46, 1–11. [Google Scholar] [CrossRef] [PubMed]
- Jeon, J.H.; Lee, J.H.; Lee, J.J.; Park, K.S.; Karim, A.M.; Lee, C.-R.; Jeong, B.C.; Lee, S.H. Structural Basis for Carbapenem-Hydrolyzing Mechanisms of Carbapenemases Conferring Antibiotic Resistance. Int. J. Mol. Sci. 2015, 16, 9654–9692. [Google Scholar] [CrossRef]
- Boyd, S.E.; Livermore, D.M.; Hooper, D.C.; Hope, W.W. Metallo-β-Lactamases: Structure, Function, Epidemiology, Treatment Options, and the Development Pipeline. Antimicrob. Agents Chemother. 2020, 64, e00397-20. [Google Scholar] [CrossRef] [PubMed]
- Poirel, L.; Lagrutta, E.; Taylor, P.; Pham, J.; Nordmann, P. Emergence of Metallo-β-Lactamase NDM-1-Producing Multidrug-Resistant Escherichia Coli in Australia. Antimicrob. Agents Chemother. 2010, 54, 4914–4916. [Google Scholar] [CrossRef]
- Wang, T.; Xu, K.; Zhao, L.; Tong, R.; Xiong, L.; Shi, J. Recent Research and Development of NDM-1 Inhibitors. Eur. J. Med. Chem. 2021, 223, 113667. [Google Scholar] [CrossRef] [PubMed]
- Guo, Y.; Wang, J.; Niu, G.; Shui, W.; Sun, Y.; Zhou, H.; Zhang, Y.; Yang, C.; Lou, Z.; Rao, Z. A structural view of the antibiotic degradation enzyme NDM-1 from a superbug. Protein Cell. 2011, 2, 384–394. [Google Scholar] [CrossRef]
- Thomas, P.W.; Zheng, M.; Wu, S.; Guo, H.; Liu, D.; Xu, D.; Fast, W. Characterization of Purified New Delhi Metallo-β-Lactamase-1. Biochemistry 2011, 50, 10102–10113. [Google Scholar] [CrossRef]
- Gibb, A.P.; McCallum, A.K. New Delhi Metallo-β-Lactamase 1. Lancet Infect. Dis. 2010, 10, 751–752. [Google Scholar] [CrossRef]
- Galani, I.; Karaiskos, I.; Souli, M.; Papoutsaki, V.; Galani, L.; Gkoufa, A.; Antoniadou, A.; Giamarellou, H. Outbreak of KPC-2-producing Klebsiella pneumoniae endowed with ceftazidime-avibactam resistance mediated through a VEB-1-mutant (VEB-25), Greece, September to October 2019. Eurosurveillance 2020, 25, 2000028. [Google Scholar] [CrossRef]
- Drawz, S.M.; Bonomo, R.A. Three Decades of β-Lactamase Inhibitors. Clin. Microbiol. Rev. 2010, 23, 160–201. [Google Scholar] [CrossRef] [PubMed]
- Shahid, M.; Sobia, F.; Singh, A.; Malik, A.; Khan, H.M.; Jonas, D.; Hawkey, P.M. Beta-Lactams and Beta-Lactamase-Inhibitors in Current- or Potential-Clinical Practice: A Comprehensive Update. Crit. Rev. Microbiol. 2009, 35, 81–108. [Google Scholar] [CrossRef]
- Hazra, S.; Xu, H.; Blanchard, J.S. Tebipenem, a New Carbapenem Antibiotic, Is a Slow Substrate That Inhibits the β-Lactamase from Mycobacterium Tuberculosis. Biochemistry 2014, 53, 3671–3678. [Google Scholar] [CrossRef]
- FDA Approves New Treatment for Complicated Urinary Tract and Complicated Intra-Abdominal Infections. Food and Drug Administration. 17 July 2019. Available online: https://www.fda.gov/news-events/press-announcements/fda-approves-new-treatment-complicated-urinary-tract-and-complicated-intra-abdominal-infections#:~:text=The%20U.S.%20Food%20and%20Drug%20Administration%20has%20approved,tract%20infections%20%28cUTI%29%20and%20complicated%20intra-abdominal%20infections%20%28cIAI%29 (accessed on 10 February 2022).
- Cilastatin/Imipenem/Relebactam; AdisInsight; Springer: Berlin/Heidelberg, Germany. Available online: https://adisinsight.springer.com/drugs/800042881 (accessed on 10 February 2022).
- FDA Approves New Antibacterial Drug (Press Release). Food and Drug Administration. 29 August 2017. Available online: https://www.pressreleasepoint.com/fda-approves-new-antibacterial-drug (accessed on 10 February 2022).
- Lahiri, S.D.; Mangani, S.; Durand-Reville, T.; Benvenuti, M.; Luca, F.D.; Sanyal, G.; Docquier, J.-D. Structural Insight into Potent Broad-Spectrum Inhibition with Reversible Recyclization Mechanism: Avibactam in Complex with CTX-M-15 and Pseudomonas Aeruginosa AmpC β-Lactamases. Antimicrob. Agents Chemother. 2013, 57, 2496–2505. [Google Scholar] [CrossRef]
- Drug Banck Online. Clavulanic Acid: Uses, Interactions, Mechanism of Action. Available online: https://go.drugbank.com/drugs/DB00766 (accessed on 10 February 2022).
- Saudagar, P.S.; Survase, S.A.; Singhal, R.S. Clavulanic Acid: A Review. Biotechnol. Adv. 2008, 26, 335–351. [Google Scholar] [CrossRef]
- Drug Banck Online. Sulbactam: Uses, Interactions, Mechanism of Action. Available online: https://go.drugbank.com/drugs/DB09324 (accessed on 10 February 2022).
- Totir, M.A.; Helfand, M.S.; Carey, M.P.; Sheri, A.; Buynak, J.D.; Bonomo, R.A.; Carey, P.R. Sulbactam Forms Only Minimal Amounts of Irreversible Acrylate-Enzyme with SHV-1 β-Lactamase. Biochemistry 2007, 46, 8980–8987. [Google Scholar] [CrossRef]
- Helfand, M.S.; Totir, M.A.; Carey, M.P.; Hujer, A.M.; Bonomo, R.A.; Carey, P.R. Following the Reactions of Mechanism-Based Inhibitors with β-Lactamase by Raman Crystallography. Biochemistry 2003, 42, 13386–13392. [Google Scholar] [CrossRef] [PubMed]
- Drug Banck Online. Tazobactam: Uses, Interactions, Mechanism of Action. Available online: https://go.drugbank.com/drugs/DB01606 (accessed on 10 February 2022).
- Papp-Wallace, K.M.; Bethel, C.R.; Caillon, J.; Barnes, M.D.; Potel, G.; Bajaksouzian, S.; Rutter, J.D.; Reghal, A.; Shapiro, S.; Taracila, M.A.; et al. Beyond Piperacillin-Tazobactam: Cefepime and AAI101 as a Potent β-Lactam-β-Lactamase Inhibitor Combination. Antimicrob. Agents Chemother. 2019, 63, e00105-19. [Google Scholar] [CrossRef]
- Vázquez-Ucha, J.C.; Arca-Suárez, J.; Bou, G.; Beceiro, A. New Carbapenemase Inhibitors: Clearing the Way for the β-Lactams. Int. J. Mol. Sci. 2020, 21, 9308. [Google Scholar] [CrossRef] [PubMed]
- Gallagher, G.M. Positive Results for Cefepime-Enmetazobactam in Phase 3 Trial. 28 February 2020. Available online: https://www.contagionlive.com/view/positive-results-for-cefepimeenmetazobactam-in-phase-3-trial (accessed on 10 February 2022).
- Crandon, J.L.; Nicolau, D.P. In Vitro Activity of Cefepime/AAI101 and Comparators against Cefepime Non-Susceptible Enterobacteriaceae. Pathogens 2015, 4, 620–625. [Google Scholar] [CrossRef]
- Morrissey, I.; Magnet, S.; Hawser, S.; Shapiro, S.; Knechtle, P. In Vitro Activity of Cefepime-Enmetazobactam against Gram-Negative Isolates Collected from U.S. and European Hospitals during 2014–2015. Antimicrob. Agents Chemother. 2019, 63, e00514-19. [Google Scholar] [CrossRef]
- Crandon, J.L.; Nicolau, D.P. In Vivo Activities of Simulated Human Doses of Cefepime and Cefepime-AAI101 against Multidrug-Resistant Gram-Negative Enterobacteriaceae. Antimicrob. Agents Chemother. 2015, 59, 2688–2694. [Google Scholar] [CrossRef] [PubMed]
- Weiss, W.J.; Petersen, P.J.; Murphy, T.M.; Tardio, L.; Yang, Y.; Bradford, P.A.; Venkatesan, A.M.; Abe, T.; Isoda, T.; Mihira, A.; et al. In Vitro and In Vivo Activities of Novel 6-Methylidene Penems as β-Lactamase Inhibitors. Antimicrob. Agents Chemother. 2004, 48, 4589–4596. [Google Scholar] [CrossRef]
- ProbeChem. LN-1-255. Available online: http://www.probechem.com/products_LN-1-255.aspx (accessed on 10 February 2022).
- Vázquez-Ucha, J.C.; Martínez-Guitián, M.; Maneiro, M.; Conde-Pérez, K.; Álvarez-Fraga, L.; Torrens, G.; Oliver, A.; Buynak, J.D.; Bonomo, R.A.; Bou, G.; et al. Therapeutic Efficacy of LN-1-255 in Combination with Imipenem in Severe Infection Caused by Carbapenem-Resistant Acinetobacter Baumannii. Antimicrob Agents Chemother. 2019, 63, e01092-19. [Google Scholar] [CrossRef]
- Rodríguez, D.; Maneiro, M.; Vázquez-Ucha, J.C.; Beceiro, A.; González-Bello, C. 6-Arylmethylidene Penicillin-Based Sulfone Inhibitors for Repurposing Antibiotic Efficiency in Priority Pathogens. J. Med. Chem. 2020, 63, 3737–3755. [Google Scholar] [CrossRef]
- Drug Banck Online. Avibactam: Uses, Interactions, Mechanism of Action. Available online: https://go.drugbank.com/drugs/DB09060 (accessed on 10 February 2022).
