Path Loss Modeling for RIS-Assisted Wireless Communication in Tunnel Scenarios
Abstract
1. Introduction
- Field measurements were conducted on Shanghai Metro Line 7, and the measurement data were used to calibrate the material parameters of the ray-tracing (RT) model.
- Based on tunnel propagation characteristics and incorporating RT methods and electromagnetic theory, we derived a RIS path loss model applicable to tunnel scenarios, providing a theoretical basis for the design and optimization of tunnel wireless communication systems.
- We constructed an RIS-assisted tunnel wireless communication simulation platform using WI software. Based on the calibrated parameters, we designed a simulation scenario, and the results verified the effectiveness of the proposed path loss model.
- To further improve the adaptability and reliability of the model, a t-distribution parameter based on the difference between theory and simulation is introduced so that the model can more comprehensively reflect the uncertainty in the actual communication environment.
2. Calibration of Simulation Parameters for Tunnel Scenarios
2.1. Measurement Platform and Simulation Setup for Tunnel Scenarios
2.2. Simulation Calibration Based on Measured Data
3. Wireless Channel Propagation Characteristics in Tunnel Scenarios
3.1. Classical Path Loss Models
3.2. Path Loss Modeling for RIS in Free Space
3.3. Theoretical Path Loss Model for RIS in Tunnel Scenarios
4. Performance Analysis of RIS-Assisted Wireless Communication in Tunnel Scenarios
4.1. System Model
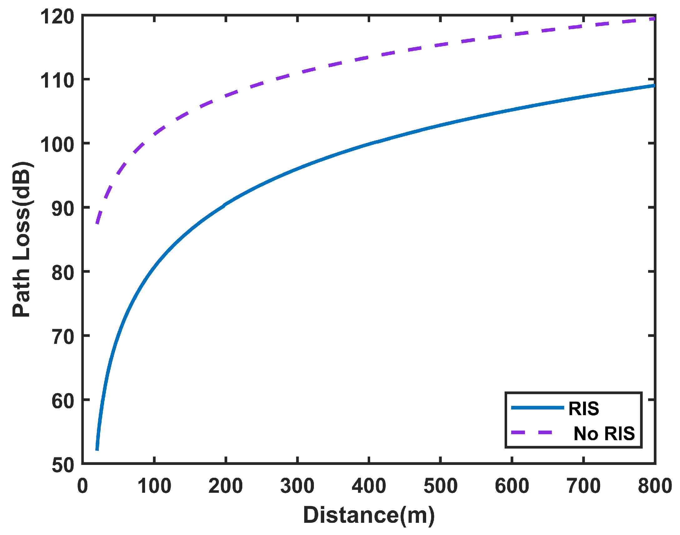
4.2. Simulation Results and Analysis
5. Conclusions
Author Contributions
Funding
Institutional Review Board Statement
Informed Consent Statement
Data Availability Statement
Conflicts of Interest
References
- Zhang, J.; Ge, X.; Li, Q.; Guizani, M.; Zhang, Y. 5G Millimeter-Wave Antenna Array: Design and Challenges. IEEE Wirel. Commun. 2017, 24, 106–112. [Google Scholar] [CrossRef]
- Rappaport, T.S.; Gutierrez, F.; Ben-Dor, E.; Murdock, J.N.; Qiao, Y.J.; Tamir, J.I. Broadband Millimeter-Wave Propagation Measurements and Models Using Adaptive-Beam Antennas for Outdoor Urban Cellular Communications. IEEE Trans. Antennas Propag. 2013, 61, 1850–1859. [Google Scholar] [CrossRef]
- Lan, J.; Sang, J.; Zhou, M.; Gao, B.; Meng, S.; Li, X.; Tang, W.; Jin, S.; Cheng, Q.; Cui, T.J.; et al. Measurement and Characteristic Analysis of RIS-assisted Wireless Communication Channels in Sub-6 GHz Outdoor Scenarios. In Proceedings of the 2023 IEEE 97th Vehicular Technology Conference (VTC2023-Spring), Florence, Italy, 20–23 June 2023; pp. 1–6. [Google Scholar]
- Basar, E.; Yildirim, I.; Akyildiz, I.F. SimRIS Channel Simulator for Reconfigurable Intelligent Surface-Empowered Communication Systems. In Proceedings of the 2020 IEEE Latin-American Conference on Communications (LATINCOM), Virtual, 18–20 November 2020. [Google Scholar]
- Tang, W.; Chen, M.Z.; Dai, J.Y.; Zeng, Y.; Zhao, X.; Jin, S.; Cheng, Q.; Cui, T.J. Wireless Communications with Programmable Metasurface: New Paradigms, Opportunities, and Challenges on Transceiver Design. IEEE Wirel. Commun. 2020, 27, 180–187. [Google Scholar] [CrossRef]
