Interrelationship of Pyrogenic Polycyclic Aromatic Hydrocarbon (PAH) Contamination in Different Environmental Media
Abstract
:1. Introduction
2. Experimental Section
2.1. Study Site
2.2. Sample Collection
2.3. Chemical Analysis and QA/QC
2.4. Organic Carbon Analysis
3. Results and Discussion
3.1. TPAHs Concentration in Multi-Media
3.2. Atmospheric Fate of PAHs
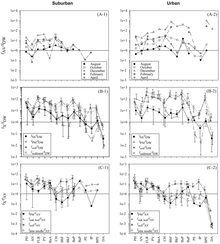
3.3. Influence of Atmospheric TPAHs Level on the Other Media
3.4. PAH Profiles in Solid Media
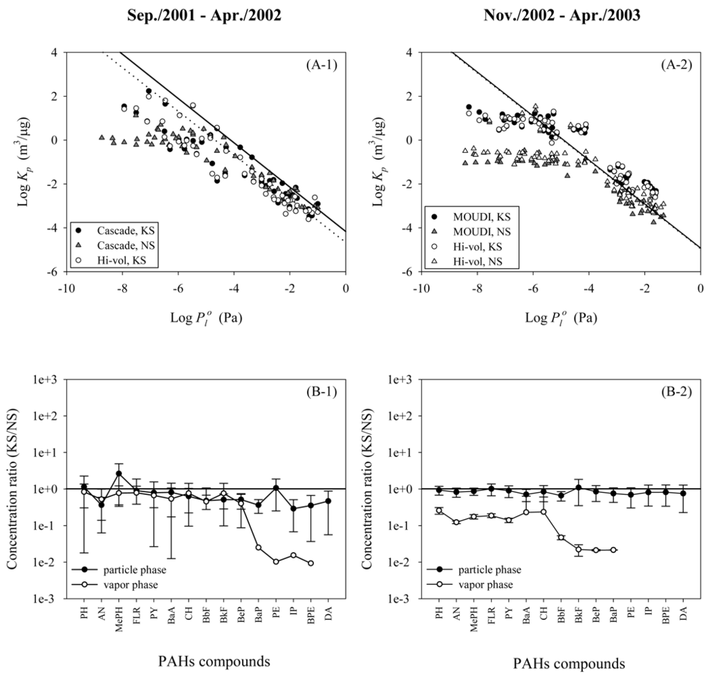
3.5. Phase Equilibria in Multimedia Environment
3.6. Black Carbon Effect on Partitioning and Fate
4. Conclusions
Acknowledgments
References and Notes
- Palm, A.; Cousins, I.; Gustafsson, Ö.; Axelman, J.; Grunder, K.; Broman, D.; Brorström-Lundén, E. Evaluation of sequentially-coupled POP fluxes estimated from simultaneous measurements in multiple compartments of an air-water-sediment system. Environ. Pollut 2004, 129, 85–97. [Google Scholar]
- Holoubek, I.; Klánová, J.; Jarkovský, J.; Kohoutek, J. Trends in background levels of persistent organic pollutants at Kosetice observatory, Czech Republic. Part I. Ambient air and wet deposition 1996–2005. J. Environ. Monit. 2007, 6, 557–563. [Google Scholar]
- Holoubek, I.; Klánová, J.; Jarkovský, J.; Kubik, V.; Helešic, J. Trends in background levels of persistent organic pollutants at Kosetice observatory, Czech Republic. Part II. Aquatic and terrestrial environments 1996–2005. J. Environ. Monit. 2007, 9, 564–571. [Google Scholar]
- Daly, G.L.; Lei, Y.D.; Castillo, L.E.; Muir, D.C.G.; Wania, F. Polycyclic aromatic hydrocarbons in Costa Rican air and soil: a tropical/temperate comparison. Atmos. Environ. 2007, 41, 7339–7350. [Google Scholar]
- Gobas, F.A.P.C.; Pasternak, J.P.; Lien, K.; Dunkan, R.K. Development and field validation of a multimedia exposure assessment model for waste load allocation in aquatic ecosystem: application to 2,3,7,8-tetrachlorodibenzo-p-dioxin and 2,3,7,8-tetrachlorodibenzofuran in the Fraser River watershed. Environ. Sci. Technol. 1998, 32, 2442–2449. [Google Scholar]
- Cowan, C.E.; Mackay, D.; Feijtel, T.C.J.; van de Meent, D.; Di Guardon, A.; Davies, J.; Mackay, N. The Multimedia Fate Model: a Vital Tool for Predicting the Fate of Chemicals; SETAC Press: Pensacola, FL, USA, 1995. [Google Scholar]
- Lee, Y.; Lee, D.S.; Kim, S.-K.; Kim, Y.K.; Kim, D.W. Use of the relative concentration to evaluate a multimedia model for PAHs in the absence of emission estimates. Environ. Sci. Technol. 2004, 38, 1079–1088. [Google Scholar]
- Armitage, J.M.; Cousins, I.T.; Hauck, M.; Harbers, J.V.; Huijbregts, M.A.J. Empirical evaluation of spatial and non-spatial European-scale multimedia fate models: results and implications for chemical risk assessment. J. Environ. Monit. 2007, 9, 572–581. [Google Scholar]
