Development, Characterization, and Stability Evaluation of the Anti-Cellulite Emgel Containing Herbal Extracts and Essential Oils
Abstract
1. Introduction
2. Results and Discussion
2.1. Anti-Cellulite Emgel Formulation
2.2. Chemical Characterization of the Anti-Cellulite Emgel
2.3. HS-GCMS Method Validation
2.3.1. Selectivity
2.3.2. Linearity
2.3.3. Precision and Accuracy
2.4. HPLC Method Validation
2.4.1. Selectivity
2.4.2. Linearity
2.4.3. Precision and Accuracy
2.5. Quantitation of Constituents of Interest in the Anti-Cellulite Emgel Using HS-GCMS
2.6. Determination of Caffeine Content in Tea, Coffee Material, and the Anti-Cellulite Emgel by HPLC
2.7. Physical Stability of the Anti-Cellulite Emgel
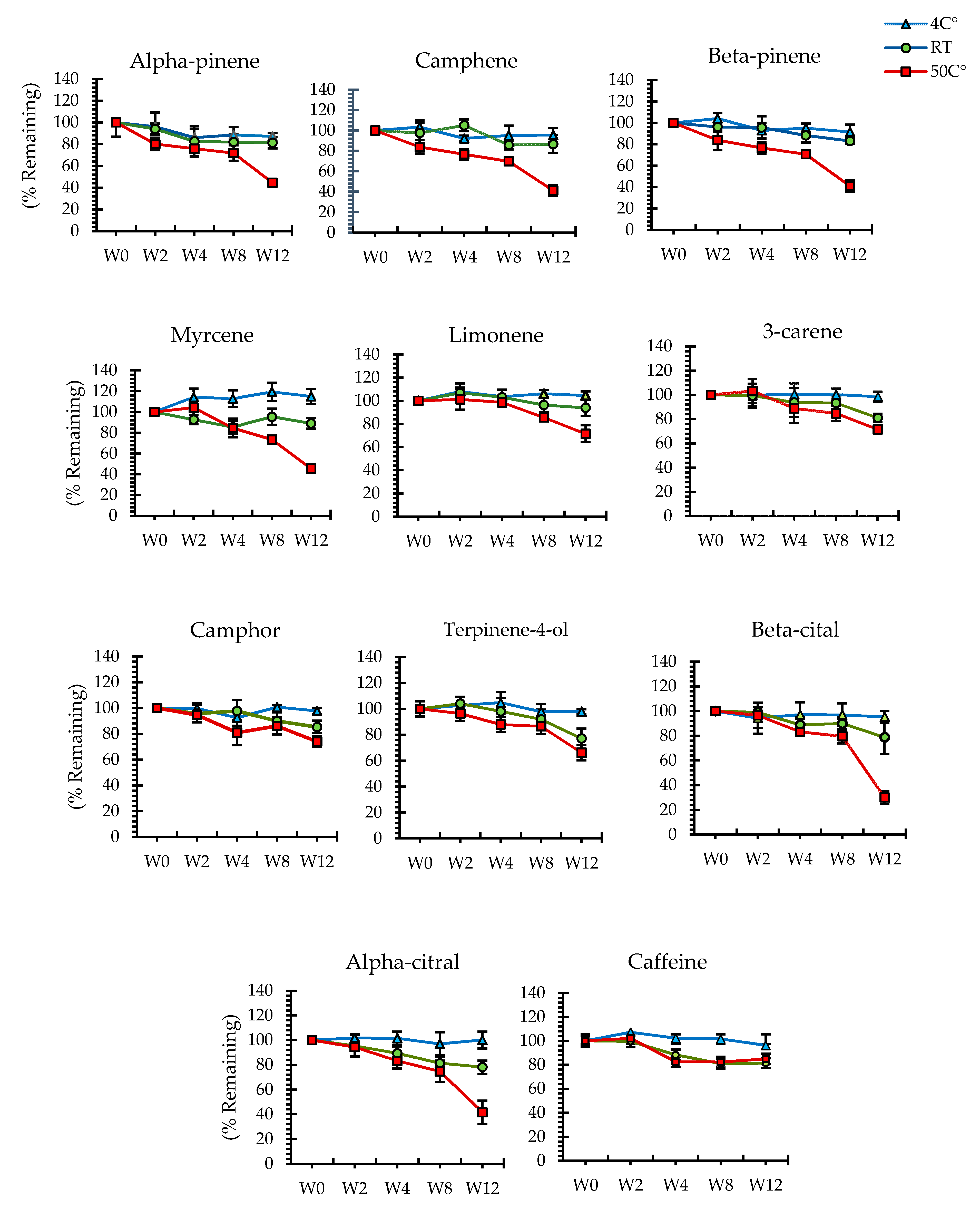
2.8. Chemical Stability Evaluation Using GCMS and HPLC
2.9. Microbiological Stability Evaluation
2.10. Calculation of Monoterpenoids and Caffeine Accelerated Shelf Life by the Q10 Method
3. Materials and Methods
3.1. Chemicals and Standards
3.2. Essential Oils and Extracts
3.3. Preparation of the Anti-Cellulite Emgel
3.4. Headspace Gas Chromatography/Mass Spectrometry (HS-GCMS) and High-Performance Liquid Chromatography (HPLC) Analyses
3.4.1. HS-GCMS Instruments and Chromatographic Conditions
3.4.2. HS-GCMS Method Validation
3.4.3. Sample Preparation for HS-GCMS
3.4.4. Qualitative Analyses of Constituents in the Anti-Cellulite Emgel Using the HS-GCMS Method
3.4.5. HPLC Instruments and Chromatographic Conditions
3.4.6. HPLC Method Validation
3.4.7. Caffeine Standard Solutions for the HPLC Method
3.5. Determination of Marker Compounds in the Anti-Cellulite Emgel by HS-GCMS and HPLC
3.5.1. Sample Preparation for HS-GCMS
3.5.2. Sample Preparation for HPLC
3.6. Accelerated Stability Study of the Anti-Cellulite Emgel
3.7. Shelf Life Prediction by the Q10 Method
3.8. Microbial Stability Studies
3.9. Statistical Analysis for Quality Control Studies
4. Conclusions
5. Patents
Author Contributions
Funding
Institutional Review Board Statement
Informed Consent Statement
Data Availability Statement
Acknowledgments
Conflicts of Interest
References
- Rawlings, A.V. Cellulite and its treatment. Int. J. Cosmet. Sci. 2006, 28, 175–190. [Google Scholar] [CrossRef]
- Morganti, P.; Morganti, G.; Gagliardini, A.; Lohani, A. From cosmetics to innovative cosmeceuticals—non-woven tissues as new biodegradable carriers. Cosmetics 2021, 8, 65. [Google Scholar] [CrossRef]
