Abstract
The pharmacological inhibition of soluble epoxide hydrolase (sEH) has been suggested as a potential therapy for the treatment of pain and inflammatory diseases through the stabilization of endogenous epoxyeicosatrienoic acids. Numerous potent sEH inhibitors (sEHI) have been developed, however many contain highly lipophilic substituents limiting their availability. Recently, a new series of benzohomoadamantane-based ureas endowed with potent inhibitory activity for the human and murine sEH was reported. However, their very low microsomal stability prevented further development. Herein, a new series of benzohomoadamantane-based amides were synthetized, fully characterized, and evaluated as sEHI. Most of these amides were endowed with excellent inhibitory potencies. A selected compound displayed anti-inflammatory effects with higher effectiveness than the reference sEHI, TPPU.
1. Introduction
Soluble epoxide hydrolase (sEH, EPHX2, EC 3.3.2.3) metabolizes epoxyeicosatrienoic acids (EETs), potent endogenous anti-inflammatory mediators [,,], into the corresponding dihydroxyeicosatrienoic acids, which are much less biologically active [,]. It is now well established that sEH pharmacological inhibition in vivo stabilizes the concentration of EETs and other epoxy fatty acids, reducing pain and inflammatory states, suggesting sEH as a potential pharmacological target for the treatment of a variety of inflammatory diseases [,,]. Indeed, several sEH inhibitors (sEHI) have reached clinical trials: AR9281, developed by Arête Therapeutics for the treatment of hypertension in diabetic patients []; GSK2256294, developed by GlaxoSmithKline for chronic obstructive pulmonary disease [] and aneurysmal subarachnoid hemorrhage []; and EC5026, developed by EicOsis, which has recently successfully finished Phase 1a clinical trials for the treatment of neuropathic pain [,] (Figure 1).
Figure 1.
Structure of the three sEHI that have entered human clinical trials.
Taking into account that several adamantane-based and benzene-based ureas are endowed with very potent activity as sEHI [,,,], that both AR9281 and EC5026 feature an acylpiperidine unit, and that the highly hydrophobic pocket of sEH seems able to accommodate very large hydrophobic groups [], we have recently designed, synthesized and pharmacologically evaluated a novel series of ureas featuring the benzohomoadamantane scaffold as hydrophobic moiety, that merges in its polycyclic structure an adamantane-related core with an aromatic ring []. Several of these novel sEHI-based ureas were low nanomolar inhibitors of the human and murine sEH, but most of them, as 1, showed high melting points, limited solubility, and unacceptably low microsomal stabilities (Figure 2) []. Taking into account that amides are good pharmacophores for sEHI [], the aim of the present study was to replace the urea moiety of 1 by an amide group in order to improve the physical properties and, particularly, its very poor microsomal stability to improve availability and in vivo efficacy.
Figure 2.
Structure and some properties of 1. The microsomal stability (% remaining at 1 h) of 1 was 1% in human and in 0.5% in mouse.
2. Results and Discussion
2.1. Synthesis of the New sEHI
The targeted amides were easily synthesized in low to moderate yields from known benzohomoadamantane amines 2a–e [,,]. The coupling of these amines with carboxylic acids 3 and 7, using either EDC·HCl and HOBt or HATU, provided carbamates 4a–e and amides 6g–h, respectively. Compounds 4a–e were deprotected using HCl in dioxane to give amides 5a–e. Reaction of 5a with acetyl chloride furnished amide 6a. Finally, piperidines 5a–e were reacted with 2-propanesulfonyl chloride to obtain amides 6b–f (Scheme 1).
Scheme 1.
Synthesis of sEHI amides 6a–h from polycyclic amines 2a–e. (a) EDC·HCl, HOBt, Et3N, EtOAc, rt, 24 h (4a–b, 4d); (b) HATU, DIPEA, DMF, rt, overnight (4c, 4e, 6g–h); (c) HCl/Dioxane, rt, 2 h (5a–e); (d) acetyl chloride, Et3N, DCM, 0 °C to rt, overnight (6a); (e) propane-2-sulfonyl chloride, Et3N, DCM, 0 °C to rt, overnight (6b–f).
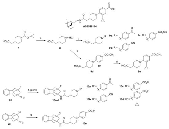
On the other hand, inspired by the structure of amide AS2586114, a very potent sEHI developed by Astellas [,], we explored the series of N-aryl derivatives 10a–e (Scheme 2). The removal of the Boc group from the commercially available carboxylic acid 3 using HCl in dioxane, as previously reported [], provided amino acid 8 []. Afterwards, nucleophilic aromatic substitution reactions furnished compounds 9a–d in moderate yields. Reaction of 9d with cyclopropylboronic acid via a Suzuki coupling afforded 9e a good yield. The coupling of amine 2d with carboxylic acids 9a–b yielded final compounds 10a–b. Furthermore, the reaction of 2d with carboxylic acids 9c and 9e followed by hydrolysis of the intermediate carboxylic ester furnished carboxylic acids 10c and 10d, respectively. Similarly, the reaction of amine 2e with 9c followed by hydrolysis led to 10e.
Scheme 2.
Structure of known AS2586114 and synthesis of novel sEHI 10a–e. (a) HCl/Dioxane 4 M, rt, 2 h; (b) 4-fluoroacetophenone (for 9a), 4-fluorobenzonitrile (for 9b) or t-butyl 4-fluorobenzoate (for 9c), K2CO3, DMSO, 100 °C, overnight; (c) methyl 3-bromo-4-fluorobenzoate, K2CO3, DMF, 100 °C, overnight; (d) cyclopropylboronic acid, Pd(Ph3)4, K3PO4, dioxane, 100 °C, overnight; (f) 9a or 9b, HATU, DIPEA, DMF, rt, overnight; (g) 9c, HATU, DIPEA, DMF, rt, overnight; then HCl/dioxane 4 M, H2O, rt, 2 h. (h) 9e, HATU, DIPEA, DMF, rt, overnight; then methanol, KOH, rt, overnight.
2.2. sEH Inhibition and Microsomal Stability
The potency of all the new compounds as inhibitors of the human and murine sEH was tested using a previously reported sensitive fluorescent-based assay using baculovirus expressed recombinant human and mouse sEH []. As shown in Table 1, known urea 1 is a low nanomolar inhibitor of the human (IC50 = 3.1 nM) and murine sEH (IC50 = 6.0 nM) but endowed with very poor microsomal stability. Previous studies with other families of sEHI have shown that amides are suitable pharmacophores for sEHI. For these families of compounds, the amide function significantly improves the physical properties compared to the corresponding ureas, such as increasing solubility and reducing melting points [,]. For this reason, we first explored the effect of replacing the urea group of 1 by an amide, leading to compound 6a. Typically, previous structure–activity relationship (SAR) studies indicated that the inhibition potencies of amides do not affect mouse sEH compared to the corresponding ureas, whereas this change leads to reduced inhibition potency for human sEH []. Indeed, amide 6a was a low nanomolar inhibitor of murine sEH (IC50 = 0.4 nM) but was less potent against the human enzyme (IC50 = 34.5 nM). Furthermore, as expected, the melting point of 6a (mp 85–86 °C) was lower than that of the corresponding urea 1 (mp 206–207 °C). Unfortunately, microsomal stability of 6a was still very low (Table 1).
Table 1.
IC50 in human and murine sEH and microsomal stability values of 1, 6a–h and 10a–e.
Next, we briefly explored the right-hand side (RHS) of the molecule. Thus, the acyl group of 6a was replaced by either an isopropylsulfonyl group or a benzyl group to obtain compounds 6b and 6g, respectively. Both compounds showed potencies in the same order than 6a, but again presented unacceptable microsomal stabilities.
Separately and noteworthy, we have recently found in a related series of sEHI that the substitution of the methyl group at C-9 of the polycyclic structure in 11a by halogen atoms, as in 11b and 11c, led to a significative increase in the microsomal stability, particularly in murine microsomes (Table 2) [].
Table 2.
Structures of sEHI 11a–c and their microsomal stabilities [].
Thus, we synthesized and evaluated halogenated compounds 6c and 6d with the aim of improving the microsomal stability of 6b. Interestingly, this modification resulted in an improvement in the potency on the human enzyme, but only a very moderate enhancement in the microsomal stability (Table 1). Two further derivatives were synthesized, 6e and 6f, bearing a hydrogen and a deuterium atom at C-9, respectively. Once again, both compounds were shown to be excellent sEHI in the human and murine enzymes, but the microsomal activity did not improve.
Considering that within this series of amides, 6c was the compound with the highest human and murine microsomal stability, we selected the fluorinated amine 2d as the starting material for further SAR studies, keeping constant the left-hand side of the molecule and modifying the RHS. First, we replaced the isopropylsulfonyl group of 6c by a benzyl unit, leading to 6h. Unfortunately, this change led to a reduction in the potency and, once again, no improvement over the stabilities of the C-methyl analog, 6g, was observed.
Next, we explored the series of N-aryl derivatives 10a–d (Scheme 2). All these compounds were endowed with sub-nanomolar potency against human and murine sEH, and, interestingly, benzoic acid 10c emerged as a better compound, with improved microsomal stabilities at human and mice. Finally, we synthesized the chlorinated analog 10e, another potent sEH inhibitor, but with lower microsomal stabilities than 10c (Table 1).
2.3. Cytotoxicity and Anti-Inflammatory Properties of 10c
Taking into account the high potency and improved microsomal stability of 10c, we evaluated its cytotoxicity in SH-SY5Y neuroblastoma cells by propidium iodide (PI) staining after 24 h of incubation. Neither 10c nor the well-known sEHI TPPU [] showed cytotoxicity at the highest concentration tested (100 µM). Namely, the calculated percentages of cell death were similar to that of the control treatment (vehicle: DMSO 0.1%) for both tested compounds, 10c and TPPU (n = 10–12).
It is well known that the pro-inflammatory agent lipopolysaccharide (LPS), a component of the bacterial wall, induces a phenotypic change in the macrophages and in the brain microglia, the main players of the innate immune system. These cells become reactive to fight the infection and show increased phagocytic activity, release of oxygen species and release of inflammatory mediators, including nitric oxide, pro-inflammatory cytokines, and eicosanoids. However, dysregulation in the immune response with age and infections may result in age-related ailments and progressive neurodegeneration []. Of note, nitric oxide is a key signaling molecule, which increased generation by the inducible nitric oxide synthase (iNOS) enzyme may initiate deleterious inflammatory processes [].
In order to evaluate the ability of the selected 10c in inhibiting the nitric oxide generation by activated glial cells [] we used microglial BV2 cells activated with LPS. As shown in Figure 3, treatment with LPS led to an increased release of nitric oxide as indicated by the analysis of nitrite levels in the conditioned media. Gratifyingly, co-incubation with 10c completely inhibited the pro-inflammatory effects of LPS. Statistical comparison of means showed that 10c at 50 µM or 100 µM reduced nitric oxide generation to levels indistinguishable from control levels despite the presence of LPS. In contrast, the reference compound TPPU was less effective and only partially inhibited LPS effects. TPPU at 100 µM reduced the nitric oxide release induced by LPS to approximately 50%, which was significantly higher than control wells. Notably, the statistical comparison of nitrite levels between both sEHI compounds showed significantly higher protection by 10c than TPPU against inflammatory cell injury by 1 µg/mL of LPS.
Figure 3.
Anti-inflammatory effects of 10c in activated BV2 microglial cells. Nitrite levels in the culture media, that indicate nitric oxide generation induced by LPS, were decreased to cell resting levels by co-incubation with 10c. However, TPPU was less effective and lead to a partial decrease. Values are mean ±SEM of n = 10–15. Statistics: * p < 0.001 compared to the corresponding control group without LPS; # p < 0.001 compared to the corresponding LPS group without anti-inflammatory agents; $ p < 0.001 compared to the corresponding LPS concentration treated with 10c.
3. Materials and Methods
3.1. Chemical Synthesis
3.1.1. General Methods
Commercially available reagents and solvents were used without further purification unless stated otherwise. Preparative normal phase chromatography was performed on a CombiFlash Rf 150 (Teledyne Isco) with pre-packed RediSep Rf silica gel cartridges. Thin-layer chromatography was performed with aluminum-backed sheets with silica gel 60 F254 (Merck, ref 1.05554), and spots were visualized with UV light and 1% aqueous solution of KMnO4. Melting points were determined in open capillary tubes with an MFB 595010M Gallenkamp. Next, 400 MHz 1H and 100.6 MHz 13C NMR spectra were recorded on a Varian Mercury 400 or on a Bruker 400 Avance III spectrometers. The chemical shifts are reported in ppm (δ scale) relative to internal tetramethylsilane, and coupling constants are reported in Hertz (Hz). Assignments given for the NMR spectra of selected new compounds have been carried out on the basis of DEPT, COSY 1H/1H (standard procedures), and COSY 1H/13C (gHSQC and gHMBC sequences) experiments. IR spectra were run on Perkin-Elmer Spectrum RX I, Perkin-Elmer Spectrum TWO or Nicolet Avatar 320 FT-IR spectrophotometers. Absorption values are expressed as wavenumbers (cm−1); only significant absorption bands are given. High-resolution mass spectrometry (HRMS) analyses were performed with an LC/MSD TOF Agilent Technologies spectrometer. The elemental analyses were carried out in a Flash 1112 series Thermofinnigan elemental microanalyzer (A5) to determine C, H and N. The structure of all new compounds was confirmed by elemental analysis and/or accurate mass measurement, IR, 1H NMR, and 13C NMR (check them in Supplementary Materials). The analytical samples of all the new compounds, which were subjected to pharmacological evaluation, possessed purity ≥95% as evidenced by their elemental analyses.
