Integrated Design and Experiment of a Micro-Vibration Isolation and Pointing Platform for Large Space Optical Payloads Based on Voice Coil Motors
Abstract
1. Introduction
2. Theoretical Analysis
2.1. Basic Principle
2.2. Dynamic Model
2.3. Controller Design
2.4. Analysis
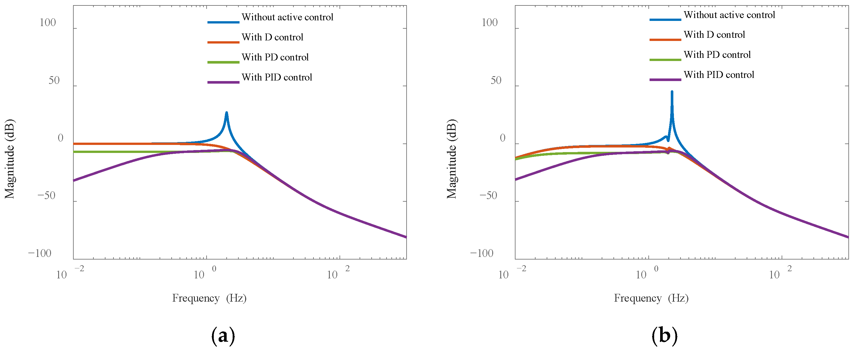
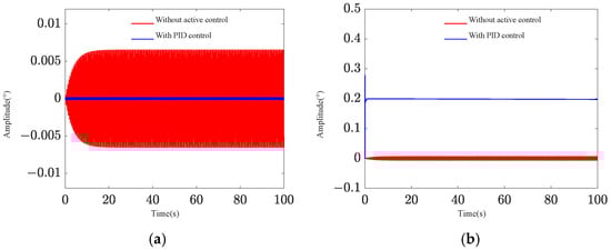
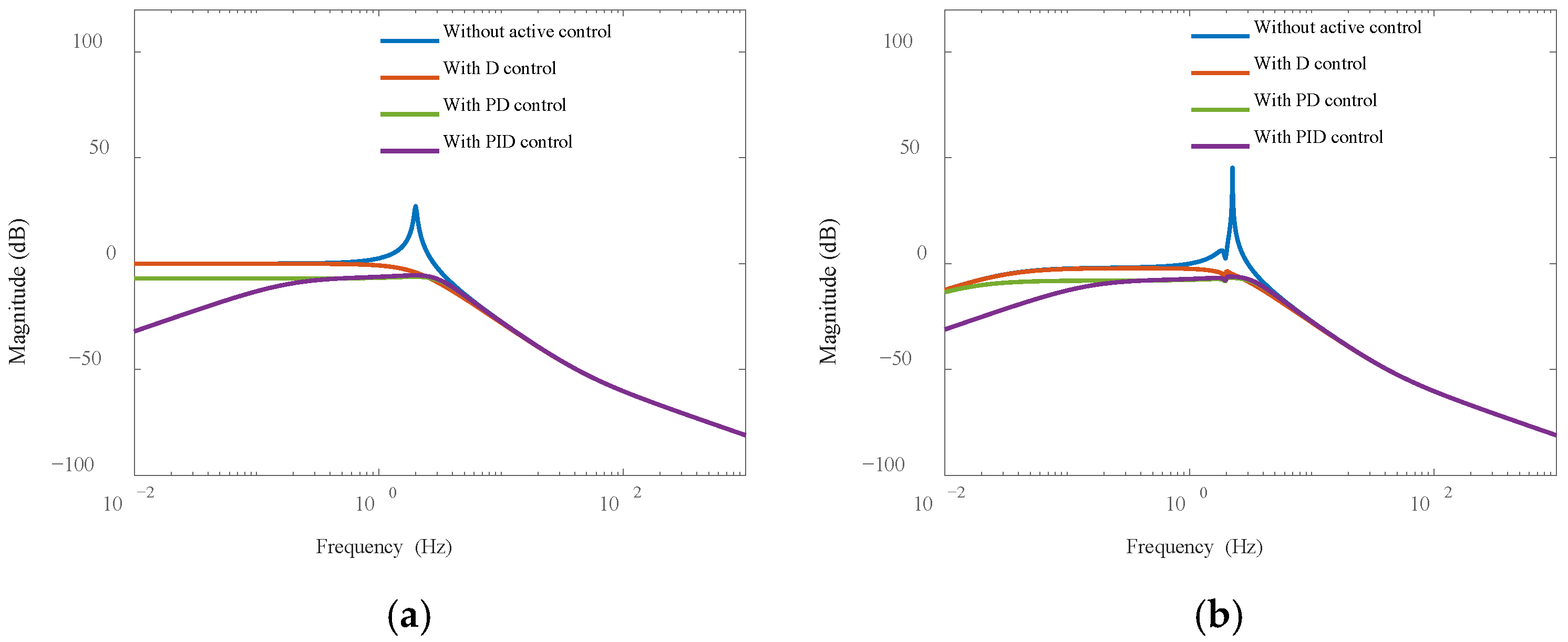
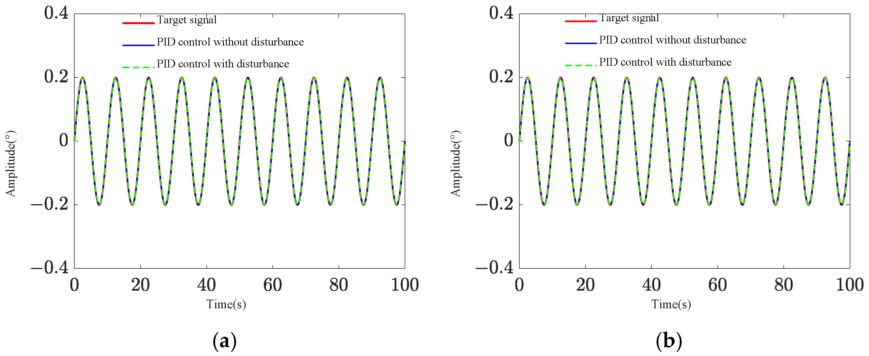
2.4.1. Vibration Isolation Analysis
2.4.2. Pointing Analysis
3. Integrated Platform Design
3.1. Membrane
3.2. Voice Coil Motors
3.3. Flexible Joint
3.4. Actuator
3.5. Leg
3.6. Platform
4. Experiment Section
4.1. Experimental Setup
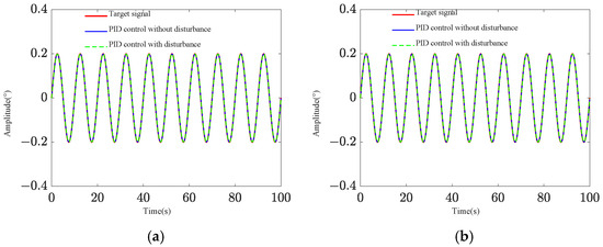
4.2. Experimental Results
5. Conclusions
Author Contributions
Funding
Institutional Review Board Statement
Informed Consent Statement
Data Availability Statement
Conflicts of Interest
Abbreviations
| PID | proportional–integral–derivative |
| HST | Hubble Space Telescope |
| JWST | James Webb Space Telescope |
| PPH | Precision Pointing Hexapod |
| 3D | three-dimensional |
| RMS | root-mean-square |
References
- Wittig, M.; van Holtz, L.; Tunbridge, D.E.L.; Vermeulen, H.C. In-orbit measurements of microaccelerations of ESA’s communication satellite OLYMPUS. Proc. SPIE Int. Soc. Opt. Eng. 1990, 1218, 205–214. [Google Scholar]
- Kamesh, D.; Pandiyan, R.; Ghosal, A. Modeling, design and analysis of low frequency platform for attenuating micro-vibration in spacecraft. J. Sound Vib. 2010, 329, 3431–3450. [Google Scholar] [CrossRef]
- Xu, Z.F.; Pan, S.; Chen, L.; Lu, M.; Liang, Z.L.; Qin, Y.F. Dynamic modeling and open-loop analysis of a control moment gyroscope considering the influence of a flexible vibration isolator. Mech. Syst. Signal Process. 2022, 169, 108611. [Google Scholar] [CrossRef]
- Liu, C.N.; Chen, L.; Lee, H.P.; Yang, Y.; Zhang, X.L. A review of the inerter and inerter-based vibration isolation: Theory, devices, and applications. J. Frankl. Inst. Eng. Appl. Math. 2022, 359, 7677–7707. [Google Scholar] [CrossRef]
- Wang, C.Y.; Lu, Q.; Zhang, K.K.; Shao, L. Design of micro-vibration suppression platform based on piezo-stack array intelligent structure. Proc. Inst. Mech. Eng. Part C J. Mech. Eng. Sci. 2023, 237, 799–810. [Google Scholar] [CrossRef]
