Next Article in Journal
Energy Distribution Optimization in Heterogeneous Networks with Min–Max and Local Constraints as Support of Ambient Intelligence
Next Article in Special Issue
Microwire vs. Micro-Ribbon Magnetoelastic Sensors for Vibration-Based Structural Health Monitoring of Rectangular Concrete Beams
Previous Article in Journal
Early Detection of Alzheimer’s Disease via Machine Learning-Based Microwave Sensing: An Experimental Validation
Previous Article in Special Issue
Air Pollution Monitoring Using Cost-Effective Devices Enhanced by Machine Learning
 
 
Font Type:
Arial Georgia Verdana
Font Size:
Aa Aa Aa
Line Spacing:
Column Width:
Background:
Article

Substation Inspection Safety Risk Identification Based on Synthetic Data and Spatiotemporal Action Detection

by
Chengcheng Liu
1,
Weihua Zhang
2,
Weijin Xu
2,
Bo Lu
1,
Weijie Li
1 and
Xuefeng Zhao
1,*
1
State Key Laboratory of Coastal and Offshore Engineering, School of Civil Engineering, Dalian University of Technology, Dalian 116024, China
2
State Grid Changchun Power Supply Company, Changchun 130021, China
*
Author to whom correspondence should be addressed.
Sensors 2025, 25(9), 2720; https://doi.org/10.3390/s25092720
Submission received: 4 March 2025 / Revised: 16 April 2025 / Accepted: 24 April 2025 / Published: 25 April 2025

Abstract

During substation inspection, operators are often exposed to hazardous working environments. It is necessary to use visual sensors to determine work status and perform action detection to distinguish between normal and dangerous actions in order to ensure the safety of operators. However, due to information security, privacy protection, and the rarity of dangerous scenarios, there is a scarcity of related visual action datasets. To address this issue, this study first introduces a virtual work platform, which includes a controller for the parameterized control of scenarios and human resources. It can simulate realistic substation inspection operations and generate synthetic action datasets using domain randomization and behavior tree logic. Subsequently, a spatiotemporal action detection algorithm is utilized for action detection, employing YOLOv8 as the human detector, Vision Transformer as the backbone network, and SlowFast as the action detection architecture. Model training is conducted using three datasets: a real dataset, a synthetic dataset generated via a VWP, and a mixed dataset comprising both real and synthetic data. Finally, using the model trained on the real dataset as a baseline, the evaluation results on the test set shows that the use of synthetic datasets in training improves the model’s average precision by up to 10.7%, with a maximum average precision of 73.61%. This demonstrates the feasibility, effectiveness, and robustness of synthetic data.

Graphical Abstract

1. Introduction

With the increasing demand for electricity in recent years, the problem of ensuring high-quality and reliable power has become more urgent. As an important part of power infrastructure, substations require frequent inspection to ensure reliable power supply to cities. Substation operators are often exposed to hazardous working conditions, and safety violations are common due to the impact of the work environment and personal safety awareness. This leads to frequent power safety accidents, which cause huge economic losses and have a negative social impact [1,2,3,4]. Video surveillance systems composed of various visual sensors have become a core technological means of detecting dangerous actions and ensuring public safety in modern society, leveraging their capabilities in multimodal perception, intelligent analysis, and all-weather responsiveness.
In the field of action recognition for substation inspection operations, T. Wang et al. [5] proposed a human climbing fence detection method based on image processing. W. Bo et al. [6] proposed a skeleton-based behavior recognition method to monitor operator violations in distribution network operation. J. Wang et al. [7] combined the YOLOv5-based object detection model, HRNet-based pose estimation model, and ST-GCN-based skeleton-based action recognition model to develop a violation detection strategy for identifying violation behaviors.
In the realm of action detection in machine vision, these studies utilize diverse algorithms for image and skeletal recognition, yet they are often constrained by the proprietary datasets collected by the researchers themselves, which gives rise to several issues. Firstly, there is the issue of dataset imbalance. While it is relatively straightforward to collect data on safe actions, as everyday surveillance can provide ample examples, the collection of hazardous actions poses a challenge. Hazardous actions are rarely observed in daily scenarios, and there are inherent safety risks associated with their collection, leading to a scarcity of such data and an imbalanced dataset [8]. Secondly, the highly specialized field of action detection lacks unified standards for cross-comparison [9]. On the one hand, due to privacy protection and data security limitations, researchers generally use internal video datasets to study highly specialized unconventional activities such as substation inspections. On the other hand, data annotation relies heavily on manual labor, resulting in inconsistent annotation standards and hindering data comparability across studies. The third issue pertains to the fragility of single datasets. Research on the detection and analysis of operator actions during substation inspections under various conditions is relatively limited. Access to video data of operational actions in specialized fields is challenging, and individual videos lack a diversity of different environments, lighting conditions, and multi-angle perspectives of actions in various states. This limitation hinders the study of algorithmic generalizability and robustness.
To solve the problem of insufficient data acquisition by visual sensors in real scenarios, we proposed a method of using virtual technology to simulate engineering operation scenarios and create synthetic datasets for action detection. We introduced a virtual work platform (VWP) to control the generation of synthetic action datasets. We conducted experiments using the VWP in the context of identifying actions during power substation inspection operations. The primary tasks completed are as follows:
(1)
We established a VWP. To simulate real-world work scenarios, the VWP supports the import of environmental models and virtual characters and enables the creation of domain randomization controllers, behavior trees, and data export pipelines. By adjusting various parameters and action logic and employing a unified annotation standard, the VWP can generate rich and detailed action datasets with domain randomization, extending to engineering action recognition studies across different domains.
(2)
We collected and produced real datasets, synthetic datasets, and mixed datasets for the recognition of safety-risk actions in substations. Upon acquiring these datasets, a thorough comparison of various classical object detection algorithms was conducted. YOLOv8 was ultimately selected as the human detector due to its superior accuracy, rapid detection speed, and lightweight architecture. Furthermore, Vision Transformer (ViT) was integrated as the backbone of the model to effectively extract spatiotemporal contextual information from video sequences, enabling precise action detection by accurately locating the spatial and temporal states of operators. To ensure optimal performance, the model was fine-tuned, optimizing its parameters and achieving the best possible performance metrics.
(3)
We used models trained on real datasets as the baseline for comparative experiments, assessing the role and impact of synthetic data through test sets combining real data and AVA data. The results confirmed the feasibility, effectiveness, and robustness of synthetic datasets. Synthetic datasets were found to effectively alleviate the issues of small and insufficiently diverse real datasets, enhancing the accuracy and robustness of the models.
The rest of the paper is organized as follows: Section 2 reviews related work on synthetic data and action recognition. Section 3 describes the composition and architecture of the VWP. Section 4 presents the experimental methodology and results. Section 5 concludes the paper.

2. Related Work

2.1. Synthetic Data

In traditional machine vision, human action recognition models are trained using large sets of human-labeled data, for example, UCF101 [10], Kinetics 400 [11], HMDB51 [12], AVA [13], Something-Something [14], and other datasets. These datasets, which come from sources such as YouTube, television channels, TV series, and movies, are powerful resources that contain various categories of actions. However, there are the following shortcomings: First, personnel with relevant knowledge are required to manually annotate videos, which is costly, and the annotation will be affected by the subjective judgment of the video annotator. If there are more annotators, the labeling or time judgment of action annotation may be different. Second, the viewing angle of the video in the dataset is limited by the shooting angle, and it cannot be converted, nor can another viewing angle be added according to the requirements of the researchers. Thirdly, in certain professional domains where there is a lack of extensive video data or limited publicly available video data, such as power maintenance, construction, and factory operations, there is a shortage of comprehensive datasets with a wide range of content compared to those available for other types of actions, such as daily activities, dance, or sports movements. Due to concerns regarding information security and privacy, researchers within certain professional domains typically annotate internal video materials for their studies, resulting in fewer publicly released self-created datasets. This situation hampers the ability of researchers in the same field to conduct cross-comparative studies on data of interest.
To address challenges such as limited availability and difficulty in acquiring real-world data, many domains have embarked on a series of research efforts to obtain a larger pool of relevant data and establish more targeted datasets. These endeavors have yielded significant progress.
Among them, the development of simulation experiments in the field of autonomous driving stands out as the most advanced. Several simulation platforms have been developed based on the Unreal Engine game engine, such as Carla [15], developed by Intel Labs, and AirSim [16], developed by Microsoft Research. Additionally, there is a synthetic video dataset called virtual KITTI [17], developed using the Unity game engine. Additionally, there is VIPER [18], developed based on the game Grand Theft Auto V (GTA 5), Synscapes street scene dataset [19], developed based on computer graphics, and a pedestrian trajectory dataset on road network structures, based on digital twins [20]. These virtual simulation open-source platforms and synthetic datasets are designed to support the development of urban autonomous driving systems. They provide accessible digital assets (city layouts, buildings, and vehicles) for 2D and 3D multi-object tracking, with pixel-level labels for categories, instances, flow, and depth. These resources serve as valuable tools for computer vision tasks related to urban autonomous vehicle navigation and contribute to the advancement of research in autonomous driving.
In the field of object pose detection, research into synthetic datasets for the purpose of expanding data collections and enhancing model generalization capabilities has been ongoing. Tremblay et al. introduced a synthetic dataset called Falling Things (FAT) [21]. This dataset provides 3D poses for all objects, pixel-wise class segmentation, and 2D/3D bounding box coordinates. NVIDIA’s Deep Learning Dataset Synthesizer (NDDS) plugin supports image, segmentation, depth, object pose, bounding box, keypoints, and custom template synthesis. It includes the randomization of lighting, objects, camera positions, poses, textures, and occlusions, as well as camera path tracking. Unity’s Perception package [22] provides a tool for capturing datasets, allowing the merging and generation of synthetic datasets within Unity. It encompasses four fundamental functionalities: object labeling, annotation, image capture, and customizable metrics.
In the field of pedestrian detection and tracking, Fabbri M [23] collected the JTA (Joint Track Auto) dataset and the MOTSynth [24] dataset for pedestrian pose estimation and tracking in urban scenarios by exploiting the highly photorealistic video game GTA 5. Hu Y T et al. also utilized the game GTA 5 to generate the SAIL-VOS [25] dataset, which consists of instance-level video object segmentation with occlusions. Additionally, they introduced SAIL-VOS 3D [26], an extended synthetic video dataset with per-frame grid annotations. Unity introduced PeopleSansPeople [27], a parameterized synthetic data generator for human recognition. It allows the generation of synthetic data with varying poses, lighting conditions, positions, and occlusions to enhance human recognition tasks.
Most of the research methods described above use game engines or build data simulators based on commercial games with high completion rates. The simulators provide control over the data generation itself and facilitate the adjustment of datasets for simulation-to-reality transfer. The generated data types typically include images, videos, and radar data. This proves the value of using the simulator to synthesize datasets in the research fields of image processing [28], object pose detection [29], person detection [30], trajectory tracking [31], automatic driving [32,33], dangerous scene detection, and so on. However, these studies do not allow researchers to import, control, or set the behavior logic of the characters. Inspired by the above research, we built a virtual work platform (VWP) based on Unreal Engine. The VWP can control the parameter distribution of light, people, action, camera, etc., and the action logic simulates the operation of real substation inspection personnel, providing a solution for researchers to address the lack of relevant action datasets when studying highly professional action detection such as substation inspection.

