Path Planning and Obstacle Avoidance of Formation Flight
Abstract
1. Introduction
2. UAV System
3. Path Planning
3.1. Non-Grid Method
3.2. Grid Method
3.2.1. A* Algorithm
- Manhattan distance
- 2.
- Euclidean distance
- 3.
- Chebyshev distance
3.2.2. Improved A* Algorithm
- Uniform Movement Cost: The first improvement involves making the movement cost to the 48 adjacent grid cells identical. This change ensures that nodes further away from the original node are not excluded due to higher movement costs, leading to a faster overall path.
- Obstacle Avoidance: The second improvement is that when selecting an optimal node, if the path encounters an obstacle, that node is not used, and the algorithm must choose another. As illustrated in Figure 15, if the black cross represents the original node (0, 0) and the red circle represents the initially chosen node (2, 3), the algorithm can directly reach this point according to the first rule. However, if any of the positions (1, 1), (1, 2), or (2, 2) contain obstacles, the red circle node cannot be selected. In real-world scenarios, traveling along a supposedly safe route and colliding with an obstacle is impossible.
3.3. Comparison of Simulation Results
3.3.1. Environment with Obstacles
3.3.2. Environment with Waypoints
4. Obstacle Avoidance
4.1. Q-Learning Algorithm
4.2. Simulations of Obstacle Avoidance
5. Formation Flight
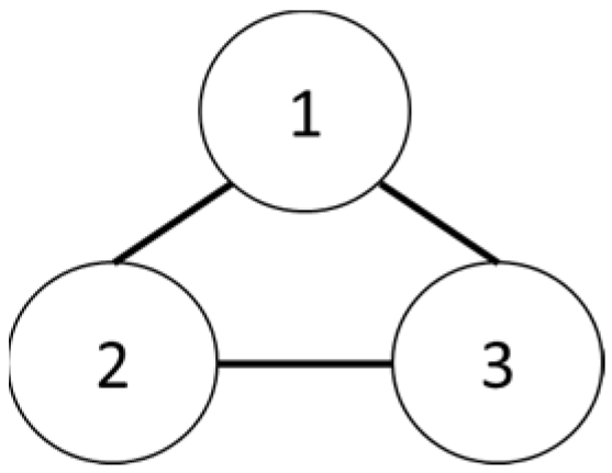
5.1. Graph Theory
5.2. Formation Control
5.3. Simulation Results
6. Field Tests
6.1. Assumptions
6.2. Obstacle Avoidance and Formation Flight
6.3. Formation Flight in Waypoint Environment
7. Conclusions
Author Contributions
Funding
Institutional Review Board Statement
Informed Consent Statement
Data Availability Statement
Conflicts of Interest
References
- Panda, M.; Das, B.; Subudhi, B.; Pati, B.B. A Comprehensive Review of Path Planning Algorithms for Autonomous Underwater Vehicles. Int. J. Autom. Comput. 2020, 17, 321–352. [Google Scholar] [CrossRef]
- Yan, H.; Fu, X. Dynamic Path Planning of UAV Based on KF-RRT Algorithm. In Proceedings of the 2023 IEEE 12th Data Driven Control and Learning Systems Conference, Xiangtan, China, 12–14 May 2023; pp. 1348–1352. [Google Scholar]
- Yin, H.; Zhang, L. Path Planning Algorithm Based on RRT-A* in 3D Terrain. In Proceedings of the 2023 IEEE International Conference on Mechatronics and Automation, Harbin, Heilongjiang, China, 6–9 August 2023; pp. 2315–2319. [Google Scholar]
- Wang, G.; Jiang, C.; Tao, G.; Ye, C. Dynamic path planning based on the fusion of improved RRT and DWA algorithms. In Proceedings of the 2023 4th International Conference on Mechatronics Technology and Intelligent Manufacturing, Nanjing, China, 26–28 May 2023; pp. 534–538. [Google Scholar]
- Zhang, Z.; Wu, H.; Zhou, H.; Song, Y.; Chen, Y.; He, K.; Gao, J. Recovery Path Planning for Autonomous Underwater Vehicles Using Constrained Bi-RRT*-Smart Algorithms. In Proceedings of the OCEANS 2023, Limerick, Ireland, 25–28 September 2023; pp. 1–6. [Google Scholar]
- Algarín-Pinto, J.A.; Garza-Castañón, L.E.; Vargas-Martínez, A.; Minchala-Ávila, L.I. Adapted D* Lite to Improve Guidance, Navigation and Control of a Tail-Actuated Underwater Vehicle in Unknown Environments. IEEE Access 2023, 11, 64629–64650. [Google Scholar] [CrossRef]
