Fault-Tolerant Collaborative Control of Four-Wheel-Drive Electric Vehicle for One or More In-Wheel Motors’ Faults
Abstract
1. Introduction
2. Dynamic Modeling
2.1. Dynamics Model of 4WDEV
2.2. In-Wheel Motor Model
3. Fault-Tolerant Controller Design
3.1. Reference Model
3.2. Motion Tracking Layer
3.2.1. Lateral Motion Controller
3.2.2. Longitudinal Motion Controller
3.3. Torque Distribution Layer
3.3.1. Single System Optimal Distribution
3.3.2. Multi-System Collaboration Distribution
3.4. Vehicle State Observer Design
4. Performance Verification
4.1. Sufficient Output Capacity of Each In-Wheel Motor
4.2. Insufficient Output Capacities of One or More In-Wheel Motors
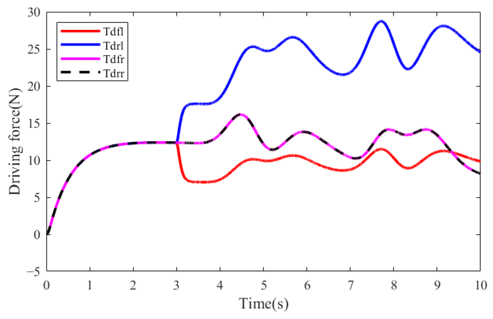
4.2.1. Test Analysis in a Straight-Line Track
4.2.2. Test Analysis in a DLC Track
5. Conclusions
- (1)
- An MPC controller is used for the vehicle’s lateral motion, outputting the required additional yaw moment, while a PID controller is used for the vehicle’s longitudinal motion, outputting the required longitudinal force. This originates from the strong flexibility and adaptability of the PID controller and the predictability of the MPC controller.
- (2)
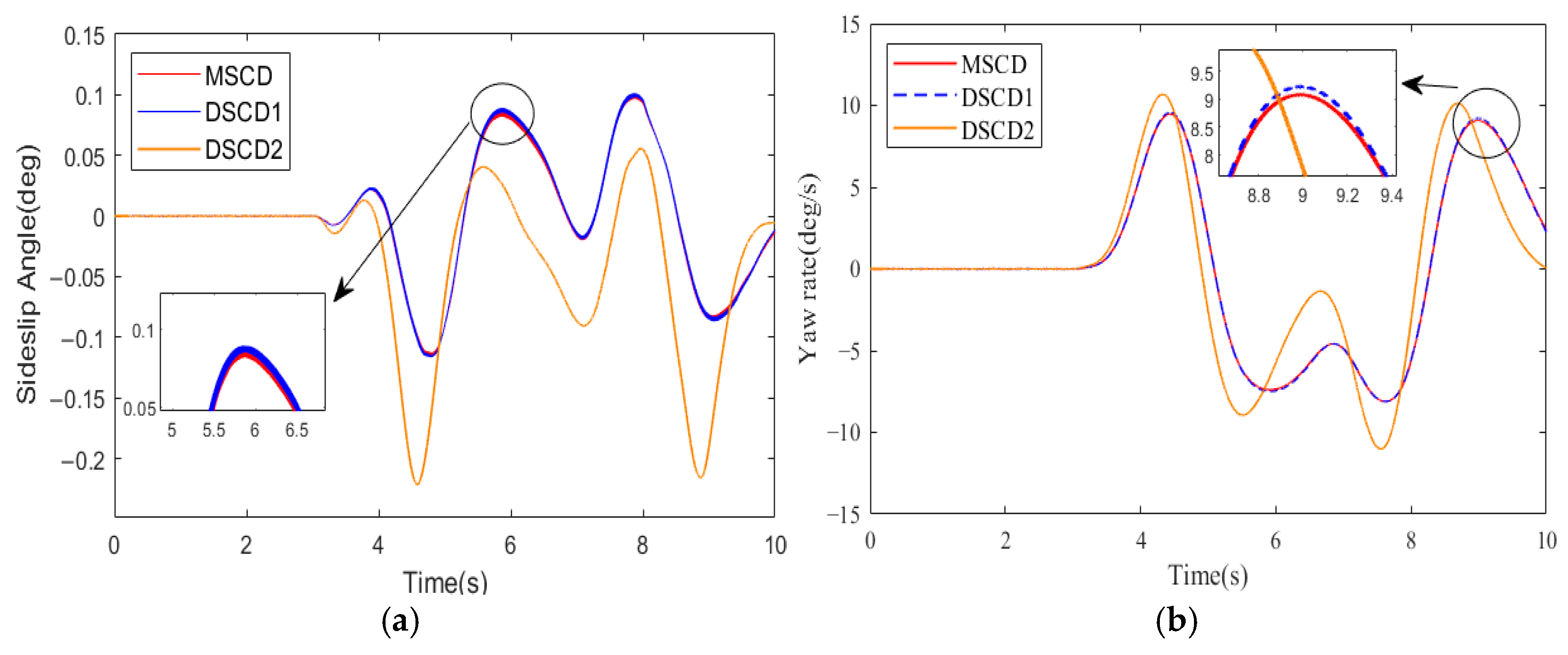
- Novel torque distribution schemes of SSOD and MSCD are proposed on the basis of three systems of driving, braking, and front-wheel steering to deal with two scenarios of sufficient and insufficient output capacities, respectively. As a result, When the output capacity is sufficient, compared with ED, SSOD reduces the average errors of the center of mass sideslip angle and yaw rate by 25.1% and 5.7%, respectively. When the output capacity is insufficient, in the straight-line track environment, compared with DSCD1 and DSCD2, MSCD reduces the average errors of the sideslip angle and yaw rate by at least 12.9% and 5.88%, respectively. In the DLC track environment, compared with DSCD1 and DSCD2, MSCD reduces the average errors of the sideslip angle and yaw rate by at least 6% and 4.5%, respectively. The proposed SSOD and MSCD distribution strategies not only keep the vehicle’s center of mass sideslip angle and yaw rate within a small fluctuation range but also ensure good driving performance.
- (3)
- The fault-tolerant collaborative control method with two layers of motion tracking and torque distribution is well-suited for the overall control system of 4WDEV. It lays the foundation for addressing safety concerns stemming from one or more in-wheel motors’ faults in the field of 4WDEV.
Author Contributions
Funding
Institutional Review Board Statement
Informed Consent Statement
Data Availability Statement
Conflicts of Interest
References
- Yuan, L.; Zhao, H.; Chen, H.; Ren, B. Nonlinear MPC-based slip control for electric vehicles with vehicle safety constraints. Mechatronics 2016, 38, 1–15. [Google Scholar] [CrossRef]
- Tak, B.O.; Ro, J.S. Analysis and design of an axial flux permanent magnet motor for in-wheel system using a novel analytical method combined with a numerical method. IEEE Access 2020, 8, 203994–204011. [Google Scholar] [CrossRef]