2.2. Action Detection

Research on action recognition can be roughly divided into three directions. The first direction is action recognition, which can only be applied to cropped videos to judge the action category. The video containing the recognized action needs to be classified and labeled with action labels after being cropped, and each video in this category contains only one type of action. The second direction is temporal action detection, which targets the original video that has not been cropped, and can locate the time of the action, giving the start and end time points of the action and the action category information in the video. However, temporal action detection can only detect and locate actions in the temporal domain. In reality, the situation is usually more complex, as practical scenarios may involve multiple people and multiple types of action categories at the same time. To address the complexity of real-world scenarios, the third direction, spatiotemporal action detection [34], further locates the action in both the temporal and spatial domains to solve the problem of multiple people and multiple actions in complex scenes. Specifically, it can not only provide the action category and start/end time points but also locate the spatial region where the action occurs, as well as tracking personnel between different frames in the time stream.
To analyze the operation processes of inspection operators in substations, it is necessary to detect the location of the operators in both the spatial and temporal domains. Therefore, we use spatiotemporal action detection to obtain the occurrence time, category, and spatial position of the operators during their operations.
Frame-Level Action Detection. The advancement of image object detection technology has inspired frame-level action detection methods. Frame-level action detection is an action detection method based on frame images, which can be mainly divided into two stages. First, frame-level action proposal detection is generated through region proposal algorithms. Then, proposals are associated across frames to refine action classification and localization, enabling the localization and detection of actions over time [35,36]. Methods for action detection include traditional feature extraction methods, such as generating spatiotemporal shapes using super-voxels to provide 2D + t sequences, or obtaining feature points through dense sampling [37,38,39], whereas dense trajectory methods [40,41,42] extract features based on trajectory tracking of feature points and then classify proposals to locate actions. There are also feature extraction methods based on deep learning [43,44,45,46], which capture action features using optical flow and predict action categories using convolutional neural networks (CNNs), region proposal networks (RPNs), Fast R-CNNs, and 3D convolutional neural networks and connect frame-level bounding boxes into the spatiotemporal action tubes. They also capture spatial and static visual cues using RGB images and extract time and action information from optical flow fields for action estimation [47]. The main drawback of frame-level action detection is that because detection is performed independently in each frame, the video’s temporal information is not fully utilized [48].
Clip-Level Action Detection. Clip-level action detection is crucial for accurately recognizing many types of actions, such as sitting down, standing up, picking something up, and putting something down, which cannot be identified based on individual frames alone. This is because effective temporal modeling is required, as the detection of such actions relies on the availability of temporal context. Kalogeiton et al. [49] proposed a tubelet detector that leverages the temporal continuity of video frames to detect objects in sequences. While this approach effectively utilizes temporal information, it faces several challenges, including computational complexity, difficulties in handling complex scenes, demanding training requirements, and limited contextual understanding. Gu et al. [13] proposed an atomic visual action (AVA) dataset that has precise spatiotemporal annotations and dense annotations for atomic visual actions. They proposed an action detection model based on I3D convolution and Faster R-CNN region proposals and demonstrated the importance of time information by comparing the performance of edited videos of different time lengths on the model. However, the employed Faster R-CNN model is highly complex, resulting in relatively slow detection speeds. Additionally, I3D is limited by its fixed temporal window and local convolution operations, which restrict its ability to capture long-range contextual information. Feichtenhofer et al. [50] established a SlowFast network model for video action detection, which employs ResNet as the backbone and captures spatial semantics at low frame rates and action information at high frame rates. Nevertheless, the utilized ResNet backbone network has difficulty capturing global dependencies and shows limited performance gains on large-scale datasets. Recently, Transformer [51] has made significant advances in the field of natural language processing [52]. Tasks such as image classification, object detection, semantic segmentation, object tracking, and video recognition in the field of computer vision have also been improved through the use of Vision Transformer (ViT) [53]. Based on the development of ViT, Tong Z et al. [54] proposed a self-supervised video pre-training method, called video masked autoencoders (VideoMAE).
Based on the VideoMAE algorithm, which utilizes SlowFast as the framework and ViT as the backbone network to effectively capture long-range dependencies and compute global dependencies, we selected YOLOv8 as the human detector. We employed the flexible and scalable architecture of ViT, along with its strong pre-trained performance, to conduct transfer learning for action detection. To better leverage long-range information between frames, we adopted the clip-level action detection method and generated synthetic data in the AVA format via VWP for spatiotemporal action detection.

3. VWP

In Section 2, we discussed the landscape of synthetic data in the context of action recognition research and introduced our virtual work platform (VWP) for synthetic data generation. In this section, we detail the components of our synthetic data generator, the VWP.
We utilized the powerful editing capabilities of the Unreal Engine game engine to create the virtual work platform (VWP), which is a parameterized data generator with a 3D scene of a substation, 3D models of operators with clothing, skeletons, and action libraries, and support for importing new character models and actions. The VWP supports the generation of data with 2D bounding box positions of operators and corresponding action labels, and outputs data in the format of the AVA dataset, with the duration and frame rate of the output video being adjustable through parameters. The composition framework of the VWP is shown in Figure 1.

3.1. Character Assets

The VWP imported Microsoft-Rocketbox [55], an open-source character library from Microsoft, which provides virtual avatars with built-in skeletons and covers different ages, genders, skin tones, clothing, and professions. For our experiment, we selected the model in Microsoft-Rocketbox wearing an operator uniform to simulate substation inspection operators, as shown in Figure 2.

3.2. Action Animation

In our experiments, the actions selected for power substation inspection operations include standing, walking, running, waving, and making phone calls. Among these, standing and walking are considered normal behaviors, while running, waving, and making phone calls are regarded as violations. In the field of action recognition, the quality of the dataset plays a crucial role in the performance and accuracy of the model. We achieve the playback of action animations and the acquisition of action data in the VWP through the following three steps:
Step one involves the selection of action data. To ensure that the model possesses a certain degree of generalization capability, the dataset should encompass a diverse range of samples. The actions utilized in this study were sourced from multiple action libraries: the CMU Graphics Lab’s CMU Motion Capture Database [56], the action library from Microsoft’s Rocketbox, and real human actions captured on video using ROMP pose recognition technology. Each action label comprised three distinct actions.
Step two pertains to the representation of action data. The skeleton of the CMUmocap dataset, the SMPL model used in the ROMP algorithm, and the Microsoft-Rocketbox action library are shown in Figure 3a–c, respectively. This prevents data from various motion libraries from being uniformly applied to the UE character. In order to tackle this problem, we employed inverse kinematics to retarget the actions, aligning them to various skeletons and facilitating the transformation of action animations from different action library models into a unified skeleton model. Once the action was unified across the skeleton models, within the Unreal Engine, we controlled the character model’s movements by playing back animations and enriched data acquisition by setting various playback speeds, yielding action data at different velocities.
Step three is the annotation of action data, where accurate labeling is a prerequisite for training effective models. For each action label, we first selected multiple corresponding distinct action animations and established a mapping relationship between the action animations and the action labels. Subsequently, we sampled the state of the played-back action animations to obtain action label data. Finally, the VWP could automatically generate labels by setting the sampling frequency of the action labels according to custom parameters. Here, we adopted the AVA data format to generate datasets, producing one action label per second.