- Puviani, M.; Tovecci, F.; Milani, M. A two-center, assessor-blinded, prospective trial evaluating the efficacy of a novel hypertonic draining cream for cellulite reduction: A clinical and instrumental (Antera 3D CS) assessment. J. Cosmet. Dermatol. 2018, 17, 448–453. [Google Scholar] [CrossRef]
- Roure, R.; Oddos, T.; Rossi, A.; Vial, F.; Bertin, C. Evaluation of the efficacy of a topical cosmetic slimming product combining tetrahydroxypropyl ethylenediamine, caffeine, carnitine, forskolin and retinol, In vitro, ex vivo and in vivo studies. Int. J. Cosmet. Sci. 2011, 33, 519–526. [Google Scholar] [CrossRef]
- Al-Bader, T.; Byrne, A.; Gillbro, J.; Mitarotonda, A.; Metois, A.; Vial, F.; Rawlings, A.V.; Laloeuf, A. Effect of cosmetic ingredients as anticellulite agents: Synergistic action of actives with in vitro and in vivo efficacy. J. Cosmet. Dermatol. 2012, 11, 17–26. [Google Scholar] [CrossRef] [PubMed]
- Yimam, M.; Lee, Y.-C.; Jiao, P.; Hong, M.; Brownell, L.; Jia, Q. A randomized, active comparator-controlled clinical trial of a topical botanical cream for skin hydration, elasticity, firmness, and cellulite. J. Clin. Aesthet. Dermatol. 2018, 11, 51–57. [Google Scholar] [PubMed]
- Ngamdokmai, N.; Waranuch, N.; Chootip, K.; Neungchamnong, N.; Ingkaninan, K. HPLC-QTOF-MS method for quantitative determination of active compounds in an anti-cellulite herbal compress. Songklanakarin J. Sci. Technol. 2017, 39, 463–470. [Google Scholar]
- Ngamdokmai, N.; Waranuch, N.; Chootip, K.; Jampachaisri, K.; Scholfield, C.N.; Ingkaninan, K. Cellulite reduction by modified Thai herbal compresses; A randomized double-blind trial. J. Evid.-Based Integr. Med. 2018, 23, 2515690X18794158. [Google Scholar] [CrossRef]
- Zapata, F.J.; Rebollo-Hernanz, M.; Novakofski, J.E.; Nakamura, M.T.; Gonzalez de Mejia, E. Caffeine, but not other phytochemicals, in mate tea (Ilex paraguariensis St. Hilaire) attenuates high-fat-high-sucrose-diet-driven lipogenesis and body fat accumulation. J. Funct. Foods 2020, 64, 103646. [Google Scholar] [CrossRef]
- Lone, J.; Yun, J.W. Monoterpene limonene induces brown fat-like phenotype in 3T3-L1 white adipocytes. Life Sci. 2016, 153, 198–206. [Google Scholar] [CrossRef]
- Sri Devi, S.; Ashokkumar, N. Citral, a monoterpene inhibits adipogenesis through modulation of adipogenic transcription factors in 3T3-L1 cells. Indian J. Clin. Biochem. 2018, 33, 414–421. [Google Scholar] [CrossRef]