- Liu, H.; Yan, S.; Shen, Y.; Li, H.; Zhang, Y.; Hussain, F. Model predictive control system based on direct yaw moment control for 4WID self-steering agriculture vehicle. Int. J. Agric. Biol. Eng. 2021, 14, 175–181. [Google Scholar] [CrossRef]
- Jeon, N.; Lee, H. Integrated fault diagnosis algorithm for motor sensors of in-wheel independent drive electric vehicles. Sensors 2016, 16, 2106. [Google Scholar] [CrossRef]
- Tian, M.; Gao, B. Dynamics analysis of a novel in-wheel powertrain system combined with dynamic vibration absorber. Mech. Mach. Theory 2021, 156, 104148. [Google Scholar] [CrossRef]
- Xue, H.; Song, Z.; Wu, M.; Sun, N.; Wang, H. Intelligent diagnosis based on double-optimized artificial hydrocarbon networks for mechanical faults of in-wheel motor. Sensors 2022, 22, 6316. [Google Scholar] [CrossRef] [PubMed]
- Qu, W.; Wu, F. Subsection nonsingular terminal sliding mode control for single winding broken fault of in-wheel-motor of electric vehicle. In Proceedings of the IEEE International Conference on Information and Automation (ICIA), Ningbo, China, 1–3 August 2016. [Google Scholar]
- Chu, X.; Liu, Z.; Mao, L.; Jin, X.; Peng, Z.; Wen, G. Robust event triggered control for lateral dynamics of intelligent vehicle with designable inter-event times. IEEE Trans. Circuits Syst. II Express Briefs 2022, 69, 4349–4353. [Google Scholar] [CrossRef]
- Zhao, J.; Ma, Y.; Zhao, H.; Cui, Y.; Chen, H. PID slip control based on vertical suspension system for in-wheel-motored electric vehicles. In Proceedings of the 2018 Chinese Control and Decision Conference (CCDC), Shenyang, China, 9–11 June 2018. [Google Scholar]
- Yu, Y.; Hao, S.; Guo, S.; Tang, Z.; Chen, S. Motor Torque Distribution Strategy for Different Tillage Modes of Agricultural Electric Tractors. Agriculture 2022, 12, 1373. [Google Scholar] [CrossRef]
- Wang, S.; Na, J.; Chen, Q. Adaptive predefined performance sliding mode control of motor driving systems with disturbances. IEEE Trans. Energy Convers. 2021, 36, 1931–1939. [Google Scholar] [CrossRef]
- Chen, H.; Chen, X.; Chen, C.; Peng, Z.; Gong, Y.; Chen, G. Multidisciplinary design optimization for vehicle handling stability of steering-by-wire system. J. Supercomput. 2019, 75, 2964–2985. [Google Scholar] [CrossRef]
- Zhang, Y.; Tao, Y.; Xue, H.; Pan, C.; Chen, P. A safety evaluation method of in-wheel motor based on vehicle operation information. Int. J. Compr. Eng. Part A 2022, 11, 21–33. [Google Scholar]
- Yim, S.; Kim, S.; Yun, H. Coordinated control with electronic stability control and active front steering using the optimum yaw moment distribution under a lateral force constraint on the active front steering. Proc. Inst. Mech. Eng. Part D J. Automob. Eng. 2016, 230, 581–592. [Google Scholar] [CrossRef]
- Liang, J.; Lu, Y.; Yin, G.; Fang, Z.; Zhuang, W.; Ren, Y.; Xu, L.; Li, Y. A distributed integrated control architecture of AFS and DYC based on MAS for distributed drive electric vehicles. IEEE Trans. Veh. Technol. 2021, 70, 5565–5577. [Google Scholar] [CrossRef]