3.3. Action Logic Control

With the basis of the action animation, we also aimed to control the playback of these animations according to a certain logic to better conform to the movement logic of real people. So, when creating the experimental dataset, we established operator behavior trees to control the conversion and connection of various actions. There were mainly two different behavior trees, which are shown in Figure 4. The first behavior tree was designed to have characters perform random actions and collect action data from multiple angles. After the termination of one action, the character rotated by an arbitrary angle (here, we set it to 15°) before proceeding to the next action. The second type was based on the action behavior logic of power substation inspection operations. Firstly, a navigation area of 4 m × 10 m was set as the inspection operator’s movement area, and a random target point was set as the inspection checkpoint. The operator reached the target point by walking or running and then took a 2.0 s (±1.5 s; randomly selected between 0.5 and 3.5 s) standing rest, before performing random actions from the action library such as standing, waving, or talking on the phone. The operator then moved on to the next target point and repeated the above actions. Then, we continued to the next target point and repeated the above actions.

3.4. Background Model

We studied action detection for substation inspection operations, so the substation model was chosen as the background model. The scene was set to an outdoor environment, with the navigation area located on the sidewalk of the substation. The experimental area is shown in Figure 5, where (a) displays the substation model and (b) shows the navigation area highlighted in green, indicating the area where operators can move during the experiment.

3.5. Weather System

The VWP uses the weather plugin of Unreal Engine to control weather and lighting. The weather system can modulate lighting to simulate the variations in light throughout different times of the day, and can adjust wind, clouds, rain, and snow to simulate various weather conditions.

3.6. Data Acquisition

In the VWP, the acquisition interval for 2D bounding box data of the human body can be set to achieve frame-by-frame acquisition. In our experiment, we followed the format of the AVA dataset and obtained 2D bounding box data of the human body every second. We detected the played animation every second, mapped the animation to the corresponding action label, obtained the action label data, and saved each frame of the image as video data.

3.7. Domain Randomization

Domain randomization [57] is a technique that introduces diversity into generating data by randomizing the parameters of a simulator. Domain randomization has been applied to tasks including object detection, robot manipulation, autonomous vehicle navigation, and other types [27]. In order to extend our synthesized dataset to simulate the real world, we randomized multiple parameters in the environment.
In the experiment, we controlled the climate environment, shadows, action animation playback speed, character position, and camera deployment parameters in the VWP and used uniform distribution to sample the parameters to generate a dataset. The distribution of parameters in the VWP-generated dataset is shown in Table 1.
In this section, we introduce the various components of the VWP framework and the method for generating synthetic data. Through the VWP, we have obtained a rich collection of synthetic data. In Section 4, we will utilize this synthetic data to train action detection models and validate the effectiveness of the synthetic data by comparing the performance of models trained on different datasets.

4. Experiments

In this section, we conduct experiments using models trained on various datasets with a spatiotemporal action detection algorithm, employing the model trained on the real dataset as a baseline to assess the importance of synthetic datasets in action detection. We used the spatiotemporal action detection method of VideoMAE, which utilizes YOLOv8 as the human detector, ViT as the backbone, and SlowFast as the action detection framework. To facilitate data collection for comparison, we selected five basic and simple actions in substation inspection operations, namely, the normal actions of standing and walking and the violation actions of running, waving, and talking on the phone as categories for spatiotemporal action detection. We collected both real and synthetic datasets containing these actions. Then, we trained models using different datasets and finally tested the models on a real data test set, evaluating five action categories using mean average precision (mAP) as the metric. The method of the experiment is depicted in Figure 6. A detailed explanation of the dataset classification and model training is provided in Section 4.2 and Section 4.4, respectively.

4.1. Experimental Configuration

The experimental configuration is shown in Table 2.

4.2. Data Preparation

Real dataset: We shot videos in a real environment to create a real action dataset. The action categories included five categories: standing, walking, running, waving, and talking on the phone. The training and validation sets of the real dataset only used positive action videos with fixed personnel positions (walking and running positions were not fixed), while the testing set used real video data with more random personnel positions and angles to test the effectiveness of the model. The real dataset consisted of 25 videos captured in real scenes, each with a duration of 1 min. Among them, there were 20 videos in the training set and 5 videos in the validation set. The resolution was 1080 × 720, at 30 frames per second. The real dataset is shown in Figure 7.
Synthetic dataset: Based on the VWP, we obtained a synthetic video dataset called the v dataset through parameter randomization. The specific parameter adjustments are detailed in Section 3, VWP. We obtained a total of 50 videos through the VWP, each with a duration of 5 min. Among them, there were 40 training videos and 10 validation videos. The resolution was 1080 × 720, at 30 frames per second. To demonstrate the specific performance of the synthetic dataset, we selected keyframe images for display, as shown in Figure 8, Figure 9 and Figure 10.
Test dataset: To assess the accuracy and generalizability of action category recognition, we compiled a test set by combining our collected real-world data with the more diverse AVA dataset.
The collected real-world data consisted of 10 videos captured in real scenes. Each video had a duration of 1 min. The resolution was 1080 × 720, at 30 frames per second. Given that our dataset was limited to 5 action categories, which were fewer than the 80 action categories present in the AVA dataset, and the action categories were not in a one-to-one correspondence, we processed the AVA dataset as follows: 1. Data with inconsistent action types were excluded from testing. 2. Since a single video may contain both action types consistent with our dataset and inconsistent action types, we selected only the bounding boxes of individuals performing consistent actions for testing. 3. As our focus was on action recognition, we modified the human bounding box detection score threshold to 0.9 for the action recognition task.
To further investigate the impact of synthetic data compared to different sizes of real datasets and mixed datasets, we split the training set of the real dataset into subsets and recombined them into four different-sized datasets, namely, real-1, real-2, real-3, and real-4, which were then used for model training. Similarly, we combined the real dataset subsets with the synthetic dataset to form mixed datasets, namely, real-1 + v, real-2 + v, real-3 + v, and real-4 + v, which were also used for model training. In total, there were nine datasets, comprising synthetic, real, and mixed datasets. The specific composition of these nine datasets is shown in Table 3.
Evaluation metrics: In classification problems, the model can produce True Positive (TP), False Negative (FN), False Positive (FP), and True Negative (TN) cases during testing. When the confidence score is higher than the threshold, the object is identified as TP; otherwise, it is identified as FP. FN represents the number of undetected objects. TN is not considered in classification. Precision (P) and recall (R) for each class can be calculated using (1) and (2), and the average precision (AP) for a single class is evaluated using (3). In this study, as this was a multi-class classification model, mean average precision (mAP) was used for evaluation, as shown in (4).
Precision (P):
P = T P T P + F P  
Recall (R):
R = T P T P + F N  
Average precision (AP):
A P = 0 1 P R d ( R )  
Mean average precision (mAP):
m A P = 1 n k = 1 n A P k , n = 5

4.3. Experimental Method

In this experiment, we utilize the VideoMAE [54] algorithm to extract spatiotemporal contextual information from videos for action detection. VideoMAE inherits the simple pipeline of masking random cubes and reconstructing the missing ones. This method can successfully train an ordinary ViT backbone on relatively small video datasets and has achieved excellent results on AVA datasets for spatiotemporal action detection.
The advantages of VideoMAE lie in its consideration of the high temporal redundancy and time correlation of videos, which can result in low learning efficiency and information leakage risks compared to images. To address these issues, VideoMAE adopts a stride time sampling strategy and joint space–time cube embedding and uses a very high masking rate to remove masked cubes from downsampled segments, as shown in Figure 11. This not only effectively improves pre-training performance but also significantly reduces computational costs through the use of an asymmetric encoder–decoder structure. VideoMAE is a highly data-efficient learning solution that is suitable for video datasets of different sizes. Additionally, ViT models pre-trained through self-supervised learning on massive datasets exhibit better generalization capabilities on different datasets. ViT models pre-trained on real-world datasets learn implicit features of real-world images, which can aid transfer learning between synthetic and real datasets [53]. Considering the aforementioned advantages, we selected the VideoMAE pre-trained ViT as the backbone of our model to investigate the robustness of synthetic datasets on models with different parameters.
When leveraging the pre-trained ViT model for the specific downstream task of spatiotemporal action detection, there is no need for the decoder block of the ViT model to reconstruct masked video blocks. In this context, an MLP (Multi-Layer Perceptron) head replaces the decoder block, effectively assuming the role of processing the detection task. The specific architecture of the model is illustrated in Figure 8. The process involves four steps: first, the Patch Embed module segments the input video into patches; second, these patches are fed into the Encoder Block for feature extraction; third, Layer Norm normalizes the feature dimensions; and finally, the MLP head fully connects the normalized features to the output features, yielding the final classification outcome. The detailed architectures of the encoder block and MLP block are depicted in Figure 12.
Additionally, in order to rapidly and accurately extract human bounding boxes and enhance the precision of action detection, we conducted experiments on a dataset to compare the performance of various object detection models. We selected classic algorithms in object detection, including the two-stage detection models RCNN and Faster R-CNN [58], and the one-stage detection models RetinaNet [59], YOLOv5 [60], and YOLOv8 [61] for comparison. The experimental dataset was the real-4 dataset, which was collected from real-world scenarios and is used to evaluate the models’ performance in practical settings.
Under the conditions of an IoU threshold of 0.5 and the confidence threshold of 0.8, we recorded the AP values and the detection time per frame (milliseconds per frame, ms/f) for each model, with the results presented in Table 4. As shown in Table 4, YOLOv8 achieved an AP value of 97.7%, demonstrating the highest detection accuracy among the models tested. Additionally, its average detection time was 18.3 ms/f, which is significantly better than that of the other models. In comparison, YOLOv5 exhibited an AP value of 97.2% and a detection time of 19 ms/f, which are close to but slightly inferior to those of YOLOv8. RetinaNet achieved an AP value of 91%; however, its detection time of 138.9 ms/f is considerably longer than that of the YOLO algorithms. Both RPN and Faster R-CNN performed poorly in terms of both detection accuracy and detection time.
Considering both the AP values and detection times, we selected YOLOv8 as the framework for human bounding box detection. YOLOv8 maintains high detection accuracy while processing images rapidly. Additionally, the framework features a lightweight and scalable design [62,63]. The architecture of YOLOv8 is illustrated in Figure 13. We also followed the classic and effective SlowFast action detection architecture, which captures spatial semantic information at a low frame rate through a slow pathway and action information at a high frame rate through a fast pathway, to achieve spatiotemporal action detection.

