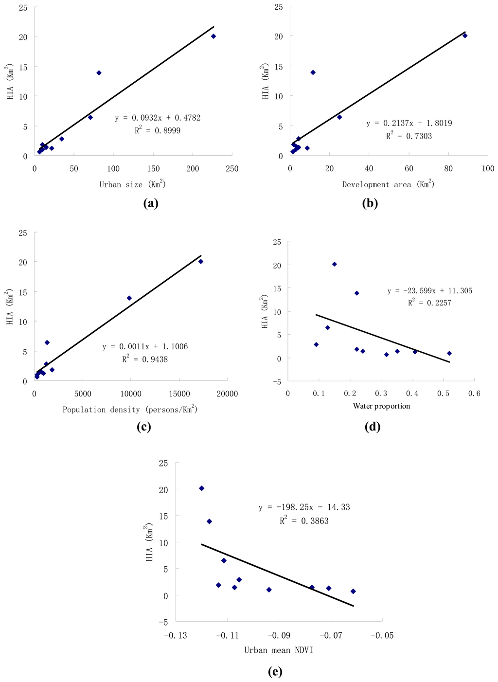
Study of the Relationships between the Spatial Extent of Surface Urban Heat Islands and Urban Characteristic Factors Based on Landsat ETM+ Data
Zhang, J.; Wang, Y. Study of the Relationships between the Spatial Extent of Surface Urban Heat Islands and Urban Characteristic Factors Based on Landsat ETM+ Data. Sensors 2008, 8, 7453-7468. https://doi.org/10.3390/s8117453
Zhang J, Wang Y. Study of the Relationships between the Spatial Extent of Surface Urban Heat Islands and Urban Characteristic Factors Based on Landsat ETM+ Data. Sensors. 2008; 8(11):7453-7468. https://doi.org/10.3390/s8117453
Chicago/Turabian StyleZhang, Jinqu, and Yunpeng Wang. 2008. "Study of the Relationships between the Spatial Extent of Surface Urban Heat Islands and Urban Characteristic Factors Based on Landsat ETM+ Data" Sensors 8, no. 11: 7453-7468. https://doi.org/10.3390/s8117453