- Livermore, D.M.; Meunier, D.; Hopkins, K.L.; Doumith, M.; Hill, R.; Pike, R.; Staves, P.; Woodford, N. Activity of Ceftazidime/Avibactam against Problem Enterobacteriaceae and Pseudomonas Aeruginosa in the UK, 2015–16. J. Antimicrob. Chemother. 2018, 73, 648–657. [Google Scholar] [CrossRef] [PubMed]
- Ehmann, D.E.; Jahić, H.; Ross, P.L.; Gu, R.-F.; Hu, J.; Durand-Réville, T.F.; Lahiri, S.; Thresher, J.; Livchak, S.; Gao, N.; et al. Kinetics of Avibactam Inhibition against Class A, C, and D β-Lactamases. J. Biol. Chem. 2013, 288, 27960–27971. [Google Scholar] [CrossRef]
- Shirley, M. Ceftazidime-Avibactam: A Review in the Treatment of Serious Gram-Negative Bacterial Infections. Drugs 2018, 78, 675–692. [Google Scholar] [CrossRef]
- Karlowsky, J.A.; Kazmierczak, K.M.; de Jonge, B.L.M.; Hackel, M.A.; Sahm, D.F.; Bradford, P.A. In Vitro Activity of Aztreonam-Avibactam against Enterobacteriaceae and Pseudomonas Aeruginosa Isolated by Clinical Laboratories in 40 Countries from 2012 to 2015. Antimicrob. Agents Chemother. 2017, 61, e00472-17. [Google Scholar] [CrossRef] [PubMed]
- Shields, R.K.; Doi, Y. Aztreonam Combination Therapy: An Answer to Metallo-β-Lactamase–Producing Gram-Negative Bacteria? Clin. Infect. Dis. 2020, 71, 1099–1101. [Google Scholar] [CrossRef] [PubMed]
- Lee, M.; Abbey, T.; Biagi, M.; Wenzler, E. Activity of Aztreonam in Combination with Ceftazidime-Avibactam against Serine- and Metallo-β-Lactamase-Producing Pseudomonas Aeruginosa. Diagn. Microbiol. Infect. Dis. 2020, 99, 115227. [Google Scholar] [CrossRef]
- Drug Banck Online. Relebactam: Uses, Interactions, Mechanism of Action. Available online: https://go.drugbank.com/drugs/DB12377 (accessed on 10 February 2022).
- Campanella, T.A.; Gallagher, J.C. A Clinical Review and Critical Evaluation of Imipenem—Relebactam: Evidence to Date. Infect. Drug Resist. 2020, 13, 4297–4308. [Google Scholar] [CrossRef]
- McCarthy, M.W. Clinical Pharmacokinetics and Pharmacodynamics of Imipenem_Cilastatin/Relebactam Combination Therapy. Clin. Pharmacokinet. 2020, 59, 567–573. [Google Scholar] [CrossRef] [PubMed]
- PubChem. Zidebactam. Available online: https://pubchem.ncbi.nlm.nih.gov/compound/77846445 (accessed on 10 February 2022).
- Drug Banck Online. Zidebactam: Uses, Interactions, Mechanism of Action. Available online: https://go.drugbank.com/drugs/DB13090 (accessed on 10 February 2022).
- Karlowsky, J.A.; Hackel, M.A.; Bouchillon, S.K.; Sahm, D.F. In Vitro Activity of WCK 5222 (Cefepime-Zidebactam) against Worldwide Collected Gram-Negative Bacilli Not Susceptible to Carbapenems. Antimicrob. Agents Chemother. 2020, 64, e01432-20. [Google Scholar] [CrossRef] [PubMed]
- Preston, R.A.; Mamikonyan, G.; DeGraff, S.; Chiou, J.; Kemper, C.J.; Xu, A.; Mastim, M.; Yeole, R.; Chavan, R.; Patel, A.; et al. Single-Center Evaluation of the Pharmacokinetics of WCK 5222 (Cefepime-Zidebactam Combination) in Subjects with Renal Impairment. Antimicrob. Agents Chemother. 2018, 63, e01484-18. [Google Scholar] [CrossRef]
- Drug Banck Online. Durlobactam: Uses, Interactions, Mechanism of Action. Available online: https://go.drugbank.com/drugs/DB16704 (accessed on 10 February 2022).
- Shapiro, A.B.; Gao, N.; Jahić, H.; Carter, N.M.; Chen, A.; Miller, A.A. Reversibility of Covalent, Broad-Spectrum Serine β-Lactamase Inhibition by the Diazabicyclooctenone ETX2514. ACS Infect. Dis. 2017, 3, 833–844. [Google Scholar] [CrossRef] [PubMed]
- McLeod, S.M.; Shapiro, A.B.; Moussa, S.H.; Johnstone, M.; McLaughlin, R.E.; de Jonge, B.L.M.; Miller, A.A. Frequency and Mechanism of Spontaneous Resistance to Sulbactam Combined with the Novel β-Lactamase Inhibitor ETX2514 in Clinical Isolates of Acinetobacter Baumannii. Antimicrob. Agents Chemother. 2018, 62, e01576-17. [Google Scholar] [CrossRef]
- Sagan, O.; Yakubsevitch, R.; Yanev, K.; Fomkin, R.; Stone, E.; Hines, D.; O’Donnell, J.; Miller, A.; Isaacs, R.; Srinivasan, S. Pharmacokinetics and Tolerability of Intravenous Sulbactam-Durlobactam with Imipenem-Cilastatin in Hospitalized Adults with Complicated Urinary Tract Infections, Including Acute Pyelonephritis. Antimicrob. Agents Chemother. 2020, 64, e01506-19. [Google Scholar] [CrossRef]
- Drug Banck Online. Nacubactam: Uses, Interactions, Mechanism of Action. Available online: https://go.drugbank.com/drugs/DB15353 (accessed on 10 February 2022).
- Mushtaq, S.; Vickers, A.; Woodford, N.; Haldimann, A.; Livermore, D.M. Activity of Nacubactam (RG6080/OP0595) Combinations against MBL-Producing Enterobacteriaceae. J. Antimicrob. Chemother. 2018, 74, 953–960. [Google Scholar] [CrossRef]
- Okujava, R.; Garcia-Alcalde, F.; Haldimann, A.; Zampaloni, C.; Morrissey, I.; Magnet, S.; Kothari, N.; Harding, I.; Bradley, K. 1359. Activity of Meropenem/Nacubactam Combination against Gram-Negative Clinical Isolates: ROSCO Global Surveillance 2017. Open Forum Infect. Dis. 2018, 5, S416. [Google Scholar] [CrossRef]
- Asempa, T.E.; Motos, A.; Abdelraouf, K.; Bissantz, C.; Zampaloni, C.; Nicolau, D.P. Meropenem–Nacubactam Activity against AmpC-Overproducing and KPC-Expressing Pseudomonas Aeruginosa in a Neutropenic Murine Lung Infection Model. Int. J. Antimicrob. Agents 2020, 55, 105838. [Google Scholar] [CrossRef]
- Mallalieu, N.L.; Winter, E.; Fettner, S.; Patel, K.; Zwanziger, E.; Attley, G.; Rodriguez, I.; Kano, A.; Salama, S.M.; Bentley, D.; et al. Safety and Pharmacokinetic Characterization of Nacubactam, a Novel β-Lactamase Inhibitor, Alone and in Combination with Meropenem, in Healthy Volunteers. Antimicrob. Agents Chemother. 2020, 64, e02229-19. [Google Scholar] [CrossRef] [PubMed]
- MedKoo Bioscience Inc. EDX1317 Sodium. Available online: https://medkoo.com/products/30175 (accessed on 10 February 2022).
- MedKoo Bioscience Inc. EDX0282. Available online: https://www.medkoo.com/products/30174 (accessed on 10 February 2022).
- Durand-Réville, T.F.; Comita-Prevoir, J.; Zhang, J.; Wu, X.; May-Dracka, T.L.; Romero, J.A.C.; Wu, F.; Chen, A.; Shapiro, A.B.; Carter, N.M.; et al. Discovery of an Orally Available Diazabicyclooctane Inhibitor (ETX0282) of Class A, C, and D Serine β-Lactamases. J. Med. Chem. 2020, 63, 12511–12525. [Google Scholar] [CrossRef] [PubMed]
- Miller, A.A.; Shapiro, A.B.; McLeod, S.M.; Carter, N.M.; Moussa, S.H.; Tommasi, R.; Mueller, J.P. In Vitro Characterization of ETX1317, a Broad-Spectrum β-Lactamase Inhibitor That Restores and Enhances β-Lactam Activity against Multi-Drug-Resistant Enterobacteriales, Including Carbapenem-Resistant Strains. ACS. Infect. Dis. 2020, 6, 1389–1397. [Google Scholar] [CrossRef]
- Thomas Durand-Réville. Entasis Therapeutic. ETX0282, a Novel Oral Agent against Multidrug-Resistant Enterobacteriaceae. Available online: https://www.entasistx.com/application/files/9815/1846/7744/ETX0282-ASM-Microbe-2017.pdf (accessed on 10 February 2022).
- MedKoo Bioscience Inc. WCK-5153. Available online: https://www.medkoo.com/products/18787 (accessed on 10 February 2022).
- Papp-Wallace, K.M.; Nguyen, N.Q.; Jacobs, M.R.; Bethel, C.R.; Barnes, M.D.; Kumar, V.; Bajaksouzian, S.; Rudin, S.D.; Rather, P.N.; Bhavsar, S.; et al. Strategic Approaches to Overcome Resistance against Gram-Negative Pathogens Using β-Lactamase Inhibitors and β-Lactam Enhancers: Activity of Three Novel Diazabicyclooctanes WCK 5153, Zidebactam (WCK 5107), and WCK 4234. J. Med. Chem. 2018, 61, 4067–4086. [Google Scholar] [CrossRef] [PubMed]
- MedKoo Bioscience Inc. WCK-4232 Sodium. Available online: https://www.medkoo.com/products/18790 (accessed on 10 February 2022).
- Mushtaq, S.; Vickers, A.; Woodford, N.; Livermore, D.M. WCK 4234, a Novel Diazabicyclooctane Potentiating Carbapenems against Enterobacteriaceae, Pseudomonas and Acinetobacter with Class A, C and D β-Lactamases. J Antimicrob. Chemother. 2017, 72, 1688–1695. [Google Scholar] [CrossRef][Green Version]
- MedKoo Bioscience Inc. ANT3310. MedKoo Bioscience. Available online: https://www.medkoo.com/products/42472 (accessed on 10 February 2022).