4.4. Training

To evaluate the performance of synthetic, real, and mixed datasets, we trained the nine datasets on the model. Consistently with our computer configuration, we elected to fine-tune the pre-trained ViT-small model. The training was conducted using the parameters from the VideoMAE [54] paper as a foundation for fine-tuning. We fine-tuned the hyperparameters, including the optimizer, base learning rate, and layer decay, to improve the model’s accuracy. We utilized the real-4 dataset for hyperparameter selection with real data and the real-4 + v dataset for hyperparameter selection involving mixed datasets and virtual datasets. We meticulously tuned these hyperparameters to successfully train the model and to adapt it to the task.
The results of the model fine-tuning are presented in Table 5.
The training process of the model is depicted in Figure 14. Since the validation set for the synthetic dataset consists of synthetic data, we tested the data obtained from training on synthetic data on a real-world validation set. The test results are compared here with those from models trained on real datasets and mixed datasets, where the validation set is uniformly composed of real-world data.
The synthetic dataset v experienced a drop in mAP during the middle of training, possibly because the model learned more noise from the synthetic dataset that differs from the real dataset, which weakened the model’s performance on the real val dataset. However, this issue was alleviated when real datasets were added to the synthetic dataset, and the model trained on the mixed dataset showed more stable performance. The model with the highest mAP value was trained on the mixed dataset real-4 + v.
The models trained on mixed datasets consistently yielded higher mean mAP values than those trained on real datasets, and they demonstrated faster convergence compared to models trained on real datasets alone. Among these, the model trained on the mixed dataset real-4 + v exhibited the highest mAP value.
The training results are shown in Table 6, and the highest mAP (%) of the model during the training is used as the basis for the model analysis results.
In order to better analyze the experimental results, Figure 15 shows a comparison of the model training results.
As detailed in Table 6 and Figure 15, the maximum mAP values achieved by models trained on real, synthetic, and mixed datasets were 95.66%, 94.83%, and 98.08%, respectively. The model trained on the synthetic dataset outperformed those trained on the real-1 and real-3 datasets, while it was only 0.83% lower than the highest mAP attained by the real-2 dataset. This proves the rationality of using the synthetic dataset to train the model.
The mAP values of models trained on real datasets ranging from real-1 to real-4 displayed considerable variation, without a steady upward progression. This fluctuation may stem from the increased sensitivity of models trained on smaller datasets to the randomness inherent in sample selection, resulting in substantial performance discrepancies across different training sets. Notably, while the model trained on the real-2 dataset achieved the highest mAP among the real datasets, its performance on the test set, as illustrated in Figure 15, was inferior to that of models trained on the real-3 and real-4 datasets. This suggests potential overfitting on the validation set for the real-2 dataset-trained model.
Models trained on mixed datasets consistently achieved higher mAP values than those trained on real datasets, with the highest mAP difference reaching 2.42%. Additionally, the maximum and minimum mAP values for models trained on real datasets spanned a range of 2.34%, while for mixed datasets, this range was narrower, at 0.71%. The increase in mAP values for models trained on mixed datasets was minimal with the addition of more real data, indicating that the volume of real data in the mixed dataset has a limited impact on model performance. Models trained on mixed datasets demonstrated enhanced accuracy and stability.

4.5. Results

The test dataset was a composite of real-world data and AVA data. The real-world data were derived from specific scenarios we had collected, whereas the AVA dataset encompassed a broader range of sources, reflecting diverse environments and conditions. This combination test set can better simulate the diverse situations that the model may encounter in practical applications, thereby evaluating the model’s adaptability and generalization performance to different data distributions. By employing this approach, we can ensure that the model not only performs well on specific datasets but also maintains stable performance on a broader spectrum of unseen data, which is crucial for evaluating the model’s generalization ability.
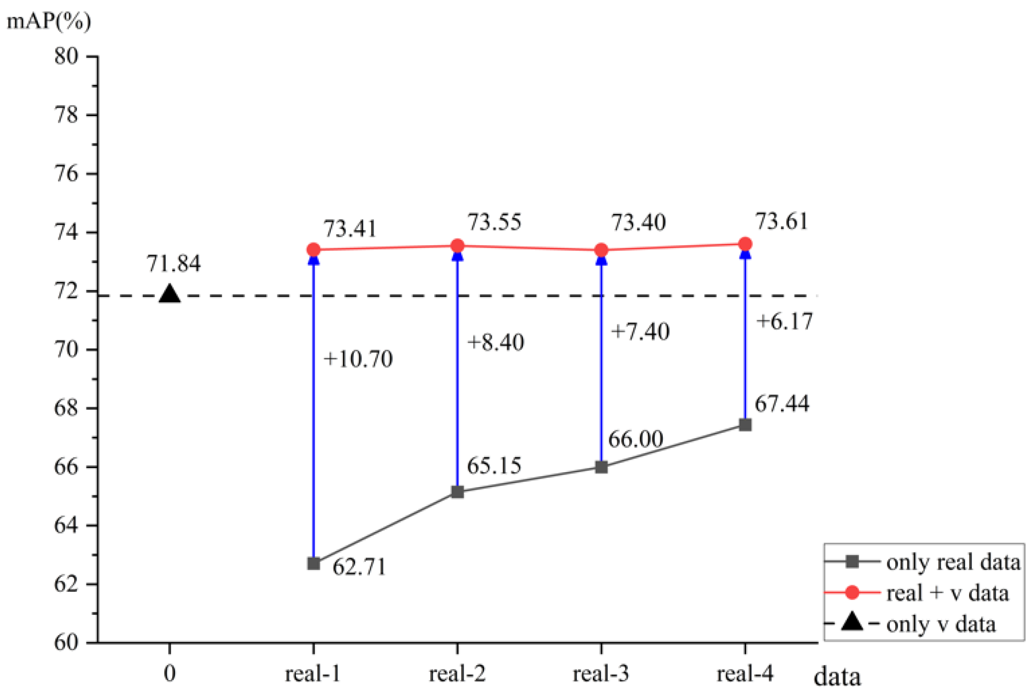
The performance of the model across various epochs during the testing phase is depicted in Figure 16. Throughout the testing process, the mAP of the model trained on the synthetic dataset v consistently surpassed that of models trained on real datasets, indicating that synthetic data confer superior generalization capabilities compared to models trained exclusively on real datasets. However, a notable decline in mAP for the synthetic dataset v was observed in later epochs. This may be because the model learned more noise from the synthetic dataset, thereby weakening its performance on real test datasets. This issue was mitigated by incorporating real datasets into the synthetic dataset; models trained on mixed datasets demonstrated greater stability than those trained on synthetic data alone. Notably, the model trained on the mixed dataset real-4 + v achieved the highest mAP value of 73.61. The mixed dataset not only facilitated the fastest convergence but also yielded the highest mAP, highlighting its effectiveness in enhancing model performance.
We took the highest mAP (%) of the model during the test as the basis for the model analysis results, and the test results are shown in Table 7.
In order to better analyze the experimental results, Figure 17 shows a comparison of the model testing results.
From the experimental results of the model in Figure 17, it can be observed that due to the small amount of data, the mAP value of the model trained on the real-1 dataset was the lowest. As the data volume increased, the mAP values of the model trained on real datasets from real-1 to real-4 gradually increased, with the highest mAP value of 67.44 achieved by the model trained on the real-4 dataset. The mAP value of the model trained on the synthetic dataset v was 71.84, which was higher than the models trained on all real datasets.
Models trained on mixed datasets ranging from real-1 + v to real-4 + v exhibited mAP values that surpassed those of the synthetic dataset v. Notably, the model trained on the real-4 + v dataset achieved the highest mAP value of 73.61. The greatest improvement was observed between the model trained on the real-4 + v dataset and that trained on v, with a difference in mAP values of 1.77. This indicates that the incorporation of real data into synthetic data significantly enhances the mAP performance of mixed datasets during model training.
When comparing models trained on mixed datasets from real-1 + v to real-4 + v, the maximum difference in mAP values was observed between real-4 + v and real-3 + v, with a minimal difference of 0.21. In contrast, the models trained on the real datasets from real-1 to real-4 showed a much larger maximum mAP difference of 4.73, significantly greater than the 0.21 difference observed in the mixed datasets. Furthermore, as the proportion of real data in the mixed datasets increased, the performance improvement of the models trained on these mixed datasets was marginal, whereas the models trained on the real datasets exhibited substantial improvements. Correspondingly, the mAP differences among models trained on real datasets decreased, suggesting that the volume of real data in mixed datasets has a minimal impact on model performance.
The maximum value obtained from models trained on mixed datasets differed by 6.17 from the maximum value achieved by models trained on real datasets, indicating that mixed datasets can enhance the accuracy and generalization capabilities of the models.