- Wong-a-nan, N.; Inthanon, K.; Saiai, A.; Inta, A.; Nimlamool, W.; Chomdej, S.; Kittakoop, P.; Wongkham, W. Lipogenesis inhibition and adipogenesis regulation via PPARγ pathway in 3T3-L1 cells by Zingiber cassumunar Roxb. rhizome extracts. Egypt. J. Basic Appl. Sci. 2018, 5, 289–297. [Google Scholar] [CrossRef]
- Ngamdokmai, N.; Paracha, T.U.; Waranuch, N.; Chootip, K.; Wisuitiprot, W.; Suphrom, N.; Insumrong, K.; Ingkaninan, K. Effects of essential oils and some constituents from ingredients of anti-cellulite herbal compress on 3T3-L1 adipocytes and rat aortae. Pharmaceuticals 2021, 14, 253. [Google Scholar] [CrossRef]
- Ngamdokmai, N.; Waranuch, N.; Chootip, K.; Jampachaisri, K.; Scholfield, C.N.; Ingkaninan, K. Efficacy of an anti-cellulite herbal emgel: A randomized clinical trial. Pharmaceuticals 2021, 14, 683. [Google Scholar] [CrossRef] [PubMed]
- Sparavigna, A.; Guglielmini, G.; Togni, S.; Cristoni, A.; Maramaldi, G. Evaluation of anti-cellulite efficacy: A topical cosmetic treatment for cellulite blemishes—A multifunctional formulation. J. Cosmet. Sci. 2011, 62, 305. [Google Scholar] [PubMed]
- Aafreen, M.M.; Anitha, R.; Preethi, R.C.; Rajeshkumar, S.; Lakshmi, T. Anti-Inflammatory activity of silver nanoparticles prepared from ginger oil-an invitro approach. Indian J. Public Health Res. Dev. 2019, 10, 145–149. [Google Scholar] [CrossRef]
- Funk, J.L.; Frye, J.B.; Oyarzo, J.N.; Chen, J.; Zhang, H.; Timmermann, B.N. Anti-inflammatory effects of the essential oils of ginger (Zingiber officinale Roscoe) in experimental rheumatoid arthritis. PharmaNutrition 2016, 4, 123–131. [Google Scholar] [CrossRef] [PubMed]
- Eren, H.; Turkmen, A.S.; Aslan, A. Effect of topical application of black pepper essential oil on peripheral intravenous catheter insertion: A randomized controlled study. Explore 2021. [Google Scholar] [CrossRef] [PubMed]
- Jeena, K.; Liju, V.B.; Umadevi, N.P.; Kuttan, R. Antioxidant, anti-inflammatory and antinociceptive properties of black pepper essential oil (piper nigrum linn). J. Essent. Oil Bear. Plants 2014, 17, 1–12. [Google Scholar] [CrossRef]
- Zhang, Y.; Wang, X.; Ma, L.; Dong, L.; Zhang, X.; Chen, J.; Fu, X. Anti-inflammatory, antinociceptive activity of an essential oil recipe consisting of the supercritical fluid CO2 extract of white pepper, long pepper, cinnamon, saffron and myrrh in vivo. J. Oleo Sci. 2014, ess14061. [Google Scholar] [CrossRef][Green Version]