- Saloranta, T.M.; Armitage, J.M.; Haario, H.; Næs, K.; Cousins, I.T.; Barton, D.N. Modeling the effects and uncertainties of contaminated sediment remediation scenarios in a Norwegian Fjord by Markov Chain Monte Carlo simulation. Environ. Sci. Technol. 2008, 42, 200–206. [Google Scholar]
- Wania, F.; Mackay, D. The evolution of mass balance models of persistent oranic pollutant fate in the environment. Environ. Pollut. 1999, 100, 223–240. [Google Scholar]
- Kawamoto, K.; MacLeod, M.; Mackay, D. Evaluation and comparison of multimedia mass balance models of chemical fate: application of EUSES and ChemCAN to 68 chemicals in Japan. Chemosphere 2001, 44, 599–612. [Google Scholar]
- Zhang, Q.; Crittenden, J.C.; Shonnard, D.; Mihelcic, J.R. Development and evaluation of an environmental multimedia fate model CHEMGL for the Great Lakes region. Chemosphere 2003, 50, 1377–1397. [Google Scholar]
- Paode, R.D.; Sofuoglu, S.C.; Sivadechathep, J.; Noll, K.E.; Holsen, T.M. Dry deposition fluxes and mass size distributions of Pb, Cu, and Zn measured in Southern Lake Michigan during AEOLOS. Environ. Sci. Technol. 1998, 32, 1629–1635. [Google Scholar]
- Sloan, C.A.; Adams, N.G.; Pearce, R.W.; Brown, D.W.; Chan, S.L. Sampling and Analytical Methods of the National Status and Trends Program: National Benthic Surveillance and Mussel Watch. Lauenstein, G.G., Cantillo, A.Y., Eds.; In NOAA Technical Memorandum NOS ORCA 71; NOAA: Silver Spring, MD, USA, 1993. [Google Scholar]
- Gustafsson, Ö.; Andersson, P.; Axelman, J.; Bucheli, T.D.; Kömp, P.; McLachlan, M.S.; Sobek, A.; Thörngren, J.-O. Observations of the PCB distribution within and in-between ice, snow, ice-rafted debris, ice-interstitial water, and seawater in the Barents Sea marginal ice zone and the North Pole area. Sci. Total Environ. 2005, 342, 261–279. [Google Scholar]
- Panther, B.C.; Hooper, M.A.; Tapper, N.J. A comparison of air particulate matter and associated polycyclic aromatic hydrocarbons in some tropical and temperate urban environments. Atmos. Environ. 1999, 33, 4087–4099. [Google Scholar]
- Bi, X.; Shen, G.; Peng, P.; Chen, Y.; Zhang, Z.; Fu, J. Distribution of particulate- and vapor-phase n-alkanes and polycyclic aromatic hydrocarbons in urban atmosphere of Guangzhou, China. Atmos. Environ. 2003, 37, 289–298. [Google Scholar]
- Liu, S.; Tao, S.; Liu, W.; Liu, Y.; Dou, H.; Zhao, J.; Wang, L.; Wang, J.; Tian, Z.; Gao, Y. Atmospheric polycyclic aromatic hydrocarbons in North China: a winter-time study. Environ. Sci. Technol. 2007, 41, 8256–8261. [Google Scholar]
- Bixian, M.; Jiamo, F.; Gan, Z.; Zheng, L.; Yushun, M.; Guoying, S.; Xingmin, W. Polycyclic aromatic hydrocarbons in sediments from the Pearl river and estuary, China:spatial and temporal distribution and sources. Appl. Geochem. 2001, 16, 1429–1445. [Google Scholar]