- Han, J.; Yan, X.; Tang, H. Method of controlling tillage depth for agricultural tractors considering engine load characteristics. Biosyst. Eng. 2023, 227, 95–106. [Google Scholar] [CrossRef]
- Li, Y.; Liu, Y.; Ji, K.; Zhu, R. A fault diagnosis method for a differential inverse gearbox of a crawler combine harvester based on order analysis. Agriculture 2022, 12, 1300. [Google Scholar] [CrossRef]
- Ma, C.; Gao, Y.; Degano, M.; Wang, Y.; Fang, J.; Gerada, C.; Zhou, S.; Mu, Y. Eccentric position diagnosis of static eccentricity fault of external rotor permanent magnet synchronous motor as an in-wheel motor. IET Electr. Power Appl. 2020, 14, 2263–2272. [Google Scholar] [CrossRef]
- Xue, H.; Ding, D.; Zhang, Z.; Wu, M.; Wang, H. A fuzzy system of operation safety assessment using multimodel linkage and multistage collaboration for In-wheel motor. IEEE Trans. Fuzzy Syst. 2022, 30, 999–1013. [Google Scholar] [CrossRef]
- Zhang, Q.; Zhao, Z.; Gao, G. Fuzzy comprehensive evaluation for grasping prioritization of stacked fruit clusters based on relative hierarchy factor set. Agronomy 2022, 12, 663. [Google Scholar] [CrossRef]
- Wang, X.; Luo, L.; Tang, L.; Yang, Z. Automatic representation and detection of fault bearings in in-wheel motors under variable load conditions. Adv. Eng. Inform. 2021, 49, 101321. [Google Scholar] [CrossRef]
- Cui, L.; Zhao, X.; Liu, D.; Wang, H. A novel spectral coherence-based weighted envelope spectrum analysis method for bearing fault diagnosis. Struct. Health Monit. 2023, 23, 2457–2474. [Google Scholar] [CrossRef]
- Cui, L.; Chen, J.; Liu, D.; Zhen, D. Fault diagnosis of offshore wind turbines based on component separable synchroextracting transform. Ocean Eng. 2024, 291, 116275. [Google Scholar] [CrossRef]
- Hao, S.; Tang, Z.; Guo, S.; Ding, Z.; Su, Z. Model and method of fault signal diagnosis for blockage and slippage of rice threshing drum. Agriculture 2022, 12, 1968. [Google Scholar] [CrossRef]
- Liu, C.; Jiang, B.; Zhang, K.; Patton, R. Distributed fault-tolerant consensus tracking control of multi-agent systems under fixed and switching topologies. IEEE Trans. Circuits Syst. I Regul. Pap. 2021, 68, 1646–1658. [Google Scholar] [CrossRef]
- Xue, H.; Wu, M.; Zhang, Z.; Wang, H. Intelligent diagnosis of mechanical faults of in-wheel motor based on improved artificial hydrocarbon networks. ISA Trans. 2022, 120, 360–371. [Google Scholar] [CrossRef] [PubMed]
- Liu, B.; Xue, H.; Ding, D.; Sun, N.; Chen, P. In-wheel motor fault diagnosis using affinity propagation minimum-distance discriminant projection and Weibull-kernel-function-based SVDD. Sensors 2023, 23, 4021. [Google Scholar] [CrossRef]
- Zhou, X.; Sun, J.; Zhang, Y.; Tian, Y.; Yao, K.; Xu, M. Visualization of heavy metal cadmium in lettuce leaves based on wavelet support vector machine regression model and visible-near infrared hyperspectral imaging. J. Food Process Eng. 2021, 44, e13897. [Google Scholar] [CrossRef]