- Wang, B.; Zhang, Y.; Huang, J.; Dong, L.; Li, T.; Fu, X. Anti-inflammatory activity and chemical composition of dichloromethane extract from Piper nigrum and P. longum on permanent focal cerebral ischemia injury in rats. Rev. Bras. Farmacogn. 2017, 27, 369–374. [Google Scholar] [CrossRef]
- Han, X.; Parker, T.L. Lemongrass (Cymbopogon flexuosus) essential oil demonstrated anti-inflammatory effect in pre-inflamed human dermal fibroblasts. Biochim. Open 2017, 4, 107–111. [Google Scholar] [CrossRef] [PubMed]
- Katsukawa, M.; Nakata, R.; Takizawa, Y.; Hori, K.; Takahashi, S.; Inoue, H. Citral, a component of lemongrass oil, activates PPARα and γ and suppresses COX-2 expression. Biochim. Biophys. Acta (BBA)-Mol. Cell Biol. Lipids 2010, 1801, 1214–1220. [Google Scholar] [CrossRef]
- Koch, W.; Zagórska, J.; Marzec, Z.; Kukula-Koch, W. Applications of Tea (Camellia sinensis) and its active constituents in cosmetics. Molecules 2019, 24, 4277. [Google Scholar] [CrossRef] [PubMed]
- Susanto, H.; Kharisma, V.D.; Listyorini, D.; Taufiq, A. Effectivity of black tea polyphenol in adipogenesis related IGF-1 and its receptor pathway through in silico based study. In Journal of Physics: Conference Series; IOP Publishing: Bristol, UK, 2018. [Google Scholar]
- Farias-Pereira, R.; Park, C.S.; Park, Y. Mechanisms of action of coffee bioactive components on lipid metabolism. Food Sci. Biotechnol. 2019, 28, 1287–1296. [Google Scholar] [CrossRef]
- Duangjai, A.; Nuengchamnong, N.; Suphrom, N.; Trisat, K.; Limpeanchob, N.; Saokaew, S. Potential of coffee fruit extract and quinic acid on adipogenesis and lipolysis in 3T3-L1 adipocytes. Kobe J. Med. Sci. 2018, 64, E84–E92. [Google Scholar] [PubMed]
- Pavoni, L.; Benelli, G.; Maggi, F.; Bonacucina, G. Green nanoemulsion interventions for biopesticide formulations. In Nano-Biopesticides Today and Future Perspectives; Academic Press: Cambridge, MA, USA, 2019; pp. 133–160. ISBN 978-0-12-815829-6. [Google Scholar]
- Ferreiro-González, M.; Ayuso, J.; Álvarez, J.A.; Palma, M.; Barroso, C.G. Application of an HS–MS for the detection of ignitable liquids from fire debris. Talanta 2015, 142, 150–156. [Google Scholar] [CrossRef]
- Zhang, C.Y.; Lin, N.B.; Chai, X.S.; Barnes, D.G. A rapid method for simultaneously determining ethanol and methanol content in wines by full evaporation headspace gas chromatography. Food Chem. 2015, 183, 169–172. [Google Scholar] [CrossRef]
- AOAC International; Guideline Working Group. AOAC International guidelines for validation of botanical identification methods. J. AOAC Int. 2012, 95, 268–272. [Google Scholar]