- Tao, S.; Cui, Y.H.; Xu, F.L.; Li, B.G.; Cao, J.; Liu, W.X.; Schmitt, G.; Wang, X.J.; Shen, W.R.; Qing, B.P.; Sun, R. Polycyclic aromatic hydrocarbons (PAHs) in agricultural soil and vegetables from Tianjin. Sci. Total Environ. 2004, 320, 11–24. [Google Scholar]
- Zhang, Z.; Huang, J.; Yu, G.; Hong, H. Occurrence of PAHs, PCBs and organochlorine pesticides in the Tonghui River of Beijing, China. Environ. Pollut. 2004, 130, 249–261. [Google Scholar]
- Budzinski, H.; Jones, I.; Bellocq, J.; Pierard, C.; Garrigures, P. Evaluation of sediment contamination by polycyclic aromatic hydrocarbons in the Gironde Estuary. Mar. Chem. 1997, 58, 85–97. [Google Scholar]
- Baek, S.O.; Field, R.A.; Goldstone, M.E.; Kirk, P.W.; Lester, J.N.; Perry, R. A review of atmospheric polycyclic aromatic hydrocarbons: sources, fate and behavior. Water Air Soil Pollut 1991, 60, 279–300. [Google Scholar]
- Garban, B.; Blanchoud, H.; Motelay-Massei, A.; Chevreuil, M.; Ollivon, D. Atmospheric bulk deposition of PAHs onto France: trends from urban to remote sites. Atmos. Environ. 2002, 36, 5395–5403. [Google Scholar]
- Allen, J.O.; Dookeran, N.M.; Smith, K.A.; Sarofim, A.F. Measurement of polycyclic aromatic hydrocarbons associated with size-segregated atmospheric aerosols in Massachusetts. Environ. Sci.Technol. 1996, 30, 1023–1031. [Google Scholar]
- Zhou, J.; Wang, T.; Huang, Y.; Mao, T.; Zhong, N. Size distribution of polycyclic aromatic hydrocarbons in urban and suburban sites of Beijing. China. Chemosphere 2005, 61, 792–799. [Google Scholar]
- Lohmann, R.; Lee, R.G.M.; Green, N.J.L.; Jones, K.C. Gas-particle partitioning of PCDD/Fs in daily air samples. Atmos. Environ. 2000, 34, 2529–2537. [Google Scholar]
- Offenberg, J.H.; Baker, J.E. The influence of aerosol size and organic carbon content on gas/particle partitioning of polycyclic aromatic hydrocarbons (PAHs). Atmos. Environ. 2002, 36, 1205–1220. [Google Scholar]
- Volckens, J.; Leith, D. Effects of sampling bias on gas-particle partitioning of semi-volatile compounds. Atmos. Environ. 2003, 37, 3385–3393. [Google Scholar]
- Galarneau, E.; Bidelman, T.F. Modelling the temperature-induced blow-off and blow-on artifacts in filter-sorbent measurements of semivolatile substances. Atmos. Environ. 2006, 40, 4258–4268. [Google Scholar]
- Cotham, W.E.; Bidleman, T.F. Polycyclic aromatic hydrocarbons and polychlorinated biphenyls in air at an urban and a rural site near Lake Michigan. Environ. Sci. Technol. 1995, 29, 2782–2789. [Google Scholar]
- Holsen, T.M.; Noll, K.E. Dry deposition of atmospheric particles: application of current models to ambient data. Environ. Sci. Technol. 1992, 26, 1807–1815. [Google Scholar]