- Antabio Receives FDA Qualified Infectious Disease Product (QIDP) Designation for MEM-ANT3310, a Novel Broad-Spectrum Combination Therapy Targeting WHO’s Priority Pathogens. Available online: https://antabio.com/2020/05/06/antabio-receives-fda-qualified-infectious-disease-product-qidp-designation-for-mem-ant3310-a-novel-broad-spectrum-combination-therapy-targeting-whos-priority-pathogens/ (accessed on 10 February 2022).
- Davies, D.T.; Leiris, S.; Zalacain, M.; Sprynski, N.; Castandet, J.; Bousquet, J.; Lozano, C.; Llanos, A.; Alibaud, L.; Vasa, S.; et al. Discovery of ANT3310, a Novel Broad-Spectrum Serine β-Lactamase Inhibitor of the Diazabicyclooctane Class, Which Strongly Potentiates Meropenem Activity against Carbapenem-Resistant Enterobacterales and Acinetobacter Baumannii. J. Med. Chem. 2020, 63, 15802–15820. [Google Scholar] [CrossRef]
- MedChemExpress. GT-055 (LCB18-055). Available online: https://www.medchemexpress.com/gt-055.html (accessed on 10 February 2022).
- Nguyen, L.P.; Pinto, N.A.; Vu, T.N.; Lee, H.; Cho, Y.L.; Byun, J.-H.; D’Souza, R.; Yong, D. In Vitro Activity of a Novel Siderophore-Cephalosporin, GT-1 and Serine-Type β-Lactamase Inhibitor, GT-055, against Escherichia Coli, Klebsiella Pneumoniae and Acinetobacter Spp. Panel Strains. Antibiotics 2020, 9, 267. [Google Scholar] [CrossRef]
- Halasohoris, S.A.; Scarff, J.M.; Pysz, L.M.; Lembirik, S.; Lemmon, M.M.; Biek, D.; Hannah, B.; Zumbrun, S.D.; Panchal, R.G. In Vitro and in Vivo Activity of GT-1, a Novel Siderophore Cephalosporin, and GT-055, a Broad-Spectrum β-Lactamase Inhibitor, against Biothreat and ESKAPE Pathogens. J. Antibiot. 2021, 74, 884–892. [Google Scholar] [CrossRef]
- Drug Banck Online. Vaborbactam: Uses, Interactions, Mechanism of Action. Available online: https://go.drugbank.com/drugs/DB12107 (accessed on 10 February 2022).
- Hecker, S.J.; Reddy, K.R.; Totrov, M.; Hirst, G.C.; Lomovskaya, O.; Griffith, D.C.; King, P.; Tsivkovski, R.; Sun, D.; Sabet, M.; et al. Discovery of a Cyclic Boronic Acid β-Lactamase Inhibitor (RPX7009) with Utility vs Class A Serine Carbapenemases. J. Med. Chem. 2015, 58, 3682–3692. [Google Scholar] [CrossRef]
- Griffith, D.C.; Loutit, J.S.; Morgan, E.E.; Durso, S.; Dudley, M.N. Phase 1 Study of the Safety, Tolerability, and Pharmacokinetics of the β-Lactamase Inhibitor Vaborbactam (RPX7009) in Healthy Adult Subjects. Antimicrob. Agents Chemother. 2016, 60, 6326–6332. [Google Scholar] [CrossRef]
- Griffith, D.C.; Rubino, C.M.; Loutit, J.S.; Morgan, E.E.; White, D.; Dudley, M.N. Single-Dose Pharmacokinetics and Safety of Meropenem-Vaborbactam in Subjects with Chronic Renal Impairment. Antimicrob. Agents Chemother. 2018, 62, e02103-17. Available online: https://www.ncbi.nlm.nih.gov/pmc/articles/PMC5826113/# (accessed on 10 February 2022).
- Kaye, K.S.; Bhowmick, T.; Metallidis, S.; Bleasdale, S.C.; Sagan, O.S.; Stus, V.; Vazquez, J.; Zaitsev, V.; Bidair, M.; Chorvat, E.; et al. Effect of Meropenem-Vaborbactam vs Piperacillin-Tazobactam on Clinical Cure or Improvement and Microbial Eradication in Complicated Urinary Tract Infection: The TANGO I Randomized Clinical Trial. JAMA 2018, 319, 788–799. [Google Scholar] [CrossRef] [PubMed]
- Wunderink, R.G.; Giamarellos-Bourboulis, E.J.; Rahav, G.; Mathers, A.J.; Bassetti, M.; Vazquez, J.; Cornely, O.A.; Solomkin, J.; Bhowmick, T.; Bishara, J.; et al. Effect and Safety of Meropenem–Vaborbactam versus Best-Available Therapy in Patients with Carbapenem-Resistant Enterobacteriaceae Infections: The TANGO II Randomized Clinical Trial. Infect. Dis. Ther. 2018, 7, 439–455. [Google Scholar] [CrossRef] [PubMed]
- Drug Banck online. Taniborbactam: Uses, Interactions, Mechanism of Action. Available online: https://go.drugbank.com/drugs/DB16338 (accessed on 10 February 2022).
- Hamrick, J.C.; Docquier, J.-D.; Uehara, T.; Myers, C.L.; Six, D.A.; Chatwin, C.L.; John, K.J.; Vernacchio, S.F.; Cusick, S.M.; Trout, R.E.L.; et al. VNRX-5133 (Taniborbactam), a Broad-Spectrum Inhibitor of Serine- and Metallo-β-Lactamases, Restores Activity of Cefepime in Enterobacterales and Pseudomonas Aeruginosa. Antimicrob. Agents Chemother. 2020, 64, e01963-19. [Google Scholar] [CrossRef]
- Dowell, J.A.; Dickerson, D.; Henkel, T. Safety and Pharmacokinetics in Human Volunteers of Taniborbactam (VNRX-5133), a Novel Intravenous β-Lactamase Inhibitor. Antimicrob. Agents Chemother. 2021, 65, e01053-21. [Google Scholar] [CrossRef]
- Venatorx Pharmaceuticals. Cefepime-Taniborbactam. Available online: https://www.venatorx.com/cefepime-taniborbactam/ (accessed on 10 February 2022).
- Castro, A.M. Drugs Approval International. VNRX-7145. Available online: http://drugapprovalsint.com/vnrx-7145/ (accessed on 10 February 2022).
- Trout, R.E.; Zulli, A.; Mesaros, E.; Jackson, R.W.; Boyd, S.; Liu, B.; Hamrick, J.; Daigle, D.; Chatwin, C.L.; John, K.; et al. Discovery of VNRX-7145 (VNRX-5236 Etzadroxil): An Orally Bioavailable β-Lactamase Inhibitor for Enterobacterales Expressing Ambler Class A, C, and D Enzymes. J. Med. Chem. 2021, 64, 10155–10166. [Google Scholar] [CrossRef]
- Venatorx Pharmaceuticals. Ceftibuten/VNRX-7145. Available online: https://www.venatorx.com/ceftibuten-vnrx-7145 (accessed on 10 February 2022).
- MedKoo Bioscience Inc. QPX7728. MedKoo Bioscience. Available online: https://www.medkoo.com/products/37690 (accessed on 10 February 2022).
- Nelson, K.; Rubio-Aparicio, D.; Sun, D.; Dudley, M.; Lomovskaya, O. In Vitro Activity of the Ultrabroad-Spectrum-Beta-Lactamase Inhibitor QPX7728 against Carbapenem-Resistant Enterobacterales with Varying Intrinsic and Acquired Resistance Mechanisms. Antimicrob. Agents Chemother. 2020, 64, e00757-20. [Google Scholar] [CrossRef]
- Lomovskaya, O.; Nelson, K.J.; Rubio-Aparicio, D.; Tsivkovski, R.; Sun, D.; Dudley, M.N. Impact of Intrinsic Resistance Mechanisms on Potency of QPX7728, a New Ultrabroad-Spectrum Beta-Lactamase Inhibitor of Serine and Metallo-Beta-Lactamases in Enterobacteriaceae, Pseudomonas Aeruginosa, and Acinetobacter Baumannii. Antimicrob. Agents Chemother. 2020, 64, e00552-20. [Google Scholar] [CrossRef]
- Qpex Biopharma Initiates Phase 1 Clinical Trial of QPX7728 for Drug-Resistant Bacterial Infections. Available online: https://pipelinereview.com/index.php/2020120476731/Small-Molecules/Qpex-Biopharma-Initiates-Phase-1-Clinical-Trial-of-QPX7728-for-Drug-Resistant-Bacterial-Infections.html (accessed on 10 February 2022).
- Sabet, M.; Tarazi, Z.; Griffith, D.C. In Vivo Activity of QPX7728, an Ultrabroad-Spectrum Beta-Lactamase Inhibitor, in Combination with Beta-Lactams against Carbapenem-Resistant Klebsiella Pneumoniae. Antimicrob. Agents Chemother. 2020, 64, e01267-20. [Google Scholar] [CrossRef]
- Adis Insights. ANT 2681. Available online: https://adisinsight.springer.com/drugs/800038680 (accessed on 10 February 2022).
- Das, S.; Johnson, A.; McEntee, L.; Farrington, N.; Kirby, A.; Unsworth, J.; Jimenez-Valverde, A.; Kolamunnage-Dona, R.; Bousquet, J.; Alibaud, L.; et al. Pharmacodynamics of the Novel Metallo-c-Lactamase Inhibitor ANT2681 in Combination with Meropenem for the Treatment of Infections Caused by NDM-Producing Enterobacteriaceae. Antimicrob. Agents Chemother. 2020, 64, e01076-20. [Google Scholar] [CrossRef] [PubMed]
- Zalacain, M.; Lozano, C.; Llanos, A.; Sprynski, N.; Valmont, T.; Piano, C.D.; Davies, D.; Leiris, S.; Sable, C.; Ledoux, A.; et al. Novel Specific Metallo-β-Lactamase Inhibitor ANT2681 Restores Meropenem Activity to Clinically Effective Levels against NDM-Positive Enterobacterales. Antimicrob. Agents Chemother. 2021, 65, e00203-21. [Google Scholar] [CrossRef] [PubMed]
- Davies, D.T.; Leiris, S.; Sprynski, N.; Castandet, J.; Lozano, C.; Bousquet, J.; Zalacain, M.; Vasa, S.; Dasari, P.K.; Pattipati, R.; et al. ANT2681: SAR Studies Leading to the Identification of a Metallo-β-Lactamase Inhibitor with Potential for Clinical Use in Combination with Meropenem for the Treatment of Infections Caused by NDM-Producing Enterobacteriaceae. ACS Infect. Dis. 2020, 6, 2419–2430. [Google Scholar] [CrossRef]
- Tebipenem. Available online: https://en.wikipedia.org/wiki/Tebipenem (accessed on 10 February 2022).