3.1.2. Synthesis of t-Butyl 4-(2-((9-Methyl-5,6,8,9,10,11-hexahydro-7H-5,9:7,11-dimethanobenzo[9]annulen-7-yl)amino)-2-oxoethyl)piperidine-1-carboxylate, 4a
To a suspension of 9-methyl-5,6,8,9,10,11-hexahydro-7H-5,9:7,11-dimethanobenzo[9]annulen-7-amine hydrochloride (500 mg, 1.89 mmol), 2a, in EtOAc (5 mL), 2-(1-(t-butoxycarbonyl)piperidin-4-yl)acetic acid (461 mg, 1.89 mmol), 3, HOBt (384 mg, 2.84 mmol), EDC·HCl (440 mg, 2.84 mmol), and Et3N (767 mg, 7.58 mmol) were added. The mixture was stirred at room temperature for 24 h. Water (10 mL) and DCM (20 mL) were added to the resulting suspension and the two phases were separated. The organic phase was washed with sat. NaHCO3 aqueous solution (10 mL), brine (10 mL), 2N HCl solution (10 mL) and 2N NaOH (10 mL), dried over anh. Na2SO4, filtered, and concentrated under vacuum to give 4a as a yellow solid (515 mg, 60% yield). 1H-NMR (400 MHz, CDCl3) δ: 0.92 (s, 3 H), 1.11 (dq, J = 4.4 Hz, J’ = 11.6 Hz, 2 H), 1.4 (s, 9 H), 1.54 (d, J = 13.6 Hz, 2 H), 1.63–1.68 (complex signal, 4 H), 1.84 (s, 2 H), 1.91 (m, 1 H), 1.97 (s, 2 H), 2.0 (d, J = 12.8 Hz, 2 H), 2.14–2.18 (complex signal, 2 H), 2.69 (t, J = 13.2 Hz, 2 H), 3.06 (t, J = 6 Hz, 2 H), 4.06 (broad signal, 2 H), 5.14 (s, 1 H), 7.02–7.08 (complex signal, 4 H).
3.1.3. Synthesis of N-(9-Methyl-5,6,8,9,10,11-hexahydro-7H-5,9:7,11-dimethanobenzo[9]annulen-7-yl)-2-(piperidin-4-yl)acetamide, 5a
To a solution of 4a (250 mg, 0.55 mmol) in DCM (4 mL) was added 4M HCl in 1,4-dioxane (0.5 mL). The reaction mixture was stirred at room temperature for 3 days. Then, the solvent was evaporated under vacuum and the residue was dissolved in DCM (10 mL) and washed with 5N NaOH solution, dried over anh. Na2SO4, filtered, and concentrated under vacuum to give 5a as a yellow solid (189 mg, 97% yield). 1H-NMR (400 MHz, CDCl3) δ: 0.91 (s, 3 H), 1.12 (dq, J = 4 Hz, J’ = 12.0 Hz, 2 H), 1.53 (d, J = 13.2 Hz, 2 H), 1.62–1.71 (complex signal, 4 H), 1.84 (s, 2 H), 1.88 (m, 1 H), 1.95–2.01 (complex signal, 4 H), 2.14–2.19 (complex signal, 2 H), 2.6 (dt, J = 2.8 Hz, J’ = 12.0 Hz, 2 H), 3.00–3.07 (complex signal, 4 H), 5.15 (s, 1 H), 7.02–7.09 (complex signal, 4 H).
3.1.4. Synthesis of N-(5,6,8,9,10,11-Hexahydro-7H-5,9:7,11-dimethanobenzo[9]annulen-7-yl)-2-(piperidin-4-yl)acetamide, 5b
To a suspension of 5,6,8,9,10,11-hexahydro-7H-5,9:7,11-dimethanobenzo[9]annulen-7-amine (90 mg, 0.42 mmol) 2b, in DMF (2 mL), 2-(1-(t-butoxycarbonyl)piperidin-4-yl)acetic acid (123 mg, 0.51 mmol), 3, HATU (239 mg, 0.63 mmol), and DIPEA (162 mg, 1.26 mmol) were added. The mixture was stirred at room temperature for 24 h. Solvent was concentrated in vacuo and EtOAc (10 mL) was added. The mixture was washed with NaHCO3 sat. (2 × 30 mL). The organic phase was dried over anh. Na2SO4, filtered, and concentrated under vacuum to give carbamate 4b (185 mg) as a yellow gum that was used as such without further purification. HCl 4 M in dioxane (2 mL) and dioxane (2 mL) were added to the previous gum of 4b and the mixture was stirred at room temperature for 2 h. Na2CO3 sat. was added until pH = 12 followed by EtOAc (15 mL) and the mixture was partitioned. The aqueous layer was extracted with EtOAc/MeOH 9/1 (2 × 10 mL). All organic phases were joined, dried over anh. Na2SO4, filtered, and concentrated under vacuum. The resulting crude was purified by column chromatography in silica gel (SiO2, DCM/Methanol mixtures) and gave 5b as an orangish solid (108 mg, 72% overall yield), mp 185–186 °C. IR (ATR) v: 3301, 2907, 2855, 2349, 1653, 1556, 1450, 1356, 1320, 1280, 1137, 1046, 951, 929, 794, 765, 737, 660, 631, 616 cm−1. 1H-NMR (400 MHz, CD3OD) δ: 1.20 [m, 2 H, 3′′(5′′)-Hax], 1.63–1.77 [complex signal, 4 H, 10′(13′)-Hax, 3′′(5′′)-Heq], 1.83 (m, 1 H, 4′′-H), 1.98 [m, 2 H, 10′(13′)-Heq], 2.02 (d, J = 7.2 Hz, 2 H, 8′-H), 2.06 (m, 2 H, 2-H), 2.12–2.26 [complex signal, 4 H, 6′(12′)-H], 2.32 (m, 1 H, 9′-H), 2.59 [m, 2 H, 2′′(6′′)-Hax], 2.98–3.08 [complex signal, 4 H, 5′(11′)-H, 2′′(6′′)-Heq], 7.03 [s, 4 H, 1′(4′)-H, 2′(3′)-H]. 13C-NMR (100.6 MHz, CD3OD) δ: 32.6 (CH, C9′), 33.1 [CH2, C3′′(5′′)], 35.0 (CH, C4′′), 35.7 [CH2, C10′(13′)], 40.4 [CH2, C6′(12′)], 41.5 (CH2, C2), 42.6 [CH, C5′(11′)], 45.2 (CH2, C8′), 46.7 [CH2, 2′′(6′′)], 53.8 (C, C7′), 127.3 [CH, C2′(3′)], 129.0 [CH, C1′(4′)], 148.0 [C, C4a’(11a’)], 173.9 (C, CO). HRMS: Calcd for [C22H30N2O + H]+: 339.2438, found: 339.2431.
3.1.5. Synthesis of N-(5,6,8,9,10,11-Hexahydro-7H-5,9:7,11-dimethanobenzo[9]annulen-7-yl-9-d)-2-(piperidin-4-yl)acetamide, 5c
To a suspension of 5,6,8,9,10,11-hexahydro-7H-5,9:7,11-dimethanobenzo[9]annulen-9-d-7-amine (90 mg, 0.42 mmol), 2c, in DMF (2 mL), 2-(1-(t-butoxycarbonyl)piperidin-4-yl)acetic acid (123 mg, 0.51 mmol), 3, HATU (239 mg, 0.63 mmol), and DIPEA (162 mg, 1.26 mmol) were added. The mixture was stirred at room temperature for 24 h. Solvent was concentrated in vacuo and EtOAc (10 mL) was added. The mixture was washed with NaHCO3 sat. (2 x 30 mL). The organic phase was dried over anh. Na2SO4, filtered, and concentrated under vacuum to give 4c (185 mg) as a yellow gum that was used as such without further purification. HCl 4 M in dioxane (2 mL) and dioxane (2 mL) were added to the aforementioned gum of 4c (185 mg, 0.42 mmol), and the mixture was stirred at room temperature for 2 h. Na2CO3 sat. was added until pH = 12 followed by EtOAc (15 mL) and the mixture was partitioned. The aqueous layer was extracted with EtOAc/MeOH 9/1 (2 × 10 mL). All organic phases were joined, dried over anh. Na2SO4, filtered, and concentrated under vacuum. The resulting crude was purified by column chromatography in silica gel (SiO2, DCM/Methanol mixtures) and gave 5c as an orangish solid (129 mg, 90% yield), mp: 188–189 °C. IR (ATR) v: 3300, 2909, 2852, 2351, 1654, 1555, 1492, 1449, 1356, 1297, 1280, 1046, 928, 840, 794, 764, 737, 655, 616 cm−1. 1H-NMR (400 MHz, CD3OD) δ: 1.24 [m, 2 H, 3′′(5′′)-Hax], 1.69–1.76 [complex signal, 4 H, 10′(13′)-Hax, 3′′(5′′)-Heq], 1.86 (m, 1 H, 4′′-H), 1.99 [m, 2 H, 10′(13′)-Heq], 2.02–2.07 (complex signal, 4 H, 2-H, 8′-H), 2.19 [m, 4 H, 6′(12′)-H], 2.66 (dt, J = 12.6 Hz, J’ = 2.8 Hz, 2 H, 2′′(6′′)-Hax), 3.04 [m, 2 H, 5′(11′)-H], 3.09 [dt, J = 12.6 Hz, J’ = 2.8 Hz, 2 H, 2′′(6′′)-Heq], 7.03 [s, 4 H, 1′(4′)-H, 2′(3′)-H]. 13C-NMR (100.6 MHz, CD3OD) δ: 32.4 [CH2, C3′′(5′′)], 32.5 (m, CD, C9′), 34.5 (CH, C4′′), 35.6 [CH2, C10′(13′)], 40.4 [CH2, C6′(12′)], 41.4 (CH2, C2), 42.6 [CH, C5′(11′)], 44.9 (CH2, C8′), 46.4 [CH2, 2′′(6′′)], 53.8 (C, C7′), 127.3 [CH, C2′(3′)], 129.0 [CH, C1′(4′)], 148.0 [C, C4a’(11a’)], 173.7 (C, CO). HRMS: Calcd for [C22H29DN2O + H]+: 340.2494, found: 340.2500.
3.1.6. Synthesis of N-(9-Fluoro-5,6,8,9,10,11-hexahydro-7H-5,9:7,11-dimethanobenzo[9]annulen-7-yl)-2-(piperidin-4-yl)acetamide, 5d
To a suspension of 9-fluoro-5,6,8,9,10,11-hexahydro-7H-5,9:7,11-dimethanobenzo[9]annulen-7-amine hydrochloride (200 mg, 0.75 mmol), 2d, in DMF (3 mL), 2-(1-(t-butoxycarbonyl)piperidin-4-yl)acetic acid (218 mg, 0.90 mmol), HATU (430 mg, 1.13 mmol), and DIPEA (386 mg, 3.00 mmol) were added. The mixture was stirred at room temperature for 24 h. Solvent was concentrated in vacuo and EtOAc (15 mL) was added. The mixture was washed with NaHCO3 sat. (2 × 30 mL). The organic phase was dried over anh. Na2SO4, filtered, and concentrated under vacuum. The resulting crude of 4d was used as such without further purification. 1H-NMR (400 MHz, CDCl3) δ: 1.10 (m, 2 H), 1.44 (s, 9 H), 1.47 (s, 2 H), 1.66 (d, J = 13.5 Hz, 2 H), 1.87–2.05 (complex signal, 6 H), 2.09–2.24 (complex signal, 5 H), 2.27 (d, J = 6.2 Hz, 2 H), 2.68 (m, 2 H), 3.23 (m, 2 H), 5.23 (s, 1 H), 7.05–7.15 (complex signal, 4 H). HCl 4 M in dioxane (2 mL), and dioxane (2 mL) were added to 4d (341 mg, 0.75 mmol) and the mixture was stirred at room temperature for 4 h. Na2CO3 sat. was added until pH = 12 followed by EtOAc (20 mL) and the mixture was partitioned. The aqueous layer was extracted with EtOAc/MeOH 9/1 (2 × 15 mL). All organic phases were joined, dried over anh. Na2SO4, filtered, and concentrated under vacuum. The resulting crude was purified by column chromatography in silica gel (SiO2, DCM/Methanol/NH3 mixtures) and gave 5d as a yellowish solid (186 mg, 70% yield). 1H NMR (400 MHz, DMSO-d6) δ: 0.98 (m, 2 H), 1.50 (m, 2 H), 1.72 (m, 2 H), 1.90 (d, J = 7.2 Hz, 2 H), 1.98–2.02 (complex signal, 4 H), 2.06–2.13 (complex signal, 4 H), 2.39 (dm, J = 12.0 Hz, 2 H), 2.86 (dm, J = 12.0 Hz, 2 H), 3.21 (s, 2 H), 7.11 (s, 4 H), 7.61 (s, 1 H).