4.6. Discussion

Based on the comparison of training and testing results of the ViT model on nine datasets, including real, synthetic, and mixed datasets, we discuss and summarize the findings as follows:
(1)
Adverse Effects of Small Real Datasets
On one hand, when a real dataset has a limited amount of data, models trained on this dataset are significantly influenced by the randomness of the dataset, which may lead to overfitting. The model trained on the real-2 dataset achieved an mAP value of 95.66% on the validation set, surpassing the 94.80% and 95.39% mAP values obtained by models trained on the real-3 and real-4 datasets, respectively. This indicates strong performance on the validation set. However, on the test set, the mAP value dropped significantly to 65.15%, lower than the 66.00% and 67.44% mAP values achieved by models trained on the real-3 and real-4 datasets, respectively. The marked discrepancy between the validation and test set performance of the model trained on the real-2 dataset suggests overfitting, thereby substantiating this conclusion. On the other hand, when the data source of a real dataset is relatively single, models trained on this dataset exhibit poor generalization. Models trained on real datasets achieved lower mAP values on the validation set compared to those trained on mixed datasets, with a maximum difference of 4.05%. However, on the test set, the maximum difference increased to 10.7%. The larger discrepancy in mAP values on the more diverse test set demonstrates that models trained on small real datasets have poorer generalization capabilities.
(2)
Feasibility of Synthetic Data as Training Datasets
The model trained on the synthetic dataset achieved an mAP value of 94.83% on the real-data validation set, which falls within the range of 93.32% to 95.66% for models trained on real datasets. This indicates that the model trained on synthetic data performs well, with a minimal gap compared to models trained on real data.
Moreover, the mAP value of the model trained on the synthetic dataset reached 71.84% on the test set, surpassing the highest mAP value of 67.44% achieved by models trained on real datasets. This demonstrates the feasibility and effectiveness of using synthetic datasets as training data for model development. However, it is important to note that training solely on synthetic data may lead the model to learn noise patterns that differ from those in real data, potentially degrading model performance.
(3)
Advantages of Mixed Datasets
The models trained on the mixed dataset, which combines real and synthetic data, exhibit faster convergence, higher accuracy, and greater stability. Faster convergence: The training process illustrated in Figure 14 and Figure 16 demonstrates that models trained on the mixed dataset converge more rapidly compared to those trained solely on real or synthetic datasets. Higher accuracy: The models trained on the mixed dataset achieved mAP values ranging from 93.37% to 98.08% on the validation set and from 73.42% to 73.61% on the test set. These ranges are superior to the mAP values of models trained solely on real datasets, which ranged from 93.32% to 95.66% on the validation set and from 62.71% to 67.44% on the test set. Additionally, the mixed dataset models outperformed those trained solely on synthetic data, which achieved mAP values of 94.83% on the validation set and 71.84% on the test set. Greater stability: Figure 15 and Figure 17 show that as the proportion of real data in the mixed dataset increases, the mAP values of models trained on the mixed dataset improve more steadily and exhibit less fluctuation compared to models trained solely on real datasets. This highlights the enhanced stability of models trained on the mixed dataset.
Compared to both real and synthetic datasets, mixed datasets mitigated the shortcomings of limited real data and synthetic data noise, significantly enhancing model accuracy and generalization. However, the increase in the amount of real data in mixed datasets had a limited impact on model performance improvement.

5. Conclusions

5.1. Summary

In this study, we propose the VWP as an action detection data generator to overcome the challenges of insufficient data acquisition by visual sensors in real situations, acquisition difficulties, and single-source data in the field of action recognition in engineering production and operation, which are fields characterized by strong professionalism and high privacy. The VWP establishes a library of actions and behavior trees to control the actions and behaviors of virtual operators. It adds domain randomization to control various parameter changes and simulate multiple scenarios under different working conditions. Furthermore, it creates a data export pipeline to generate an action detection synthetic dataset in AVA format.
To verify the feasibility and effectiveness of the VWP-generated data, we introduced a spatiotemporal action detection method that uses YOLOv8 as the human detector, ViT-small as the backbone, and Slowfast as the action detection framework. Then, we collected datasets for the identification of safety risks in substations, comprising real-world data and synthetic data expanded through VWP domain randomization. Those datasets were categorized into three types: real datasets, synthetic datasets, and mixed datasets that combine both real and synthetic data. Furthermore, the real data were segmented into varying sizes to verify the impact of the real data volume on the model.
The synthetic datasets, real datasets, and mixed datasets were used to train the model, and real-world data were used as the test set to evaluate the model’s accuracy. The experimental results confirmed the feasibility, effectiveness, and robustness of using synthetic datasets to train models for spatiotemporal action detection in real-world scenarios. Furthermore, synthetic datasets can be augmented through domain randomization to include various perspectives, lighting conditions, and combinations of real and synthetic datasets, addressing the issue of single-source real data and effectively improving the mAP value of models of different sizes, with a maximum increase of 10.7%.
Subsequently, different datasets were used to train the models separately. To test the accuracy and generalization of models trained on different datasets, we used the model trained on a real dataset as the baseline and a mixed dataset of real data and AVA data as the test set. The training and testing results substantiated the following findings:
(1)
When trained on smaller real datasets, the models’ performance was suboptimal, with a propensity for overfitting. The models derived from real datasets also underperformed in testing, indicating a lack of accuracy and generalizability.
(2)
Synthetic datasets, expanded through domain randomization, encompass a diversity of data. The performance of models trained with synthetic datasets surpassed that of models trained on real datasets alone, affirming the feasibility and effectiveness of using synthetic data for model training.
(3)
The mixed dataset, which was enriched with diverse synthetic data, mitigated the lack of diversity stemming from single-source real data, while the inclusion of real data alleviated noise issues associated with synthetic datasets. This combination effectively elevated the mAP values across different models, significantly enhancing their accuracy, generalizability, and stability.
In addition, VWP-generated synthetic datasets have other advantages compared to real datasets. In the VWP, action labels are annotated based on imported action animations with fixed start and end times, ensuring action label consistency and avoiding the issue of inconsistent time intervals when manually labeling actions. The VWP also has the advantages of easy operation, repeatability, parameterized modification control, and highly customizable editing. Of course, the VWP is only a virtual data synthesizer, and there are still differences between synthetic and real datasets, but the experimental results show that VWP’s synthetic datasets can partially replace and expand real datasets to a certain extent. Moreover, in this study, the VWP focuses on substation inspection operations as the research background; but in fact, the VWP can be extended to generate action recognition data for various fields, such as construction engineering, industrial production, and more.

5.2. Limitations

Although the VWP’s synthetic data can partially replace and expand real datasets, they still have some limitations. Firstly, virtual data cannot completely simulate the complex scenes and details of the real world. Secondly, the data generated by the VWP may be restricted by the specific model used. Finally, VWP-generated data may not cover all possible actions and scenarios, and therefore further development and improvement may be needed.

5.3. Future Work

To address the above limitations, future work can focus on the following tasks:
(1)
Further improve the realism and diversity of VWP-generated data to better simulate complex scenes and details in the real world.
(2)
Investigate how to apply VWP-generated data to a wider range of scenarios and tasks to expand its scope of application.
(3)
Further expand the VWP’s action library and behavior trees to cover more actions and scenarios. Additionally, more data types, such as 2D and 3D data for key points of the human skeleton, could be added to the data export pipeline to support more types of action recognition algorithms.

Author Contributions

Conceptualization, C.L. and X.Z.; Methodology, C.L.; Validation, W.Z. and W.X.; Formal analysis, W.Z. and W.X.; Investigation, W.Z. and W.X.; Writing—original draft, C.L.; Writing—review & editing, B.L. and W.L. All authors have read and agreed to the published version of the manuscript.

Funding

This research received no external funding.

Institutional Review Board Statement

Not applicable.

Informed Consent Statement

Not applicable.

Data Availability Statement

Data are contained within the article.

Acknowledgments

The authors gratefully acknowledge the technical support provided by State Grid Jilin Province Electric Power Co., Ltd., Changchun Power Supply Company.

Conflicts of Interest

Authors Weihua Zhang and Weijin Xu were employed by the company State Grid Changchun Power Supply Company. The remaining authors declare that the research was conducted in the absence of any commercial or financial relationships that could be construed as a potential conflict of interest.

