An Electrochemical Sensor Based on Nanostructured Hollandite-type Manganese Oxide for Detection of Potassium Ions
Abstract
:1. Introduction
2. Experimental Section
2.1. Reagents and Solutions
2.2. Apparatus
2.3. Preparation of Hollandite-Type MnO2
2.4. Construction of the Carbon-Paste Electrodes
3. Results and Discussion
3.1. Characterization of Hollandite-type Manganese oxide
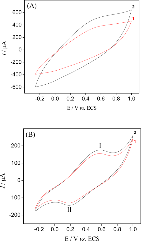
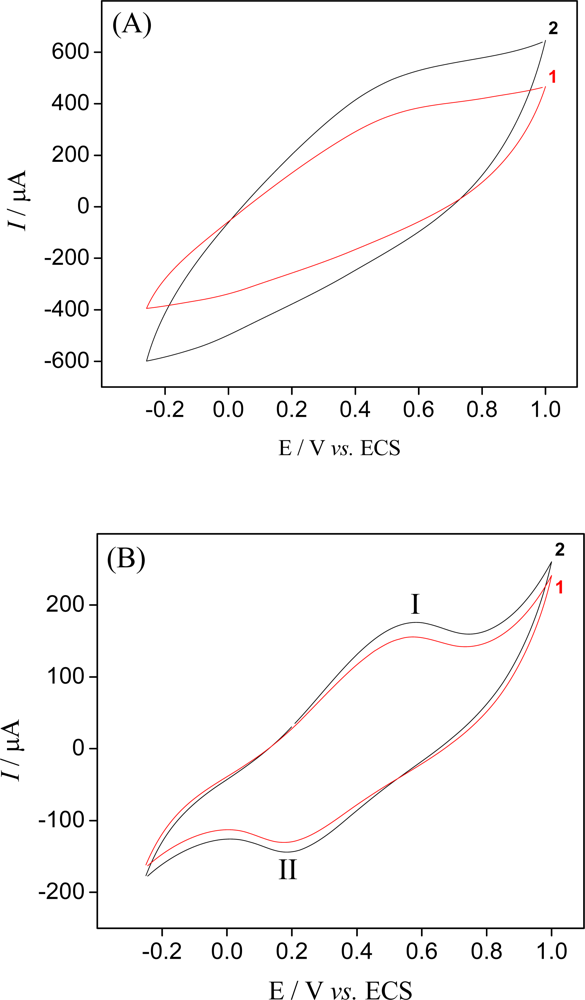
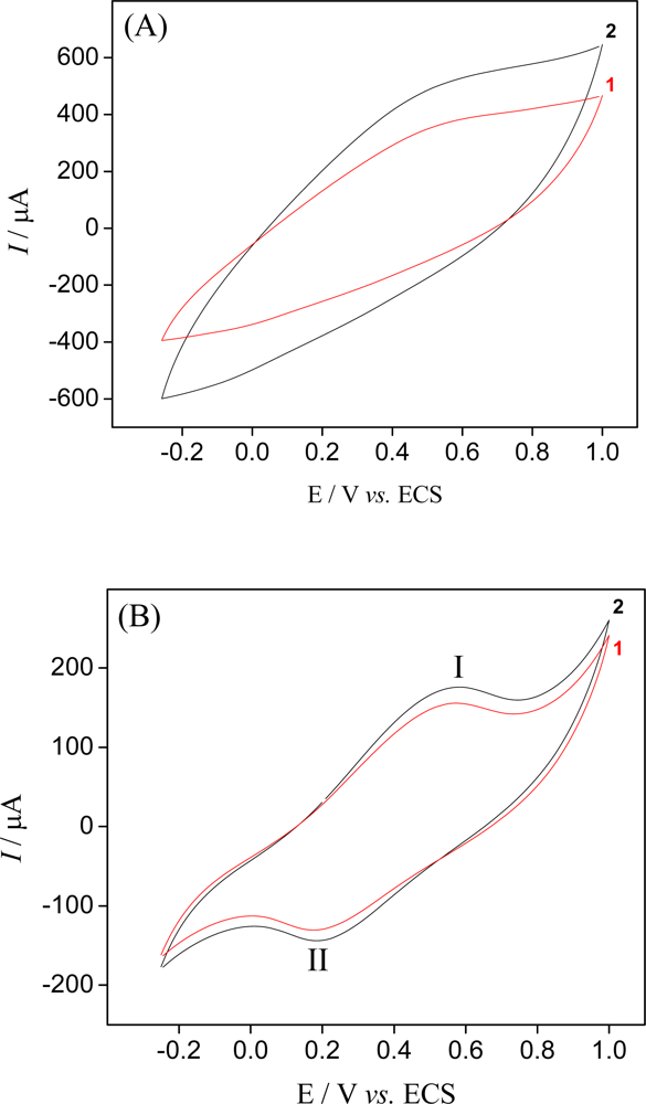
3.2. Electrochemical Behavior of the Sensor
3.3. Analytical Performance of the Sensor
4. Conclusions
Acknowledgments
References
- Malavolti, E.; Cagnini, A.; Caputo, G.; Della, L.C.; Mascini, M. An optimized optrode for continuous potassium monitoring in whole blood. Anal. Chim. Acta 1999, 401, 129–136. [Google Scholar]
- Harrison, T.R.; Adams, R.D.; Bennett, I.L.; Resnik, W.H.; Thorn, G.W.; Wintrobe, M.M. Principles of Internal Medicine, 5th ed; McGraw-Hill: New York, USA, 1966. [Google Scholar]
- A.O.A.C. Official Methods of Analysis of the Association of Official Analytical Chemists, 15th ed; Helrich, K., Ed.; A.O.A.C.: Gaithersburg, MD, USA, 1990; pp. 503–504. [Google Scholar]
- Doku, G.N.; Gadzekpo, V.P.Y. Simultaneous determination of lithium, sodium and potassium in blood serum by flame photometric flow-injection analysis. Talanta 1996, 43, 735–739. [Google Scholar]
- Ng, R.H.; Sparks, K.M.; Statland, B.E. Colorimetric determination of potassium in plasma and serum by reflectance photometry with a dry-chemistry reagent. Clin. Chem 1992, 38, 1371–1372. [Google Scholar]
- Gallardo, J.; Alegret, S.; Muñoz, R.; De Román, M.; Leija, L.; Hernández, P.R.; Del Valle, M. An electronic tongue using potentiometric all-solid-state PVC-membrane sensors for the simultaneous quantification of ammonium and potassium ions in water. Anal. Bioanal. Chem 2003, 377, 248–256. [Google Scholar]
- Garcia, C.A.B.; Júnior, L.R.; Neto, G.O. Determination of potassium ions in pharmaceutical samples by FIA using a potentiometric electrode based on ionophore nonactin occluded in EVA membrane. J. Pharm. Biomed. Anal 2003, 31, 11–18. [Google Scholar]
- Karyakin, A.A. Prussian blue and its analogues: electrochemistry and analytical applications. Electroanalysis 2001, 13, 813–819. [Google Scholar]
- Brock, S.L.; Duan, N.; Tian, Z.R.; Giraldo, O.; Zhou, H.; Suib, S. A review of porous manganese oxide materials. Chem. Mater 1998, 10, 2619–2628. [Google Scholar]