- Jain, A.; Utley, L.; Parr, T.R.; Zabawa, T.; Pucci, M.J. Tebipenem, the first oral carbapenem antibiotic. Expert Rev. Anti-Infect. Ther. 2018, 16, 513–522. [Google Scholar] [CrossRef]
- Specialist Pharmacy Service. Available online: https://www.sps.nhs.uk/medicines/tebipenem-pivoxil/ (accessed on 25 February 2022).
- Geddes, A.M.; Klugman, K.P.; Rolinson, G.N. Introduction: Historical Perspective and Development of Amoxicillin/Clavulanate. Int. J. Antimicrob. Agents 2007, 30, 109–112. [Google Scholar] [CrossRef] [PubMed]
- Adam, D.; de Visser, I.; Koeppe, P. Pharmacokinetics of Amoxicillin and Clavulanic Acid Administered Alone and in Combination. Antimicrob. Agents Chemother. 1982, 22, 353–357. [Google Scholar] [CrossRef]
- Weber, D.J.; Tolkoff-Rubin, N.E.; Rubin, R.H. Amoxicillin and Potassium Clavulanate: An Antibiotic Combination Mechanism of Action, Pharmacokinetics, Antimicrobial Spectrum, Clinical Efficacy and Adverse Effects. Pharmacother. J. Hum. Pharmacol. Drug Ther. 1984, 4, 122–133. [Google Scholar] [CrossRef]
- FERSLEW, K.E.; DAIGNEAULT, E.A.; ATEN, E.M.; ROSEMAN, J.M. Pharmacokinetics and Urinary Excretion of Clavulanic Acid after Oral Administration of Amoxicillin and Potassium Clavulanate. J. Clin. Pharmacol. 1984, 24, 452–456. [Google Scholar] [CrossRef]
- Timentin FDA Label. Available online: https://www.accessdata.fda.gov/drugsatfda_docs/label/2008/050658s022lbl.pdf (accessed on 23 December 2021).
- Uto, L.R.; Gerriets, V. Clavulanic Acid. In StatPearls; StatPearls Publishing: Treasure Island, FL, USA, 2021. Available online: https://www.ncbi.nlm.nih.gov/books/NBK545273/ (accessed on 3 March 2022).
- Huttner, A.; Bielicki, J.; Clements, M.N.; Frimodt-Møller, N.; Muller, A.E.; Paccaud, J.-P.; Mouton, J.W. Oral amoxicillin and amoxicillin-clavulanic acid: Properties, indications and usage. Clin. Microbiol. Infect. 2020, 26, 871–879. [Google Scholar] [CrossRef]
- Escudero, E.; Vicente, M.S.; Serrano, J.M.; Cárceles, C.M. Pharmacokinetics of an Ampicillin/Sulbactam (2:1) Combination in Rabbits. J. Vet. Pharmacol. Ther. 2002, 25, 259–264. [Google Scholar] [CrossRef]
- Koytchev, R.; Ozalp, Y.; Erenmemisoglu, A.; Kunter, U.; Alpan, R.S. Effect of the Formulation on the Bioequivalence of Sultamicillin: Tablets and Suspension. Arzneimittelforschung 2011, 54, 634–639. [Google Scholar] [CrossRef] [PubMed]
- Lybrate. Available online: https://www.lybrate.com/medicine/sultamicillin (accessed on 23 December 2021).
- Cefoperazone and Sulbactam for Injection. Available online: https://www.biocon.com/docs/prescribing_information/ccd/cegava_pi.pdf (accessed on 11 January 2022).
- Rafailidis, P.I.; Ioannidou, E.N.; Falagas, M.E. Ampicillin/sulbactam: Current status in severe bacterial infections. Drugs 2007, 67, 1829–1849. [Google Scholar] [CrossRef] [PubMed]
- Betrosian, A.P.; Douzinas, E.E. Ampicillin-sulbactam: An update on the use of parenteral and oral forms in bacterial infections. Expert Opin. Drug Metab. Toxicol. 2009, 5, 1099–1112. [Google Scholar] [CrossRef]
- Peechakara, B.V.; Gupta, M. Ampicillin/Sulbactam. In StatPearls; StatPearls Publishing: Treasure Island, FL, USA, 2021. Available online: https://www.ncbi.nlm.nih.gov/books/NBK526117/ (accessed on 3 March 2022).
- Yang, Y.; Fu, Y.; Lan, P.; Xu, Q.; Jiang, Y.; Chen, Y.; Ruan, Z.; Ji, S.; Hua, X.; Yu, Y. Molecular Epidemiology and Mechanism of Sulbactam Resistance in Acinetobacter baumannii Isolates with Diverse Genetic Backgrounds in China. Antimicrob. Agents Chemother. 2018, 62, e01947-17. [Google Scholar] [CrossRef] [PubMed]
- FDA Label, Zerbaxa. Available online: https://www.accessdata.fda.gov/drugsatfda_docs/label/2014/206829lbl.pdf (accessed on 11 January 2022).
- Perry, C.M.; Markham, A. Piperacillin/tazobactam: An updated review of its use in the treatment of bacterial infections. Drugs 1999, 57, 805–843. [Google Scholar] [CrossRef]
- Drug Banck online. Ceftolazone: Uses, Interactions, Mechanism of Action. Available online: https://go.drugbank.com/drugs/DB09050 (accessed on 11 January 2022).
- Giacobbe, D.R.; Bassetti, M.; De Rosa, F.G.; Del Bono, V.; Grossi, P.; Menichetti, F.; Pea, F.; Rossolini, G.M.; Tumbarello, M.; Viale, P.; et al. Ceftolozane/tazobactam: Place in therapy. Expert Rev. Anti. Infect. Ther. 2018, 16, 307–320. [Google Scholar] [CrossRef]
- Papp-Wallace, K.M.; Mack, A.R.; Taracila, M.A.; Bonomo, R.A. Resistance to Novel _-Lactam-_-Lactamase Inhibitor Combinations: The “Price of Progress”. Infect. Dis. Clin. N. Am. 2020, 34, 773–819. [Google Scholar] [CrossRef]
- Ganta, S.R.; Perumal, S.; Pagadala, S.R.R.; Samuelsen, Ø.; Spencer, J.; Pratt, R.F.; Buynak, J.D. Approaches to the Simultaneous Inactivation of Metallo- and Serine-β-Lactamases. Bioorganic Med. Chem. Lett. 2009, 19, 1618–1622. [Google Scholar] [CrossRef]
- Drawz, S.M.; Papp-Wallace, K.M.; Bonomo, R.A. New beta-lactamase inhibitors: A therapeutic renaissance in an MDR world. Antimicrob. Agents Chemother. 2014, 58, 1835–1846. [Google Scholar] [CrossRef]
- Wenzler, E.; Deraedt, M.F.; Harrington, A.T.; Danizger, L.H. Synergistic activity of ceftazidime-avibactam and aztreonam against serine and metallo-_-lactamase-producing gram-negative pathogens. Diagn. Microbiol. Infect. Dis. 2017, 88, 352–354. [Google Scholar] [CrossRef]
- Shaw, E.; Rombauts, A.; Tubau, F.; Padullés, A.; Càmara, J.; Lozano, T.; Cobo-Sacristán, S.; Sabe, N.; Grau, I.; Rigo-Bonnin, R.; et al. Clinical outcomes after combination treatment with ceftazidime/avibactam and aztreonam for NDM-1/OXA-48/CTX-M-15-producing Klebsiella pneumoniae infection. J. Antimicrob. Chemother. 2018, 73, 1104–1106. [Google Scholar] [CrossRef] [PubMed]
- Benchetrit, L.; Mathy, V.; Armand-Lefevre, L.; Bouadma, L.; Timsit, J.-F. Successful treatment of septic shock due to NDM-1-producing Klebsiella pneumoniae using ceftazidime/avibactam combined with aztreonam in solid organ transplant recipients: Report of two cases. Int. J. Antimicrob. Agents 2020, 55, 105842. [Google Scholar] [CrossRef] [PubMed]
- Sieswerda, E.; van den Brand, M.; van den Berg, R.B.; Sträter, J.; Schouls, L.; van Dijk, K.; Budding, A.E. Successful rescue treatment of sepsis due to a pandrug-resistant, NDM-producing Klebsiella pneumoniae using aztreonam powder for nebulizer solution as intravenous therapy in combination with ceftazidime/avibactam. J. Antimicrob. Chemother. 2020, 75, 773–775. [Google Scholar] [CrossRef] [PubMed]
- Nguyen, D.; Bethel, C.; Taracilla, M.A.; Li, Q.; Dousa, K.M.; Kurz, S.G.; Nguyen, L.; Kreiswirth, B.N.; Boom, W.; Bonomo, R.A.; et al. 1390. Durlobactam, a Diazabicyclooctane (DBO) β-lactamase Inhibitor (BLI), Inhibits BlaC and Peptidoglycan (PG) Transpeptidases of Mycobacterium tuberculosis (Mtb): A Novel Approach to Therapeutics for Tuberculosis (TB)? Open Forum Infect. Dis. 2021, 8 (Suppl. S1), 780. [Google Scholar] [CrossRef]
- Morinaka, A.; Tsutsumi, Y.; Yamada, M.; Suzuki, K.; Watanabe, T.; Abe, T.; Furuuchi, T.; Inamura, S.; Sakamaki, Y.; Mitsuhashi, N.; et al. OP0595, a new diazabicyclooctane: Mode of action as a serine beta-lactamase inhibitor, antibiotic and beta-lactam “enhancer”. J. Antimicrob. Chemother. 2015, 70, 2779–2786. [Google Scholar] [CrossRef]
- Livermore, D.M.; Mushtaq, S.; Warner, M.; Woodford, N. Activity of OP0595/_-lactam combinations against Gram-negative bacteria with extended-spectrum, AmpC and carbapenem-hydrolysing _-lactamases. J. Antimicrob. Chemother. 2015, 70, 3032–3041. [Google Scholar] [CrossRef] [PubMed]
- O’Donnell, J.; Tanudra, A.; Chen, A.; Hines, D.; Tommasi, R.; Mueller, J. Pharmacokinetic/Pharmacodynamic Determination and Preclinical Pharmacokinetics of the β-Lactamase Inhibitor ETX1317 and Its Orally Available Prodrug ETX0282. ACS Infect. Dis. 2020, 6, 1378–1388. [Google Scholar] [CrossRef]
- VanScoy, B.D.; Trang, M.; Conde, H.; Bhavnani, S.M.; Biek, D.; Hannah, B.; Thye, D.; Ambrose, P.G. Pharmacokinetics-pharmacodynamics of the novel beta-lactamase inhibitor GT-055 in combination with the siderophore cephalosporin, GT-1. In Proceedings of the 29th European Congress of Clinical Microbiology and Infectious Diseases, Amsterdam, NL, USA, 13–16 April 2019. [Google Scholar]
- Lang, P.A.; Parkova, A.; Leissing, T.M.; Calvopiña, K.; Cain, R.; Krajnc, A.; Panduwawala, T.D.; Philippe, J.; Fishwick, C.W.G.; Trapencieris, P.; et al. Bicyclic Boronates as Potent Inhibitors of ampC, the Class C beta-Lactamase from Escherichia coli. Biomolecules 2020, 10, 899. [Google Scholar] [CrossRef]
- Cendron, L.; Quotadamo, A.; Maso, L.; Bellio, P.; Montanari, M.; Celenza, G.; Venturelli, A.; Costi, M.P.; Tondi, D. X-ray Crystallography Deciphers the Activity of Broad-Spectrum Boronic Acid beta-Lactamase Inhibitors. ACS Med. Chem. Lett. 2019, 10, 650–655. [Google Scholar] [CrossRef]
- Krajnc, A.; Lang, P.A.; Panduwawala, T.D.; Brem, J.; Schofield, C.J. Will Morphing Boron-Based Inhibitors Beat the beta-Lactamases? Curr. Opin. Chem. Biol. 2019, 50, 101–110. [Google Scholar] [CrossRef]
- Cahill, S.T.; Tyrrell, J.M.; Navratilova, I.H.; Calvopiña, K.; Robinson, S.W.; Lohans, C.T.; McDonough, M.A.; Cain, R.; Fishwick, C.W.G.; Avison, M.B.; et al. Studies on the inhibition of AmpC and other_-lactamases by cyclic boronates. Biochim. Biophys. Acta Gen. Subj. 2019, 1863, 742–748. [Google Scholar] [CrossRef] [PubMed]
- Adis Insights. Xeruborbactam. Available online: https://adisinsight.springer.com/drugs/800055116 (accessed on 22 January 2022).