3.1.7. Synthesis of N-(9-Chloro-5,6,8,9,10,11-hexahydro-7H-5,9:7,11-dimethanobenzo[9]annulen-7-yl)-2-(piperidin-4-yl)acetamide Hydrochloride, 5e
To a suspension of 9-chloro-5,6,8,9,10,11-hexahydro-7H-5,9:7,11-dimethanobenzo[9]annulen-7-amine hydrochloride (178 mg, 0.63 mmol), 2e, in DMF (3 mL), 2-(1-(t-butoxycarbonyl)piperidin-4-yl)acetic acid (183 mg, 0.75 mmol), HATU (357 mg, 0.94 mmol), and DIPEA (326 mg, 2.52 mmol) were added. The mixture was stirred at room temperature for 6 h. Solvent was concentrated in vacuo and EtOAc (15 mL) was added. The mixture was washed with NaHCO3 sat. (2 × 30 mL). The organic phase was dried over anh. Na2SO4, filtered, and concentrated under vacuum. The resulting crude of 4e was used as such without further purification. 1H-NMR (400 MHz, CDCl3) δ: 1.44 (s, 9 H), 1.69 (m, 2 H), 1.91 (m, 1 H), 1.95–2.01 (complex signal, 4 H), 2.04 (s, 1 H), 2.12–2.32 (complex signal, 6 H), 2.38 (m, 2 H), 2.53 (s, 1 H), 2.70 (d, J = 12.1 Hz, 2 H), 3.17 (t, J = 6.5 Hz, 2 H), 4.07 (m, 2 H), 5.21 (s, 1 H), 7.04–7.15 (complex signal, 4 H). HCl 4 M in dioxane (2 mL) and dioxane (2 mL) were added to 4e (296 mg, 0.63 mmol) and the mixture was stirred at room temperature overnight. Saturated aqueous NaHCO3 solution (20 mL) was added followed by EtOAc (15 mL) and the mixture was partitioned. The aqueous phase was further extracted with EtOAc/MeOH 9/1 (2 × 15 mL). All organic phases were joined, dried over anh. Na2SO4, filtered, and solvents were concentrated under vacuum. The resulting crude was purified by column chromatography in silica gel (SiO2, DCM/MeOH/NH3 mixtures). Fractions containing the desired product were collected and concentrated in vacuo to afford a reddish solid. HCl 2 M in Et2O (5 mL) was added to form its hydrochloride, followed by filtration of the solid to afford 5e as an orange solid (84 mg, 33% yield), mp: > 300 °C. IR (ATR) v: 3300, 2937, 1655, 1557, 1493, 1450, 1357, 1298, 1280, 1206, 1089, 930, 793, 765, 632, 614 cm−1. 1H-NMR (400 MHz, CD3OD) δ: 1.47 [m, 2 H, 3′′(5′′)-Hax], 1.90 [d, J = 14.1 Hz, 2 H, 3′′(5′′)-Heq], 1.99–2.09 [complex signal, 5 H, 6′(12′)-Hax, 10′(13′)-Hax, 4′′-H], 2.14 (d, J = 7.2 Hz, 2 H, 2-H), 2.22 [dd, J = 13.2 Hz, J’ = 6.0 Hz, 2 H, 6′(12′)-Heq], 2.38 [dd, J = 13.2 Hz, J’ = 6.0 Hz, 2 H, 10′(13′)-Heq], 2.49 (s, 2 H, 8′-H), 2.97 [t, J = 12.5 Hz, 2 H, 2′′(6′′)-Hax], 3.18 [broad t, J = 6.2 Hz, 2 H, 5′(11′)-H], 3.36 [d, J = 12.4 Hz, 2 H, 2′′(6′′)-Heq], 7.03–7.14 [complex signal, 4 H, 1′(4′)-H, 2′(3′)-H]. 13C-NMR (100.6 MHz, CD3OD) δ: 29.5 [CH2, C3′′(5′′)], 32.7 (CH, C4′′), 38.9 [CH2, C6′(12′)], 42.5 [CH, C5′(11′)], 43.7 (CH2, C2), 45.1 [CH2, 2′′(6′′)], 45.9 [CH2, C10′(13′)], 50.9 (CH2, C8′), 57.6 (C, C7′), 70.2 (C, C9′), 127.9 [CH, C2′(3′)], 129.1 [CH, C1′(4′)], 146.1 [C, C4a’(11a’)], 173.1 (C, CO). Anal. Calcd for C22H29ClN2O · 1 HCl: C 64.54, H 7.39, N 6.84. Calcd for C22H29ClN2O · 2 HCl: C 59.27, H 7.01, N 6.28. Found: C 59.30, H 7.00, N 6.37. HRMS: Calcd for [C22H29ClN2O + H]+: 373.2041, found: 373.2047.
3.1.8. Synthesis of 2-(1-Acetylpiperidin-4-yl)-N-(9-methyl-5,6,8,9,10,11-hexahydro-7H-5,9:7,11-dimethanobenzo[9]annulen-7-yl)acetamide, 6a
To a solution of 5a (200 mg, 0.57 mmol) in anh. DCM (5 mL) under argon atmosphere was added anh. Et3N (69 mg, 0.68 mmol). The mixture was cooled down to 0°C and acetyl chloride (45 mg, 0.57 mmol) was added dropwise. Then, the reaction mixture was stirred at room temperature overnight and quenched by addition of 2N HCl solution (3 mL). The two phases were separated, and the aqueous layer was extracted with EtOAc (2 × 20 mL). The combined organic phases were washed with 2N NaOH solution, dried over anh. Na2SO4, filtered, and concentrated under vacuum. Column chromatography (SiO2, Hexane/EtOAc mixtures) gave 6a as a white solid (134 mg, 60% yield), mp 85–86 °C. IR (NaCl disk): 3315, 3060, 3017, 2916, 2860, 1631, 1544, 1493, 1450, 1361, 1304, 1273, 1241, 1197, 1165, 1138, 1096, 1048 cm−1. 1H-NMR (400 MHz, CDCl3) δ: 0.91 (s, 3 H, C9′′-CH3), 1.10 [m, 2 H, 3′(5′)-Hax], 1.53 [d, J = 13.6 Hz, 2 H, 10′′(13′′)-Hax], 1.65 [dm, J = 12.8 Hz, 10′′(13′′)-Heq], 1.71 (d, J = 12.8 Hz, 1 H, 5′-Heq or 3′-Heq), 1.76 (d, J = 12.4 Hz, 1 H, 3′-Heq or 5′-Heq), 1.83 (s, 2 H, 8′′-H), 1.96–2.04 [complex signal, 5 H, 2-H2, 4′-H, 6′′(12′′)-Hax], 2.06 (s, 3 H, COCH3), 2.15 [m, 2 H, 6′′(12′′)-Heq], 2.53 (t, J = 12.4 Hz, 1 H, 2′-Hax or 6′-Hax), 3.03 (m, 1 H, 6′-Hax or 2′-Hax), 3.08 [broad t, J = 6.0 Hz, 2 H, 5′′(11′′)-H], 3.76 (d, J = 13.6 Hz, 1 H, 6′-Heq or 2′-Heq), 4.58 (d, J = 13.2 Hz, 1 H, 2′-Heq or 6′-Heq), 5.25 (s, 1H, NH), 7.03 [m, 2 H, 1′′(4′′)-H], 7.06 [m, 2 H, 2′′(3′′)-H]. 13C-NMR (100.6 MHz, CDCl3) δ: 21.5 (CH3, COCH3), 31.6 (CH2, C5′ or C3′), 32.2 (CH3, C9-CH3), 32.4 (CH2, C3′ or C5′), 33.56 (C or CH, C9′′ or C4′), 33.57 (CH or C, C4′ or C9′′), 39.0 (CH2, C6′′ or C12′′), 39.1 (CH2, C12′′ or C6′′), 40.9 [CH, C5′′(11′′)], 41.1 [CH2, C10′′(13′′)], 41.7 (CH2, C2′ or C6′), 44.4 (CH2, C2), 46.5 (CH2, C6′ or C2′), 47.2 (CH2, C8′′), 54.7 (C, C7′′), 126.3 [CH, C2′′(3′′)], 128.0 [CH, C1′′(4′′)], 146.1 [C, C4a’’(11a’’)], 168.7 (C, COCH3), 170.4 (C, NHCO). Anal. Calcd for C25H34N2O2 · 0.5 H2O: C 74.41, H 8.74, N 6.94. Found: C 74.36, H 8.79, N 6.74. HRMS: Calcd for [C25H34N2O2 + H]+: 395.2693; Found: 395.2691.
3.1.9. Synthesis of 2-[1-(Isopropylsulfonyl)piperidin-4-yl]-N-(9-methyl-5,6,8,9,10,11-hexahydro-7H-5,9:7,11-dimethanobenzo[9]annulen-7-yl)acetamide, 6b
To a solution of 5a (185 mg, 0.52 mmol) in DCM (5 mL) was added Et3N (63 mg, 0.63 mmol). The mixture was cooled down to 0 °C and propane-2-sulfonyl chloride (74 mg, 0.52 mmol) was added dropwise. Then, the reaction mixture was stirred at room temperature overnight and quenched by an addition of 2N HCl solution (3 mL). The two phases were separated, and the aqueous phase was extracted with EtOAc (2 × 20 mL). The combined organic phases were washed with 5N NaOH solution, dried over anh. Na2SO4, filtered, and concentrated under vacuum to give a yellow solid. Column chromatography (SiO2, Hexane/EtOAc mixtures) gave 6b as a white solid (145 mg, 60% yield). The analytical sample was obtained by crystallization from hot EtOAc, mp 172 -173 °C. IR (NaCl disk): 3365, 3319, 3059, 3018, 2916, 2852, 1648, 1536, 1493, 1452, 1361, 1323, 1309, 1265, 1190, 1167, 1138, 1091, 1044, 1011, 993, 945, 905, 881, 801, 759, 732, 702, 665 cm−1. 1H-NMR (400 MHz, CDCl3) δ: 0.91 (s, 3 H, C9′′-CH3), 1.25 [dq, J = 12.0 Hz, J’ = 4.0 Hz, 2 H, 3′(5′)-Hax], 1.31 [d, J = 6.8 Hz, 6 H, CH(CH3)2], 1.53 [d, J = 13.6 Hz, 2 H, 10′′(13′′)-Hax], 1.65 [dm, J = 13.6 Hz, 2 H, 10′′(13′′)-Heq], 1.74 [dm, J = 12.0 Hz, 2 H, 3′(5′)-Heq], 1.82 (s, 2 H, 8′′-H2), 1.93 (m, 1 H, 4′-H), 1.97–2.04 [complex signal, 4 H, 2-H2, 6′′(12′′)-Hax], 2.15 [dd, J = 11.6 Hz, J’ = 6.0 Hz, 6′′(12′′)-Heq], 2.85 [dt, J = 12.4 Hz, J’ = 2.4 Hz, 2 H, 2′(6′)-Hax], 3.06 [t, J = 6.0 Hz, 2 H, 5′′(11′′)-H], 3.15 [hept, J = 6.8 Hz, 1 H, CH(CH3)2], 3.80 [dt, J = 12.8 Hz, J’ = 2.0 Hz, 2 H, 2′(6′)-Heq], 5.22 (s, 1 H, NH), 7.03 [m, 2 H, 1′′(4′′)-H], 7.07 [m, 2 H, 2′′(3′′)-H]. 13C-NMR (100.6 MHz, CDCl3) δ: 16.8 [CH3, CH(CH3)2], 32.2 (CH3, C9-CH3), 32.3 [CH2, C3′(5′)], 33.1 (CH, C4′), 33.6 (C, C9′′), 39.1 [CH2, C6′′(12′′)], 41.0 [CH, C5′′(11′′)], 41.1 [CH2, C10′′(13′′)], 44.4 (CH2, C2), 46.5 [CH2, C2′(6′)], 47.2 (CH2, C8′′), 53.2 [CH, CH(CH3)2], 54.7 (C, C7′′), 126.3 [CH, C2′′(3′′)], 128.0 [CH, C1′′(4′′)], 146.1 [C, C4a’’(11a’’)], 170.3 (C, CO). Anal. Calcd for C26H38N2O3S: C 68.09, H 8.35, N 6.11. Found: C 67.75 H 8.62, N 5.74. HRMS: Calcd for [C26H38N2O3S + H]+: 459.2676; Found: 459.2675.
3.1.10. Synthesis of N-(9-Fluoro-5,6,8,9,10,11-hexahydro-7H-5,9:7,11-dimethanobenzo[9]annulen-7-yl)-2-(1-(isopropylsulfonyl)piperidin-4-yl)acetamide, 6c
To a solution of 5d (186 mg, 0.52 mmol) and triethylamine (63 mg, 0.63 mmol) in anh. DCM (2 mL) was added 2-propanesulfonyl chloride (89 mg, 0.63 mmol). Then, the mixture was stirred at room temperature for 24 h. NaHCO3 sat. (15 mL) was added followed by EtOAc (15 mL) and the mixture was partitioned. The aqueous layer was extracted again with EtOAc (2 x 15 mL). Both organic phases were joined, dried over Na2SO4 anh., filtered, and solvents were concentrated under vacuum. The resulting crude was purified by column chromatography in silica gel (SiO2, Hexane/EtOAc mixtures) and gave 6c as a white solid (123 mg, 51% yield), mp: 192–193 °C. IR (ATR) v: 3342, 2914, 2855, 1663, 1536, 1449, 1316, 1138, 1045, 1017, 998, 953, 940, 865, 761, 753, 732, 652 cm−1. 1H-NMR (400 MHz, CDCl3) δ: 1.24 [m, 2 H, 3′′(5′′)-Hax], 1.31 [d, J = 6.9 Hz, 6 H, 2′′′(3′′′)-H], 1.73 [m, 2 H, 3′′(5′′)-Heq], 1.88–2.04 [complex signal, 7 H, 2-H, 6′(12′)-Hax, 10′(13′)-Hax, 4′′-H], 2.10–2.23 [complex signal, 4 H, 6′(12′)-Heq, 10′(13′)-Heq], 2.26 (d, J = 6.3 Hz, 2 H, 8′-H), 2.85 [m, 2 H, 2′′(6′′)-Hax], 3.14 (hept, J = 6.9 Hz, 1 H, 1′′′-H), 3.23 [m, 2 H, 5′(11′)-H], 3.80 [m, 2 H, 2′′(6′′)-Heq], 5.42 (broad s, 1 H, NH), 7.07 [m, 2 H, 1′(4′)-H], 7.13 [m, 2 H, 2′(3′)-H]. 13C-NMR (100.6 MHz, CDCl3) δ: 16.9 [CH3, C2′′′(3′′′)], 32.4 [CH2, C3′′(5′′)], 33.2 (CH, C4′′), 38.7 [CH2, C6′(12′)], 39.6 [d, 3JCF = 13.3 Hz, CH, C5′(11′)], 40.2 [d, 2JCF = 20.2 Hz, CH2, C10′(13′)], 44.3 (CH2, C2), 46.1 (d, 2JCF = 18.5 Hz, CH2, C8′), 46.7 [CH2, C2′′(6′′)], 53.4 (CH, C1′′′), 58.0 (d, 3JCF = 11.4 Hz, C, C7′), 94.2 (d, 1JCF = 177.6 Hz, C, C9′), 127.1 [CH, C2′(3′)], 128.3 [CH, C1′(4′)], 144.8 [C, C4a(11a)], 170.6 (C, CO). 19F-NMR (376 MHz, CDCl3) δ: −124.92 (m, 1 F). Anal. Calcd for C25H35FN2O3S: C 64.91, H 7.63, N 6.06. Found: C 65.08, H 7.97, N 5.74. HRMS: Calcd for [C25H35FN2O3S + H]+: 463.2425, found: 463.2425.