- Bonah, E.; Huang, X.; Yi, R.; Aheto, J.; Osae, R.; Golly, M. Electronic nose classification and differentiation of bacterial foodborne pathogens based on support vector machine optimized with particle swarm optimization algorithm. J. Food Process Eng. 2019, 42, e13236. [Google Scholar] [CrossRef]
- Tao, Y.; Ge, C.; Feng, H.; Xue, H.; Yao, M.; Tang, H.; Liao, Z.; Chen, P. A Novel Approach for Adaptively Separating and Extracting Compound Fault Features of the In-wheel Motor Bearing. ISA Trans. 2025, in press. [Google Scholar] [CrossRef]
- He, R.; Wang, J. Vertical vibration control of an in-wheel motor-driven electric vehicle using an in-wheel active vibration system. Asian J. Control 2020, 22, 879–896. [Google Scholar] [CrossRef]
- Li, Y.; Cai, Y.; Sun, X.; Wang, H.; Jia, Y.; He, Y.; Chen, L.; Chao, Y. Trajectory tracking of four-wheel driving and steering autonomous vehicle under extreme obstacle avoidance condition. Veh. Syst. Dyn. 2024, 62, 601–622. [Google Scholar] [CrossRef]
- He, R.; Yan, Y.; Hu, D. Optimised adaptive control methodology for mode transition of hybrid electric vehicle based on the dynamic characteristics analysis. Veh. Syst. Dyn. 2021, 59, 1282–1303. [Google Scholar] [CrossRef]
- Lu, E.; Xue, J.; Chen, T.; Jiang, S. Robust trajectory tracking control of an autonomous tractor-trailer considering model parameter uncertainties and disturbances. Agriculture 2023, 13, 869. [Google Scholar] [CrossRef]
- Huang, J.; Liu, Y.; Liu, M.; Cao, M.; Yan, Q. Multi-objective optimization control of distributed electric drive vehicles based on optimal torque distribution. IEEE Access 2019, 7, 16377–16394. [Google Scholar] [CrossRef]
- Liu, L.; Shi, K.; Yuan, X.; Li, Q. Multiple model-based fault-tolerant control system for distributed drive electric vehicle. J. Braz. Soc. Mech. Sci. Eng. 2019, 41, 531. [Google Scholar] [CrossRef]
- Zhang, B.; Lu, S. Fault-tolerant control for four-wheel independent actuated electric vehicle using feedback linearization and cooperative game theory. Control Eng. Pract. 2020, 101, 104510. [Google Scholar] [CrossRef]
- Tang, H.; Chen, Y.; Zhou, A. Actuator fault-tolerant control for four-wheel-drive-by-wire electric vehicle. IEEE Trans. Transp. Electrif. 2022, 101, 2361–2373. [Google Scholar] [CrossRef]
- Geng, G.; Cheng, G.; Duan, C.; Jiao, X. Optimal lane-changing and collision avoidance strategy for intelligent vehicles in high-speed driving environments. Veh. Syst. Dyn. 2024, 62, 2632–2660. [Google Scholar] [CrossRef]
- Zhao, Q.; Zhu, B.; Pei, Y.; Wang, N. Integrated control of electric power steering and active suspension systems based on model predictive algorithm. Int. J. Appl. Electromagn. Mech. 2021, 65, 681–701. [Google Scholar] [CrossRef]
- Wang, H.; Xu, Y.; Wang, Z.; Cai, Y.; Chen, L.; Li, Y. CenterNet-auto: A multi-object visual detection algorithm for autonomous driving scenes based on improved centernet. IEEE Trans. Emerg. Top. Comput. Intell. 2023, 7, 742–752. [Google Scholar] [CrossRef]