- Buynak, J.D.; Chen, H.; Vogeti, L.; Gadhachanda, V.R.; Buchanan, C.A.; Palzkill, T.; Shaw, R.W.; Spencer, J.; Walsh, T.R. Penicillin-derived inhibitors that simultaneously target both metallo- and serine-beta-lactamases. Bioorg. Med. Chem. Lett. 2004, 14, 1299–1304. [Google Scholar] [CrossRef] [PubMed]
- Nagano, R.; Adachi, Y.; Imamura, H.; Yamada, K.; Hashizume, T.; Morishima, H. Carbapenem derivatives as potential inhibitors of various beta-lactamases, including class B metallo-beta-lactamases. Antimicrob. Agents Chemother. 1999, 43, 2497–2503. [Google Scholar] [CrossRef] [PubMed]
- Nagano, R.; Adachi, Y.; Hashizume, T.; Morishima, H. In Vitro antibacterial activity and mechanism of action of J-111,225, a novel 1beta-methylcarbapenem, against transferable IMP-1 metallo-beta-lactamase producers. J. Antimicrob. Chemother. 2000, 45, 271–276. [Google Scholar] [CrossRef] [PubMed]
- Nagano, R.; Shibata, K.; Adachi, Y.; Imamura, H.; Hashizume, T.; Morishima, H. In Vitro activities of novel trans-3,5-disubstituted pyrrolidinylthio-1beta-methylcarbapenems with potent activities against methicillin-resistant Staphylococcus aureus and Pseudomonas aeruginosa. Antimicrob. Agents Chemother. 2000, 44, 489–495. [Google Scholar] [CrossRef] [PubMed]
- González, M.M.; Kosmopoulou, M.; Mojica, M.F.; Castillo, V.; Hinchliffe, P.; Pettinati, I.; Brem, J.; Schofield, C.J.; Mahler, G.; Bonomo, R.A.; et al. Bisthiazolidines: A Substrate-Mimicking Scaffold as an Inhibitor of the NDM-1 Carbapenemase. ACS Infect. Dis. 2015, 1, 544–554. [Google Scholar] [CrossRef] [PubMed]
- Chen, A.Y.; Thomas, P.W.; Stewart, A.C.; Bergstrom, A.; Cheng, Z.; Miller, C.; Bethel, C.R.; Marshall, S.H.; Credille, C.V.; Riley, C.L.; et al. Dipicolinic Acid Derivatives as Inhibitors of New Delhi Metallo-β-lactamase-1. J. Med. Chem. 2017, 60, 7267–7283. [Google Scholar] [CrossRef]
- Muhammad, Z.; Skagseth, S.; Boomgaren, M.; Akhter, S.; Fröhlich, C.; Ismael, A.; Christopeit, T.; Bayer, A.; Leiros, H.-K.S. Structural studies of triazole inhibitors with promising inhibitor effects against antibiotic resistance metallo-β-lactamases. Bioorg. Med. Chem. 2020, 28, 115598. [Google Scholar] [CrossRef]
- Spicer, T.; Minond, D.; Enogieru, I.; Saldanha, S.A.; Allais, C.; Liu, Q.; Mercer, B.A.; Roush, W.R.; Hodder, P. ML302, a Novel Beta-lactamase (BLA) Inhibitor. In Probe Reports from the NIH Molecular Libraries Program; NCBI: Bethesda, MD, USA, 2010. [Google Scholar]
- Palacios, A.R.; Rossi, M.-A.; Mahler, G.S.; Vila, A.J. Metallo-β-Lactamase Inhibitors Inspired on Snapshots from the Catalytic Mechanism. Biomolecules 2020, 10, 854. [Google Scholar] [CrossRef]
- Reck, F.; Bermingham, A.; Blais, J.; Casarez, A.; Colvin, R.; Dean, C.R.; Furegati, M.; Gamboa, L.; Growcott, E.; Li, C.; et al. IID572: A New Potentially Best-In-Class β-Lactamase Inhibitor. ACS Infect. Dis. 2019, 5, 1045–1051. [Google Scholar] [CrossRef]
- Yan, Y.-H.; Li, G.; Li, G.-B. Principles and current strategies targeting metallo-β-lactamase mediated antibacterial resistance. Med. Res. Rev. 2020, 40, 1558–1592. [Google Scholar] [CrossRef] [PubMed]
- Sharma, S.; Sharma, S.; Singh, P.P.; Khan, I.A. Potential Inhibitors against NDM-1 Type Metallo-β-Lactamases: An Overview. Microb. Drug Resist. 2020, 26, 1568–1588. [Google Scholar] [CrossRef] [PubMed]
- Ju, L.-C.; Cheng, Z.; Fast, W.; Bonomo, R.A.; Crowder, M.W. The Continuing Challenge of Metallo-β-Lactamase Inhibition: Mechanism Matters. Trends Pharmacol. Sci. 2018, 39, 635–647. [Google Scholar] [CrossRef] [PubMed]
- Docquier, J.-D.; Mangani, S. An update on β-lactamase inhibitor discovery and development. Drug Resist. Updat. Rev. Comment. Antimicrob. Anticancer Chemother. 2018, 36, 13–29. [Google Scholar]
- Yahav, D.; Giske, C.G.; Gramatniece, A.; Abodakpi, H.; Tam, V.H.; Leibovici, L. New β-Lactam-β-Lactamase Inhibitor Combinations. Clin. Microbiol. Rev. 2020, 34, e00115-20. [Google Scholar] [CrossRef]
- Humphries, R.M.; Yang, S.; Hemarajata, P.; Ward, K.W.; Hindler, J.A.; Miller, S.A.; Gregson, A. First Report of Ceftazidime-Avibactam Resistance in a KPC-3-Expressing Klebsiella pneumoniae Isolate. Antimicrob. Agents Chemother. 2015, 59, 6605–6607. [Google Scholar] [CrossRef]
- Fraile-Ribot, P.A.; Cabot, G.; Mulet, X.; Periañez, L.; Luisa Martín-Pena, M.; Juan, C.; Pérez, J.L.; Oliver, A. Mechanisms leading to in vivo ceftolozane/tazobactam resistance development during the treatment of infections caused by MDR Pseudomonas aeruginosa. J. Antimicrob. Chemother. 2018, 73, 658–663. [Google Scholar] [CrossRef]
- Slater, C.L.; Winogrodzki, J.; Fraile-Ribot, P.A.; Oliver, A.; Khajehpour, M.; Mark, B.L. Adding Insult to Injury: Mechanistic Basis for How AmpC Mutations Allow Pseudomonas aeruginosa To Accelerate Cephalosporin Hydrolysis and Evade Avibactam. Antimicrob. Agents Chemother. 2020, 64, e00894-20. [Google Scholar] [CrossRef]
- Sun, D.; Rubio-Aparicio, D.; Nelson, K.; Dudley, M.N.; Lomovskaya, O. Meropenem-Vaborbactam Resistance Selection, Resistance Prevention, and Molecular Mechanisms in Mutants of KPC-Producing Klebsiella pneumoniae. Antimicrob. Agents Chemother. 2017, 61, e01694-17. [Google Scholar] [CrossRef]
- Lapuebla, A.; Abdallah, M.; Olafisoye, O.; Cortes, C.; Urban, C.; Landman, D.; Quale, J. Activity of Imipenem with Relebactam against Gram-Negative Pathogens from New York City. Antimicrob. Agents Chemother. 2015, 59, 5029–5031. [Google Scholar] [CrossRef]













| BLAs | Penicillins (penams) | Narrow spectrum | β-lactamase sensitive (1st generation) | benzylpenicillin (G) # benzathine benzylpenicillin # procaine benzylpenicillin # phenoxymethylpenicillin (V) # propicillin ‡, pheneticillin ‡ azidocillin ‡, clometocillin ‡ penamecillin ‡ |
| β-lactamase resistant (2nd generation) | cloxacillin #, dicloxacillin flucloxacillin; oxacillin; nafcillin methicillin ‡ | |||
| Extended spectrum | aminopenicillins (3rd generation) | amoxicillin # ampicillin #; pivampicillin hetacillin ‡; bacampicillin ‡ metampicillin ‡; talampicillin ‡ epicillin ‡ | ||
| carboxypenicillins (4th generation) | ticarcillin carbenicillin ‡;carindacillin ‡ temocillin ‡ | |||