- Zuo, Q.; Lin, H.; Zhang, X.L.; Li, Q.L.; Liu, S.Z.; Tao, S. A two-compartment exposure device for foliar uptake study. Environ. Pollut. 2006, 143, 126–128. [Google Scholar]
- Chiou, C.T.; Porter, P.E.; Schmedding, D.W. Partition equilibria of nonionic organic compounds between soil organic matter and water. Environ. Sci. Technol. 1983, 17, 227–231. [Google Scholar]
- Ko, F.-C.; Baker, J.E. Partitioning of hydrophobic organic contaminants to resuspended sediments and plankton in the mesohaline Chesapeake Bay. Mar. Chem. 1995, 49, 171–188. [Google Scholar]
- Brown, J.N.; Peake, B.M. Sources of heavy metals and polycyclic aromatic hydrocarbons in urban strom water runoff. Sci. Total Environ. 2006, 359, 145–155. [Google Scholar]
- Swakhamer, D.L.; Skoglund, R.S. The role of Phytoplankton in the partitioning of hydrophobic organic contaminants in water. In Organic Substances and Sediments in Water; Baker, R.A., Ed.; Lewis Publishers: Chelsea, MI, USA, 1990; Volume 2, pp. 91–105. [Google Scholar]
- Venkataraman, C.; Thomas, S.; Kulkarni, P. Size distributions of polycyclic aromatic hydrocarbons-gas/particle partitioning to urban aerosols. J. Aerosol Sci. 1999, 30, 759–770. [Google Scholar]
- Howard, P.H.; Boethling, R.S.; Jarvis, W.F.; Meylan, W.M.; Michalenko, E.M. Handbook of Environmental Degradation Rates; Howard, P.H., Ed.; Lewis Publishers: Chelsea, MI, USA, 1991. [Google Scholar]
- Tremolada, P.; Burnett, V.; Calamari, D.; Jones, K.C. Spatial distribution of PAHs in the U.K. atmosphere using pine needle. Environ. Sci. Technol. 1996, 30, 3570–3577. [Google Scholar]
- Smith, K.E.C.; Jones, K.C. Particles and vegetation: implication for the transfer of particle-bound organic contaminants to vegetation. Sci. Total Environ. 2000, 246, 207–236. [Google Scholar]
- Makay, D. Multimedia Environmental Models; Mackay, D., Ed.; Lewis Publishers: Chelsea, MI, USA, 1991. [Google Scholar]
- Paasivirta, J.; Sinkkonen, S.; Mikkelson, P.; Rantio, T.; Wania, F. Estimation of vapor pressures, solubilities and Herny's law constants of selected persistent organic pollutants as functions of temperature. Chemosphere 1999, 39, 811–832. [Google Scholar]
- ten Hulscher, T.E.M.; van der Velde, L.E.; Bruggeman, W.A. Temperature dependence of Henry's law constants for selected chlorobenzenes, polychlorinated biphenyls, and polycylic aromatic hydrocarbons. Environ. Toxicol. Chem. 1992, 11, 1595–1603. [Google Scholar]
- Gustafsson, O.; Haghseta, F.; Chan, C.; MacFarlane, J.; Gschwend, P.M. Quantification of the dilute sedimentary soot phase: implicatons for PAH speciation and bioavailability. Environ. Sci. Technol. 1997, 31, 203–209. [Google Scholar]
