Non-Invasive Wide-Field Imaging of Chip Surface Temperature Distribution Based on Ensemble Diamond Nitrogen-Vacancy Centers
Abstract
1. Introduction
2. Experimental Principles
2.1. Principle of Diamond NV Centers Temperature Measurement
2.2. Experimental Setup
3. Results
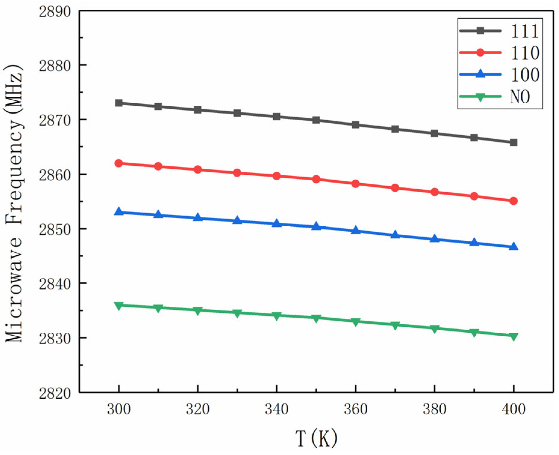
3.1. Effect of Bias Magnetic Field Alignment on Temperature Sensitivity
3.2. Wide-Field Temperature Imaging of Chip Surfaces
4. Conclusions
Author Contributions
Funding
Institutional Review Board Statement
Informed Consent Statement
Data Availability Statement
Conflicts of Interest
References
- Lu, Z.; Jia, H.; Wang, D.; Yu, H. MEMS Resonant Beam with Outstanding Uniformity of Sensitivity and Temperature Distribution for Accurate Gas Sensing and On-Chip TGA. Sensors 2024, 24, 2495. [Google Scholar] [CrossRef]
- Chen, W.-Y.; Shi, X.-L.; Zou, J.; Chen, Z.-G. Thermoelectric Coolers for On-Chip Thermal Management: Materials, Design, and Optimization. Mater. Sci. Eng. R Rep. 2022, 151, 100700. [Google Scholar] [CrossRef]
- Shi, N.; Yang, J.; Cao, Z.; Jin, X. A Programmable Ambient Light Sensor with Dark Current Compensation and Wide Dynamic Range. Sensors 2024, 24, 3396. [Google Scholar] [CrossRef] [PubMed]
- Kucsko, G.; Maurer, P.C.; Yao, N.Y.; Kubo, M.; Noh, H.J.; Lo, P.K.; Park, H.; Lukin, M.D. Nanometre-Scale Thermometry in a Living Cell. Nature 2013, 500, 54–58. [Google Scholar] [CrossRef] [PubMed]
- Wu, Y.; Zhao, L.; Chang, Y.; Zhao, L.; Guo, G.; Wang, X. Ultra-Thin Temperature Controllable Microwell Array Chip for Continuous Real-Time High-Resolution Imaging of Living Single Cells. Chin. Chem. Lett. 2021, 32, 3446–3449. [Google Scholar] [CrossRef]
- Brites, C.D.S.; Balabhadra, S.; Carlos, L.D. Lanthanide-Based Thermometers: At the Cutting-Edge of Luminescence Thermometry. Adv. Opt. Mater. 2019, 7, 1801239. [Google Scholar] [CrossRef]
- Wang, C.; Xu, R.; Tian, W.; Jiang, X.; Cui, Z.; Wang, M.; Sun, H.; Fang, K.; Gu, N. Determining Intracellular Temperature at Single-Cell Level by a Novel Thermocouple Method. Cell Res. 2011, 21, 1517–1519. [Google Scholar] [CrossRef]
- Bai, T.; Gu, N. Micro/Nanoscale Thermometry for Cellular Thermal Sensing. Small 2016, 12, 4590–4610. [Google Scholar] [CrossRef]
- Okabe, K.; Inada, N.; Gota, C.; Harada, Y.; Funatsu, T.; Uchiyama, S. Intracellular Temperature Mapping with a Fluorescent Polymeric Thermometer and Fluorescence Lifetime Imaging Microscopy. Nat. Commun. 2012, 3, 705. [Google Scholar] [CrossRef]
- Acosta, V.M.; Bauch, E.; Ledbetter, M.P.; Waxman, A.; Bouchard, L.-S.; Budker, D. Temperature Dependence of the Nitrogen-Vacancy Magnetic Resonance in Diamond. Phys. Rev. Lett. 2010, 104, 070801. [Google Scholar] [CrossRef]
- Liu, G.-Q.; Feng, X.; Wang, N.; Li, Q.; Liu, R.-B. Coherent Quantum Control of Nitrogen-Vacancy Center Spins near 1000 Kelvin. Nat. Commun. 2019, 10, 1344. [Google Scholar] [CrossRef] [PubMed]