3.1.11. Synthesis of N-(9-Chloro-5,6,8,9,10,11-hexahydro-7H-5,9:7,11-dimethanobenzo[9]annulen-7-yl)-2-(1-(isopropylsulfonyl)piperidin-4-yl)acetamide, 6d
To a solution of 5d (75 mg, 0.18 mmol) and triethylamine (73 mg, 0.72 mmol) in anh. DCM (2 mL) was added 2-propanesulfonyl chloride (39 mg, 0.27 mmol). Then, the mixture was stirred at room temperature for 24 h. NaHCO3 sat. (15 mL) was added followed by EtOAc (10 mL) and the mixture was partitioned. The aqueous layer was extracted again with EtOAc (2 × 10 mL). Both organic phases were joined, dried over Na2SO4 anh., filtered, and solvents were concentrated under vacuum. The resulting crude was purified by column chromatography in silica gel (SiO2, Hexane/EtOAc mixtures) and gave 6d as a reddish solid (37 mg, 40% yield), mp: 163–164 °C. IR (ATR) v: 3305, 2922, 2906, 2858, 1643, 1548, 1356, 1321, 1276, 1196, 1138, 1058, 1047, 952, 935, 799, 764, 738, 658 cm−1. 1H-NMR (400 MHz, CD3OD) δ: 1.22 [m, 2 H, 3′′(5′′)-Hax], 1.29 [d, J = 6.8 Hz, 6 H, 2′′′(3′′′)-H], 1.72 [m, 2 H, 3′′(5′′)-Heq], 1.88 (m, 1 H, 4-H’’), 2.02–2.12 [complex signal, 6 H, 2-H, 6′(12′)-Hax, 10′(13′)-Hax], 2.22 [m, 2 H, 6′(12′)-Heq], 2.40 [m, 2 H, 10′(13′)-Heq], 2.48 (s, 2 H, 8′-H), 2.90 [m, 2 H, 2′′(6′′)-Hax], 3.19 [m, 2 H, 5′(11′)-H], 3.28 (hept, J = 6.9 Hz, 1 H, 1′′′-H), 3.76 [m, 2 H, 2′′(6′′)-Heq], 7.05–7.14 [complex signal, 4 H, 1′(4′), 2′(3′)-H]. 13C NMR (100.6 MHz, CD3OD) δ: 17.0 [CH3, C2′′′(3′′′)], 33.3 [CH2, C3′′(5′′)], 34.6 (CH, C4′′), 38.9 [CH2, C6′(12′)], 42.6 [CH, C5′(11′)], 44.4 (CH2, C2), 45.9 [CH2, C10′(13′)], 47.4 [CH2, C2′′(6′′)], 51.0 (CH2, C8′), 54.0 (CH, C1′′′), 57.6 (C, C7′), 70.3 (C, C9′), 128.0 [CH, C2′(3′)], 129.1 [CH, C1′(4′)], 146.2 [C, C4a(11a)], 173.8 (C, CO). Anal. Calcd for C25H35ClN2O3S: C 62.68, H 7.36, N 5.85. Found: C 62.63, H 7.31, N 5.68. HRMS: Calcd for [C25H35ClN2O3S + H]+: 479.2130, found: 479.2143.
3.1.12. Synthesis of N-(5,6,8,9,10,11-Hexahydro-7H-5,9:7,11-dimethanobenzo[9]annulen-7-yl)-2-(1-(isopropylsulfonyl)piperidin-4-yl)acetamide, 6e
To a solution of 5b (90 mg, 0.27 mmol) and triethylamine (109 mg, 1.08 mmol) in anh. acetonitrile (2 mL) was added 2-propanesulfonyl chloride (76 mg, 0.53 mmol). Then, the mixture was stirred at room temperature for 24 h. NaHCO3 sat. (10 mL) was added followed by EtOAc (10 mL) and the mixture was partitioned. The aqueous phase was extracted again with EtOAc (10 mL). Both organic phases were joined, dried over anh. Na2SO4, filtered, and concentrated under vacuum. The resulting crude was purified by column chromatography in silica gel (SiO2, Hexane/EtOAc mixtures) and gave 6e as a white solid (68 mg, 55% yield), mp: 136–137 °C. IR (ATR) v: 3301, 2922, 2858, 1642, 1548, 1355, 1320, 1276, 1195, 1137, 1047, 951, 935, 799, 764, 738, 684, 657, 618 cm−1. 1H-NMR (400 MHz, CD3OD) δ: 1.24 [m, 2 H, 3′′(5′′)-Hax], 1.29 [d, J = 6.9 Hz, 6 H, 2′′′(3′′′)-H], 1.68–1.77 [complex signal, 4 H, 10′(13′)-Hax, 3′′(5′′)-Heq], 1.86 (m, 1 H, 4′′-H), 2.00 [m, 2 H, 10′(13′)-Heq], 2.02–2.09 (complex signal, 4 H, 2-H, 8′-H), 2.16 [m, 2 H, 6′(12′)-Hax], 2.23 [m, 2 H, 6′(12′)-Heq], 2.32 (m, 1 H, 9′-H), 2.90 [m, 2 H, 2′′(6′′)-Hax], 3.04 [m, 2 H, 5′(11′)-H], 3.26 (hept, J = 6.9 Hz, 1 H, 1′′′-H), 3.76 [m, 2 H, 2′′(6′′)-Heq], 7.03 [s, 4 H, 1′(4′)-H, 2′(3′)-H]. 13C-NMR (100.6 MHz, CD3OD) δ: 17.0 [CH3, C2′′′(3′′′)], 32.6 (CH, C9′), 33.3 [CH2, C3′′(5′′)], 34.6 (CH, C4′′), 35.7 [CH2, C10′(13′)], 40.4 [CH2, C6′(12′)], 41.4 (CH2, C2), 42.6 [CH, C5′(11′)], 44.5 (CH2, C8′), 47.4 [CH2, 2′′(6′′)], 53.9 (CH, 1′′′C), 54.0 (C, C7′), 127.3 [CH, C2′(3′)], 129.0 [CH, C1′(4′)], 148.0 [C, C4a’(11a’)], 173.6 (C, CO). Anal. Calcd for C25H36N2O3S: C 67.53, H 8.16, N 6.30. Calcd for C25H36N2O3S · 0.2 H2O: C 66.99, H 8.19, N 6.25. Found: C 67.04, H 8.12, N 6.09. HRMS: Calcd for [C25H36N2O3S + H]+: 445.2528, found: 445.2519.
3.1.13. Synthesis of N-(5,6,8,9,10,11-Hexahydro-7H-5,9:7,11-dimethanobenzo[9]annulen-7-yl-9-d)-2-(1-(isopropylsulfonyl)piperidin-4-yl)acetamide, 6f
To a solution of 5c (111 mg, 0.33 mmol) and triethylamine (134 mg, 1.32 mmol) in anh. Acetonitrile (2 mL) was added 2-propanesulfonyl chloride (93 mg, 0.65 mmol). Then, the mixture was stirred at room temperature for 24 h. NaHCO3 sat. (20 mL) was added followed by EtOAc (15 mL) and the mixture was partitioned. The aqueous layer was extracted again with EtOAc (15 mL). Both organic phases were joined, dried over Na2SO4 anh., filtered, and solvents were concentrated under vacuum. The resulting crude was purified by column chromatography in silica gel (SiO2, Hexane/EtOAc mixtures) and gave 6f as a white solid (97 mg, 63% yield), mp: 138–139 °C. IR (ATR) v: 3299, 2922, 2857, 1643, 1549, 1321, 1276, 1138, 1047, 952, 934, 764, 738, 656 cm−1. 1H-NMR (400 MHz, CD3OD) δ: 1.22 [m, 2 H, 3′′(5′′)-Hax], 1.29 [d, J = 6.9 Hz, 6 H, 2′′′(3′′′)-H], 1.68–1.76 [complex signal, 4 H, 10′(13′)-Hax, 3′′(5′′)-Heq], 1.86 (m, 1 H, 4′′-H), 1.99 [m, 2 H, 10′(13′)-Heq], 2.03–2.08 (complex signal, 4 H, 2-H, 8′-H), 2.16 [m, 2 H, 6′(12′)-Hax], 2.23 [m, 2 H, 6′(12′)-Heq], 2.89 [m, 2 H, 2′′(6′′)-Hax], 3.03 [m, 2 H, 5′(11′)-H], 3.25 (hept, J = 6.9 Hz, 1 H, 1′′′-H), 3.76 [m, 2 H, 2′′(6′′)-Heq], 7.03 [s, 4 H, 1′(4′)-H, 2′(3′)-H]. 13C-NMR (100.6 MHz, CD3OD) δ: 17.0 [CH3, C2′′′(3′′′)], 32.1 (CD, C9′), 33.3 [CH2, C3′′(5′′)], 34.6 (CH, C4′′), 35.6 [CH2, C10′(13′)], 40.4 [CH2, C6′(12′)], 41.3 (CH2, C2), 42.6 [CH, C5′(11′)], 44.5 (CH2, C8′), 47.4 [CH2, 2′′(6′′)], 53.9 (CH, 1′′′C), 54.0 (C, C7′), 127.3 [CH, C2′(3′)], 129.0 [CH, C1′(4′)], 148.0 [C, C4a’(11a’)], 173.6 (C, CO). Anal. Calcd for C25H35DN2O3S: C 67.38, H 8.37, N 6.29. Calcd for C25H35DN2O3S · 0.3 H2O: C 66.58, H 7.96, N 6.21. Found: C 66.68, H 8.05, N 6.10. HRMS: Calcd for [C25H35DN2O3S + H]+: 446.2582, found: 446.2589.
3.1.14. Synthesis of 2-(1-Benzylpiperidin-4-yl)-N-(9-methyl-5,6,8,9,10,11-hexahydro-7H-5,9:7,11-dimethanobenzo[9]annulen-7-yl)acetamide, 6g
To a suspension of 9-methyl-5,6,8,9,10,11-hexahydro-7H-5,9:7,11-dimethanobenzo[9]annulen-7-amine hydrochloride (250 mg, 0.95 mmol), 2a, in EtOAc (5 mL), 2-(1-benzylpiperidin-4-yl)acetic acid hydrochloride (255 mg, 0.95 mmol), 7, HOBt (192 mg, 1.42 mmol), EDC·HCl (220 mg, 1.42 mmol) and Et3N (480 mg, 4.74 mmol) were added. The mixture was stirred at room temperature for 24 h. Water (10 mL) and DCM (10 mL) were added to the resulting suspension and the 2 phases were separated. The organic phase was washed with sat. NaHCO3 aqueous solution (10 mL), brine (10 mL), dried over anh. Na2SO4, filtered, and concentrated under vacuum to give a yellow gum (479 mg). Column chromatography (SiO2, DCM/Methanol mixtures) gave 6g as a white solid (280 mg, 67% yield). The analytical sample was obtained by crystallization from hot EtOAc and Et2O, mp 145–146 °C. IR (NaCl disk): 3302, 3060, 3025, 2917, 2842, 2799, 2756, 1641, 1545, 1493, 1452, 1361, 1343, 1309, 1279, 1211, 1185, 1144, 1078, 1009, 974, 944, 917, 794, 757, 737, 698 cm−1. 1H-NMR (400 MHz, CDCl3) δ: 0.91 (s, 3 H, C9′′-CH3), 1.27 [dq, J = 12.4 Hz, J’ = 3.6 Hz, 2 H, 3′(5′)-Hax], 1.53 [d, J = 13.2 Hz, 2 H, 10′′(13′′)-Hax], 1.62–1.70 [complex signal, 4 H, 3′(5′)-Heq, 10′’(13′’)-Heq], 1.77 (m, 1 H, 4′-H), 1.84 (s, 2 H, 8′′-H), 1.94–2.02 (complex signal, 6 H, 6′′(12′′)-Hax, 2-H, 6′(2′)-Hax], 2.16 [dd, J = 12 Hz, J’ = 6 Hz, 6′′(12′′)-Heq], 2.86 [dt, J = 11.6 Hz, J’ = 2.8 Hz, 2 H, 2′(6′)-Heq], 3.06 [t, J = 6 Hz, 2 H, 5′′(11′′)-H], 3.48 (s, 2 H, CH2-C6H5), 5.20 (s, 1 H, NH), 7.03 [m, 2 H, 1′′(4′′)-H], 7.06 [m, 2 H, 2′′(3′′)-H], 7.23 (m, 1 H, 4′′′-H), 7.27–7.32 [complex signal, 4 H, 2′′′(6′′′)-H, 3′′′(5′′′)-H]. 13C-NMR (100.6 MHz, CDCl3) δ: 32.0 [CH2, C3′(5′)], 32.2 (CH3, C9′′-CH3), 33.4 (C, C9′′), 33.5 (CH, C4′), 39.1 [CH2, C6′′(12′′)], 40.9 [CH, C5′′(11′′)], 41.1 [CH2, C10′′(13′′)], 44.9 (CH2, C2), 47.1 (CH2, C8′′), 53.5 (CH2, C2′(6′)], 54.4 (C, C7′′), 63.3 (CH2, CH2-C6H5), 126.2 [CH, C2′′(3′′)], 126.9 (CH, Ar-CHpara), 127.9 [CH, C1′′(4′′)], 128.1 [CH, C3′′′(5′′′)], 129.2 [CH, C2′′′(6′′′)], 138.3 (C, Ar-Cipso), 146.1 [C, C4a’’(11a’’)], 171.0 (C, NHCO). HRMS: Calcd for [C30H38N2O + H]+: 443.3057; Found: 443.3061.