- Xie, G.; Li, Y.; Fang, L.; Su, X. A path planning method for unmanned autonomous vehicles based on Improved A* algorithm. In Proceedings of the 2023 4th International Conference on Mechatronics Technology and Intelligent Manufacturing, Nanjing, China, 26–28 May 2023; pp. 548–551. [Google Scholar]
- Li, D.; Yin, W.; Wong, W.E.; Jian, M.; Chau, M. Quality-Oriented Hybrid Path Planning Based on A* and Q-Learning for Unmanned Aerial Vehicle. IEEE Access 2022, 10, 7664–7674. [Google Scholar] [CrossRef]
- Liu, X.; Long, Y.; Li, T.; Huang, T. 3D Path Planning of Unmanned Aerial Vehicle Based on Improved Grey Wolf Optimization Algorithm. In Proceedings of the 2022 China Automation Congress (CAC), Xiamen, China, 25–27 November 2022; pp. 4285–4290. [Google Scholar]
- Liu, H. A Novel Path Planning Method for Aerial UAV based on Improved Genetic Algorithm. In Proceedings of the 2023 Third International Conference on Artificial Intelligence and Smart Energy, Coimbatore, India, 2–4 February 2023; pp. 1126–1130. [Google Scholar]
- Jiang, Y.; Wu, Y.; Wang, M. Research on Unmanned Vehicle Path Planning based on Improved Bat Algorithm. In Proceedings of the 2022 21st International Symposium on Distributed Computing and Applications for Business Engineering and Science (DCABES), Chizhou, China, 14–18 October 2022; pp. 209–212. [Google Scholar]
- Zhou, X.; Gao, F.; Fang, X.; Lan, Z. Improved Bat Algorithm for UAV Path Planning in Three-Dimensional Space. IEEE Access 2021, 9, 20100–20116. [Google Scholar] [CrossRef]
- Ajeil, F.H.; Ibraheem, I.K.; Humaidi, A.J.; Khan, Z.H. A Novel Path Planning Algorithm for Mobile Robot in Dynamic Environments Using Modified Bat Swarm Optimization. J. Eng. 2021, 2021, 37–48. [Google Scholar] [CrossRef]
- Yuan, X.; Yuan, X.; Wang, X. Path Planning for Mobile Robot Based on Improved Bat Algorithm. Sensors 2021, 21, 4389. [Google Scholar] [CrossRef]
- Li, J.; Xiong, X.; Yan, Y.; Yang, Y. A Survey of Indoor UAV Obstacle Avoidance Research. IEEE Access 2023, 11, 51861–51891. [Google Scholar] [CrossRef]
- Liu, C.; Zhai, L.; Zhang, X. Research on Local Real-time Obstacle Avoidance Path Planning of Unmanned Vehicle Based on Improved Artificial Potential Field Method. In Proceedings of the 2022 6th CAA International Conference on Vehicular Control and Intelligence, Nanjing, China, 28–30 October 2022; pp. 1–6. [Google Scholar]
- Wu, X.; Wu, S.; Yuan, S.; Wang, X.; Zhou, Y. Multi-UAV Path Planning with Collision Avoidance in 3D Environment Based on Improved APF. In Proceedings of the 2023 9th International Conference on Control, Automation and Robotics, Beijing, China, 21–23 April 2023; pp. 221–226. [Google Scholar]
- Lee, C.-C.; Song, K.-T. Path Re-Planning Design of a Cobot in a Dynamic Environment Based on Current Obstacle Configuration. IEEE Robot. Autom. Lett. 2023, 8, 1183–1190. [Google Scholar] [CrossRef]
- Jiang, J.; Yang, L.; Zhang, L. DQN-based On-line Path Planning Method for Automatic Navigation of Miniature Robots. In Proceedings of the 2023 IEEE International Conference on Robotics and Automation (ICRA), London, UK, 29 May–2 June 2023; pp. 5407–5413. [Google Scholar]
- Xu, Z.; Chen, B.; Zhan, X.; Xiu, Y.; Suzuki, C.; Shimada, K. A Vision-Based Autonomous UAV Inspection Framework for Unknown Tunnel Construction Sites With Dynamic Obstacles. IEEE Robot. Autom. Lett. 2023, 8, 4983–4990. [Google Scholar] [CrossRef]