- Charde, M.; Shinde, M.; Welankiwar, A.; Jitendra, K. Development of analytical and stability testing method for vitamin-A palmitate formulation. Int. J. PharmaceutChem. 2014, 4, 39–51. [Google Scholar]
- Moussa, N.; Haushey, L. The shelf life of Vitamin C in aw/o emulsion according to the Q10 Method. Int. J. Pharm. Sci. Rev. Res. 2015, 30, 33–39. [Google Scholar]
- Khathir, R.; Agustina, R.; Nurba, D.; Syafriandi; Putra, D. Shelf-life estimation of cauliflower based on total soluble solids by using the arrhenius and Q10 approach. In Proceedings of the IOP conference Series: Earth and Environmental Science, Banda Aceh, Indonesia, 21–22 August 2019; Volume 365, p. 012006. [Google Scholar]
- Sutton, S.V.; Porter, D. Development of the antimicrobial effectiveness test as USP chapter 51. PDA J. Pharm. Sci. Technol. 2002, 56, 300–311. [Google Scholar] [PubMed]



| Ingredient | Formula (wt%) |
|---|---|
| Deionized water | 66.00 |
| Carbopol 940 | 0.80 |
| Disodium EDTA | 0.10 |
| Propylene glycol | 2.00 |
| Glycerin | 6.00 |
| Phenoxyethanol and chlorphenesin | 1.00 |
| Triethanolamine (TEA) | 1.00 |
| PEG-40 hydrogenated castor oil | 5.00 |
| Rice bran oil | 8.00 |
| Tea extract | 0.05 |
| Coffee extract | 0.05 |
| Mixed oil | 5.00 |
| Camphor | 5.00 |
| Peak No. | RT (min) | RI 1 | Identified Compounds | Relative Area (%) |
|---|---|---|---|---|
| 1 | 1.66 | 562 | Trimethoxyborane | 2.57 |
| 2 | 3.67 | 939 | α-Pinene | 2.06 |
| 3 | 3.86 | 955 | Camphene | 2.81 |
| 4 | 4.14 | 978 | Sabinene | 6.31 |
| 5 | 4.21 | 984 | β-Pinene | 4.38 |
| 6 | 4.31 | 992 | Myrcene | 2.03 |
| 7 | 4.57 | 1009 | α-Phellandrene | 1.14 |
| 8 | 4.67 | 1014 | 3-Carene | 3.93 |
| 9 | 4.75 | 1019 | α-Terpinene | 1.22 |
| 10 | 4.95 | 1029 | Limonene | 8.84 |
| 11 | 5.03 | 1033 | Eucalyptol | 1.39 |
| 12 | 5.49 | 1058 | γ-Terpinene | 1.64 |
| 13 | 6.13 | 1092 | α-Terpinolene | 1.55 |
| 14 | 7.71 | 1152 | Camphor | 100.00 |
| 15 | 8.49 | 1180 | (Internal standard) menthol | 31.01 |
| 16 | 8.63 | 1185 | γ-Terpinene | 4.29 |
| 17 | 8.92 | 1195 | α-Terpineol | 1.83 |
| 18 | 9.45 | 1227 | (Preservative) phenoxyethanol | 7.95 |
| 19 | 9.73 | 1250 | β-Citral | 4.60 |
| 20 | 10.19 | 1277 | α-Citral | 5.22 |
| 21 | 11.75 | 1373 | Caryophyllene | 2.26 |
| 22 | 12.15 | 1395 | α-Curcumene | 6.66 |
| 23 | 12.20 | 1400 | Germacrene D | 1.87 |
| 24 | 12.23 | 1404 | delta-Curcumene | 20.43 |
| 25 | 12.28 | 1409 | β-Selinene | 3.15 |
| 26 | 12.32 | 1413 | β-Bisabolene | 6.41 |