- Zhou, J.L.; Fileman, T.W.; Evans, S.; Donkin, P.; Readman, J.W.; Mantoura, R.F.C.; Rowland, S. The partition of fluoranthene and pyrene between suspended particles and dissolved phase in the Humber estuary: a study of the controlling factors. Sci. Total Environ. 1999, 243/244, 305–321. [Google Scholar]
- Hauk, M.; Huijbregts, M.A.J.; Armitage, J.M.; Cousins, I.T.; Ragas, A.M.J.; van de Meent, D. Model and input uncertainty in multi-media fate modeling: benzo[a]pyrene concentrations in Europe. Chemosphere 2008, 72, 959–967. [Google Scholar]
- Prevedouros, K.; Palm-Cousins, A.; Gustafsson, Ö.; Cousins, I.T. Development of a black carbon-inclusive multi-media model: application for PAHs in Stockholm. Chemosphere 2008, 70, 607–615. [Google Scholar]
- Baker, J.E.; Capel, P.D.; Eisenreich, S.J. Influence of colloids on sediment-water partition coefficients of polychlorinated biphenyl congeners in natural waters. Environ Sci Technol 1986, 20, 1136–1143. [Google Scholar]
- Accardi-Dey, A.; Gshwend, P.M. Assessing the combined roles of natural organic matter and black carbon as sorbents in sediment. Environ. Sci. Technol. 2002, 36, 21–29. [Google Scholar]
- Krop, H.B.; van Noort, P.C.M.; Govers, H.A.J. Determination and theoretical aspects of the equilibrium between dissolved organic matter and hydrophobic organic micropollutants in water (KDOC). Rev. Environ. Contam. Toxicol. 2001, 169, 1–122. [Google Scholar]
- Koelmans, A.A.; Jonker, M.T.O.; Cornelissen, G.; Bucheli, T.D.; van Noort, P.C.M.; Gustafsson, Ö. Black carbon: the reverse of its dark side. Chemosphere 2006, 63, 365–377. [Google Scholar]









| Unit | Sampling sites | Aug. (or Sep.c) 2001 | Oct. 2001 | Dec. 2001 | Feb. 2002 | Apr. 2002 | |
|---|---|---|---|---|---|---|---|
| Environmental parameters | |||||||
| Air temp. | °C | average | 23 | 17 | -4.3 | 3.0 | 7.7 |
| Water temp. | °C | average | 26 | 18 | 0.60 | 5.7 | 9.7 |
| SS conc. | (mg/L) | MW | 23 | 20 | 9.0 | 24 | 34 |
| KN | 21 | 9.8 | 3.9 | 7.2 | 18 | ||
| TSP conc. | (μg/m3) | NS | 32 | 50 | 60 | 55 | 83 |
| KS | 44 | 220 | 98 | 150 | 130 | ||
| SS_Foc | dimensionless | MW | 0.067 | 0.069 | 0.094 | 0.18 | 0.18 |
| KN | 0.052 | 0.12 | 0.18 | 0.25 | 0.070 | ||
| Sediment_Foc | dimensionless | MW | 0.013 | 0.018 | 0.017 | 0.014 | 0.025 |
| KN | 0.011 | 0.014 | 0.015 | 0.020 | 0.015 | ||
| Soil_Foc | dimensionless | NS | 0.046 | 0.035 | 0.057 | 0.064 | 0.055 |
| KS | 0.035 | 0.041 | 0.040 | 0.052 | 0.049 | ||
| TPAHs concentration in each medium | |||||||
| Airb | (ng/m3) | NS | 10 | 34 | 58 | 24 | -- d |
| KS | 6.4 | 23 | 59 | 32 | 15 | ||
| Dry deposition flux | (μg/m2/day) | NS | 80 | 140 | 130 | 66 | -- d |
| KS | 75 | 93 | 68 | 56 | 79 | ||
| Soil | (ng/g dw.) | NS | 760 | 1000 | 1700 | --d | -- d |
| KS | 1100 | 870 | 1100 | -- d | -- d | ||