- Manikandan, N.S.; Kaliyaperumal, G.; Wang, Y. Ad Hoc-Obstacle Avoidance-Based Navigation System Using Deep Reinforcement Learning for Self-Driving Vehicles. IEEE Access 2023, 11, 92285–92297. [Google Scholar] [CrossRef]
- Asante, I.; Theng, L.B.; Tsun, M.T.K.; Jo, H.S.; McCarthy, C. Segmentation-Based Angular Position Estimation Algorithm for Dynamic Path Planning by a Person-Following Robot. IEEE Access 2023, 11, 41034–41053. [Google Scholar] [CrossRef]
- Singla, A.; Padakandla, S.; Bhatnagar, S. Memory-Based Deep Reinforcement Learning for Obstacle Avoidance in UAV With Limited Environment Knowledge. IEEE Trans. Intell. Transp. Syst. 2021, 22, 107–118. [Google Scholar] [CrossRef]
- Kim, T.; Lim, S.; Shin, G.; Sim, G.; Yun, D. An Open-Source Low-Cost Mobile Robot System With an RGB-D Camera and Efficient Real-Time Navigation Algorithm. IEEE Access 2022, 10, 127871–127881. [Google Scholar] [CrossRef]
- Ding, J.; Gao, L.; Liu, W.; Piao, H.; Pan, J.; Du, Z.; Yang, X.; Yin, B. Monocular Camera-Based Complex Obstacle Avoidance via Efficient Deep Reinforcement Learning. IEEE Trans. Circuits Syst. Video Technol. 2023, 33, 756–770. [Google Scholar] [CrossRef]
- Li, Z.; Hu, J.; Leng, B.; Xiong, L.; Fu, Z. An Integrated of Decision Making and Motion Planning Framework for Enhanced Oscillation-Free Capability. IEEE Trans. Intell. Transp. Syst. 2023, 25, 5718–5732. [Google Scholar] [CrossRef]
- Zou, Z.; Yang, S.; Zhao, L. Dual-loop Control and State Prediction Analysis of QUAV Trajectory Tracking Based on Biological Swarm Intelligent Optimization Algorithm. Sci. Rep. 2024, 14, 19091. [Google Scholar] [CrossRef]
- Ouyang, Q.; Wu, Z.; Cong, Y.; Wang, Z. Formation Control of Unmanned Aerial Vehicle Swarms: A Comprehensive Review. Asian J. Control. 2023, 25, 570–593. [Google Scholar] [CrossRef]
- Guan, R.; Hu, G. Formation Tracking of Mobile Robots Under Obstacles Using Only an Active RGB-D Camera. IEEE Trans. Ind. Electron. 2024, 71, 4049–4058. [Google Scholar] [CrossRef]
- Ma, L.; Meng, D.; Huang, X.; Zhao, S. Vision-Based Formation Control for an Outdoor UAV Swarm with Hierarchical Architecture. IEEE Access 2023, 11, 75134–75151. [Google Scholar] [CrossRef]
- Xu, P.; Lan, D.; Yang, H.; Zhang, S.; Kim, H.; Shin, I. Ship Formation and Route Optimization Design Based on Improved PSO and D-P Algorithm. IEEE Access 2025, 13, 15529–15546. [Google Scholar] [CrossRef]
- Zhang, G.; Yin, S.; Huang, C.; Zhang, W. Intervehicle Security-Based Robust Neural Formation Control for Multiple USVs via APS Guidance. J. Mar. Sci. Eng. 2023, 11, 1020. [Google Scholar] [CrossRef]
- Gong, T.; Yu, Y.; Song, J. Path Planning for Multiple Unmanned Vehicles (MUVs) Formation Shape Generation Based on Dual RRT Optimization. Actuators 2022, 11, 190. [Google Scholar] [CrossRef]
- Pixhawk4. Available online: https://docs.px4.io/main/en/flight_controller/pixhawk4.html (accessed on 7 July 2023).
- Intel RealSense Depth Camera D415. Available online: https://www.intel.com.tw/content/www/tw/zh/products/sku/128256/intel-realsense-depth-camera-d415/specifications.html (accessed on 17 July 2024).
- NVIDIA Jetson AGX Xavier. Available online: https://www.nvidia.com/zh-tw/autonomous-machines/embedded-systems/jetson-agx-xavier/ (accessed on 17 July 2024).
- Mission Planner. Available online: https://ardupilot.org/planner/ (accessed on 7 July 2024).