References

  1. Amiri, E.; Sadeghi, S.H.H.; Moini, R. A Probabilistic Approach for Human Safety Evaluation of Grounding Grids in the Transient Regime. IEEE Trans. Power Deliv. 2012, 27, 945–952. [Google Scholar] [CrossRef]
  2. Shu, Y.; Tang, Y. Analysis and Recommendations for the Adaptability of China’s Power System Security and Stability Relevant Standards. CSEE J. Power Energy Syst. 2017, 3, 334–339. [Google Scholar] [CrossRef]
  3. Wei, W.; Tao, Z. Occurrence and Countermeasures of Urban Power Grid Accident. IOP Conf. Ser. Earth Environ. Sci. 2018, 128, 012187. [Google Scholar] [CrossRef]
  4. Liu, W.; Wang, X.; Ye, P.; Jiang, L.; Feng, R. Safety Accident Analysis of Power Transmission and Substation Projects Based on Association Rule Mining. Environ. Sci. Pollut. Res. 2023. [Google Scholar] [CrossRef] [PubMed]
  5. Wang, T.; Wang, K.; Li, J.; Yu, H.; Shuai, W.; Bian, J.; Zhao, X. Fast Recognition of Human Climbing Fences in Transformer Substations. In Proceedings of the 2017 Ninth International Conference on Advanced Computational Intelligence (ICACI), Doha, Qatar, 4–6 February 2017; IEEE: Piscataway, NJ, USA, 2017; pp. 195–200. [Google Scholar]
  6. Wang, B.; Ma, F.; Jia, R.; Luo, P.; Dong, X. Skeleton-Based Violation Action Recognition Method for Safety Supervision in Operation Field of Distribution Network Based on Graph Convolutional Network. CSEE J. Power Energy Syst. 2023, 9, 2179–2187. [Google Scholar] [CrossRef]
  7. Wang, J.; Zhou, H.; Sun, H.; Su, Z.; Li, X. A Violation Behaviors Detection Method for Substation Operators Based on YOLOv5 and Pose Estimation. In Proceedings of the 2022 IEEE 3rd China International Youth Conference on Electrical Engineering (CIYCEE), Wuhan, China, 3–5 November 2022; IEEE: Piscataway, NJ, USA, 2022; pp. 1–5. [Google Scholar]
  8. Kim, H.; Yi, J.-S. Image Generation of Hazardous Situations in Construction Sites Using Text-to-Image Generative Model for Training Deep Neural Networks. Autom. Constr. 2024, 166, 105615. [Google Scholar] [CrossRef]
  9. Baik, S.; Kim, E. Detection of Human Traffic Controllers Wearing Construction Workwear via Synthetic Data Generation. Sensors 2025, 25, 816. [Google Scholar] [CrossRef]
  10. Soomro, K.; Zamir, A.R.; Shah, M. UCF101: A Dataset of 101 Human Actions Classes from Videos in The Wild. arXiv 2012, arXiv:1212.0402. [Google Scholar]
  11. Kay, W.; Carreira, J.; Simonyan, K.; Zhang, B.; Hillier, C.; Vijayanarasimhan, S.; Viola, F.; Green, T.; Back, T.; Natsev, P.; et al. The Kinetics Human Action Video Dataset. arXiv 2017, arXiv:1705.06950. [Google Scholar]
  12. Kuehne, H.; Jhuang, H.; Garrote, E.; Poggio, T.; Serre, T. HMDB: A Large Video Database for Human Motion Recognition. In Proceedings of the 2011 International Conference on Computer Vision, Barcelona, Spain, 6–13 November 2011; pp. 2556–2563. [Google Scholar]
  13. Gu, C.; Sun, C.; Ross, D.A.; Vondrick, C.; Pantofaru, C.; Li, Y.; Vijayanarasimhan, S.; Toderici, G.; Ricco, S.; Sukthankar, R.; et al. AVA: A Video Dataset of Spatio-Temporally Localized Atomic Visual Actions. In Proceedings of the 2018 IEEE/CVF Conference ON Computer Vision and Pattern Recognition (CVPR), Salt Lake City, UT, USA, 18–23 June 2018; IEEE: New York, NY, USA, 2018; pp. 6047–6056. [Google Scholar]
  14. Goyal, R.; Kahou, S.E.; Michalski, V.; Materzynska, J.; Westphal, S.; Kim, H.; Haenel, V.; Fruend, I.; Yianilos, P.; Mueller-Freitag, M.; et al. The “Something Something” Video Database for Learning and Evaluating Visual Common Sense. In Proceedings of the 2017 IEEE International Conference on Computer Vision (ICCV), Venice, Italy, 22–29 October 2017; IEEE: New York, NY, USA, 2017; pp. 5843–5851. [Google Scholar]
  15. Dosovitskiy, A.; Ros, G.; Codevilla, F.; Lopez, A.; Koltun, V. CARLA: An Open Urban Driving Simulator. In Proceedings of the 1st Annual Conference on Robot Learning; PMLR, Mountain View, CA, USA, 13–15 November 2017; pp. 1–16. [Google Scholar]
  16. Shah, S.; Dey, D.; Lovett, C.; Kapoor, A. AirSim: High-Fidelity Visual and Physical Simulation for Autonomous Vehicles. In Field and Service Robotics; Springer: Cham, Switzerland, 2018; pp. 621–635. ISBN 978-3-319-67361-5. [Google Scholar]
  17. Faure, G.J.; Chen, M.-H.; Lai, S.-H. Holistic Interaction Transformer Network for Action Detection. In Proceedings of the 23rd IEEE/CVF Winter Conference on Applications of Computer Vision, WACV, Waikoloa, HI, USA, 3–7 January 2023; Institute of Electrical and Electronics Engineers Inc.: Waikoloa, HI, USA, 2023; pp. 3329–3339. [Google Scholar]
  18. Richter, S.R.; Hayder, Z.; Koltun, V. Playing for Benchmarks. In Proceedings of the 16th IEEE International Conference on Computer Vision, ICCV, Venice, Italy, 22–29 October 2017; Institute of Electrical and Electronics Engineers Inc.: Venice, Italy, 2017; pp. 2232–2241. [Google Scholar]
  19. Wrenninge, M.; Unger, J. Synscapes: A Photorealistic Synthetic Dataset for Street Scene Parsing. arXiv 2018, arXiv:1810.08705. [Google Scholar]
  20. Tang, Y.; He, H.; Wang, Y.; Wu, Y. Using a Diffusion Model for Pedestrian Trajectory Prediction in Semi-Open Autonomous Driving Environments. IEEE Sens. J. 2024, 24, 17208–17218. [Google Scholar] [CrossRef]
  21. Tremblay, J.; To, T.; Birchfield, S. Falling Things: A Synthetic Dataset for 3D Object Detection and Pose Estimation. In Proceedings of the 31st Meeting of the IEEE/CVF Conference on Computer Vision and Pattern Recognition Workshops, CVPRW, Salt Lake City, UT, USA, 18–22 June 2018; IEEE Computer Society: Lake City, UT, USA, 2018; Volume 2018, pp. 2119–2122. [Google Scholar]
  22. Borkman, S.; Crespi, A.; Dhakad, S.; Ganguly, S.; Hogins, J.; Jhang, Y.-C.; Kamalzadeh, M.; Li, B.; Leal, S.; Parisi, P.; et al. Unity Perception: Generate Synthetic Data for Computer Vision. Available online: https://arxiv.org/abs/2107.04259v2 (accessed on 4 June 2024).
  23. Fabbri, M.; Lanzi, F.; Calderara, S.; Palazzi, A.; Vezzani, R.; Cucchiara, R. Learning to Detect and Track Visible and Occluded Body Joints in a Virtual World. In Proceedings of the 15th European Conference on Computer Vision, ECCV, Munich, Germany, 8–14 September 2018; LNCS; Springer: Munich, Germany, 2018; Volume 11208, pp. 450–466. [Google Scholar]
  24. Fabbri, M.; Braso, G.; Maugeri, G.; Cetintas, O.; Gasparini, R.; Osep, A.; Calderara, S.; Leal-Taixe, L.; Cucchiara, R. MOTSynth: How Can Synthetic Data Help Pedestrian Detection and Tracking? In Proceedings of the 2021 IEEE/CVF International Conference on Computer Vision (ICCV 2021), Virtual, 11–17 October 2021; IEEE: New York, NY, USA, 2021; pp. 10829–10839. [Google Scholar]
  25. Hu, Y.-T.X.; Chen, H.-S.; Hui, K.; Huang, J.-B.; Schwing, A. SAIL-VOS: Semantic Amodal Instance Level Video Object Segmentation—A Synthetic Dataset and Baselines. In Proceedings of the 2019 IEEE/CVF Conference on Computer Vision and Pattern Recognition (CVPR 2019), Long Beach, CA, USA, 15–20 June 2019; IEEE Computer Soc: Los Alamitos, CA, USA, 2019; pp. 3100–3110. [Google Scholar]
  26. Hu, Y.-T.; Wang, J.; Yeh, R.A.; Schwing, A.G. SAIL-VOS 3D: A Synthetic Dataset and Baselines for Object Detection and 3D Mesh Reconstruction from Video Data. In Proceedings of the 2021 IEEE/CVF Conference on Computer Vision and Pattern Recognition, CVPR 2021, Nashville, TN, USA, 20–25 June 2021; IEEE Computer Soc: Los Alamitos, CA, USA, 2021; pp. 1418–1428. [Google Scholar]
  27. Ebadi, S.E.; Jhang, Y.-C.; Zook, A.; Dhakad, S.; Crespi, A.; Parisi, P.; Borkman, S.; Hogins, J.; Ganguly, S. PeopleSansPeople: A Synthetic Data Generator for Human-Centric Computer Vision. Available online: https://arxiv.org/abs/2112.09290v2 (accessed on 4 June 2024).
  28. Liu, S.; Ni, H.; Li, C.; Zou, Y.; Luo, Y. DefectGAN: Synthetic Data Generation for EMU Defects Detection with Limited Data. IEEE Sens. J. 2024, 24, 17638–17652. [Google Scholar] [CrossRef]
  29. Zhou, G.; Wang, D.; Yan, Y.; Chen, H.; Chen, Q. Semi-Supervised 6D Object Pose Estimation without Using Real Annotations. IEEE Trans. Circuits Syst. Video Technol. 2022, 32, 5163–5174. [Google Scholar] [CrossRef]
  30. Sharifi Renani, M.; Eustace, A.M.; Myers, C.A.; Clary, C.W. The Use of Synthetic IMU Signals in the Training of Deep Learning Models Significantly Improves the Accuracy of Joint Kinematic Predictions. Sensors 2021, 21, 5876. [Google Scholar] [CrossRef]
  31. Hou, Y.; Zhang, S.; Ma, R.; Jia, H.; Xie, X. Frame-Recurrent Video Crowd Counting. IEEE Trans. Circuits Syst. Video Technol. 2023, 33, 5186–5199. [Google Scholar] [CrossRef]
  32. Miller, L.; Navarro, P.J.; Rosique, F. EdgeNet: An End-to-End Deep Neural Network Pretrained with Synthetic Data for a Real-World Autonomous Driving Application. Sensors 2025, 25, 89. [Google Scholar] [CrossRef] [PubMed]
  33. Krump, M.; Stütz, P. Deep Learning Based Vehicle Detection on Real and Synthetic Aerial Images: Training Data Composition and Statistical Influence Analysis. Sensors 2023, 23, 3769. [Google Scholar] [CrossRef]
  34. Sun, Z.; Ke, Q.; Rahmani, H.; Bennamoun, M.; Wang, G.; Liu, J. Human Action Recognition from Various Data Modalities: A Review. IEEE Trans. Pattern Anal. Mach. Intell. 2023, 45, 3200–3225. [Google Scholar] [CrossRef]
  35. Yeung, S.; Russakovsky, O.; Mori, G.; Li, F.-F. End-to-End Learning of Action Detection from Frame Glimpses in Videos. In Proceedings of the 2016 IEEE Conference on Computer Vision and Pattern Recognition (CVPR), Las Vegas, NV, USA, 27–30 June 2016; IEEE: New York, NY, USA, 2016; pp. 2678–2687. [Google Scholar]
  36. Hou, R.; Chen, C.; Shah, M. Tube Convolutional Neural Network (T-CNN) for Action Detection in Videos. In Proceedings of the 2017 IEEE International Conference on Computer Vision (ICCV), Venice, Italy, 22–29 October 2017; IEEE: New York, NY, USA, 2017; pp. 5823–5832. [Google Scholar]
  37. Jain, M.; Van Gemert, J.; Jegou, H.; Bouthemy, P.; Snoek, C.G.M. Action Localization with Tubelets from Motion. In Proceedings of the 27th IEEE Conference on Computer Vision and Pattern Recognition, CVPR, Columbus, OH, USA, 23–28 June 2014; IEEE Computer Society: Columbus, OH, USA, 2014; pp. 740–747. [Google Scholar]
  38. Oneata, D.; Revaud, J.; Verbeek, J.; Schmid, C. Spatio-Temporal Object Detection Proposals. In Proceedings of the Computer Vision—ECCV, Zurich, Switzerland, 6–12 September 2014; Springer: Cham, Switzerland, 2014; pp. 737–752. [Google Scholar]
  39. Saha, S.; Singh, G.; Sapienza, M.; Torr, P.H.S.; Cuzzolin, F. Spatio-Temporal Action Instance Segmentation and Localisation. In Modelling Human Motion; Springer: Cham, Switzerland, 2020; pp. 141–161. ISBN 978-3-030-46732-6. [Google Scholar]
  40. Wang, H.; Schmid, C. Action Recognition with Improved Trajectories. In Proceedings of the 2013 14th IEEE International Conference on Computer Vision, ICCV 2013, Sydney, NSW, Australia, 1–8 December 2013; Institute of Electrical and Electronics Engineers Inc.: Sydney, NSW, Australia, 2013; pp. 3551–3558. [Google Scholar]
  41. Chen, W.; Corso, J.J. Action Detection by Implicit Intentional Motion Clustering. In Proceedings of the 2015 IEEE International Conference on Computer Vision (ICCV), Santiago, Chile, 7–13 December 2015; IEEE: New York, NY, USA, 2015; pp. 3298–3306. [Google Scholar]