| 27 | 12.43 | 1424 | β-Sesquiphellandrene | 8.46 |
| 28 | 13.25 | 1511 | Tumerone | 5.81 |
| 29 | 13.42 | 1530 | Curlone | 1.26 |
| Analytes | RT | (r2) | Linear Range (µg/mL) | LOD (µg/mL) | LOQ (µg/mL) |
|---|---|---|---|---|---|
| α-Pinene | 3.611 | 0.9997 | 39.1–1250 | 13.0 | 39.1 |
| Camphene | 3.810 | 0.9989 | 62.5–2000 | 20.8 | 62.5 |
| β-Pinene | 4.166 | 0.9982 | 39.1–1250 | 13.0 | 39.1 |
| Myrcene | 4.257 | 0.9978 | 62.5–2000 | 20.8 | 62.5 |
| 3-Carene | 4.605 | 0.9987 | 39.1–1250 | 13.0 | 39.1 |
| Limonene | 4.895 | 0.9974 | 39.1–1250 | 13.0 | 39.1 |
| Camphor | 7.588 | 0.9989 | 62.5–2000 | 20.8 | 62.5 |
| Terpinene | 8.420 | 0.9964 | 39.1–1250 | 13.0 | 39.1 |
| β-Citral | 8.560 | 0.9988 | 62.5–2000 | 20.8 | 62.5 |
| α-Citral | 9.747 | 0.9976 | 62.5–2000 | 20.8 | 62.5 |
| Analytes | Concentration Levels/Spiked Mount (µg/mL) | Intra-Day (n = 3) | Inter-Day (n = 9) | Accuracy (n = 9) | ||
|---|---|---|---|---|---|---|
| Measured Concentration (µg/mL) ± SD | Precision (%RSD) | Measured Concentration (µg/mL) | Precision (%RSD) | Recovery (%) | ||
| α-Pinene | 120 | 126.62 ± 4.07 | 3.21 | 124.45 ± 3.54 | 2.85 | 105.5 |
| 190 | 190.75 ± 1.38 | 0.73 | 190.90 ± 1.03 | 0.54 | 98.6 | |
| 1000 | 1013.42 ± 5.56 | 0.54 | 1004.97 ± 10.63 | 1.06 | 98.8 | |
| Camphene | 125 | 131.09 ± 2.41 | 1.84 | 128.40 ± 3.88 | 3.02 | 97.4 |
| 300 | 284.46 ± 6.33 | 2.23 | 277.07 ± 11.66 | 4.21 | 101.8 | |
| 1600 | 1561.43 ± 7.74 | 0.49 | 1568.28 ± 9.42 | 0.60 | 99.4 | |
| β-Pinene | 120 | 109.23 ± 3.17 | 2.91 | 107.70 ± 2.83 | 2.63 | 100.5 |
| 190 | 192.64 ± 4.88 | 2.53 | 193.65 ± 4.11 | 2.12 | 100.4 | |
| 1000 | 1013.34 ± 9.99 | 0.98 | 1012.33 ± 9.53 | 0.94 | 100.0 | |
| Myrcene | 125 | 112.72 ± 4.11 | 3.64 | 113.48 ± 2.846 | 2.50 | 100.6 |
| 300 | 273.69 ± 3.84 | 1.40 | 272.10 ± 8.16 | 2.99 | 101.1 | |
| 1600 | 1436.74 ± 4.31 | 0.30 | 1442.68 ± 11.36 | 0.78 | 106.7 | |
| 3-Carene | 120 | 124.26 ± 4.42 | 3.56 | 122.61 ± 4.22 | 3.44 | 94.4 |
| 190 | 189.28 ± 3.96 | 2.09 | 186.85 ± 3.96 | 2.45 | 102.0 | |
| 1000 | 924.90 ± 6.15 | 0.66 | 927.38 ± 5.33 | 0.57 | 102.6 | |
| Limonene | 120 | 130.95 ± 3.20 | 2.44 | 129.40 ± 2.91 | 2.91 | 105.5 |
| 190 | 194.62 ± 5.02 | 5.02 | 191.83 ± 5.34 | 2.78 | 102.1 | |
| 1000 | 1025.84 ± 9.62 | 0.94 | 1025.34 ± 13.53 | 1.32 | 98.3 | |
| Camphor | 125 | 134.15 ± 5.09 | 3.79 | 134.26 ± 5.09 | 3.79 | 98.2 |
| 300 | 286.33 ± 8.94 | 3.12 | 291.26 ±9.32 | 3.20 | 96.7 | |
| 1600 | 1718.85 ± 2.75 | 0.16 | 1718.85 ± 11.69 | 0.68 | 97.8 | |