| ureidopenicillins (4th generation) | piperacillin; azlocillin ‡; mezlocillin ‡ | |||
| Others | mecillinam; pivmecillinam, sulbenicillin ‡ | |||
| Carbapenems (penems) | ertapenem 1; doripenem 2; imipenem 2; meropenem 2; biapenem ‡; panipenem faropenem 3; ritipenem 3,§ | |||
| Cephems Cephalosporins Cephamycins Carbacephems | 1st generation | cefazolin #; cefalexin #; cefadroxil; cefapirin; cefazedone ‡ cefazaflur; cefradine ‡; cefroxadine ‡; ceftezole ‡; cefaloglycin ‡ cefacetrile ‡; cefalonium ‡; cefaloridine ‡; cefalotin; cefatrizine ‡ | ||
| 2nd generation | cefaclor, cefprozil, cefuroxime, cefuroxime axetil, cefamandole ‡, cefonicid ‡; ceforanide ‡; cefuzonam ‡; cefoxitin, cefotetan cefminox ‡; cefbuperazone ‡; cefmetazole ‡; loracarbef ‡ | |||
| 3rd generation | cefixime #; ceftriaxone #; cefotaxime #; ceftazidime #,2; cefoperazone ‡,2 cefdinir; cefcapene; cefdaloxime; ceftizoxime; cefmenoxime cefpiramide; cefpodoxime; ceftibuten; cefditoren; cefotiam ‡ cefetamet ‡; cefodizime ‡; cefpimizole ‡; cefsulodin ‡; cefteram ‡ ceftiolene ‡; flomoxef ‡; latamoxef ‡ | |||
| 4th generation | cefepime; cefozopran ‡; cefpirome; cefquinome ‡ | |||
| 5th generation | ceftaroline fosamil; ceftolozane; ceftobiprole | |||
| siderophore | cefiderocol # | |||
| veterinary | ceftiofur; cefquinome; cefovecin | |||
| Monobactams | aztreonam, tigemonam ‡; carumonam ‡; nocardicin A ‡ | |||
| BLEsIs | sulbactam, tazobactam, clavulanic acid, non-β-lactams (relebactam, avibactam, vaborbactam) | |||
| Combinations | amoxicillin/clavulanic acid #, ampicillin/flucloxacillin, ampicillin/sulbactam (sultamicillin) benzathine benzylpenicillin/procaine benzylpenicillin, cefoperazone/sulbactam, ceftazidime/avibactam, ceftolozane/tazobactam, imipenem/cilastatin #, imipenem/cilastatin/relebactam, meropenem/vaborbactam panipenem/betamipron, piperacillin/tazobactam, ticarcillin/clavulanic acid | |||
| Enzymes | Mechanism of Action | Ambler Class | Family | More Common Enzymes | Producers |
|---|---|---|---|---|---|
| BLEs | SBLEs (ESSBLEs included) | A | KPCs * [36] | KPC-2 | K. pneumoniae Enterobacter spp. Salmonella spp. P. aeruginosa A. baumannii |
| KPC-3 | |||||
| GESs [37,38,39,40] | GES-1 ** | K. pneumoniae P. aeruginosa | |||
| GES2 * | |||||
| GES-3 ** | |||||
| GES-4 ** | |||||
| GES-5 * | |||||
| GES-6 * | |||||
| GES-7 ** | |||||
| GES-8 ** | |||||
| GES-9 ** | |||||
| CTX-Ms ** [38,39,40,41] | CTX-M-1 | K. pneumoniae E. coli P. mirabilis Enterobacter spp. Salmonella spp. Shigella spp. Morganella morganii | |||
| CTX-M-2 | |||||
| CTX-M3 | |||||
| CTX-M-8 | |||||
| CTX-M-9 | |||||
| CTX-M-25 | |||||
| CTX-M-14 | |||||
| SHVs [38,39,40,41] | SHV-2b ** | K. pneumoniae Other Enterobacteriaceae | |||
| SHV-2br ** | |||||
| SHV-2be ** | |||||
| TEMs [37] | TEM-2 ** | E. coli H. influenzae N. gonorrhoeae K. pneumoniae | |||
| TEM-3 ** | |||||
| TEM-4 ** | |||||
| D (CHDLs §) | OXAs * [23,38,39,40,41] [42,43] | OXA-48 | Enterobacteriaceae | ||
| OXA-17 | P. aeruginosa A. baumannii | ||||
| OXA-23 | |||||
| OXA-24/40 | |||||
| OXA-51 | |||||
| OXA-58 | |||||
| OXA-143 | |||||
| OXA-235 | |||||
| C (also AmPC a) [38,40,44,45] | ACTs | ACT-1 *** | P. aeruginosa A. baumannii Enterobacteriaceae P. mirabilis Salmonella enterica | ||
| DHAs | DHA-1 *** | ||||
| CMYs | CMY-2 *** | ||||
| CMY-10 *** | |||||
| ADCs | ADC-68 *** | ||||
| MBLEs 1 | B [46,47,48,49,50,51] | B1 *,2 | BcII | B. cereus | |
| CcrA | B. fragilis | ||||
| IMP-1 | S. marcescens P. aeruginosa | ||||
| VIM-1 VIM-2 VIM-4 VIM-7 | P. aeruginosa A. baumannii | ||||
| BlaB | Chryseobacterium meningoseptica | ||||
| Bla2 | Bacillus anthracis | ||||
| SPM-1 | P. aeruginosa | ||||
| NDM-1 | K. pneumoniae | ||||
| GIM-1 | P. aeruginosa | ||||
| SIM-1 | A. baumannii | ||||
| DIM-1 | P. stutzeri | ||||
| TMB-1 | Achromobacter xylobacter | ||||
| KHM-1 | Citrobacter freundi | ||||
| B2 *,3 | CpHA | Aeromona shydrophila | |||
| Shf-1 | Serratia fonticola | ||||
| ImiS | Acronomonas veronii | ||||
| B3 *,2 | L-1 | Stenotrophomonas maltophilia | |||
| FEZ-1 | Legionella germanii | ||||
| BJP-1 | Bradyrhizobium japonicum | ||||
| AIM-1 | P. aeruginosa | ||||
| THIN-B | Janthinobacterium lividum | ||||
| GOB-1 | C. meningoseptica | ||||
| CAU-1 | Caulobacter crescentus | ||||
| CAR-1 | Erwinia caratovora | ||||
| SMB-1 | S. marcescens | ||||
| POM-1 | Pseudomonas otitidis | ||||
| CRB11 | Uncultured bacterium |
| BLEsIs | Chemical Structure | Mechanism of Action | Antibiotic Association | Target Infections | Adverse Effects | Target BLEs |
|---|---|---|---|---|---|---|
| Clavulanic Acid (CA) *,0 [60,61] | ![]() | Irreversible bond to serine-70 in the active site | Amoxicillin Ticarcillin | Diabetic foot cIAI Pulmonary Infections Brain abscesses Pelvic inflammations Prophylaxis after surgery Acute otitis Sinusitis Skin Infections cUTI Gynecologic Septicemia Bone and joint infections | Vomiting Nausea Stomach discomfort | class A ** |
| Sulbactam *,0 [62,63,64] | ![]() | Ampicillin Cefoperazone | VAP HAP Low respiratory tract Infections (LRTI) Gynecological Obstetric Infections cIAI Peritonitis Cholecystitis Cholangitis Acute epiglottitis Periorbital cellulitis 1 Diabetic foot Skin Infections Septicemia | Nausea Allergic Reaction Vomiting Diarrhea Headache Injection pain Chills Anaphylactoid reactions | ↓ class A ↑ class C | |
| Tazobactam *,0 [65,66,67] | ![]() | Piperacillin | Cellulitis Diabetic foot LRTI cIAI cUTI Gynecologic Skin Infections Appendicitis Postpartum endometritis | Diarrhea (7–11%) Thrombocytopenia | ↑ CTX-M ↓ other class C class D | |
| Ceftolozane + Metronidazole | cIAI cUTI HAP VAP | Headache (5.8%) Constipation (3.9%) Hypertension (3%) Nausea (2.8%) Diarrhea (1.9%) | ||||
| Enmetazobactam *,2,$ [66,67,68,69,70,71] | ![]() | Irreversible bond to serine-70 in the active site | Cefepime | cIAI cUTI HAP VAP | N.R. | KPCs OXA-48 |
| 6-methylidene penems *,0,2,$ [72] | ![]() | Acylation of serine-70 Ring rearrangement to seven-membered dihydro [1,4] thiazepines | Piperacillin | N.R. | TEM-1 SHV-1 AmpCs ↓ CcrA | |