- Liu, Z.; Cai, Y.; Wang, H.; Chen, L.; Gao, H.; Jia, Y.; Li, Y. Robust target recognition and tracking of self-driving cars with radar and camera information fusion under severe weather conditions. IEEE Trans. Intell. Transp. Syst. 2022, 23, 6640–6653. [Google Scholar] [CrossRef]
- Ji, Y.; Liu, Y. Force allocation control for distributed drive electric vehicles under split-friction regions and actuator faults. ISA Trans. 2022, 129, 398–412. [Google Scholar] [CrossRef] [PubMed]
- Liu, Y.; Lin, C.; Xu, Z.; Wang, S. Sliding mode observers designed to improve observation accuracy of electric vehicle state information. Energy Procedia 2017, 105, 4305–4311. [Google Scholar] [CrossRef]
- Tchamna, R.; Youn, I. Yaw rate and side-slip control considering vehicle longitudinal dynamics. Int. J. Automot. Technol. 2013, 14, 53–60. [Google Scholar] [CrossRef]
- Wang, J.; Gao, S.; Wang, K.; Wang, Y.; Wang, Q. Wheel torque distribution optimization of four-wheel independent-drive electric vehicle for energy efficient driving. Control Eng. Pract. 2021, 110, 104779. [Google Scholar] [CrossRef]
- Li, Q.; Zhang, H.; Gao, C.; Yan, S. Research on failure classification and control strategy of four-wheel independent drive electric vehicle drive system. J. Braz. Soc. Mech. Sci. Eng. 2021, 43, 550. [Google Scholar] [CrossRef]
- Xue, H.; Liu, B.; Ding, D.; Zhou, J.; Cui, X. Diagnosis method based on hidden Markov model and Weibull mixture model for mechanical faults of in-wheel motors. Meas. Sci. Technol. 2022, 33, 114002. [Google Scholar] [CrossRef]
- Chen, J.; Lin, C.; Liang, S.; Cao, F.; Lin, C.; Liang, S.; Cao, F. A MPC-based torque distribution strategy for distributed drive electric vehicles. In Proceedings of the International Conference on Energy, Ecology and Environment, Melbourne, Australia, 21–25 November 2018. [Google Scholar]
- Chen, J.; Ning, X.; Li, Y.; Yang, G.; Wu, P.; Chen, S. A fuzzy control strategy for the forward speed of a combine Harvester based on KDD. Appl. Eng. Agric. 2017, 33, 15–22. [Google Scholar] [CrossRef]
- Hajiloo, R.; Khajepour, A.; Kasaiezadeh, A.; Chen, S.; Litkouhi, B. A model predictive control of electronic limited slip differential and differential braking for improving vehicle yaw stability. IEEE Trans. Control Syst. Technol. 2023, 31, 797–808. [Google Scholar] [CrossRef]
- Yang, C.; Liu, J. Trajectory tracking control of intelligent driving vehicles based on MPC and Fuzzy PID. Math. Probl. Eng. 2023, 2023, 2464254. [Google Scholar] [CrossRef]
- Zhang, H.; Liang, J.; Jiang, H.; Zhang, Y. Stability research of distributed drive electric vehicle by adaptive direct yaw moment control. IEEE Access 2019, 7, 106225–106237. [Google Scholar] [CrossRef]
- Zhu, J.; Wang, Z.; Zhang, L.; Dorrell, D. Braking/steering coordination control for in-wheel motor drive electric vehicles based on nonlinear model predictive control. Mech. Mach. Theory 2019, 142, 103586. [Google Scholar] [CrossRef]
- Ye, B.; Niu, S.; Li, L.; Wu, W. A comparison study of kinematic and dynamic models for trajectory tracking of autonomous vehicles using model predictive control. Int. J. Control 2023, 21, 3006–3021. [Google Scholar] [CrossRef]