3.1.15. Synthesis of 2-(1-Benzylpiperidin-4-yl)-N-(9-fluoro-5,6,8,9,10,11-hexahydro-7H-5,9:7,11-dimethanobenzo[9]annulen-7-yl)acetamide, 6h
To a solution of 9-fluoro-5,6,8,9,10,11-hexahydro-7H-5,9:7,11-dimethanobenzo[9]annulen-7-amine (71 mg, 0.31 mmol), 2d, in DMF (2 mL), 2-(1-benzylpiperidin-4-yl)acetic acid hydrochloride (100 mg, 0.37 mmol), 7, HATU (176 mg, 0.46 mmol), and DIPEA (119 mg, 0.92 mmol) were added. The mixture was stirred at room temperature for 24 h. Solvent was concentrated in vacuo and EtOAc (10 mL) was added. The mixture was washed with NaHCO3 sat. (2 × 20 mL). The organic phase was dried over anh. Na2SO4, filtered, and concentrated under vacuum. The resulting crude was purified by column chromatography in silica gel (SiO2, DCM/MeOH mixtures) and gave 6h as a brown solid (72 mg, 52% yield), mp: 164–165 °C IR (ATR) v: 3317, 2938, 2857, 2808, 2766, 1637, 1548, 1447, 1423, 1360, 1317, 1281, 1135, 1068, 1000, 974, 864, 840, 764, 733, 697, 663, 643, 571, 592 cm−1. 1H-NMR (400 MHz, CD3OD) δ: 1.30 [m, 2 H, 3′′(5′′)-Hax], 1.68 [dm, J = 12.7 Hz, 2 H, 3′′(5′′)-Heq], 1.74 (m, 1 H, 4′′-H), 1.81 [broad d, J = 12.8 Hz, 2 H, 10′(13′)-Hax], 2.04 (d, J = 7.1 Hz, 2 H, 2-H), 2.06–2.17 [complex signal, 8 H, 6′(12′)-H2, 10′(13′)-Heq, 2′′(6′′)-Hax], 2.19 (d, 2JHF = 6.5 Hz, 2 H, 8′-H2), 2.94 [broad d, J = 12.1 Hz, 2 H, 2′′(6′′)-Heq], 3.23 [broad s, 2 H, 5′(11′)-H], 3.57 (s, 2 H, CH2-C6H5), 7.06–7.10 [complex signal, 4 H, 1′(4′)-H, 2′(3′)-H], 7.28 (m, 1 H, 4′′′-H), 7.31–7.36 [complex signal, 4 H, 2′′′(6′′′)-H, 3′′′(5′′′)-H]. 13C-NMR (100.6 MHz, CD3OD) δ: 32.2 [CH2, C3′′(5′′)], 34.5 (CH, C4′′), 39.3 [CH2, C6′(12′)], 41.0 [d, 3JCF = 13.1 Hz, CH, C5′(11′)], 41.4 [d, 2JCF = 20.1 Hz, CH2, C10′(13′)], 44.5 (CH2, C2), 46.9 (d, 2JCF = 18.3 Hz, CH2, C8′), 54.4 [CH2, C2′′(6′′)], 58.8 (d, 3JCF = 11.2 Hz, C, C7′), 64.1 (CH2, CH2-C6H5), 94.7 (d, 1JCF = 177.1 Hz, C, C9′), 127.9 [CH, C2′(3′)], 128.7 (CH, C4′′′), 129.2 [CH, C1′(4′)], 129.4 [CH, C3′′′(5′′′)], 131.0 [CH, C2′′′(6′′′)], 137.5 (C, C1′′′), 146.3 [C, C4a(11a)], 174.1 (C, CONH). Anal. Calcd for C29H35FN2O: C 77.99, H 7.90, N 6.27; Calcd for C29H35FN2O · 0.6 H2O: C 76.15, H 7.98, N 6.12. Found: C 75.99, H 7.81, N 6.06. HRMS: Calcd for [C29H35FN2O + H]+: 447.2806, found: 447.2804.
3.1.16. Synthesis of 2-(1-(4-Acetylphenyl)piperidin-4-yl)acetic Acid, 9a
To a solution of 2-(piperidin-4-yl)acetic acid hydrochloride (200 mg, 1.11 mmol), 8, and 4′-fluoroacetophenone (163 µL, 185 mg, 1.34 mmol) in DMSO (3 mL) was added K2CO3 (612 mg, 4.44 mmol) and the mixture was stirred at 100 °C overnight. Water was added (20 mL) followed by HCl 1 M until pH = 4. The mixture was extracted with EtOAc (20 mL). The organic layer was washed again with water at pH = 4 (20 mL). Then, the organic layer was dried over anh. Na2SO4, filtered, and solvents were concentrated in vacuo to afford 9a as an orangish solid that was used as such without further purification (132 mg, 45% yield) []. 1H-NMR (400 MHz, CD3OD) δ: 1.34 (qd, J = 12.3 Hz, J’ = 4.0 Hz, 2 H), 1.86 (m, 2 H), 2.01 (m, 1 H), 2.26 (d, J = 7.1 Hz, 2 H), 2.49 (s, 3 H), 2.91 (td, J = 12.8 Hz, J’ = 2.6 Hz, 2 H), 3.98 (m, 2 H), 6.94 (d, J = 9.1 Hz, 2 H), 7.86 (d, J = 9.0 Hz, 2 H).
3.1.17. Synthesis of 2-(1-(4-Cyanophenyl)piperidin-4-yl)acetic Acid, 9b
To a solution of 2-(piperidin-4-yl)acetic acid hydrochloride (800 mg, 4.45 mmol), 8, and 4-fluorobenzonitrile (647 mg, 5.34 mmol) in DMSO (15 mL) was added K2CO3 (2.45 g, 17.76 mmol) and the mixture was stirred at 100 °C overnight. Water was added (50 mL) followed by HCl 1 M until pH = 4. The mixture was extracted with EtOAc (30 mL). The organic layer was washed again with water at pH = 4 (50 mL). Then, the organic layer was dried over anh. Na2SO4, filtered, and solvents were concentrated in vacuo to afford 9b as a beige solid that was used as such without further purification (708 mg, 65% yield) []. 1H-NMR (400 MHz, CD3OD) δ: 1.33 (qd, J = 12.7 Hz, J’ = 4.0 Hz, 2 H), 1.86 (m, 2 H), 2.00 (m, 1 H), 2.26 (d, J = 7.1 Hz, 2 H), 2.89 (td, J = 12.7 Hz, J’ = 2.6 Hz, 2 H), 3.94 (m, 2 H), 6.98 (d, J = 9.1 Hz, 2 H), 7.48 (d, J = 9.0 Hz, 2 H).
3.1.18. Synthesis of 2-(1-(4-(t-Butoxycarbonyl)phenyl)piperidin-4-yl)acetic Acid, 9c
To a solution of 2-(piperidin-4-yl)acetic acid hydrochloride (369 mg, 2.06 mmol), 8, and t-butyl 4-fluorobenzoate (443 mg, 2.26 mmol) in DMSO (8 mL) was added K2CO3 (1.14 g, 8.22 mmol) and the mixture was stirred at 130 °C for 48 h. Water was added (20 mL) followed by HCl 1 M until pH = 5. The mixture was extracted with EtOAc (20 mL). The organic layer was washed again with water at pH = 5 (20 mL). Then, the organic layer was dried over anh. Na2SO4, filtered, and solvents were concentrated under vacuum. The resulting crude was purified by column chromatography in silica gel (SiO2, Hexane/EtOAc mixtures) and gave 9c as a white solid (255 mg, 39% yield). 1H-NMR (400 MHz, CD3OD) δ: 1.40 (qd, J = 12.6 Hz, J’ = 4.0 Hz, 2 H), 1.57 (s, 9 H), 1.87 (d, J = 13.1 Hz, 2 H), 2.02 (m, 1 H), 2.33 (d, J = 7.0 Hz, 2 H), 2.86 (td, J = 12.4 Hz, J’ = 2.6 Hz, 2 H), 3.84 (d, J = 12.5 Hz, 2 H), 6.85 (d, J = 8.9 Hz, 2 H), 7.86 (d, J = 9.1 Hz, 2 H).
3.1.19. Synthesis of 2-(1-(2-Bromo-4-(methoxycarbonyl)phenyl)piperidin-4-yl)acetic Acid, 9d
To a solution of 2-(piperidin-4-yl)acetic acid hydrochloride (200 mg, 1.11 mmol), 8, and methyl 3-bromo-4-fluorobenzoate (311 mg, 1.34 mmol) in DMF (3 mL) was added K2CO3 (612 mg, 4.44 mmol) and the mixture was stirred at 100 °C for 24 h. Water was added (20 mL) followed by HCl 1 M until pH = 4. The mixture was extracted with EtOAc (20 mL). The organic layer was washed again with water at pH = 4 (20 mL). Then, the organic layer was dried over anh. Na2SO4, filtered, and solvents were concentrated under vacuum. The resulting crude was purified by column chromatography in silica gel (SiO2, DCM/MeOH mixtures) and gave 9d as a white solid (200 mg, 50% yield). 1H-NMR (400 MHz, CDCl3) δ: 1.51 (m, 2 H), 1.85 (d, J = 13.0 Hz, 3 H), 2.32 (d, J = 6.9 Hz, 2 H), 2.71 (t, J = 11.7 Hz, 2 H), 3.46 (d, J = 11.5 Hz, 2 H), 3.88 (s, 3 H), 7.01 (d, J = 8.5 Hz, 1 H), 7.91 (dd, J = 8.4 Hz, J’ = 2.0 Hz, 1 H), 8.21 (d, J = 2.0 Hz, 1 H).
3.1.20. Synthesis of 2-(1-(2-Cyclopropyl-4-(methoxycarbonyl)phenyl)piperidin-4-yl)acetic Acid, 9e
A suspension of 2-(1-(2-bromo-4-(methoxycarbonyl)phenyl)piperidin-4-yl)acetic acid (200 mg, 0.56 mmol), 9d, cyclopropylboronic acid (96 mg, 1.12 mmol) and K3PO4 (360 mg, 1.70 mmol) in dioxane (5 mL) was degassed bubbling with N2 for 10 min. Then, tetrakis(triphenylphosphine)palladium(0) (65 mg, 0.06 mmol) was added and the mixture was heated at 100 °C and stirred for 24 h. Water was added (20 mL) followed by HCl 1 M until pH = 4. The mixture was extracted with EtOAc (20 mL). The aqueous layer was extracted again with EtOAc (20 mL). Both organic layers were dried over anh. Na2SO4, filtered, and solvents were concentrated under vacuum. The resulting crude was purified by column chromatography in silica gel (SiO2, DCM/MeOH mixtures) and gave 9e as a green solid. 1H-NMR (400 MHz, CDCl3) δ: 0.79 [m, 2 H, 2′′′(3′′′)-Hax], 1.02 [m, 2 H, 2′′′(3′′′)-Heq], 1.52 [qd, J = 12.0 Hz, J’ = 3.8 Hz, 2 H, 3′(5′)-Hax], 1.89 [m, 2 H, 3′(5′)-Hax], 1.99 (m, 1 H, 4′-H), 2.13 (m, 1 H, 1′′′-H), 2.39 [d, J = 7.0 Hz, 2 H, 3′(5′)-Heq], 2.73 [td, J = 12.0 Hz, J’ = 2.2 Hz, 2 H, 2′(6′)-Hax], 3.45 [d, J = 11.9 Hz, 2 H, 2′(6′)-Heq], 3.86 (s, 3 H, CH3), 6.97 (d, J = 8.4 Hz, 1 H, 6′′-H), 7.45 (d, J = 2.1 Hz, 1 H, 3′′-H), 7.78 (dd, J = 8.4 Hz, J’ = 2.1 Hz, 1 H, 5′′-H).