- Qian, Y.C.; Xie, Y.; Jia, J.J.; Zhang, L. Development of Active Microvibration Isolation System for Precision Space Payload. Appl. Sci. 2022, 12, 4548. [Google Scholar] [CrossRef]
- Lee, D.O.; Park, G.; Han, J.H. Hybrid isolation of micro vibrations induced by reaction wheels. J. Sound Vib. 2016, 363, 1–17. [Google Scholar] [CrossRef]
- Wang, C.X.; Chen, Y.H.; Zhang, Z.Y. Simulation and experiment on the performance of a passive/active micro-vibration isolator. J. Vib. Control. 2018, 24, 453–465. [Google Scholar] [CrossRef]
- Li, W.P.; Huang, H.; Zhou, X.B.; Zheng, X.T.; Bai, Y. Design and experiments of an active isolator for satellite micro-vibration. Chin. J. Aeronaut. 2014, 27, 1461–1468. [Google Scholar] [CrossRef][Green Version]
- Li, M.; Zhang, Y.; Wang, Y.Y.; Hu, Q.; Qi, R. The pointing and vibration isolation integrated control method for optical payload. J. Sound Vib. 2019, 438, 441–456. [Google Scholar] [CrossRef]
- Jang, D.D.; Jung, H.J.; Shin, Y.H.; Moon, S.J.; Moon, Y.J.; Oh, J. Feasibility study on a hybrid mount system with air springs and piezo-stack actuators for microvibration control. J. Intell. Mater. Syst. Struct. 2012, 23, 515–526. [Google Scholar] [CrossRef]
- Xing, T.J.; Xiong, Y.P.; Price, W.G. Passive-active vibration isolation systems to produce zero or infinite dynamic modulus: Theoretical and conceptual design strategies. J. Sound Vib. 2005, 286, 615–636. [Google Scholar] [CrossRef]
- Andersen, G.C.; Quinn, D.A.; Beals, G.A.; Nelson, J.D.; Nurre, G.S. An Overview of the Hubble Space Telescope Pointing Control System Design and Operation; AIAA: Las Vegas, NV, USA, 1992. [Google Scholar]
- Meza, L.; Tung, F.; Anandakrishnan, S.; Spector, V.; Hyde, T. Line of sight stabilization for the James Webb Space Telescope. In Proceedings of the 28th Annual AAS Rocky Mountain Guidance and Control Conference, Breckenridge, CO, USA, 5–9 February 2005; pp. 17–30. [Google Scholar]
- Jacobs, J.; Ross, J.; Hadden, S.; Gonzalez, M.; Rogers, Z.; Henderson, B. Miniature vibration isolation system for space applications—Phase II. In Proceedings of the Smart Structures and Materials 2004 Conference, San Diego, CA, USA, 15–18 March 2004; pp. 32–42. [Google Scholar]
- Anderson, E.H.; Fumo, J.P.; Erwin, R.S. Satellite Ultraquiet Isolation Technology Experiment (SUITE). In Proceedings of the 2000 IEEE Aerospace Conference, Big Sky, MT, USA, 18–25 March 2000; pp. 299–313. [Google Scholar]