| Terpinene-4-ol | 120 | 114.58 ± 2.17 | 1.89 | 112.78 ± 4.19 | 3.71 | 100.4 |
| 190 | 177.21 ± 4.89 | 2.76 | 176.40 ± 3.47 | 1.97 | 107.5 | |
| 1000 | 942.44 ± 7.19 | 0.76 | 934.46 ± 10.47 | 1.12 | 101.6 | |
| β-Citral | 125 | 107.75 ± 0.95 | 0.89 | 108.02 ± 2.31 | 2.14 | 98.3 |
| 300 | 314.81 ± 9.63 | 3.06 | 311.76 ± 8.18 | 2.62 | 96.2 | |
| 1600 | 1649.47 ± 13.03 | 0.79 | 1663.07 ± 14.08 | 0.85 | 99.0 | |
| α-Citral | 125 | 128.02 ± 4.96 | 3.88 | 127.39 ± 4.07 | 3.19 | 99.5 |
| 300 | 329.87 ± 7.54 | 2.28 | 329.24 ± 5.74 | 1.74 | 99.0 | |
| 1600 | 1642.30 ± 12.91 | 0.79 | 1645.17 ± 11.29 | 0.69 | 99.0 | |
| Analyte | RT (min) | (r2) | Linear Range (µg/mL) | LOD (ng/mL) | LOQ (ng/mL) |
|---|---|---|---|---|---|
| Caffeine | 4.015 | 1.00 | 0.3125–20 | 156.250 | 15.625 |
| Standard | Concentration Levels/Spiked Mount (µg/mL) | Intra-Day Precision (n = 6) | Inter-Day Precision (n = 9) | Accuracy (n = 9) | ||
|---|---|---|---|---|---|---|
| Measured Concentration (µg/mL) ± SD | Precision (%RSD) | Measured Concentration (µg/mL) ± SD | Precision (%RSD) | Recovery (%) | ||
| Caffeine | 1.88 | 1.86 ± 0.03 | 1.70 | 1.81 ± 0.05 | 2.51 | 101.0 |
| 7.50 | 7.49 ± 0.19 | 2.52 | 7.32 ± 0.18 | 2.51 | 100.6 | |
| Anti-Cellulite Emgel | Monoterpenoids Presented in the Formulation (µg/mg) Average ± S.D. |
|---|---|
| α-Pinene | 85.2 ± 0.6 |
| Camphene | 50.8 ± 1.8 |
| β-Pinene | 88.4 ± 1.1 |
| Myrcene | 53.3 ± 4.5 |
| 3-Carene | 46.7 ± 1.8 |
| Limonene | 36.8 ± 6.7 |
| Camphor | 251.0 ± 3.2 |
| Terpinene-4-ol | 104.3 ± 2.6 |
| β-Citral | 65.6 ± 1.3 |
| α-Citral | 75.0 ± 2.1 |
| Sample | Caffeine Content Ave ± S.D. (µg/g) |
|---|---|
| Coffee extract (freeze-dried) | 45.0 ± 0.4 |
| Tea extract (freeze-dried) | 64.2 ± 1.1 |
| Anti-cellulite emgel with tea and coffee extracts in this formulation | 48.1 ± 2.3 |
| Conditions | Physical Examination | pH | Viscosity (Cp) | Separation |
|---|---|---|---|---|
| Initiation | Smooth texture, pale brown | 6.89 ± 0.02 | 1715 ± 5.29 | No phase separation |
| 4 °C | Smooth texture, pale brown | 6.61 ± 0.04 | 1681 ± 6.81 | No phase separation |
| 25 °C | Smooth texture, pale brown | 6.68 ± 0.05 | 1632 ± 5.50 | No phase separation |
| 50 °C | Smooth texture, pale brown (darker, slightly stronger smell) | 6.63 ± 0.02 | 1616 ± 5.03 | No phase separation |
| Heating-cooling 6 cycles 45 °C/4 °C | Smooth texture, pale brown (slightly darker, slightly stronger smell) | 6.65 ± 0.03 | 1654 ± 3.21 | No phase separation |
| Microbes | Log10 CFU/g | |||