3.1.21. Synthesis of 2-(1-(4-Acetylphenyl)piperidin-4-yl)-N-(9-fluoro-5,6,8,9,10,11-hexahydro-7H-5,9:7,11-dimethanobenzo[9]annulen-7-yl)acetamide, 10a
To a solution of 9-fluoro-5,6,8,9,10,11-hexahydro-7H-5,9:7,11-dimethanobenzo[9]annulen-7-amine (50 mg, 0.22 mmol), 2d, in DMF (1 mL), 2-(1-(4-acetylphenyl)piperidin-4-yl)acetic acid (68 mg, 0.26 mmol), 9a, HATU (123 mg, 0.32 mmol), and DIPEA (85 mg, 0.66 mmol) were added. The mixture was stirred at room temperature for 24 h. Solvent was concentrated in vacuo and EtOAc (10 mL) was added. The mixture was washed with NaHCO3 sat. (2 x 20 mL). The organic phase was dried over anh. Na2SO4, filtered, and concentrated under vacuum. The resulting crude was purified by column chromatography in silica gel (SiO2, Hexane/EtOAc mixtures) and gave 10a as an off-white solid (33 mg, 32% yield), mp: 229–230 °C. IR (ATR) v: 3318, 2931, 2854, 1659, 1644, 1605, 1551, 1514, 1443, 1380, 1359, 1282, 1233, 1180, 1169, 1080, 1011, 998, 960, 865, 835, 818, 767, 632, 603, 593, 569 cm−1. 1H-NMR (400 MHz, CDCl3) δ: 1.30 [m, 2H, 3′′(5′′)-Hax], 1.79 [dm, J = 12.7 Hz, 2 H, 3′′(5′′)-Heq], 1.93 [m, 2 H, 10′(13′)-Hax], 1.97–2.06 [complex signal, 5 H, 2-H2, 6′(12′)-Hax, 4′′-H], 2.14–2.26 [complex signal, 4 H, 6′(12′)-Heq, 10′(13′)-Heq], 2.29 (d, 2JHF = 6.4 Hz, 2 H, 8′-H2), 2.50 (s, 3 H, CH3), 2.88 [td, J = 12.7 Hz, J’ = 2.6 Hz, 2 H, 2′′(6′′)-Hax], 3.24 [m, 2 H, 5′(11′)-H], 3.87 [m, 2 H, 2′′(6′′)-Heq], 5.30 (broad s, 1 H, NH), 6.84 [d, J = 9.0 Hz, 2 H, 2′′′(6′′′)-H], 7.08 [m, 2 H, 1′(4′)-H], 7.13 [m, 2 H, 2′(3′)-H], 7.84 [d, J = 9.0 Hz, 2 H, 3′′′(5′′′)-H]. 13C-NMR (100.6 MHz, CDCl3) δ: 26.2 (CH3, COCH3), 31.4 [CH2, C3′′(5′′)], 33.6 (CH, C4′′), 38.7 [CH2, C6′(12′)], 39.6 [d, 3JCF = 13.3 Hz, CH, C5′(11′)], 40.2 [d, 2JCF = 20.1 Hz, CH2, C10′(13′)], 44.6 (CH2, C2), 46.1 (d, 2JCF = 18.4 Hz, CH2, C8′), 48.0 [CH2, C2′′(6′′)], 58.0 (d, 3JCF = 11.4 Hz, C, C7′), 94.2 (d, 1JCF = 177.6 Hz, C, C9′), 113.6 [CH, C2′′′(6′′′)], 127.1 [CH, C2′(3′)], 128.3 [CH, C1′(4′)], 130.6 [CH, C3′′′(5′′′)], 144.8 [C, C4a(11a)], 154.1 (C, C1′′′), 170.8 (C, CONH), 196.6 (C, COCH3). The signal from C4′′′ was not observed. Anal. Calcd for C30H35FN2O2: C 75.92, H 7.43, N 5.90; Calcd for C30H35FN2O2 · 0.25 H2O: C 75.21, H 7.47, N 5.85. Found: 75.34, H 7.31, N 5.69. HRMS: Calcd for [C30H35FN2O2 + H]+: 475.2755, found: 475.2763.
3.1.22. Synthesis of 2-(1-(4-Cyanophenyl)piperidin-4-yl)-N-(9-fluoro-5,6,8,9,10,11-hexahydro-7H-5,9:7,11-dimethanobenzo[9]annulen-7-yl)acetamide, 10b
To a solution of 9-fluoro-5,6,8,9,10,11-hexahydro-7H-5,9:7,11-dimethanobenzo[9]annulen-7-amine (200 mg, 0.86 mmol), 2d, in DMF (4 mL), 2-(1-(4-cyanophenyl)piperidin-4-yl)acetic acid (252 mg, 1.03 mmol), 9b, HATU (490 mg, 1.29 mmol), and DIPEA (333 mg, 2.58 mmol) were added. The mixture was stirred at room temperature for 24 h. Solvent was concentrated in vacuo and EtOAc (20 mL) was added. The mixture was washed with brine (2 × 40 mL). The organic phase was dried over anh. Na2SO4, filtered, and concentrated under vacuum. The resulting crude was purified by column chromatography in silica gel (SiO2, Hexane/EtOAc mixtures) and gave 10b as an off-white solid (23 mg, 6% yield), mp: 180–181 °C. IR (ATR) v: 3317, 2926, 2857, 2212, 1645, 1603, 1515, 1445, 1359, 1306, 1239, 1177, 1112, 1089, 1010, 863, 819, 762, 732, 680, 645, 569, 560 cm−1. 1H-NMR (400 MHz, CDCl3) δ: 1.29 [m, 2 H, 3′′(5′′)-Hax], 1.80 [broad d, J = 10.3 Hz, 2 H, 3′′(5′′)-Heq], 1.93 [m, 2 H, 10′(13′)-Hax], 1.97–2.08 [complex signal, 5 H, 2-H2, 6′(12′)-Hax, 4′′-H], 2.11–2.25 [complex signal, 4 H, 6′(12′)-Heq, 10′(13′)-Heq], 2.28 (d, 2JHF = 6.3 Hz, 2 H, 8′-H2), 2.87 [td, J = 12.7 Hz, J’ = 2.6 Hz, 2 H, 2′′(6′′)-Hax], 3.23 [m, 2 H, 5′(11′)-H], 3.82 [broad dt, J = 12.9 Hz, J’ =2.5 Hz, 2 H, 2′′(6′′)-Heq], 5.33 (broad s, 1 H, NH), 6.83 [d, J = 9.0 Hz, 2 H, 2′′′(6′′′)-H], 7.08 [m, 2 H, 1′(4′)-H], 7.12 [m, 2 H, 2′(3′)-H], 7.45 [d, J = 9.0 Hz, 2 H, 3′′′(5′′′)-H]. 13C-NMR (100.6 MHz, CDCl3) δ: 31.3 [CH2, C3′′(5′′)], 33.5 (CH, C4′′), 38.7 [CH2, C6′(12′)], 39.6 [d, 3JCF = 13.2 Hz, CH, C5′(11′)], 40.1 [d, 2JCF = 20.2 Hz, CH2, C10′(13′)], 44.4 (CH2, C2), 46.0 (d, 2JCF = 18.4 Hz, CH2, C8′), 47.9 [CH2, C2′′(6′′)], 58.0 (d, 3JCF = 11.4 Hz, C, C7′), 94.2 (d, 1JCF = 177.6 Hz, C, C9′), 99.5 (C, CN), 114.4 [CH, C2′′′(6′′′)], 120.3 (C, C4′′′), 127.1 [CH, C2′(3′)], 128.3 [CH, C1′(4′)], 133.6 [CH, C3′′′(5′′′)], 144.7 [C, C4a(11a)], 153.3 (C, C1′′′), 170.7 (C, CONH). Anal. Calcd for C29H32FN3O: C 76.12, H 7.05, N 9.18; Calcd for C29H32FN3O · 0.5 CH2Cl2: C 70.86, H 6.65, N 8.40. Found: C 70.78, H 6.67, N 8.17. HRMS: Calcd for [C29H32FN3O + H]+: 458.2602, found: 458.2593.
3.1.23. Synthesis of 4-(4-(2-((9-Fluoro-5,6,8,9,10,11-hexahydro-7H-5,9:7,11-dimethanobenzo[9]annulen-7-yl)amino)-2-oxoethyl)piperidin-1-yl)benzoic Acid, 10c
To a solution of 9-fluoro-5,6,8,9,10,11-hexahydro-7H-5,9:7,11-dimethanobenzo[9]annulen-7-amine (82 mg, 0.36 mmol), 2d, in DMF (2 mL) were added 2-(1-(4-(t-butoxycarbonyl)phenyl)piperidin-4-yl)acetic acid (125 mg, 0.39 mmol), 9c, HATU (203 mg, 0.53 mmol), and DIPEA (92 mg, 0.71 mmol). The mixture was stirred at room temperature for 24 h. Solvent was concentrated in vacuo and EtOAc (15 mL) was added. The mixture was washed with brine (2 × 30 mL). The organic phase was dried over anh. Na2SO4, filtered, and concentrated under vacuum. The resulting crude was purified by column chromatography in silica gel (SiO2, Hexane/EtOAc mixtures). Fractions containing the desired product were collected and concentrated in vacuo. Then, HCl 4 M in dioxane (2 mL) with some drops of water were added to the solid and the mixture was stirred at RT overnight. EtOAc (10 mL) was added, and the mixture was washed with water acidified at pH = 4 with HCl 2 M (2 x 20 mL). The organic layer was dried over anh. Na2SO4, filtered, and solvents were concentrated under vacuum. The resulting crude was purified by column chromatography in silica gel (SiO2, DCM/MeOH mixtures) and gave 10c as an off-white solid (40 mg, 24% yield), mp: 267–268 °C. IR (ATR) v: 2923, 2853, 1665, 1634, 1601, 1519, 1431, 1418, 1318, 1283, 1211, 1189, 1089, 993, 827, 767, 697, 632, 553 cm−1. 1H-NMR (400 MHz, CD3OD) δ: 1.34 [qd, J = 12.6 Hz, J’ = 4.1 Hz, 2 H, 3′(5′)-Hax], 1.76 [broad d, J = 12.1 Hz, 2 H, 3′(5′)-Heq], 1.82 [broad d, J = 10.4 Hz, 2 H, 10′′′(13′′′)-Hax], 1.95 (m, 1 H, 4′-H), 2.05–2.13 [complex signal, 4 H, 1′′-H, 6′′′(12′′′)-Hax], 2.13–2.19 [complex signal, 4 H, 6′′′(12′′′)-Heq, 10′′′(13′′′)-Hax], 2.21 (d, 2JHF = 6.4 Hz, 2 H, 8′′′-H), 2.84 [td, J = 12.7 Hz, J’ = 2.6 Hz, 2 H, 2′(6′)-Hax], 3.24 (broad s, 2 H, 5′′′(11′′′)-H], 3.92 [broad d, J = 13.3 Hz, 2 H, 2′(6′)-Heq], 6.93 [d, J = 9.1 Hz, 2 H, 3(5)-H], 7.07–7.13 [complex signal, 4 H, 1′′′(4′′′)-H, 2′′′(3′′′)-H], 7.85 [d, J = 9.1 Hz, 2 H, 2(6)-H]. 13C-NMR (100.6 MHz, CD3OD) δ: 32.4 [CH2, C3′(5′)], 35.1 (CH, C4′), 39.3 [CH2, C6′′′(12′′′)], 41.0 [d, 3JCF = 13.1 Hz, CH, C5′′′(11′′′)], 41.4 [d, 2JCF = 20.2 Hz, CH2, C10′′′(13′′′)], 44.7 (CH2, C1′′), 46.9 (d, 2JCF = 18.4 Hz, CH2, C8′′′), 49.1 [CH2, C2′′(6′′)], 58.8 (d, 3JCF = 11.4 Hz, C, C7′′′), 94.8 (d, 1JCF = 177.1 Hz, C, C9′′′), 114.9 [CH, C3(5)], 120.1 (C, C1), 128.0 [CH, C2′′′(3′′′)], 129.2 [CH, C1′′′(4′′′)], 132.5 [CH, C2(6)], 146.3 [C, C4a’’(11a’’)], 155.9 (C, C4), 170.4 (C, CONH), 174.1 (C, CO2H). Anal. Calcd for C29H33FN2O3: C 73.09, H 6.98, N 5.88. Found: C 72.64, H 7.16, N 5.39. HRMS: Calcd for [C29H33FN2O3−H]−: 475.2402, found: 475.2400.