  42. Gemert, J.C.V.; Jain, M.; Gati, E.; Snoek, C.G.M. APT: Action Localization Proposals from Dense Trajectories. In Proceedings of the British Machine Vision Conference 2015, Swansea, UK, 7–10 September 2015; British Machine Vision Association: Swansea, UK, 2015; pp. 177.1–177.12. [Google Scholar]
  43. Gkioxari, G.; Malik, J. Finding Action Tubes. In Proceedings of the IEEE Conference on Computer Vision and Pattern Recognition, CVPR 2015, Boston, MA, USA, 7–12 June 2015; IEEE Computer Society: Boston, MA, USA, 2015; pp. 759–768. [Google Scholar]
  44. Saha, S.; Singh, G.; Sapienza, M.; Torr, P.H.S.; Cuzzolin, F. Deep Learning for Detecting Multiple Space-Time Action Tubes in Videos. In Proceedings of the 27th British Machine Vision Conference, BMVC 2016, York, UK, 19–22 September 2016; British Machine Vision Conference, BMVC: York, UK, 2016; pp. 58.1–58.13. [Google Scholar]
  45. Yang, Z.; Gao, J.; Nevatia, R. Spatio-Temporal Action Detection with Cascade Proposal and Location Anticipation. In Proceedings of the 28th British Machine Vision Conference, BMVC, London, UK, 4–7 September 2017; BMVA Press: London, UK, 2017. [Google Scholar]
  46. Ye, Y.; Yang, X.; Tian, Y. Discovering Spatio-Temporal Action Tubes. J. Vis. Commun. Image Represent. 2019, 58, 515–524. [Google Scholar] [CrossRef]
  47. Li, Z.; Gavrilyuk, K.; Gavves, E.; Jain, M.; Snoek, C.G.M. VideoLSTM Convolves, Attends and Flows for Action Recognition. Comput. Vis. Image Underst. 2018, 166, 41–50. [Google Scholar] [CrossRef]
  48. Vahdani, E.; Tian, Y. Deep Learning-Based Action Detection in Untrimmed Videos: A Survey. IEEE Trans. Pattern Anal. Mach. Intell. 2022, 1–20. [Google Scholar] [CrossRef] [PubMed]
  49. Kalogeiton, V.; Weinzaepfel, P.; Ferrari, V.; Schmid, C. Action Tubelet Detector for Spatio-Temporal Action Localization. In Proceedings of the 2017 IEEE International Conference on Computer Vision (ICCV), Venice, Italy, 22–29 October 2017; IEEE: New York, NY, USA, 2017; pp. 4415–4423. [Google Scholar]
  50. Feichtenhofer, C.; Fan, H.; Malik, J.; He, K. SlowFast Networks for Video Recognition. In Proceedings of the 2019 IEEE/CVF International Conference on Computer Vision (ICCV 2019), Seoul, Republic of Korea, 27 October–2 November 2019; IEEE: New York, NY, USA, 2019; pp. 6201–6210. [Google Scholar]
  51. Vaswani, A.; Shazeer, N.; Parmar, N.; Uszkoreit, J.; Jones, L.; Gomez, A.N.; Kaiser, Ł.; Polosukhin, I. Attention Is All You Need. In Proceedings of the Advances in Neural Information Processing Systems 30: Annual Conference on Neural Information Processing Systems 2017, Long Beach, CA, USA, 4–9 December 2017. [Google Scholar]
  52. Brown, T.; Mann, B.; Ryder, N.; Subbiah, M.; Kaplan, J.D.; Dhariwal, P.; Neelakantan, A.; Shyam, P.; Sastry, G.; Askell, A.; et al. Language Models Are Few-Shot Learners. Adv. Neural Inf. Process. Syst. 2020, 33, 1877–1901. [Google Scholar]
  53. Han, K.; Wang, Y.; Chen, H.; Chen, X.; Guo, J.; Liu, Z.; Tang, Y.; Xiao, A.; Xu, C.; Xu, Y.; et al. A Survey on Vision Transformer. IEEE Trans. Pattern Anal. Mach. Intell. 2023, 45, 87–110. [Google Scholar] [CrossRef] [PubMed]
  54. Tong, Z.; Song, Y.; Wang, J.; Wang, L. VideoMAE: Masked Autoencoders Are Data-Efficient Learners for Self-Supervised Video Pre-Training. In Proceedings of the Advances in Neural Information Processing Systems 35 (NEURIPS 2022), New Orleans, LA, USA, 28 November–9 December 2022; Koyejo, S., Mohamed, S., Agarwal, A., Belgrave, D., Cho, K., Oh, A., Eds.; Neural Information Processing Systems (nips): La Jolla, CA, USA, 2022. [Google Scholar]
  55. Gonzalez-Franco, M.; Ofek, E.; Pan, Y.; Antley, A.; Steed, A.; Spanlang, B.; Maselli, A.; Banakou, D.; Pelechano, N.; Orts-Escolano, S.; et al. The Rocketbox Library and the Utility of Freely Available Rigged Avatars. Front. Virtual Real. 2020, 1, 561558. [Google Scholar] [CrossRef]
  56. Carnegie Mellon University—CMU Graphics Lab—Motion Capture Library. Available online: http://mocap.cs.cmu.edu/ (accessed on 4 June 2024).
  57. Tobin, J.; Fong, R.; Ray, A.; Schneider, J.; Zaremba, W.; Abbeel, P. Domain Randomization for Transferring Deep Neural Networks from Simulation to the Real World. In Proceedings of the 2017 IEEE/RSJ International Conference on Intelligent Robots and Systems (IROS), Vancouver, BC, Canada, 1–24 September 2017; pp. 23–30. [Google Scholar]
  58. Ren, S.; He, K.; Girshick, R.; Sun, J. Faster R-CNN: Towards Real-Time Object Detection with Region Proposal Networks. In Proceedings of the Advances in Neural Information Processing Systems 28 (NIPS 2015), Montréal, Canada, 7–12 December 2015; Cortes, C., Lawrence, N.D., Lee, D.D., Sugiyama, M., Garnett, R., Eds.; Neural Information Processing Systems (NIPS): La Jolla, CA, USA, 2015; Volume 28. [Google Scholar]
  59. Lin, T.-Y.; Goyal, P.; Girshick, R.; He, K.; Dollár, P. Focal Loss for Dense Object Detection. IEEE Trans. Pattern Anal. Mach. Intell. 2020, 42, 318–327. [Google Scholar] [CrossRef]
  60. Jocher, G. YOLO, version 5; Ultralytics: Frederick, MD, USA, 2020.
  61. Jocher, G.; Qiu, J.; Chaurasia, A. YOLO, version 8; Ultralytics: Frederick, MD, USA, 2023.
  62. Terven, J.; Córdova-Esparza, D.-M.; Romero-González, J.-A. A Comprehensive Review of YOLO Architectures in Computer Vision: From YOLOv1 to YOLOv8 and YOLO-NAS. Mach. Learn. Knowl. Extr. 2023, 5, 1680–1716. [Google Scholar] [CrossRef]
  63. Sohan, M.; Sai Ram, T.; Rami Reddy, C.V. A Review on YOLOv8 and Its Advancements. In Proceedings of the Data Intelligence and Cognitive Informatics, Tirunelveli, India, 27–28 June 2023; Springer: Singapore, 2024; pp. 529–545. [Google Scholar]
Figure 1. Composition framework of VWP.
Figure 1. Composition framework of VWP.
Sensors 25 02720 g001
Figure 2. Virtual avatar of operator.
Figure 2. Virtual avatar of operator.
Sensors 25 02720 g002
Figure 3. The skeleton of different models.
Figure 3. The skeleton of different models.
Sensors 25 02720 g003
Figure 4. Behavior tree logic architecture.
Figure 4. Behavior tree logic architecture.
Sensors 25 02720 g004
Figure 5. Background model.
Figure 5. Background model.
Sensors 25 02720 g005
Figure 6. The method of the experiment.
Figure 6. The method of the experiment.
Sensors 25 02720 g006
Figure 7. Examples of the real dataset.
Figure 7. Examples of the real dataset.
Sensors 25 02720 g007
Figure 8. Scenes at different times. Several time periods with significant changes in lighting were selected to obtain data.
Figure 8. Scenes at different times. Several time periods with significant changes in lighting were selected to obtain data.
Sensors 25 02720 g008
Figure 9. Scenes with different weather conditions.
Figure 9. Scenes with different weather conditions.
Sensors 25 02720 g009
Figure 10. Scenes at different camera heights.
Figure 10. Scenes at different camera heights.
Sensors 25 02720 g010
Figure 11. The overall pipeline of VideoMAE.
Figure 11. The overall pipeline of VideoMAE.
Sensors 25 02720 g011
Figure 12. The ViT-small backbone of the spatiotemporal action detection algorithm.
Figure 12. The ViT-small backbone of the spatiotemporal action detection algorithm.
Sensors 25 02720 g012
Figure 13. The architecture of YOLOv8.
Figure 13. The architecture of YOLOv8.
Sensors 25 02720 g013
Figure 14. The mAP trained on the model for different datasets.
Figure 14. The mAP trained on the model for different datasets.
Sensors 25 02720 g014
Figure 15. The training performance of different datasets on the model.
Figure 15. The training performance of different datasets on the model.
Sensors 25 02720 g015
Figure 16. The mAP of models trained on different datasets on the test dataset.
Figure 16. The mAP of models trained on different datasets on the test dataset.
Sensors 25 02720 g016
Figure 17. The test performance of different datasets on the model.
Figure 17. The test performance of different datasets on the model.
Sensors 25 02720 g017
Table 1. Domain randomization parameters for datasets.
Table 1. Domain randomization parameters for datasets.
CategoryRandomizerParametersDistribution
Climate environmentSunTime12, 17, 18, 19
WeatherSunny/
Rain and snow particle size1–8
ShadowsCloudShadow change rate1–5
AnimationAnimation playbackPlayback speed0.8–1.5
Movement speedWalk1.2 m/s
Run1.7 m/s
Character positionCharacterMovement area (walking or running)4 × 10 m
Character orientation angle360° (15° rotate)
Distance between character and camera5 m, 6 m
Camera deploymentCameraCamera angle (0° in front)0°, 15°, 20°
Camera height1 m, 2 m, 3 m
Table 2. Computer configuration.
Table 2. Computer configuration.
ComputerCategoryVersion
HardwareGPUNVIDIA GeForce RTX 2080 Ti 12 G
Memory62 G
SoftwareSystemUbuntu 18.04
Programming languagePython 3.8.16
Deep learning frameworkPytorch 1.11/torchvision10.2
Compute Unified Device ArchitectCuda10.2/cudnn7.6
Table 3. Composition of datasets.
Table 3. Composition of datasets.
DatasetTraining SetValidation SetTest Set
Real-15 real videos (1 min)5 real videos (1 min)10 real videos (1 min) + AVA
Real-210 real videos (1 min)
Real-315 videos (1 min)
Real-420 videos (1 min)
v40 synthetic videos (5 min)10 synthetic videos (5 min)
Real-1 + v5 real videos (1 min) + 40 synthetic videos (5 min)5 real videos (1 min)
Real-2 + v10 real videos (1 min) + 40 synthetic videos (5 min)
Real-3 + v15 real videos (1 min) + 40 synthetic videos (5 min)
Real-4 + v20 real videos (1 min) + 40 synthetic videos (5 min)
Table 4. Performance comparison of object detection models.
Table 4. Performance comparison of object detection models.
ModelAP (%)Detection Time (ms/f)
RCNN79.681.31
Faster R-CNN89.2131.4
RetinaNet91.0138.9
Yolov597.219
Yolov897.718.3
Table 5. Fine-tuning on real-4 and real-4 + v.
Table 5. Fine-tuning on real-4 and real-4 + v.
OptimizerReal-4Real-4 + v
Adam0.869790.743856
Adamp0.94373 10.9730001
Adamw0.942040.972725
Nadam0.836270.743663
Sgdp0.505130.671545
Base learning rateReal-4Real-4 + v
1.00 × 10−40.874840.955812
2.50 × 10−40.926520.969106
5.00 × 10−40.943730.9730001
7.50 × 10−40.9472310.977061
1.00 × 10−30.9494950.978911
Layer-wise lr decayReal-4Real-4 + v
0.60.9494950.978911
0.650.9539350.980849
0.70.944990.978358
0.750.9468560.976172
0.80.923480.978978
1 Bold in gray indicates the data that performs best under this hyperparameter compared to other hyperparameters.
Table 6. The mAP of the training datasets.
Table 6. The mAP of the training datasets.
mAP (%)Realv
v/94.83
real-193.3297.37
real-295.6697.97
real-394.8097.93
real-495.3998.08
Table 7. The mAP of the test datasets.
Table 7. The mAP of the test datasets.
mAP (%)Realv
v/71.84
real-162.7173.41
real-265.1573.55
real-366.0073.40
real-467.4473.61
Disclaimer/Publisher’s Note: The statements, opinions and data contained in all publications are solely those of the individual author(s) and contributor(s) and not of MDPI and/or the editor(s). MDPI and/or the editor(s) disclaim responsibility for any injury to people or property resulting from any ideas, methods, instructions or products referred to in the content.