| Leaves | Pine needle (ng/g dw.) | NS | 400 | 630 | 2100 | 1800 | -- d |
| KS | 290 | 710 | 1200 | 1400 | -- d | ||
| Oak leaf (ng/g dw.) | NS | 250 | 360 | 950 | -- d | 370 | |
| KS | 140 | 340 | 830 | 2100 | 140 | ||
| Waterb | (ng/L) | MW | 21 | 23 | 5.2 | 11 | 32 |
| KN | 15 | 9.9 | 8.0 | 13 | 11 | ||
| Sediment | (ng/g dw.) | MW | 410 | 1100 | 1300 | 360 | 510 |
| KN | 250 | 270 | 320 | 190 | 160 | ||
| PAHs | Air (ng/m3) | Soil (ng/g dw) | Sediment (ng/g dw) | Water (ng/L) | Plant leave (ng/g dw.) | ||||
|---|---|---|---|---|---|---|---|---|---|
| Gaseous | particulate | dissolved | SS | deciduous | coniferous | ||||
| N (sample number) = | 9 | 9 | 6 | 10 | 10 | 10 | 8 | 8 | |
| Naphthalaene | NA | NQ | 0.031-0.20 (0.092) | 20-44 (28) | 5.6-28 (14) | NQ | NQ | 11-62 (14) | 14-450 (160) |
| 2-methylnaphthalene | 2-MeNA | NQ | 0.016-0.11 (0.059) | 10-26 (18) | 3.3-19 (9.3) | NQ | NQ | 3.4-32 (6.5) | 18-170 (71) |
| 1-methylnaphthalene | 1-MeNA | NQ | 0.008-0.06 (0.028) | 4.9-14 (8.6) | 1.7-8.7 (4.3) | NQ | NQ | 2.1-22 (3.1) | 5.1-110 (23) |
| Biphenyl | BI | NQ | 0.02-0.078 (0.034) | 5.3-11 (8.9) | 3.4-8.2 (5.4) | NQ | NQ | 3.7-37 (9.5) | 12-290 (24) |
| 2,6-dimethylnaphthalene | DiNA | NQ | 0.007-0.053 (0.024) | 5.2-11 (8.7) | 2.6-15 (7.8) | NQ | NQ | 0.3-15 (3.3) | 3.2-23 (15) |
| Acenaphthylene | AC | NQ | 0.006-0.19 (0.035) | 1.8-3.0 (2.5) | 0.40-1.1 (0.7) | NQ | NQ | 0.50-23 (2.2) | 2.9-180 (7.3) |
| Acenaphthene | ACE | NQ | 0.001-0.022 (0.0070) | 1.6-2.5 (1.7) | 0.60-3.5 (1.1) | NQ | NQ | 0.40-7.0 (1.6) | 0.50-37 (4.6) |
| 2,3,5-trimethyl-naphthalene | TriNA | NQ | 0.004-0.026 (0.013) | 2.1-7.4 (4.5) | 1.8-11 (3.6) | NQ | NQ | 0.80-17 (2.4) | 4.7-140 (17) |
| Fluorene | FL | NQ | 0.005-0.24 (0.038) | 2.8-8.0 (4.3) | 1.8-8.2 (3.8) | NQ | NQ | 2.4-81 (8.1) | 28-120 (37) |
| Phenanthrene | PH | 2.3-14 (6.8) | 0.058-3.2 (0.48) | 53-85 (69) | 11-38 (19) | 1.6-9.4 (4.2) | 0.26-1.5 (0.90) | 16-810 (62) | 130-510 (210) |
| Anthracene | AN | 0.053-1.0 (0.32) | 0.006-0.16 (0.044) | 1.7-4.4 (2.8) | 1.2-5.8 (2.6) | 0.14-5.5 (0.27) | 0.024-0.09 (0.051) | 0.70-20 (3.6) | 0.20-10 (3.6) |
| 1-methylphenanthrene | MePH | 0.25-0.91 (0.55) | 0.009-0.29 (0.089) | 8.6-14 (9.5) | 1.6-6.0 (3.3) | 0.28-1.1 (0.49) | 0.061-3.4 (0.18) | 2.3-76 (9.2) | 7.4-52 (20) |
| Fluoranthene | FLR | 1.2-3.6 (2.0) | 0.078-4.2 (0.99) | 99-150 (110) | 21-54 (32) | 0.35-2.3 (0.91) | 0.11-1.0 (0.57) | 33-410 (110) | 24-200 (79) |
| Pyrene | PY | 0.80-3.2 (1.7) | 0.092-3.6 (0.93) | 63-120 (79) | 19-48 (28) | 0.30-3.6 (1.1) | 0.16-1.3 (0.42) | 17-210 (57) | 20-170 (62) |
| Benz[a]anthracene | BaA | 0.004-0.088 (0.029) | 0.050-1.67 (0.61) | 20-57 (33) | 8.0-23 (13) | 0.035-3.4 (0.13) | 0.095-0.37 (0.16) | 1.6-17 (6.0) | 0.80-12 (6.1) |