| LN-1-255 *,2,$ [31,73,74,75] | ![]() | Electrostatic/hydrogen-bonding interaction close to the serine in the active site | Imipenem | N.R. | OXA-23 OXA-24/40 OXA-58 OXA-143 OXA-235 OXA-51 | |
| Avibactam §,** [14,67,76,77,78,79,80,81,82] | ![]() | Reversible interaction with the serine in the active site Opening of the DBO ring Regeneration of DBO ring | Ceftazidime + Metronidazole | cUTI (pyelonephritis) cIAI HAP VAP | ↓Kidney function Gastrointestinal adverse effects | KPCs OXA-48 IMIs SMEs GESs CTX-Ms SHVs AmpCs |
| Aztreonam $$ | ||||||
| Relebactam §,** [13,67,83,84,85] | ![]() | Imipenem + Cilastatin | HAP VAP | Nausea (6%) Diarrhea (6%) Headache (4%) | KPCs | |
| Zidebactam §,§§,2,$ [23,67,86,87,88,89] | ![]() | Antibacterial activity binding to Gram-negative PBP2 and/or PBP3 3 BLEs inhibition by reversible interaction with the active site Opening of the DBO ring Regeneration of DBO ring | Cefepime | cUTI Acute pyelonephritis HAP VAP | Well-tolerated | K1 KPCs AmpCs CTX-Ms OXA-48 |
| Durlobactam §,2,4,$ [67,90,91,92,93] | ![]() | Imipenem + Cilastin | Headache Diarrhea Nausea Phlebitis | AmpCs KPCs OXA-23 OXA-24-40 OXA-48 | ||
| Nacubactam §,2,$ [67,94,95,96,97,98] | ![]() | Meropenem | Headache (27.3%) Phlebitis (36.7%) Injection site extravasation Nausea (27.3%) | KPCs TEMs CTX-Ms | ||
| Aztreonam $$ (in-vitro studies) | NDMs VIMs | |||||
| ETX-1317 §,2,$ [67,99,100,101,102,103] | ![]() | Cefpodoxime proxetil (CPDP) 5 | cUTI | N.R. | KPCs OXA-48 AmpCs CTX-M14 | |
| WCK5153 §,2,$ [104,105] | ![]() | Antibacterial activity binding to Gram-negative PBP2 3 BLEs inhibition by reversible acylation of serine active site Opening of the DBO ring and regeneration of DBO ring | N.R. | N.R. | N.R. | class A class C KPC-2 AmpCs |
| WCK4234 §,2,$ [105,106,107] | ![]() | No antibacterial activity BLEs inhibition by reversible acylation of serine active site Opening of the DBO ring Regeneration of DBO ring | Meropenem | cIAI | N.R. | KPCs class C OXA-23 OXA-24-40 OXA-48 OXA-51 |
| ANT3310 §,2,$ [108,109,110] | ![]() | cUTI cIAI HAP VAP | Well-tolerated No toxicity in rats | KPCs OXAs | ||
| GT-055 §,2,$ [67,111,112,113] | ![]() | Antibacterial activity binding to Gram-negative PBP2 3 BLEs inhibition by reversible acylation of serine active site Opening of the DBO ring Regeneration of DBO ring | GT-1 6 | ESSBLEs | ||
| Vaborbactam #,** [67,114,115,116,117,118,119] | ![]() | Stable covalent bond between the boron moiety and the hydroxyl group of serine in the active site | Meropenem | cUTI Acute pyelonephritis cIAI HAP VAP | Headache (8.1%) Inflammation at the injection site (2.2%) Nausea (2.2%) Diarrhea (4.7%) Liver inflammation ↓Blood potassium | KPCs |
| Taniborbactam #,2,$ [120,121,122,123] | ![]() | Reversible covalent prolonged bond to the serine in the active site Competitive inhibitor of MBLEs by mimicking the transition state structure and exploiting interactions with active-site residues. | Cefepime | Headache 7 Headache 8 Nausea 8 Constipation 8 Diarrhea 8 Dizziness 8 | ESSBLEs AmpCs KPCs NDMs VIMs OXA-48 | |
| Ledaborbactam etzadroxil (VNRX-7145 #,2,$) (Prodrug of VNRX-5236, blue structure) [67,124,125,126] | ![]() | Reversible covalent prolonged bond to the serine in the active site | Ceftibuten | cUTI Acute pyelonephritis | Well-tolerated | ESSBLEs AmpCs KPCs OXA-48 |
| Xeruborbactam (QPX-7728) #,2,$ [67,127,128,129,130,131] | ![]() | Reversible covalent prolonged bond to the serine in the active site Competitive inhibitor of MBLEs by mimicking the transition state structure and exploiting interactions with active-site residues | Aztreonam Biapenem Cefepime Ceftadizime Ceftolozane Ertapenem Meropenem | cUTI Acute pyelonephritis cIAI HAP VAP | N.R. | KPCs NDMs VIMs VIPs OXA-23 OXA-48 |
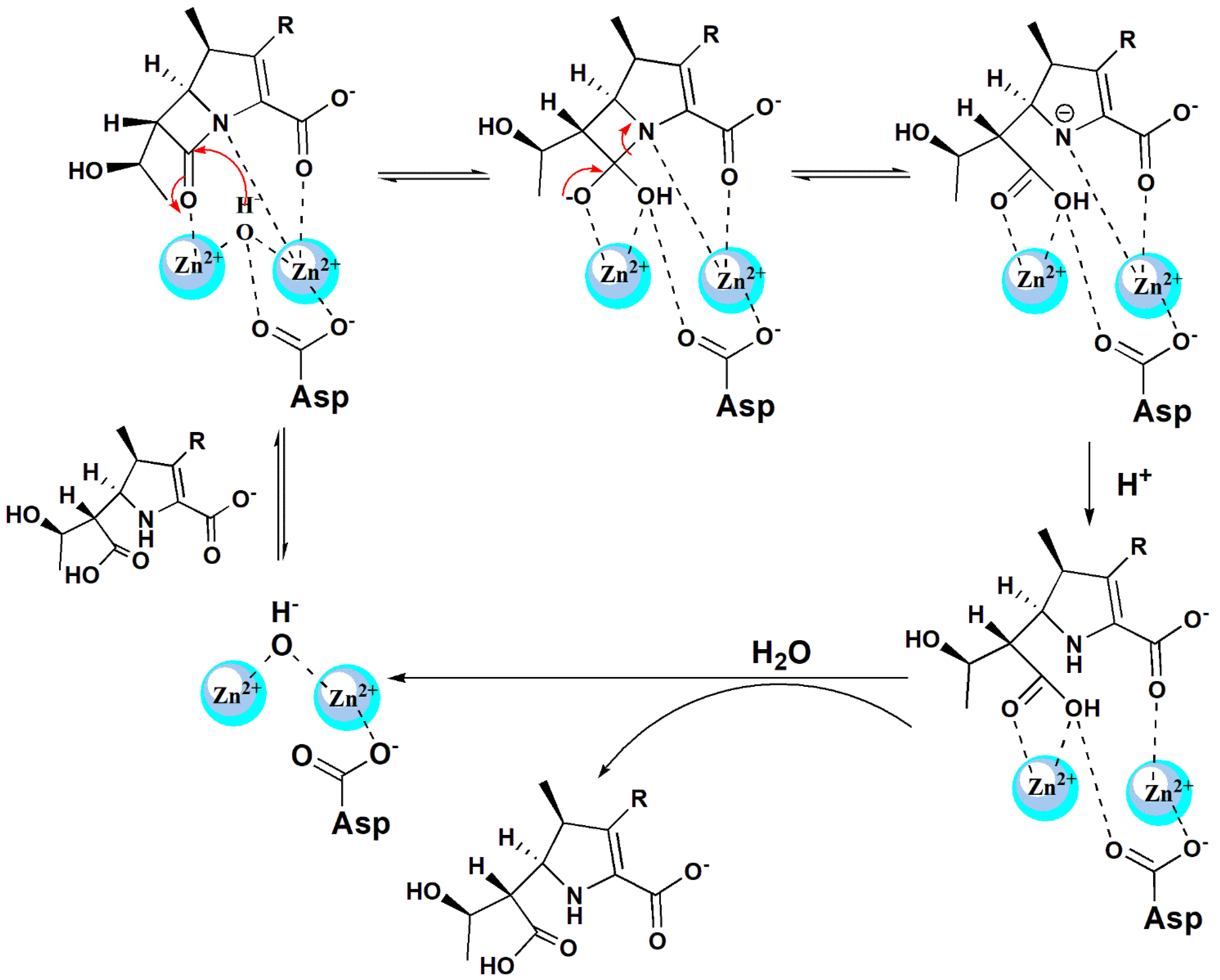
| ANT-2681 ***,2,$ [67,132,133,134,135] | ![]() | Acts as metal tripping agents or binding to the metal ion(s)while still bound to the enzyme creating a ternary complex | Meropenem | Infections by carbapenem-resistant enterobacteriaceae (CRE) | N.R. | NDM-1 VIM-2 VIM-1 IMP-1 |
| BLAs/BLEsIs | Generic Susceptible Bacteria | Absorption (Administration Route) | Plasma Protein Binding (%) | Elimination Route (Time) | Half-Life | ||
|---|---|---|---|---|---|---|---|
| Amoxicillin/CA * 2/1 | H. influenzae, S. aureus Klebsiella spp. Moraxella catarrhalis E. coli, Enterobacter spp. S. marcescens Prevotella melaninogenicus S. epidermidis Pseudomonas spp. Bacteroides fragilis | MPPC 1 2.098 ± 0.441 µg/mL (Oral) | 25% | 40–65% urine (6 h) 17% exhaled 8% feces | 45–90 min | ||
| Ticarcillin/CA * 30/1-15/1 2 5/1 3 | Klebsiella spp., E. coli S. aureus, P. aeruginosa H. influenzae, Citrobacter spp. E. cloacae S. marcescens, S. epidermidis B. fragilis | MPPC 1 8.0–11.0 µg/mL 3000/100–3000/200 mg 4 (IVI) | MPPC 1 4.9 µg/mL 1000/200 mg 4 (IMI) | 20–25% | 35–45% urine (6 h) | 1 h 2 2 h 3 | |
| Ampicillin/sulbactam * 2/1 | S. aureus, E. coli, Klebsiella spp., P. mirabilis K. fragilis, Enterobacter spp. Acinetobacter calcoaceticus H. influenzae | MPPC 1 68 µg/mL 2000/1000 mg 4 (IVI) | MPPC 1 15 µg/mL 1000/500 mg 4 (IMI) | 38% reversibly | 75–85% urine (8 h) | ~1 h | |
| Sultamicillin * (Bounded ampicillin/sulbactam) | Hydrolytically cleaved to ampicillin/ sulbactam 1/1 MPPC 1 after 1 h (oral) | 29% | 41–60% urine (8 h) | 1.4 h (OT) 1.6 h (OS) | |||
| MPPC 1 4.63 ± 1.23 µg/mL 750 mg sultamicillin Oral tablets (OT) | MPPC 1 4.35 ± 1.37 µg/mL 500 mg sultamicillin Oral suspension (OS) | ||||||
| Cefoperazone/sulbactam * 1/1, 2/1 | Neisseriaceae, Acinetobacter S. pneumoniae, H. influenzae S. aureus, S. pyogenes P. aeruginosa, K. pneumoniae E. coli, P. mirabilis Enterobacteriaceae, B. fragilis S. agalactiae, Clostridium spp. N. gonorrhoeae, S. epidermidis Enterococci | MPPC 1 81.0 µg/mL 1000/1000 mg 4 (IVI) | 38% | 75–85% urine | ~1 h | ||
| Piperacillin/tazobactam * 8/1 | E. cloacae, E. coli K. oxytoca, K. pneumoniae P. mirabilis, P. aeruginosa S. anginosus S. constellatus, S. salivarius H. influenzae, S. marcescens | MPPC 1 42.4 ± 11.8 µg/mL 4000/500 mg 4 (0.5 h IVI) | 30% | 80% urine | 0.7–1.2 h | ||