- Laraoui, A.; Aycock-Rizzo, H.; Gao, Y.; Lu, X.; Riedo, E.; Meriles, C.A. Imaging Thermal Conductivity with Nanoscale Resolution Using a Scanning Spin Probe. Nat. Commun. 2015, 6, 8954. [Google Scholar] [CrossRef]
- Zhang, N.; Guo, Q.; Ye, W.; Feng, R.; Yuan, H. Temperature Fluctuations Compensation with Multi-Frequency Synchronous Manipulation for a NV Magnetometer in Fiber-Optic Scheme. Sensors 2022, 22, 5218. [Google Scholar] [CrossRef]
- Yang, M.; Yuan, Q.; Gao, J.; Shu, S.; Chen, F.; Sun, H.; Nishimura, K.; Wang, S.; Yi, J.; Lin, C.-T.; et al. A Diamond Temperature Sensor Based on the Energy Level Shift of Nitrogen-Vacancy Color Centers. Nanomaterials 2019, 9, 1576. [Google Scholar] [CrossRef] [PubMed]
- Gruber, A.; Dräbenstedt, A.; Tietz, C.; Fleury, L.; Wrachtrup, J.; Borczyskowski, C.V. Scanning Confocal Optical Microscopy and Magnetic Resonance on Single Defect Centers. Science 1997, 276, 2012–2014. [Google Scholar] [CrossRef]
- Chen, X.-D.; Dong, C.-H.; Sun, F.-W.; Zou, C.-L.; Cui, J.-M.; Han, Z.-F.; Guo, G.-C. Temperature Dependent Energy Level Shifts of Nitrogen-Vacancy Centers in Diamond. Appl. Phys. Lett. 2011, 99, 161903. [Google Scholar] [CrossRef]
- Wojciechowski, A.M.; Karadas, M.; Osterkamp, C.; Jankuhn, S.; Meijer, J.; Jelezko, F.; Huck, A.; Andersen, U.L. Precision Temperature Sensing in the Presence of Magnetic Field Noise and Vice-Versa Using Nitrogen-Vacancy Centers in Diamond. Appl. Phys. Lett. 2018, 113, 013502. [Google Scholar] [CrossRef]
- Masuyama, Y.; Suzuki, K.; Hekizono, A.; Iwanami, M.; Hatano, M.; Iwasaki, T.; Ohshima, T. Gradiometer Using Separated Diamond Quantum Magnetometers. Sensors 2021, 21, 977. [Google Scholar] [CrossRef]
- Foy, C.; Zhang, L.; Trusheim, M.E.; Bagnall, K.R.; Walsh, M.; Wang, E.N.; Englund, D.R. Wide-Field Magnetic Field and Temperature Imaging Using Nanoscale Quantum Sensors. ACS Appl. Mater. Interfaces 2020, 12, 26525–26533. [Google Scholar] [CrossRef]
- Zhang, C.; Yuan, H.; Zhang, N.; Xu, L.X.; Li, B.; Cheng, G.D.; Wang, Y.; Gui, Q.; Fang, J.C. Dependence of High Density Nitrogen-Vacancy Center Ensemble Coherence on Electron Irradiation Doses and Annealing Time. J. Phys. D Appl. Phys. 2017, 50, 505104. [Google Scholar] [CrossRef]
- Gali, Á. Ab Initio Theory of the Nitrogen-Vacancy Center in Diamond. Nanophotonics 2019, 8, 1907–1943. [Google Scholar] [CrossRef]
- Ruf, M.; Wan, N.H.; Choi, H.; Englund, D.; Hanson, R. Quantum Networks Based on Color Centers in Diamond. J. Appl. Phys. 2021, 130, 070901. [Google Scholar] [CrossRef]
- Shi, Z.; Li, Z.; Liang, Y.; Zhang, H.; Wen, H.; Guo, H.; Ma, Z.; Tang, J.; Liu, J. Multichannel Control for Optimizing the Speed of Imaging in Quantum Diamond Microscope. IEEE Sens. J. 2023, 23, 24366–24372. [Google Scholar] [CrossRef]
- Shi, Z.; Jin, H.; Zhang, H.; Li, Z.; Wen, H.; Guo, H.; Ma, Z.; Tang, J.; Liu, J. Measurements of Spatial Angles Using Diamond Nitrogen–Vacancy Center Optical Detection Magnetic Resonance. Sensors 2024, 24, 2613. [Google Scholar] [CrossRef] [PubMed]