- Tang, W.; Chen, X.; Chen, M.Z.; Dai, J.Y.; Han, Y.; Renzo, M.D.; Jin, S.; Cheng, Q.; Cui, T.J. Path Loss Modeling and Measurements for Reconfigurable Intelligent Surfaces in the Millimeter-Wave Frequency Band. IEEE Trans. Commun. 2022, 70, 6259–6276. [Google Scholar] [CrossRef]
- El-Absi, M.; Abbas, A.A.; Tubail, D.; Ilgac, F.; Abuelhaija, A.; Zantah, Y.; Ikki, S.; Sezgin, A.; Kaiser, T. Path Loss Modeling of RFID Backscatter Channels with Reconfigurable Intelligent Surface: Experimental Validation. IEEE Access 2023, 11, 108532–108543. [Google Scholar] [CrossRef]
- Zhou, R.; Chen, X.; Tang, W.; Li, X.; Jin, S.; Basar, E.; Cheng, Q.; Cui, T.J. Modeling and Measurements for Multi-path Mitigation with Reconfigurable Intelligent Surfaces. In Proceedings of the 2022 16th European Conference on Antennas and Propagation (EuCAP), Madrid, Spain, 27 March–1 April 2021. [Google Scholar]
- Wang, Z.; Tan, L.; Yin, H.; Wang, K.; Pei, X.; Gesbert, D. A Received Power Model for Reconfigurable Intelligent Surface and Measurement-based Validations. In Proceedings of the 2021 IEEE 22nd International Workshop on Signal Processing Advances in Wireless Communications (SPAWC), Lucca, Italy, 27–30 September 2021. [Google Scholar]
- Peng, Z.J.; Weng, R.S.; Zhang, Z.K.; Pan, C.H.; Wang, J.Z. Active Reconfigurable Intelligent Surface for Mobile Edge Computing. IEEE Wirel. Commun. Lett. 2022, 11, 2482–2486. [Google Scholar] [CrossRef]
- Zhou, Y.; Ma, Z.; Liu, G.; Zhang, Z.Q.; Yeoh, P.L.; Vucetic, B.; Li, Y.H. Secure Multi-Layer MEC Systems with UAV-Enabled Reconfigurable Intelligent Surface Against Full-Duplex Eavesdropper. IEEE Trans. Commun. 2024, 72, 1565–1577. [Google Scholar] [CrossRef]
- Guang, Z.H.; Liu, Y.; Wu, Q.Q.; Wang, W.; Shi, Q.J. Power Minimization for ISAC System Using Beyond Diagonal Reconfigurable Intelligent Surface. IEEE Trans. Veh. Technol. 2024, 73, 13950–13955. [Google Scholar] [CrossRef]
- Liu, Y.F.; Wu, L.; Zhang, Z.C.; Dang, J.; Zhu, B.C. Space-Time Coding Design for RIS-Assisted Integrated Sensing and Communication System. IEEE Wirel. Commun. Lett. 2024, 13, 1943–1947. [Google Scholar] [CrossRef]
- Michailidis, E.T.; Volakaki, M.G.; Miridakis, N.I.; Vouyioukas, D. Optimization of Secure Computation Efficiency in UAV-Enabled RIS-Assisted MEC-IoT Networks with Aerial and Ground Eavesdroppers. IEEE Trans. Commun. 2024, 72, 3994–4009. [Google Scholar] [CrossRef]
- Ma, T.; Xiao, Y.; Lei, X.; Renzo, M.D. Integrated Sensing and Communication with Reconfigurable Intelligent Surfaces. IEEE Trans. Veh. Technol. 2024, 73, 19051–19064. [Google Scholar] [CrossRef]
- Zhang, J.; Liu, H.; Wu, Q.; Jin, Y.; Chen, Y.; Ai, B.; Jin, S.; Cui, T.J. RIS-Aided Next-Generation High-Speed Train Communications: Challenges, Solutions, and Future Directions. IEEE Wirel. Commun. 2021, 28, 145–151. [Google Scholar] [CrossRef]
- Ma, Z.; Wu, Y.; Xiao, M.; Liu, G.; Zhang, Z. Interference Suppression for Railway Wireless Communication Systems: A Reconfigurable Intelligent Surface Approach. IEEE Trans. Veh. Technol. 2021, 70, 11593–11603. [Google Scholar] [CrossRef]
- Rappaport, T.S. Wireless Communications: Principles and Practice, 2nd ed.; Prentice Hall PTR: Upper Saddle River, NJ, USA, 2002. [Google Scholar]
- Luebbers, R. Finite conductivity uniform GTD versus knife edge diffraction in prediction of propagation path loss. IEEE Trans. Antennas Propag. 1984, 32, 70–76. [Google Scholar] [CrossRef]