| Ceftolozane/tazobactam * 2/1 | MPPC 1 = 18–18.4 µg/mL On day 1 after the first dose (AUC: 24.4–25.0 µg/h/mL) | 0.9–1.0 h | |||||
| Enmetazobactam/cefepime 4/1 | E. coli, K. pneumoniae P. aeruginosa | MPPC 1 N.R. 2000/500 mg 4 (2-h IVI every 8 h) | Insignificant | N.R. | N.R. | ||
| 6-methylidene penems/piperacillin 4/1 | E. coli, K. pneumoniae Enterobacter spp., Citrobacter spp. Serratia spp. | MPPC 1 72–538 µg/mL 600/150 mg/Kg to rats 4 (IVI) | N.R. | N.R. | 0.1–0.5 h | ||
| LN-1-255/imipenem | A. baumannii, K. pneumoniae | MPPC 1 5.4 ± 0.65µg/mL 50 mg/Kg to mouse LN-1-255 (IMI) | N.R. | N.R. | 0.4 h | ||
| Ceftazidime/avibactam 4/1 | E. coli, K. pneumoniae P. mirabilis, Providencia stuartii E. cloacae, K. Oxytoca, P. aeruginosa, C. koseri, E. aerogenes C. freundii, Proteus spp. | MPPC 1 14.6–15.2 µg/mL 2000/500 mg 4 (IVI) | 5.7–8.2% | 95% urine (12 h) <1% bile 0.25% feces | 2.2–2.7 h | ||
| Aztreonam/avibactam/ceftazidime | MBLEs producing Enterobacteriaceae MBLEs producing K. pneumoniae | N.R. N.R. (IVI) | N.R. | N.R. | N.R. | ||
| Imipenem/cilastatin/relebactam 2/2/1 | E. coli, H. influenzae K. pneumoniae, P. aeruginosa S. marcescens A. calcoaceticus, Citrobacter spp. Enterobacter spp., K. aerogenes K. oxytoca, Bacteroides spp. Fusobacterium spp. Prevotella spp. Enterococcus faecalis, MSSA S. viridans, Legionella spp. S. maltophilia | MPPC 1 48.3 µg/mL 500/500/250 mg 4,5 (IVI) | 22% | 90% urine | 1.7 h | ||
| Vaborbactam | E. coli, K. pneumoniae E. cloacae, Citrobacter freundii C. koseri, E. aerogenes K. oxytoca, Morganella morganii P. mirabilis, Providencia spp. P. aeruginosa, S. marcescens S. saprophyticus, MSSA MSSE, S. agalactiae B. fragilis, B. thetaiotaomicron Clostridium perfringens Peptoniphilus asaccharolyticus Peptostreptococcus spp. B. caccae, P. bivia, P. disiens | MPPC 1 40.9 ± 4.68 µg/mL 6 (3 h IVI every 8 hrs/7 days) 41.6 ± 4.65 µg/mL 6 (3 h IVI) 2000 mg 4,7 | N.R. | 96.6% urine (MD) 105% urine (SD) | 1.7 h (MD) 1.5 h (SD) | ||
| Meropenem/vaborbactam 1/1 | MPPC 1 27.8 ± 6.34 µg/mL 6 1000/1000 mg 4,7 (3 h IVI) | N.F. | 99% urine | 1.65 h | |||
| Meropenem/vaborbactam a 1/1 | MPPC 1 71.3 µg/mL 6 1000/1000 mg 4,7 (IVI) | 33% | 75–95% urine | 2.25 h | |||
| Taniborbactam | CRE CRPA K. pneumonia | MPPC 1 3.4–71.8 ng/mL 8 11.2–38.8 µg/mL 9 62.5–1500 mg (2 h IVI SD) 250–750 mg (MD 2 h IVI every 8 h/10 days) | N.R. | 64–67% urine 8 > 90% urine 9 | 3.5–5.8 h 8 2 h 9 | ||
| Ceftibuten/VNRX-7145 1/1 | CRE CRPA K. pneumonia S. maltophilia A. baumannii | MPPC 1 N.R. 10 mg/Kg to mouse VNRX-7145 AOB% = 72 (oral) | N.R. | N.R. | 4.6 min | ||
| 5 mg/Kg to rat VNRX-7145 OAB% = 82 (oral) | 1.6 min | ||||||
| Aztreonam/QPX-7728 Biapenem/QPX-7728 Cefepime/QPX-7728 Ceftazidime/QPX-7728 Ceftolozan/QPX-7728 Meropenem/ QPX-7728 | CRE CRPA K. pneumonia, S. maltophilia A. baumannii, P. aeruginosa | MPPC 1 39.2, 95.3, 337.0 µg/mL 10, 30, 100 mg/Kg to mouse QPX-7728 (IVI) | N.R. | N.R. | 1.6, 1.4, 1.3 h | ||
| Cefepime/zidebactam 1/1 | E. coli, K. pneumoniae Enterobacter spp. Citrobacter spp., P. aeruginosa A. baumannii | MPPC 1 48.9–54.4 µg/mL 2000/1000 mg 4,10 (IVI) | N.F. | >95% urine | 2.5–2.7 h | ||
| Cefpodoxime proxetil /ETX1317 1/2 | E. coli, Klebsiella spp. Enterobacter spp. Citrobacter spp., Proteus spp. | MPPC 1 5.8 ± 0.2 µg/mL 10 mg/Kg to rat ETX1317 (oral) | MPPC 1 15.5 ± 2.0 µg/mL 10 mg/Kg to rat ETX1317 (IVI) | N.R. | N.R. | 1.1 h | 0.4 h |
| Meropenem/ANT3310 12/1, 6/1, 3/1 | Enterobacter spp. A. baumannii, P. aeruginosa | MPPC 1 N.R. 300/25, 300/50, 300/100 mg/Kg to rat (IVI every 2 h) | <7% | N.F. | 0.64 h (Dose 1 mg/kg) | ||
| Meropenem/cilastatin/WCK4234 5/5/1 | A. baumannii | MPPC 1 N.R. 25mg/Kg Meropenem 25 mg/Kg Cilastatin 4.68 mg/Kg WCK4234 | N.F. | N.F. | N.F. | ||
| GT-1/GT-055 | CR E. coli CR Klebsiella spp. CRPA, CRAB | N.F. | N.F. | N.F. | N.F. | ||
| GT-1/GT-055 1/1 | B. pseudomallei | MPPC 1 N.R. 30/30, 60/60, 120/120 mg/Kg to mice intraperitoneal (IP) or subcutaneous (SC) injection every 6 h/21 days | N.F. | N.F. | N.F. | ||
| GT-1/GT-055 2/3 | Y. pestis | MPPC 1 N.R. 20/30, 60/90, 200/300 mg/kg IP or SC every 6 h/7 days | N.F. | N.F. | N.F. | ||
| Meropenem/nacubactam 1/1 | E. coli, K. pneumoniae P. aeruginosa | MPPC 1 65.3 µg/mL (day 3) 8 2000/2000 mg 4 (IVI) | N.F. | urine | 2.36 h 8 | ||
| Aztreonam/nacubactam 2/1 | MBLEs producers Citrobacter spp. Enterobacter spp., E. coli Klebsiella spp. Providencia spp., M. morganii | In-vitro studies 8 mg/L aztreonam 4 mg/L nacubactam | N.R. | N.R. | N.R. | ||
| Imipenem/cilastatin Durlobactam/sulbactam 1/1/1/1 | CRAB P. aeruginosa, Enterobacteriaceae | MPPC 1 27.0 µg/mL/17.0 µg/mL (NRF) 39.9 ± 38.2 µg/mL/39.1 ± 38.6 µg/mL (RI) 1000/1000 11,12/1000/1000 mg 13,14 (IVI) | N.R. | 70%/65–98% urine | 1.8/2.3 h | ||
| ANT-2681/meropenem | Enterobacteriaceae, E. coli K. pneumoniae | MPPC 1 4.9 µg/mL 1 mg/Kg to rats ANT-2681 (IVI) | 76% (5 µM) | 30% urine | 5.6 h | ||
| MPPC 1 148.6 µg/mL 30 mg/Kg to rats ANT-2681 (IVI) | 4.2 h | ||||||
Publisher’s Note: MDPI stays neutral with regard to jurisdictional claims in published maps and institutional affiliations. |
© 2022 by the authors. Licensee MDPI, Basel, Switzerland. This article is an open access article distributed under the terms and conditions of the Creative Commons Attribution (CC BY) license (https://creativecommons.org/licenses/by/4.0/).
Share and Cite
Alfei, S.; Schito, A.M. β-Lactam Antibiotics and β-Lactamase Enzymes Inhibitors, Part 2: Our Limited Resources. Pharmaceuticals 2022, 15, 476. https://doi.org/10.3390/ph15040476
Alfei S, Schito AM. β-Lactam Antibiotics and β-Lactamase Enzymes Inhibitors, Part 2: Our Limited Resources. Pharmaceuticals. 2022; 15(4):476. https://doi.org/10.3390/ph15040476
Chicago/Turabian StyleAlfei, Silvana, and Anna Maria Schito. 2022. "β-Lactam Antibiotics and β-Lactamase Enzymes Inhibitors, Part 2: Our Limited Resources" Pharmaceuticals 15, no. 4: 476. https://doi.org/10.3390/ph15040476
APA StyleAlfei, S., & Schito, A. M. (2022). β-Lactam Antibiotics and β-Lactamase Enzymes Inhibitors, Part 2: Our Limited Resources. Pharmaceuticals, 15(4), 476. https://doi.org/10.3390/ph15040476






