- Chen, G.; Yao, J.; Hu, H.; Gao, Z.; He, L.; Zheng, X. Design and experimental evaluation of an efficient MPC-based lateral motion controller considering path preview for autonomous vehicles. Control Eng. 2022, 123, 105164. [Google Scholar] [CrossRef]
- Tang, B.; Hu, Z.; Jiang, H.; Yin, Y.; Yang, Z. Dynamic lane tracking control of the commercial vehicle based on RMPC algorithm considering the state of preceding vehicle. Machines 2022, 10, 534. [Google Scholar] [CrossRef]
- Tchon, K.; Góral, I. Optimal motion planning for non-holonomic robotic systems. IFAC-Pap. 2017, 50, 1910–1915. [Google Scholar]
- Li, Y.; Zhang, B.; Xu, X. Robust control for permanent magnet in-wheel motor in electric vehicles using adaptive fuzzy neural network with inverse system decoupling. Trans. Can. Soc. Mech. Eng. 2018, 42, 286–297. [Google Scholar] [CrossRef]
- Qiu, L.; Zhu, S.; Liu, D.; Xiang, Z.; Fu, H.; Chen, H. Research on the torque control strategy of a distributed 4WD electric vehicle based on economy and stability control. Electronics 2022, 11, 3546. [Google Scholar] [CrossRef]
- Zhi, J.; Wang, X.; Shi, Q.; Yao, Z.; Qi, Y. Torque allocation strategy based on economy and stability for electric vehicle considering controllability after motors failure. Proc. Inst. Mech. Eng. Part D J. Automob. Eng. 2023, 237, 2759–2779. [Google Scholar] [CrossRef]
- Sun, X.; Xiong, Y.; Yang, J.; Tian, X. Torque ripple reduction for a 12/8 switched reluctance motor based on a novel sliding mode control strategy. IEEE Trans. Transp. Electrif. 2023, 9, 359–369. [Google Scholar] [CrossRef]
- Sun, X.; He, H.; Liu, X. Motor fault tolerant control strategy for distributed driving electric vehicle. In Proceedings of the 2014 IEEE Conference and Expo Transportation Electrification Asia-Pacific (ITEC Asia-Pacific), Beijing, China, 31 August–3 September 2014. [Google Scholar]
- Wang, J.; Zhang, C.; Yang, Z.; Dang, M.; Chang, B.; Li, C.; Zhang, R.; Ma, J. Hierarchical driving force allocation strategy for 4-WID electric vehicles. Proc. Inst. Mech. Eng. Part D J. Automob. Eng. 2023, 237, 2484–2498. [Google Scholar] [CrossRef]












| Parameter | Meaning | Value |
|---|---|---|
| m | Mass of 4WDEV | 1412 kg |
| a | Distance from the vehicle’s center of mass to the front axle | 1.015 m |
| b | Distance from the vehicle’s center of mass to the rear axle | 1.895 m |
| Iz | Moment of inertia of the vehicle about the vertical axis (z-axis) | 1536.7 kg·m2 |
| B | Wheel track | 1.48 m |
| Cyf | Lateral stiffness of the front axle wheel | 83,000 N·rad |
| Cyr | Lateral stiffness of the rear axle wheel | 70,000 N·rad |
| Meaning | Value |
|---|---|
| Sampling frequency | 1000 Hz |
| Simulation duration | 10 s |
| Ground adhesion coefficient | 0.85 |
| Evaluation Index | MSCD | DSCD1 | DSCD2 |
|---|---|---|---|
| Average error of sideslip angle (°) | 0.015 | 0.016 | 0.047 |
| Average error of yaw rate (°·S−1) | 0.049 | 0.052 | 0.063 |
| Average actual vehicle velocity (km·h−1) | 99.788 | 99.801 | 99.240 |
| Maximum deviation of sideslip angle (°) | 0.037 | 0.040 | 0.070 |