- Tu, G.-T.; Juang, J.-G. Application of Reinforcement Learning for UAV Path Planning and Obstacle Avoidance Control. In Proceedings of the 2021 International Conference on System Science and Engineering (ICSSE), Ho Chi Minh City, Vietnam, 26–28 August 2021; Department of Communications, Navigation and Control Engineering, NTOU, ROC: Keelung, Taiwan, 2021. [Google Scholar]
- Zheng, Y. Multimachine Collaborative Path Planning Method Based on A* Mechanism Connection Depth Neural Network Model. IEEE Access 2022, 10, 47141–47153. [Google Scholar] [CrossRef]
- Liao, W. Mobile Robot Navigation Based on 3D SLAM Employing Active 2D LiDAR; Department of Electrical Engineering, NTUT, ROC: Taipei, Taiwan, 2023. [Google Scholar]
- Huang, C.; Zhao, Y.; Li, B.; Zhang, G. Manual Steering and Robust Adaptive Constrained Control of Ship Autopilot. Ocean. Eng. 2024, 312, 119248. [Google Scholar] [CrossRef]
- Cruz, J. Leader-follower Strategies for Multilevel Systems. IEEE Trans. Autom. Control. 1978, 23, 244–255. [Google Scholar] [CrossRef]
- Wen, G.; Chen, C.L.P.; Dou, H.; Yang, H.; Liu, C. Formation Control with Obstacle Avoidance of Second-Order Multi-Agent Systems Under Directed Communication Topology. Sci. China Inf. Sci. 2019, 62, 192205. [Google Scholar] [CrossRef]
- Liao, Y.H.; Juang, J.G. Application of Unmanned Aerial Vehicles for Marine Trash Detection. In Proceedings of the IEEE International Conference on System Science and Engineering, J210079, Nha Trang City, Vietnam, 26–28 August 2021. [Google Scholar]






















































| Method | Optimal Path Length | Computing Time |
|---|---|---|
| Bi-RRT*-Smart | short | moderate |
| BA | long | long |
| GWO | long | moderate |
| PSO | short | moderate |
| D* | moderate | short |
| A* | moderate | short |
| Improved A* | short | short |
| Method | Length (m) | Time (s) |
|---|---|---|
| Bi-RRT*-Smart | 556.31 | 1.6341 |
| BA | 668.77 | 4.7884 |
| GWO | 644.43 | 2.7697 |
| Method | Length(m) | Time(s) |
|---|---|---|
| A*-8 directions | 578.555 | 0.355 |
| A*-16 directions | 567.865 | 0.485 |
| A*-32 directions | 563.583 | 0.657 |
| Method | Length (m) | Time (s) |
|---|---|---|
| A*- 8 directions | 573.161 | 0.4469 |
| A*- 16 directions | 553.203 | 0.4035 |
| A*- 32 directions | 548.104 | 0.4220 |
| Environment | Time (s) |
|---|---|
| Scene 1 | 0.5321 |
| Scene 2 | 0.4605 |
| Environment | Without GA | With GA |
|---|---|---|
| Scene-1 | 0.5321 | 0.3864 |
| Scene-2 | 0.4605 | 0.3711 |
Disclaimer/Publisher’s Note: The statements, opinions and data contained in all publications are solely those of the individual author(s) and contributor(s) and not of MDPI and/or the editor(s). MDPI and/or the editor(s) disclaim responsibility for any injury to people or property resulting from any ideas, methods, instructions or products referred to in the content. |
© 2025 by the authors. Licensee MDPI, Basel, Switzerland. This article is an open access article distributed under the terms and conditions of the Creative Commons Attribution (CC BY) license (https://creativecommons.org/licenses/by/4.0/).
Share and Cite
Yang, Y.-S.; Juang, J.-G. Path Planning and Obstacle Avoidance of Formation Flight. Sensors 2025, 25, 2447. https://doi.org/10.3390/s25082447
Yang Y-S, Juang J-G. Path Planning and Obstacle Avoidance of Formation Flight. Sensors. 2025; 25(8):2447. https://doi.org/10.3390/s25082447
Chicago/Turabian StyleYang, Yi-Sin, and Jih-Gau Juang. 2025. "Path Planning and Obstacle Avoidance of Formation Flight" Sensors 25, no. 8: 2447. https://doi.org/10.3390/s25082447
APA StyleYang, Y.-S., & Juang, J.-G. (2025). Path Planning and Obstacle Avoidance of Formation Flight. Sensors, 25(8), 2447. https://doi.org/10.3390/s25082447