- Ferracin, L.C.; Amaral, F.A.; Bocchi, N. Characterization and electrochemical performance of the spinel LiMn2O4 prepared from ε-MnO2. Solid State Ionics 2000, 130, 215–219. [Google Scholar]
- Teixeira, M.F.S.; Cavalheiro, E.T.G.; Bergamini, M.F.; Moraes, F.C.; Bocchi, N. Use of a carbon paste electrode modified with spinel-type manganese oxide as a potentiometric sensor for lithium ions in flow injection analysis. Electroanalysis 2004, 16, 633–639. [Google Scholar]
- Teixeira, M.F.S.; Bergamini, M.F.; Bocchi, N. Lithium ions determination by selective pre-concentration and differential pulse anodic stripping voltammetry using a carbon paste electrode modified with a spinel-type manganese oxide. Talanta 2004, 62, 603–609. [Google Scholar]
- Teixeira, M.F.S.; Moraes, F.C.; Fatibello-Filho, O.; Bocchi, N. Voltammetric determination of lithium ions in pharmaceutical formulation using a λ-MnO2-modified carbon-paste electrode. Anal. Chim. Acta 2001, 443, 249–255. [Google Scholar]
- Teixeira, M.F.S.; Moraes, F.C.; Fatibello-Filho, O.; Ferracin, L.C.; Rocha-Filho, R.; Bocchi, N. A novel λ-MnO2-based graphite–epoxy electrode for potentiometric determination of acids and bases. Sens. Actuators B 1999, 56, 169–174. [Google Scholar]
- Teixeira, M.F.S.; Lima, A.S.; Seraphim, P.M.; Bocchi, N. Developement of an amperometric sensor for potassium ions. Proceeding of the First International Conference on Biomedical Electronics and Devices, Funchal, Portugal; 2008; 1, pp. 198–201. [Google Scholar]
- Suib, S.L. Porous manganese oxide octahedral molecular sieves and octahedral layered materials. Acc. Chem. Res 2008, 41, 479–487. [Google Scholar]
- Feng, Q.; Kanoh, H.; Miyai, Y.; Ooi, K. Alkali metal ions insertion/extraction reactions with hollandite-type manganese oxide in the aqueous phase. Chem. Mater 1995, 7, 148–153. [Google Scholar]
- Feng, Q.; Kanoh, H.; Ooi, K. Manganese oxide porous crystals. J. Mater. Chem 1999, 9, 319–333. [Google Scholar]
- Guinier, A. Theorie et Pratique de la Radiocristallographie; Guinier, A., Ed.; Dunod: Paris, France, 1964. [Google Scholar]
- Laviron, E. General expression of the linear potential sweep voltammogram in the case of diffusionless electrochemical systems. J. Electroanal. Chem 1979, 101, 19–28. [Google Scholar]