| Maximum deviation of yaw rate (°·S−1) | 0.166 | 0.178 | 0.318 |
| Evaluation Index | Statistical Metrics | MSCD | DSCD1 | DSCD2 |
|---|---|---|---|---|
| Average error of sideslip angle | Mean (°) | 0.0148 | 0.017 | 0.048 |
| Standard deviation | 0.0016 | 0.008 | 0.015 | |
| Average error of yaw rate | Mean (°·S−1) | 0.048 | 0.051 | 0.0626 |
| Standard deviation | 0.005 | 0.003 | 0.008 | |
| Average actual vehicle velocity | Mean (km·h−1) | 99.784 | 99.798 | 99.24 |
| Standard deviation | 0.02 | 0.15 | 0.105 |
| Evaluation Index | MSCD | DSCD1 | DSCD2 |
|---|---|---|---|
| Average error of sideslip angle (°) | 0.047 | 0.051 | 0.073 |
| Average error of yaw rate (°·S−1) | 5.013 | 5.254 | 5.432 |
| Average actual vehicle velocity (km·h−1) | 59.854 | 59.845 | 59.626 |
| Maximum deviation of sideslip angle (°) | 0.112 | 0.114 | 0.221 |
| Maximum deviation of yaw rate (°·S−1) | 9.062 | 9.209 | 10.130 |
| Evaluation Index | Statistical Metrics | MSCD | DSCD1 | DSCD2 |
|---|---|---|---|---|
| Average error of sideslip angle | Mean (°) | 0.047 | 0.05 | 0.071 |
| Standard deviation | 0.014 | 0.015 | 0.012 | |
| Average error of yaw rate | Mean (°·S−1) | 5.014 | 5.252 | 5.428 |
| Standard deviation | 0.012 | 0.026 | 0.0025 | |
| Average actual vehicle velocity | Mean (km·h−1) | 59.852 | 59.836 | 59.614 |
| Standard deviation | 0.005 | 0.055 | 0.043 |
Disclaimer/Publisher’s Note: The statements, opinions and data contained in all publications are solely those of the individual author(s) and contributor(s) and not of MDPI and/or the editor(s). MDPI and/or the editor(s) disclaim responsibility for any injury to people or property resulting from any ideas, methods, instructions or products referred to in the content. |
© 2025 by the authors. Licensee MDPI, Basel, Switzerland. This article is an open access article distributed under the terms and conditions of the Creative Commons Attribution (CC BY) license (https://creativecommons.org/licenses/by/4.0/).
Share and Cite
Feng, H.; Tao, Y.; Feng, J.; Zhang, Y.; Xue, H.; Wang, T.; Xu, X.; Chen, P. Fault-Tolerant Collaborative Control of Four-Wheel-Drive Electric Vehicle for One or More In-Wheel Motors’ Faults. Sensors 2025, 25, 1540. https://doi.org/10.3390/s25051540
Feng H, Tao Y, Feng J, Zhang Y, Xue H, Wang T, Xu X, Chen P. Fault-Tolerant Collaborative Control of Four-Wheel-Drive Electric Vehicle for One or More In-Wheel Motors’ Faults. Sensors. 2025; 25(5):1540. https://doi.org/10.3390/s25051540
Chicago/Turabian StyleFeng, Han, Yukun Tao, Jianbo Feng, Yule Zhang, Hongtao Xue, Tiansi Wang, Xing Xu, and Peng Chen. 2025. "Fault-Tolerant Collaborative Control of Four-Wheel-Drive Electric Vehicle for One or More In-Wheel Motors’ Faults" Sensors 25, no. 5: 1540. https://doi.org/10.3390/s25051540
APA StyleFeng, H., Tao, Y., Feng, J., Zhang, Y., Xue, H., Wang, T., Xu, X., & Chen, P. (2025). Fault-Tolerant Collaborative Control of Four-Wheel-Drive Electric Vehicle for One or More In-Wheel Motors’ Faults. Sensors, 25(5), 1540. https://doi.org/10.3390/s25051540