Share and Cite

MDPI and ACS Style

Liu, C.; Zhang, W.; Xu, W.; Lu, B.; Li, W.; Zhao, X. Substation Inspection Safety Risk Identification Based on Synthetic Data and Spatiotemporal Action Detection. Sensors 2025, 25, 2720. https://doi.org/10.3390/s25092720

AMA Style

Liu C, Zhang W, Xu W, Lu B, Li W, Zhao X. Substation Inspection Safety Risk Identification Based on Synthetic Data and Spatiotemporal Action Detection. Sensors. 2025; 25(9):2720. https://doi.org/10.3390/s25092720

Chicago/Turabian Style

Liu, Chengcheng, Weihua Zhang, Weijin Xu, Bo Lu, Weijie Li, and Xuefeng Zhao. 2025. "Substation Inspection Safety Risk Identification Based on Synthetic Data and Spatiotemporal Action Detection" Sensors 25, no. 9: 2720. https://doi.org/10.3390/s25092720

APA Style

Liu, C., Zhang, W., Xu, W., Lu, B., Li, W., & Zhao, X. (2025). Substation Inspection Safety Risk Identification Based on Synthetic Data and Spatiotemporal Action Detection. Sensors, 25(9), 2720. https://doi.org/10.3390/s25092720

Note that from the first issue of 2016, this journal uses article numbers instead of page numbers. See further details here.

Article Metrics

Back to TopTop