- Balanis, C. Advanced Engineering Electromagnetics; Wiley: New York, NY, USA, 1989. [Google Scholar]
- Wei, H.; Zheng, G.X.; Jia, M.H. The Measurements and Simulations of Millimeter Wave Propagation at 38ghz in Circular Subway Tunnels. In Proceedings of the China-Japan Joint Microwave Conference, Shanghai, China, 10–12 September 2008; IEEE: Shanghai, China, 2008; pp. 47–50. [Google Scholar]
- de Jong, Y.L.C. Uniform Ray Description of Physical Optics Scattering by Finite Locally Periodic Metasurfaces. IEEE Trans. Antennas Propag. 2022, 70, 2949–2959. [Google Scholar] [CrossRef]
- Lange, K.L.; Little, R.J.A.; Taylor, J.M.G. Robust Statistical Modeling Using the t Distribution. J. Am. Stat. Assoc. 1989, 84, 881–896. [Google Scholar] [CrossRef]
- t Location-Scale Distribution. Available online: https://www.mathworks.com/help/stats/t-location-scale-distribution.html (accessed on 8 February 2025).











| Parameters | Values |
|---|---|
| Frequency (GHz) | 28 |
| Bandwidth (MHz) | 100 |
| Height of transmitting antenna (m) | 3.1 |
| Height of receiving antenna (m) | 2.7 |
| Antenna type | Omnidirectional antenna |
| Antenna polarization | Vertical polarization |
| Parameters | Values |
|---|---|
| Roughness (m) | 0.04 |
| Thickness (m) | 0.5 |
| Conductivity (S/m) | 0.4838 |
| Dielectric constant | 5.31 |
| Ray spacing (°) | 0.1 |
| Number of reflections | 6 |
| Parameters | Values |
|---|---|
| Frequency (GHz) | 28 |
| Transmitted power (dBm) | 20 |
| RIS array size | 40 × 40 |
| dx (m) | 0.025 |
| dy (m) | 0.025 |
| Transmitting antenna gain (dBi) | 20 |
| Receiving antenna gain (dBi) | 5 |
| Height of Tx (m) | 3.1 |
| Transmitting Antenna | Receiving Antenna | |
|---|---|---|
| Antenna type | Directional antenna | Omni-directional antenna |
| Antenna gain (dBi) | 20 | 5 |
| HPBW | E-plane: 4.9° | / |
| H-plane: 6.375° |
Disclaimer/Publisher’s Note: The statements, opinions and data contained in all publications are solely those of the individual author(s) and contributor(s) and not of MDPI and/or the editor(s). MDPI and/or the editor(s) disclaim responsibility for any injury to people or property resulting from any ideas, methods, instructions or products referred to in the content. |
© 2025 by the authors. Licensee MDPI, Basel, Switzerland. This article is an open access article distributed under the terms and conditions of the Creative Commons Attribution (CC BY) license (https://creativecommons.org/licenses/by/4.0/).
Share and Cite
Yang, Q.; Wu, Y.; Zhao, H.; Feng, Y.; Sun, Y.; Fang, Z.; Zheng, G. Path Loss Modeling for RIS-Assisted Wireless Communication in Tunnel Scenarios. Sensors 2025, 25, 1247. https://doi.org/10.3390/s25041247
Yang Q, Wu Y, Zhao H, Feng Y, Sun Y, Fang Z, Zheng G. Path Loss Modeling for RIS-Assisted Wireless Communication in Tunnel Scenarios. Sensors. 2025; 25(4):1247. https://doi.org/10.3390/s25041247
Chicago/Turabian StyleYang, Qi, Yating Wu, Hengkai Zhao, Yichen Feng, Yanqiong Sun, Zhou Fang, and Guoxin Zheng. 2025. "Path Loss Modeling for RIS-Assisted Wireless Communication in Tunnel Scenarios" Sensors 25, no. 4: 1247. https://doi.org/10.3390/s25041247
APA StyleYang, Q., Wu, Y., Zhao, H., Feng, Y., Sun, Y., Fang, Z., & Zheng, G. (2025). Path Loss Modeling for RIS-Assisted Wireless Communication in Tunnel Scenarios. Sensors, 25(4), 1247. https://doi.org/10.3390/s25041247