3.1.24. Synthesis of 3-Cyclopropyl-4-(4-(2-((9-fluoro-5,6,8,9,10,11-hexahydro-7H-5,9:7,11-dimethanobenzo[9]annulen-7-yl)amino)-2-oxoethyl)piperidin-1-yl)benzoic Acid, 10d
To a solution of 9-fluoro-5,6,8,9,10,11-hexahydro-7H-5,9:7,11-dimethanobenzo[9]annulen-7-amine (100 mg, 0.45 mmol), 2d, in DMF (2 mL) were added 2-(1-(2-cyclopropyl-4-(methoxycarbonyl)phenyl)piperidin-4-yl)acetic acid (125 mg, 0.39 mmol), 9e, HATU (203 mg, 0.53 mmol), and DIPEA (92 mg, 0.71 mmol). The mixture was stirred at room temperature for 24 h. Solvent was concentrated in vacuo and EtOAc (10 mL) was added. The mixture was washed with NaHCO3 sat. (2 × 20 mL). The organic phase was dried over anh. Na2SO4, filtered, and concentrated under vacuum. The resulting crude was purified by column chromatography in silica gel (SiO2, Hexane/EtOAc mixtures). Fractions containing the desired product were collected and concentrated in vacuo. MeOH (1 mL) and KOH (116 mg, 2.07 mmol) were added, and the mixture was stirred at 50 °C for 4 h. Amberlite® 120 H+ was added until pH = 4 and the mixture was filtered, using MeOH as an eluting agent. Solvents were concentrated in vacuo to afford a white solid that was purified by column chromatography in silica gel (SiO2, DCM/MeOH mixtures) and gave 10d as a reddish solid (16 mg, 7% yield), mp: 190–191 °C. IR (ATR) v: 2920, 2854, 1645, 1602, 1539, 1495, 1442, 1382, 1359, 1303, 1228, 1180, 1116, 1089, 1011, 937, 864, 758, 715, 641, 569 cm−1. 1H-NMR (400 MHz, CD3OD) δ: 0.73 [m, 2 H, 2′(3′)-Hax], 1.02 [m, 2 H, 2′(3′)-Heq], 1.47 [qd, J = 12.0 Hz, J’ = 3.8 Hz, 2 H, 3′′(5′′)-Hax], 1.76–1.86 [complex signal, 4 H, 3′′(5′′)-Heq, 10′′′′(13′′′′)-Hax], 1.90 (m, 1 H, 4′′-H), 2.06–2.21 [complex signal, 9 H, 1′-H, 1′′′-H, 6′′′′(12′′′′)-H2, 10′′′′(13′′′′)-Heq], 2.22 (d, 2JHF = 6.4 Hz, 2 H, 8′′′′-H), 2.71 [td, J = 11.9 Hz, J’ = 2.2 Hz, 2 H, 2′′(6′′)-Hax], 3.25 [broad t, J = 5.7 Hz, 2 H, 5′′′′(11′′′′)-H], 3.43 [broad d, J = 12.1 Hz, 2 H, 2′′(6′′)-Heq], 7.03 (d, J = 8.4 Hz, 1 H, 5-H), 7.10 [broad signal, 4 H, 1′′′′(4′′′′)-H, 2′′′′(3′′′′)-H], 7.44 (d, J = 2.0 Hz, 1 H, 2-H), 7.75 (dd, J = 8.4 Hz, J’ = 2.1 Hz, 1 H, 6-H). 13C-NMR (100.6 MHz, CD3OD) δ: 9.9 [CH2, C2′(3′)], 12.2 (CH, C1′), 33.6 [CH2, C3′′(5′′)], 35.0 (CH, C4′′), 39.4 [CH2, C6′′′′(12′′′′)], 41.0 [d, 3JCF = 13.2 Hz, CH, C5′′′′(11′′′′)], 41.4 [d, 2JCF = 20.1 Hz, CH2, C10′′′′(13′′′′)], 44.9 (CH2, C1′′′), 46.9 (d, 2JCF = 18.3 Hz, CH2, C8′′′′), 53.3 [CH2, C2′′(6′′)], 58.8 (d, 3JCF = 11.3 Hz, C, C7′′′′), 94.8 (d, 1JCF = 177.2 Hz, C, C9′′′′), 119.1 (CH, C5), 125.6 (C, C1), 126.4 (CH, C2), 128.0 [CH, C2′′′′(3′′′′)], 129.0 (CH, C6), 129.2 [CH, C1′′′′(4′′′′)], 138.1 (C, C3), 146.3 [C, C4a’’’(11a’’’)], 158.3 (C, C4), 170.5 (C, CONH), 174.3 (C, CO2H). HRMS: Calcd for [C32H37FN2O3 + H]+: 517.2861, found: 517.2847.
3.1.25. Synthesis of 4-(4-(2-(9-Chloro-5,6,8,9,10,11-hexahydro-7H-5,9:7,11-dimethanobenzo[9]annulen-7-yl)ureido)piperidin-1-yl)benzoic Acid, 10e
To a solution of 9-chloro-5,6,8,9,10,11-hexahydro-7H-5,9:7,11-dimethanobenzo[9]annulen-7-amine (88 mg, 0.36 mmol), 2e, in DMF (2 mL), 2-(1-(4-(t-butoxycarbonyl)phenyl)piperidin-4-yl)acetic acid (125 mg, 0.39 mmol), 9c, HATU (203 mg, 0.53 mmol), and DIPEA (124 µL, 92 mg, 0.71 mmol) were added. The mixture was stirred at room temperature overnight. EtOAc (15 mL) was added, and the mixture was washed with brine (2 x 30 mL). The organic layer was dried over anh. Na2SO4, filtered, and solvents were concentrated. The resulting crude was purified by column chromatography in silica gel (using as eluent mixtures of EtOAc in hexane from 0% to 25%). Fractions containing the desired product were collected and concentrated in vacuo. HCl 4 M in dioxane (2 mL) with some drops of water were added and the mixture was stirred at room temperature overnight. EtOAc (10 mL) was added, and the mixture was washed with water acidified at pH = 4 with HCl 2 M (2 × 20 mL). The organic layer was dried over anh. Na2SO4, filtered, and solvents were concentrated in vacuo. The crude was purified by column chromatography in silica gel (using as eluent mixtures of MeOH in DCM from 0% to 4%). Fractions containing the desired product were collected and concentrated in vacuo to afford 10e as a pink solid (23 mg, 13% yield), mp: 242–243 °C. IR (ATR) v: 2920, 2855, 1664, 1638, 1600, 1518, 1415, 1391, 1357, 1283, 1230, 1184, 1110, 1082, 978, 947, 931, 900, 830, 800, 773, 762, 697, 645 cm−1. 1H-NMR (400 MHz, CD3OD) δ: 1.35 [m, 2 H, 3′(5′)-Hax], 1.77 [broad d, J = 12.9 Hz, 2 H, 3′(5′)-Heq], 1.95 (m, 1 H, 4′-H), 2.02–2.11 [complex signal, 6 H, 1′′-H, 6′′′(12′′′)-Hax, 10′′′(13′′′)-Hax], 2.23 [m, 2 H, 6′′′(12′′′)-Heq], 2.40 [m, 2 H, 10′′′(13′′′)-Heq], 2.49 (s, 2 H, 8′′′-H), 2.85 [td, J = 12.6 Hz, J’ = 2.6 Hz, 2 H, 2′(6′)-Hax], 3.19 [broad t, J = 6.5 Hz, 2 H, 5′′′(11′′′)-H], 3.92 [broad d, J = 13.4 Hz, 2 H, 2′(6′)-Heq], 6.93 [d, J = 9.1 Hz, 2 H, 3(5)-H], 7.06–7.12 [complex signal, 4 H, 1′′′(4′′′)-H, 2′′′(3′′′)-H], 7.85 [d, J = 9.0 Hz, 2 H, 2(6)-H]. 13C-NMR (101 MHz, CD3OD) δ: 32.4 [CH2, C3′(5′)], 35.1 (CH, C4′), 39.0 [CH2, C6′′′(12′′′)], 42.6 [CH, C5′′′(11′′′)], 44.7 (CH2, C1′′), 45.9 [CH2, C10′′′(13′′′)], 49.1 [signal overlapped, CH2, C2′(6′)], 51.0 (CH2, C8′′′), 57.6 (C, C7′′′), 70.3 (C, C9′′′), 114.9 [CH, C3(5)], 120.1 (C, C1), 128.0 [CH, C2′′′(3′′′)], 129.1 [CH, C1′′′(4′′′)], 132.5 [CH, C2(6)], 146.2 [C, C4a’’’(11a’’’)], 155.9 (C, C4), 170.4 (C, CONH), 174.1 (C, CO2H). Anal. Calcd for C29H33ClN2O3: C 70.65, H 6.75, N 5.68; Calcd for C29H33ClN2O3 · ¾ H2O: 68.76, H 6.86, N 5.53. Found: C 68.77, H 6.66, N 5.18. HRMS: Calcd for [C29H33ClN2O3−H]−: 491.2107, found: 491.2106.
3.2. Microsomal Stability
The human and murine pooled microsomes employed were purchased from Tebu-Xenotech (Barcelona, Spain). The compound was incubated at 37 °C with the microsomes in a 50 mM phosphate buffer (pH = 7.4) containing 3 mM MgCl2, 1 mM NADP, 10 mM glucose-6-phosphate and 1 U/mL glucose-6-phosphate-dehydrogenase. Samples (75 µL) were taken from each well at 0, 10, 20, 40 and 60 min and transferred to a plate containing 4 °C 75 µL acetonitrile and 30 µL of 0.5% formic acid in water were added for improving the chromatographic conditions. The plate was centrifuged (46000 g, 30 min) and supernatants were taken and analyzed in a UPLC-MS/MS (Xevo-TQD, Waters) by employing a BEH C18 column and an isocratic gradient of 0.1% formic acid in water: 0.1% formic acid acetonitrile (60:40). The metabolic stability of the compounds was calculated from the logarithm of the remaining compounds at each of the time points studied [].
3.3. Cytotoxicity Assay in SH-SY5Y Cells
Cytotoxicity was evaluated in the human neuroblastoma SH-SY5Y cell line (ATCC Number: CRL-2266). Cells were cultured in minimum essential medium/HAM’s-F12 (1:1, v/v) medium, supplemented with non-essential amino acids, L-glutamine 1 mM, gentamycin 50 µM and 10% heat inactivated fetal bovine serum (FBS). For experiments, the cells were seeded at 3 × 105 cells/mL (100 µL/well) in 96-well plates. After 24 h, either 10c or the reference compound, TPPU, were added concentrated to the wells to yield a range of concentrations up to 100 µM. DMSO 0.1% was used as vehicle. Treated cultures were returned to the incubator for a 24 h test exposure. One hour before termination, cell death was measured by PI staining. Briefly, PI (Molecular Probes) at the final concentration of 7.5 µg/mL was added to the cells and incubated for 1 h. PI enters into cells with damaged membrane and binds to DNA yielding intense red fluorescence. Fluorescence was measured in a SAFAS FLX-Xenius microplate reader (Monaco) at 530 nm excitation and 645 nm emission. Percentage of cell death for a given fluorescence value (Ft) was calculated according to the values given by Triton X100 killed cells (Fmax; 100% cell death) and vehicle treated cells (Fmin; 0% cell death) [% = ((Ft-Fmin)/(Fmax-Fmin)) × 100]. Each treatment was assayed in 3–4 wells per experiment and the experiment was repeated 3 times in cultures of different cell passages []. Data were analyzed by ANOVA.
3.4. Inflammatory Assay in the Microglial BV2 Cell Line
Inflammatory changes were determined by the measure of nitric oxide generation, as the endpoint of iNOS activation, in microglial BV2 cells. BV2 cells (HyperCLDB, Banca Biologica e Cell Factory, ICLC ATL 03001) were grown in RPMI 1640 medium, supplemented with L-glutamine 2 mM, gentamycin 50 µM and 10% FBS. For experiments, cells were seeded in 96-well plates at 2 × 105 cells/mL, 100 µL/well. After 24 h, the medium was replaced with fresh culture medium without FBS containing the vehicle or the anti-inflammatory agent 10c at 50 µM or 100 µM. After 1 h of incubation, the cells were treated with the pro-inflammatory chemical LPS (0.1 μg/mL or 1 μg/mL; strain E. coli 026:B26, Sigma-Aldrich, L-2654, batch #120M4028) and further incubated for 24 h. TPPU at 100 µM was also assayed as a reference anti-inflammatory compound. DMSO 0.1% was used as vehicle. Cells were maintained at 37 °C in a humidified incubator with 5% CO2 throughout the procedures. Nitric oxide released to the culture medium was measured by the colorimetric Griess reaction [] that detects nitrite (NO2–), a stable reaction product of nitric oxide and molecular oxygen. Briefly, 50 µL of conditioned medium were incubated with 50 µL of Griess reagent for 10 min at room temperature. Optical density was measured at 540 nm. Nitrite concentration was determined from a sodium nitrite standard curve. Results were normalized by cell protein content in the well and expressed as a percentage of the average maximal values given by the pro-inflammatory agent (LPS 1 µg/mL). Each treatment was performed in 3–5 wells and the whole experiment was repeated 3–4 times in cultures of different cell passage. Data were analyzed by ANOVA followed by Tukey’s multiple comparisons test.
4. Conclusions
Starting from a previous series of ureas with high potency as sEHI but poor microsomal stability, several amides were synthesized and fully characterized. Amide 10c, endowed with excellent potency, tolerable microsomal stability, and no cytotoxicity, emerged as a promising compound. 10c was highly effective in the inhibition of nitric oxide generated in microglial BV2 cells activated by LPS. Furthermore, it showed higher effectiveness than TPPU, the reference sEHI, that was reported to have anti-inflammatory properties in the brain of mouse models of Alzheimer’s disease [,]. The results indicate 10c as an excellent candidate for further in vitro characterization as an anti-inflammatory and neuroprotective agent although its limited microsomal stability may prevent in vivo development. Overall, the results emphasize the significance of sEH as a druggable target in therapies involving inflammatory processes.
5. Patents
A PCT patent application has been filed. See PCT WO2019/243414A1 (priority data 20 June 2018).
Supplementary Materials
The following are available online at https://www.mdpi.com/article/10.3390/ph14121323/s1, 1H and 13C NMR spectra of the evaluated compounds.
Author Contributions
S.V. conceived the idea and was responsible for the SAR design. J.M.-L. and S.C. synthesized and chemically characterized the compounds. C.B. and C.S. designed and carried out the cytotoxicity and anti-inflammatory experiments. C.M. and B.D.H. performed the determination of the IC50 in human and murine sEH. M.I.L. and J.B. carried out DMPK studies. J.M.-L., S.C., C.B., C.M., C.S., M.I.L., B.D.H., J.B. and S.V. analyzed the data. J.M.-L. wrote the first draft of the manuscript; J.M.-L. and S.V. wrote, edited, and reviewed the manuscript with feedback from all the authors. All authors have read and agreed to the published version of the manuscript.
Funding
This research was funded by the Spanish Ministerio de Economía, Industria y Competitividad (Grants SAF2017-82771-R to S.V., PID2019-106285RB-C22 to C.S.), Grant PID2020-118127RB-I00 funded by MCIN/AEI/10.13039/501100011033 and by “ERDF A way of making Europe” to S.V., the Xunta de Galicia (ED431G 2019/02 and ED431C 2018/21), the Generalitat de Catalunya (2017 SGR 106, 2017 SGR 124 and 2017 SGR 1707). S.C. acknowledges a PhD fellowship from the Universitat de Barcelona (APIF grant). Partial support was provided by NIH-NIEHS River Award R35 ES03443, NIH-NIEHS Superfund Program P42 ES004699, NINDS R01 DK107767, and NIDDK R01 DK103616 to B.D.H. The content is solely the responsibility of the authors and does not necessarily represent the official views of the National Institutes of Health.