- Das, D.; Raj, R.; Jana, J.; Chatterjee, S.; Ganapathi, K.L.; Chandran, M.; Ramachandra Rao, M.S. Diamond—The Ultimate Material for Exploring Physics of Spin-Defects for Quantum Technologies and Diamondtronics. J. Phys. D Appl. Phys. 2022, 55, 333002. [Google Scholar] [CrossRef]
- Savitski, V.G. Optical Gain in NV-Colour Centres for Highly-Sensitive Magnetometry: A Theoretical Study. J. Phys. D Appl. Phys. 2017, 50, 475602. [Google Scholar] [CrossRef]
- Tzeng, Y.-K.; Tsai, P.-C.; Liu, H.-Y.; Chen, O.Y.; Hsu, H.; Yee, F.-G.; Chang, M.-S.; Chang, H.-C. Time-Resolved Luminescence Nanothermometry with Nitrogen-Vacancy Centers in Nanodiamonds. Nano Lett. 2015, 15, 3945–3952. [Google Scholar] [CrossRef]
- Schirhagl, R.; Chang, K.; Loretz, M.; Degen, C.L. Nitrogen-Vacancy Centers in Diamond: Nanoscale Sensors for Physics and Biology. Annu. Rev. Phys. Chem. 2014, 65, 83–105. [Google Scholar] [CrossRef]
- Barry, J.F.; Schloss, J.M.; Bauch, E.; Turner, M.J.; Hart, C.A.; Pham, L.M.; Walsworth, R.L. Sensitivity Optimization for NV-Diamond Magnetometry. Rev. Mod. Phys. 2020, 92, 015004. [Google Scholar] [CrossRef]





| B∥<111> | B∥<110> | B∥<100> | B∥NO | |
|---|---|---|---|---|
| Δω (MHz) | 10 | 11 | 13 | 12 |
| C (%) | 12 | 12 | 10 | 3 |
Disclaimer/Publisher’s Note: The statements, opinions and data contained in all publications are solely those of the individual author(s) and contributor(s) and not of MDPI and/or the editor(s). MDPI and/or the editor(s) disclaim responsibility for any injury to people or property resulting from any ideas, methods, instructions or products referred to in the content. |
© 2025 by the authors. Licensee MDPI, Basel, Switzerland. This article is an open access article distributed under the terms and conditions of the Creative Commons Attribution (CC BY) license (https://creativecommons.org/licenses/by/4.0/).
Share and Cite
Shi, Z.; Pan, Z.; Li, Q.; Li, W. Non-Invasive Wide-Field Imaging of Chip Surface Temperature Distribution Based on Ensemble Diamond Nitrogen-Vacancy Centers. Sensors 2025, 25, 1947. https://doi.org/10.3390/s25061947
Shi Z, Pan Z, Li Q, Li W. Non-Invasive Wide-Field Imaging of Chip Surface Temperature Distribution Based on Ensemble Diamond Nitrogen-Vacancy Centers. Sensors. 2025; 25(6):1947. https://doi.org/10.3390/s25061947
Chicago/Turabian StyleShi, Zhenrong, Ziwen Pan, Qinghua Li, and Wei Li. 2025. "Non-Invasive Wide-Field Imaging of Chip Surface Temperature Distribution Based on Ensemble Diamond Nitrogen-Vacancy Centers" Sensors 25, no. 6: 1947. https://doi.org/10.3390/s25061947
APA StyleShi, Z., Pan, Z., Li, Q., & Li, W. (2025). Non-Invasive Wide-Field Imaging of Chip Surface Temperature Distribution Based on Ensemble Diamond Nitrogen-Vacancy Centers. Sensors, 25(6), 1947. https://doi.org/10.3390/s25061947