|---|---|---|---|---|
| Day 0 | Day 7 | Day 14 | Day 28 | |
| Staphylococcus aureus | 6.0 | 3.3 | <2.0 | <2.0 |
| Pseudomonas aeruginosa | 5.9 | 3.0 | <2.0 | <2.0 |
| Escherichia coli | 6.0 | <2.0 | <2.0 | <2.0 |
| Candida albicans | 4.4 | <2.0 | <2.0 | <2.0 |
| Aspergillus niger | 4.6 | <2.0 | <2.0 | <2.0 |
| Anti-Cellulite Emgel | Function |
|---|---|
| Deionized water | Diluent |
| Carbopol 940 | Gelling agent |
| Disodium EDTA | Chelating agent |
| Propylene glycol | Moisturizing agent |
| Glycerin | Moisturizing agent |
| Phenoxyethanol and chlorphenesin | Preservatives |
| Triethanolamine (TEA) | pH adjuster |
| PEG-40 hydrogenated castor oil | Solubilizer |
| Rice bran oil | Emollient |
| Tea extract | Active ingredient |
| Coffee extract | Active ingredient |
| Mixed oil | Active ingredient |
| Camphor | Active ingredient |
Publisher’s Note: MDPI stays neutral with regard to jurisdictional claims in published maps and institutional affiliations. |
© 2021 by the authors. Licensee MDPI, Basel, Switzerland. This article is an open access article distributed under the terms and conditions of the Creative Commons Attribution (CC BY) license (https://creativecommons.org/licenses/by/4.0/).
Share and Cite
Ngamdokmai, N.; Ingkaninan, K.; Chaichamnong, N.; Chootip, K.; Neungchamnong, N.; Waranuch, N. Development, Characterization, and Stability Evaluation of the Anti-Cellulite Emgel Containing Herbal Extracts and Essential Oils. Pharmaceuticals 2021, 14, 842. https://doi.org/10.3390/ph14090842
Ngamdokmai N, Ingkaninan K, Chaichamnong N, Chootip K, Neungchamnong N, Waranuch N. Development, Characterization, and Stability Evaluation of the Anti-Cellulite Emgel Containing Herbal Extracts and Essential Oils. Pharmaceuticals. 2021; 14(9):842. https://doi.org/10.3390/ph14090842
Chicago/Turabian StyleNgamdokmai, Ngamrayu, Kornkanok Ingkaninan, Nattiya Chaichamnong, Krongkarn Chootip, Nitra Neungchamnong, and Neti Waranuch. 2021. "Development, Characterization, and Stability Evaluation of the Anti-Cellulite Emgel Containing Herbal Extracts and Essential Oils" Pharmaceuticals 14, no. 9: 842. https://doi.org/10.3390/ph14090842
APA StyleNgamdokmai, N., Ingkaninan, K., Chaichamnong, N., Chootip, K., Neungchamnong, N., & Waranuch, N. (2021). Development, Characterization, and Stability Evaluation of the Anti-Cellulite Emgel Containing Herbal Extracts and Essential Oils. Pharmaceuticals, 14(9), 842. https://doi.org/10.3390/ph14090842