Institutional Review Board Statement
Not applicable.
Informed Consent Statement
Not applicable.
Data Availability Statement
Data is contained within the article and Supplementary Materials.
Conflicts of Interest
S.C. and S.V. are inventors of the Universitat de Barcelona patent application on sEHI WO2019/243414. C.M. and B.D.H. are inventors of the University of California patents on sEHI licensed to EicOsis. None of the other authors has any disclosures to declare. The funders had no role in the design of the study; in the collection, analyses, or interpretation of data; in the writing of the manuscript, or in the decision to publish the results.
References
- Kaspera, R.; Totah, R.A. Epoxyeicosatrienoic acids: Formation, metabolism and potential role in tissue physiology and pathology. Expert Opin. Drug Metab. Toxicol. 2009, 5, 757–771. [Google Scholar] [CrossRef]
- Bellien, J.; Joannides, R. Epoxyeicosatrienoic acid pathway in human health and diseases. J. Cardiovasc. Pharmacol. 2013, 61, 188–196. [Google Scholar] [CrossRef]
- Wang, B.; Wu, L.; Chen, J.; Dong, L.; Chen, C.; Wen, Z.; Hu, J.; Fleming, I.; Wang, D.W. Metabolism pathways of arachidonic acids: Mechanisms and potential therapeutic targets. Signal Transduct. Target. Ther. 2021, 6, 94. [Google Scholar] [CrossRef]
- Morisseau, C.; Hammock, B.D. Impact of soluble epoxide hydrolase and epoxyeicosanoids on human health. Annu. Rev. Pharmacol. Toxicol. 2013, 53, 37–58. [Google Scholar] [CrossRef] [PubMed] [Green Version]
- Harris, T.R.; Hammock, B.D. Soluble epoxide hydrolase: Gene structure, expression and deletion. Gene 2013, 526, 61–74. [Google Scholar] [CrossRef] [PubMed] [Green Version]
- Wagner, K.; Inceoglu, B.; Hammock, B.D. Soluble epoxide hydrolase inhibition, epoxygenated fatty acids and nociception. Prostaglandins Other Lipid Mediat. 2011, 96, 76–83. [Google Scholar] [CrossRef] [PubMed] [Green Version]
- Wagner, K.; McReynolds, C.; Schmidt, W.K.; Hammock, B. Soluble epoxide hydrolase as a therapeutic target for pain, inflammatory and neurodegenerative diseases. Pharmacol. Ther. 2017, 180, 62–76. [Google Scholar] [CrossRef]
- McReynolds, C.; Morisseau, C.; Wagner, K.; Hammock, B. Epoxy fatty acids are promising targets for treatment of pain, cardiovascular disease and other indications characterized by mitochondrial dysfunction, endoplasmic stress and inflammation. Adv. Exp. Med. Biol. 2020, 1274, 71–99. [Google Scholar] [PubMed]
- Chen, D.; Whitcomb, R.; MacIntyre, E.; Tran, V.; Do, Z.N.; Sabry, J.; Patel, D.V.; Anandan, S.K.; Gless, R.; Webb, H.K. Pharmacokinetics and pharmacodynamics of AR9281, an inhibitor of soluble epoxide hydrolase, in single- and multiple-dose studies in healthy human subjects. J. Clin. Pharmacol. 2012, 53, 319–328. [Google Scholar] [CrossRef]
- Lazaar, A.L.; Yang, L.; Boardley, R.L.; Goyal, N.S.; Robertson, J.; Baldwin, S.J.; Newby, D.E.; Wilkinson, I.B.; Tal-Singer, R.; Mayer, R.J.; et al. Pharmacokinetics, pharmacodynamics and adverse event profile of GSK2256294, a novel soluble epoxide hydrolase inhibitor. Br. J. Clin. Pharmacol. 2016, 81, 971–979. [Google Scholar] [CrossRef] [Green Version]
- Subarachnoid Hemorrhage and Soluble Epoxide Hydrolase Inhibition Trial (SUSHI). Available online: https://clinicaltrials.gov/ct2/show/results/NCT03318783 (accessed on 6 November 2021).
- Lee, K.S.S.; Ng, J.C.; Yang, J.; Hwang, S.-H.; Morisseau, C.; Wagner, K.; Hammock, B.D. Preparation and evaluation of soluble epoxide hydrolase inhibitors with improved physical properties and potencies for treating diabetic neuropathic pain. Bioorg. Med. Chem. 2020, 28, 115735. [Google Scholar] [CrossRef]
- Hammock, B.D.; McReynolds, C.B.; Wagner, K.; Buckpitt, A.; Cortes-Puch, I.; Croston, G.; Lee, K.S.S.; Yang, J.; Schmidt, W.K.; Hwang, S.H. Movement to the clinic of soluble epoxide hydrolase inhibitor EC5026 as an analgesic for neuropathic pain and for use as a nonaddictive opioid alternative. J. Med. Chem. 2021, 64, 1856–1872. [Google Scholar] [CrossRef] [PubMed]
- Shen, H.C.; Hammock, B.D. Discovery of inhibitors of soluble epoxide hydrolase: A target with multiple potential therapeutic indications. J. Med. Chem. 2012, 55, 1789–1808. [Google Scholar] [CrossRef] [PubMed] [Green Version]
- Hiesinger, K.; Wagner, K.M.; Hammock, B.D.; Proschak, E.; Hwang, S.H. Development of multitarget agents possessing soluble epoxide hydrolase inhibitory activity. Prostaglandins Other Lipid Mediat. 2019, 140, 31–39. [Google Scholar] [CrossRef] [PubMed]
- Mahapatra, A.D.; Choubey, R.; Datta, B. Small molecule soluble epoxide hydrolase inhibitors in multitarget and combination therapies for inflammation and cancer. Molecules 2020, 25, 5488. [Google Scholar] [CrossRef]
- Sun, C.-P.; Zhang, X.-Y.; Morisseau, C.; Hwang, S.H.; Zhang, Z.-J.; Hammock, B.D.; Ma, X.-C. Discovery of soluble epoxide hydrolase inhibitors from chemical synthesis and natural products. J. Med. Chem. 2021, 64, 184–215. [Google Scholar] [CrossRef] [PubMed]
- Codony, S.; Valverde, E.; Leiva, R.; Brea, J.; Loza, M.I.; Morisseau, C.; Hammock, B.D.; Vázquez, S. Exploring the size of the lipophilic unit of the soluble epoxide hydrolase inhibitors. Bioorg. Med. Chem. 2019, 27, 115078. [Google Scholar] [CrossRef]
- Codony, S.; Calvó-Tusell, C.; Valverde, E.; Osuna, S.; Morisseau, C.; Loza, M.I.; Brea, J.; Pérez, C.; Rodríguez-Franco, M.I.; Pizarro-Delgado, J.; et al. From the design to the in vivo evaluation of benzohomoadamantane-derived soluble epoxide hydrolase inhibitors for the treatment of acute pancreatitis. J. Med. Chem. 2021, 64, 5429–5446. [Google Scholar] [CrossRef]
- Kim, I.-H.; Heirtzler, F.R.; Morisseau, C.; Nishi, K.; Tsai, H.-J.; Hammock, B.D. Optimization of amide-based inhibitors of soluble epoxide hydrolase with improved water solubility. J. Med. Chem. 2005, 48, 3621–3629. [Google Scholar] [CrossRef] [Green Version]
- Torres, E.; Duque, M.D.; López-Querol, M.; Taylor, M.C.; Naesens, L.; Ma, C.; Pinto, L.H.; Sureda, F.X.; Kelly, J.M.; Vázquez, S. Synthesis of benzopolycyclic cage amines: NMDA receptor antagonist, trypanocidal and antiviral activities. Bioorg. Med. Chem. 2012, 20, 942–948. [Google Scholar] [CrossRef] [PubMed]
- Valverde, E.; Sureda, F.X.; Vázquez, S. Novel benzopolycliclic amines with NMDA receptor antagonist activity. Bioorg. Med. Chem. 2014, 22, 2678–2683. [Google Scholar] [CrossRef]
- Barniol-Xicota, M.; Escandell, A.; Valverde, E.; Julián, E.; Torrents, E.; Vázquez, S. Antibacterial activity of novel benzopolycyclic amines. Bioorg. Med. Chem. 2015, 23, 290–296. [Google Scholar] [CrossRef] [PubMed]
- Ma, M.; Ren, Q.; Fujita, Y.; Ishima, T.; Zhang, J.C.; Hashimoto, K. Effects of AS2586114, a soluble epoxide hydrolase inhibitor, on hyperlocomotion and prepulse inhibition deficits in mice after administration of phencyclidine. Pharmacol. Biochem. Behav. 2013, 110, 98–103. [Google Scholar] [CrossRef] [PubMed]
- Taguchi, N.; Nakayama, S.; Tanaka, M. Single administration of soluble epoxide hydrolase inhibitor suppresses neuroinflammation and improves neuronal damage after cardiac arrest in mice. Neurosci. Res. 2016, 111, 56–63. [Google Scholar] [CrossRef]
- Harada, H.; Hattori, K.; Fujita, K.; Imada, S.; Morkata, T. 2H-Chromene Compound and Derivaive Thereof. U.S. Patent US8193378B2, 5 June 2012. [Google Scholar]
- Labouta, I.M.; Falch, E.; Hjeds, H.; Krogsgaard-Larsen, P. Cyclic GABA analogues: Syntheses and structure-activity studies of 4-piperidineacetic acid and related compounds. Eur. J. Med. Chem. 1982, 17, 531–535. [Google Scholar]
- Morisseau, C.; Hammock, B.D. Measurement of soluble epoxide hydrolase (sEH) activity. Curr. Protoc. Toxicol. 2007, 33, 4–23. [Google Scholar] [CrossRef]
- Rose, T.E.; Morisseau, C.; Liu, J.-Y.; Inceoglu, B.; Jones, P.D.; Sanborn, J.R.; Hammock, B.D. 1-Aryl-3-(1-acylpiperidin-4-yl)urea inhibitors of human and murine soluble epoxide hydrolase: Structure-acivity relationships, pharmacokinetics, and reduction of inflammatory pain. J. Med. Chem. 2010, 53, 7067–7075. [Google Scholar] [CrossRef] [PubMed] [Green Version]
- Molina-Martínez, P.; Corpas, R.; García-Lara, E.; Cosín-Tomás, M.; Cristòfol, R.; Kaliman, P.; Solà, C.; Molinuevo, J.L.; Sánchez-Valle, R.; Antonell, A.; et al. Microglial hyperreactivity evolved to immunosuppression in the hippocampus of a mouse model of accelerated aging and Alzheimer’s Disease traits. Front. Aging Neurosci. 2021, 12, 622360. [Google Scholar] [CrossRef]
- Yuste, J.E.; Tarragon, E.; Campuzano, C.M.; Ros-Bernal, F. Implications of glial nitric oxide in neurodegenerative diseases. Front Cell Neurosci. 2015, 9, 322. [Google Scholar] [CrossRef] [Green Version]
- Gresa-Arribas, N.; Viéitez, C.; Dentesano, G.; Serratosa, J.; Saura, J.; Solà, C. Modelling neuroinflammation in vitro: A tool to test the potential neuroprotective effect of anti-inflammatory agents. PLoS ONE 2012, 7, e45227. [Google Scholar] [CrossRef] [Green Version]
- Xie, L.; Ochterski, J.W.; Gao, Y.; Han, B.; Caldwell, T.M.; Xu, Y.; Peterson, J.M.; Ge, P.; Ohliger, R. Dipiperazinyl Ketones and Related Analogues. U.S. Patent US7851474B2, 14 December 2010. [Google Scholar]
- Ikeda, Y.; Ueki, Y.; Kishimoto, H.; Nishihara, T.; Kamikawa, Y. 2,3-Diaminopropionic Acid Derivative. U.S. Patent US5707994, 13 January 1998. [Google Scholar]
- Rosa, R.; Rodriguez-Farré, E.; Sanfeliu, C. Cytotoxicity of hexachlorocyclohexane isomers and cyclodienes in primary cultures of cerebellar granule cells. J. Pharmacol. Exp. Ther. 1996, 278, 163–169. [Google Scholar] [PubMed]
- Green, L.C.; Wagner, D.A.; Glogowski, J.; Skipper, P.L.; Wishnok, J.S.; Tannenbaum, S.R. Analysis of nitrate, nitrite, and [15N]nitrate in biological fluids. Anal. Biochem. 1982, 126, 131–138. [Google Scholar] [CrossRef]
- Griñán-Ferré, C.; Codony, S.; Pujol, E.; Yang, J.; Leiva, R.; Escolano, C.; Puigoriol-Illamola, D.; Companys-Alemany, J.; Corpas, R.; Sanfeliu, C.; et al. Pharmacological inhibition of soluble epoxide hydrolase as a new therapy fo Alzheimer’s disease. Neurotherapeutics 2020, 17, 1825–1835. [Google Scholar] [CrossRef] [PubMed]
- Ghosh, A.; Comerota, M.M.; Wan, D.; Chen, F.; Propson, N.E.; Hwang, S.H.; Hammock, B.D.; Zheng, H. A epoxyde hydrolase inhibitor reduces neuroinflammation in a mouse model of Alzheimer’s disease. Sci. Transl. Med. 2020, 12, eabb1206. [Google Scholar] [CrossRef] [PubMed]
Publisher’s Note: MDPI stays neutral with regard to jurisdictional claims in published maps and institutional affiliations. |
© 2021 by the authors. Licensee MDPI, Basel, Switzerland. This article is an open access article distributed under the terms and conditions of the Creative Commons Attribution (CC BY) license (https://creativecommons.org/licenses/by/4.0/).