| Chrysene | CH | 0.027-0.33 (0.10) | 0.12-3.2 (1.1) | 64-140 (78) | 12-26 (18) | 0.090-0.87 (0.16) | 0.051-0.60 (0.31) | 16-97 (24) | 5.0-59 (34) |
| Benzo[b]fluoranthene | BbF | 0.002-0.14 (0.010) | 0.25-5.2 (2.2) | 88-230 (130) | 19-42 (30) | 0.046-1.9 (0.16) | 0.058-0.70 (0.28) | 5.2-44 (11) | 1.3-19 (11) |
| Benzo[k]fluoranthene | BkF | nd-0.035 (0.0040) | 0.057-1.4 (0.52) | 18-65 (30) | 5.0-12 (7.7) | 0.012-1.2 (0.097) | 0.012-0.20 (0.082) | 1.2-11 (2.3) | 0.30-4.5 (2.6) |
| Benzo[e]pyrene | BeP | nd-0.057 (0.005) | 0.13-2.0 (1.0) | 38-100 (55) | 9.4-21 (14) | 0.015-0.58 (0.082) | 0.040-0.40 (0.15) | 3.2-19 (6.1) | 0.70-8.3 (4.9) |
| Benzo(a)pyrene | BaP | nd-0.061 (0.0050) | 0.067-2.3 (1.1) | 22-75 (39) | 7.5-22 (15) | 0.037-0.48 (0.30) | 0.031-0.22 (0.081) | 1.0-11 (2.6) | 0.30-3.5 (1.9) |
| Perylene | PE | Nd-0.017 (0.0010) | 0.011-1.7 (0.14) | 4.5-14 (8.0) | 8.0-28 (12) | 0.036-0.30 (0.074) | 0.042-0.61 (0.079) | nd-1.3 (0.50) | 0.30-0.80 (0.40) |
| Indeno[1,2,3-cd]pyrne | IP | Nd-0.082 (0.0030) | 0.19-7.5 (1.3) | 90-290 (150) | 24-52 (35) | 0.040-0.87 (0.28) | 0.012-0.52 (0.21) | 1.5-20 (6.4) | 0.80-7.0 (4.8) |
| Benzo[ghi]perylene | BPE | ND-0.071 (0.0060) | 0.22-5.2 (1.3) | 64-240 (96) | 18-50 (25) | 0.036-0.88 (0.34) | 0.082-0.70 (0.31) | 1.9-17 (12) | 1.1-12 (4.9) |
| Dibenzo[a,h]anthracene | DA | ND-0.012 (0.0050) | 0.033-0.91 (0.19) | 23-64 (37) | 7.4-15 (10) | 0.11-0.37 (0.27) | 0.024-0.13 (0.063) | 0.50-2.9 (0.80) | nd-1.2 (0.70) |
© 2009 by the authors; licensee Molecular Diversity Preservation International, Basel, Switzerland. This article is an open access article distributed under the terms and conditions of the Creative Commons Attribution license (http://creativecommons.org/licenses/by/3.0/).
Share and Cite
Kim, S.-K.; Lee, D.S.; Shim, W.J.; Yim, U.H.; Shin, Y.-S. Interrelationship of Pyrogenic Polycyclic Aromatic Hydrocarbon (PAH) Contamination in Different Environmental Media. Sensors 2009, 9, 9582-9602. https://doi.org/10.3390/s91209582
Kim S-K, Lee DS, Shim WJ, Yim UH, Shin Y-S. Interrelationship of Pyrogenic Polycyclic Aromatic Hydrocarbon (PAH) Contamination in Different Environmental Media. Sensors. 2009; 9(12):9582-9602. https://doi.org/10.3390/s91209582
Chicago/Turabian StyleKim, Seung-Kyu, Dong Soo Lee, Won Joon Shim, Un Hyuk Yim, and Yong-Seung Shin. 2009. "Interrelationship of Pyrogenic Polycyclic Aromatic Hydrocarbon (PAH) Contamination in Different Environmental Media" Sensors 9, no. 12: 9582-9602. https://doi.org/10.3390/s91209582
APA StyleKim, S.-K., Lee, D. S., Shim, W. J., Yim, U. H., & Shin, Y.-S. (2009). Interrelationship of Pyrogenic Polycyclic Aromatic Hydrocarbon (PAH) Contamination in Different Environmental Media. Sensors, 9(12), 9582-9602. https://doi.org/10.3390/s91209582