- Laviron, E.; Roullier, L. General expression of the linear potential sweep voltammogram for a surface redox reaction with interactions between the adsorbed molecules. Applications to modified electrodes. J. Electroanal. Chem 1980, 115, 65–74. [Google Scholar]
- Tani, Y.; Umezawa, Y. Alkali metal ion-selective electrodes based on relevant alkali metal ion doped manganese oxides. Mikrochim. Acta 1998, 129, 81–90. [Google Scholar]
- Smith, D.W. Ionic hydration enthalpies. J. Chem. Educ 1977, 54, 540–542. [Google Scholar]
- Analyst; Analytical Methods Committee: London, UK, 1987; pp. 199–204.
- Ching, S.; Roark, J.L.; Duan, N.; Suib, S.L. Sol-gel route to the tunneled manganese oxide cryptomelane. Chem. Mater 1997, 9, 750–754. [Google Scholar]
- DeGuzman, R.N.; Shen, Y.F.; Neth, E.J.; Suib, S.L.; O’Young, C.L.; Levine, S.; Newsam, J.M. Synthesis and characterization of octahedral molecular sieves (OMS-2) having the hollandite structure. Chem. Mater 1994, 6, 815–821. [Google Scholar]







| Absence of K+ ions | Presence of K+ ions | |
|---|---|---|
| metallic cation | Irelative (%) | Irelative (%) |
| K+ | 100 | 100 |
| Li+ | 67 | 37 |
| Na+ | 64 | 41 |
| Rb+ | 53 | 25 |
| Cs+ | 36 | 6 |
| Mg2+ | 35 | 30 |
| Ca2+ | 43 | 29 |
| Sr2+ | 50 | 41 |
| Ba2+ | 71 | 53 |
| NH4+ | 86 | 78 |
© 2009 by the authors; licensee MDPI, Basel, Switzerland This article is an open access article distributed under the terms and conditions of the Creative Commons Attribution license (http://creativecommons.org/licenses/by/3.0/).
Share and Cite
Lima, A.S.; Bocchi, N.; Gomes, H.M.; Teixeira, M.F.S. An Electrochemical Sensor Based on Nanostructured Hollandite-type Manganese Oxide for Detection of Potassium Ions. Sensors 2009, 9, 6613-6625. https://doi.org/10.3390/s90906613
Lima AS, Bocchi N, Gomes HM, Teixeira MFS. An Electrochemical Sensor Based on Nanostructured Hollandite-type Manganese Oxide for Detection of Potassium Ions. Sensors. 2009; 9(9):6613-6625. https://doi.org/10.3390/s90906613
Chicago/Turabian StyleLima, Alex S., Nerilso Bocchi, Homero M. Gomes, and Marcos F. S. Teixeira. 2009. "An Electrochemical Sensor Based on Nanostructured Hollandite-type Manganese Oxide for Detection of Potassium Ions" Sensors 9, no. 9: 6613-6625. https://doi.org/10.3390/s90906613
APA StyleLima, A. S., Bocchi, N., Gomes, H. M., & Teixeira, M. F. S. (2009). An Electrochemical Sensor Based on Nanostructured Hollandite-type Manganese Oxide for Detection of Potassium Ions. Sensors, 9(9), 6613-6625. https://doi.org/10.3390/s90906613