- Lee, D.O.; Park, G.Y.; Han, J.H. Experimental study on on-orbit and launch environment vibration isolation performance of a vibration isolator using bellows and viscous fluid. Aerosp. Sci. Technol. 2015, 45, 1–9. [Google Scholar] [CrossRef]
- Wang, C.X.; Xie, X.L.; Chen, Y.H.; Zhang, Z.Y. Investigation on active vibration isolation of a Stewart platform with piezoelectric actuators. J. Sound Vib. 2016, 383, 1–19. [Google Scholar] [CrossRef]
- Furqan, M.; Suhaib, M.; Ahmad, N. Studies on Stewart platform manipulator: A review. J. Mech. Sci. Technol. 2017, 31, 4459–4470. [Google Scholar] [CrossRef]
- Yang, X.L.; Wu, H.T.; Chen, B.; Kang, S.Z.; Cheng, S.L. Dynamic modeling and decoupled control of a flexible Stewart platform for vibration isolation. J. Sound Vib. 2019, 439, 398–412. [Google Scholar] [CrossRef]
- Schwalm, M.; Dibiase, D.; Landry, D.; Rider, B.; Ugolini, V. Silicon carbide pointing mirror and telescope for the Geostationary Imaging Fourier Transform Spectrometer (GIFTS). In Proceedings of the Optical Materials and Structures Technologies II, San Diego, CA, USA, 19 August 2005; Volume 5868, pp. 16–23. [Google Scholar]
- Zhu, G.M.; Wei, S.M.; Zhang, Y.; Liao, Q.Z. A Novel Geometric Modeling and Calculation Method for Forward Displacement Analysis of 6-3 Stewart Platforms. Mathematics 2021, 9, 442. [Google Scholar] [CrossRef]
- Chen, H.-J.; Bishop, R.; Agrawal, B.N. Payload Pointing and Active Vibration Isolation Using Hexapod Platforms. In Proceedings of the 44th AIAA/ASME/ASCE/AHS/ASC Structures, Structural Dynamics, and Materials Conference, Norfolk, Virginia, 7–10 April 2003. [Google Scholar]
- Thayer, D.; Campbell, M.; Vagners, J.; von Flotow, A. Six-axis vibration isolation system using soft actuators and multiple sensors. J. Spacecr. Rocket. 2002, 39, 206–212. [Google Scholar] [CrossRef]
- Yi, S.C.; Zhang, Q.; Sun, X.Q.; Yang, B.T.; Meng, G. Simultaneous micropositioning and microvibration control of a magnetostrictive Stewart platform with synthesized strategy. Mech. Syst. Signal Process. 2023, 187, 109925. [Google Scholar] [CrossRef]
- Yuan, Z.X.; Zhang, Z.G.; Zeng, L.Z.; Zhu, L.; Li, X.Q. Micropositioning and microvibration isolation of a novel hybrid active-passive platform with two-axis actuator for optical payloads. Mech. Syst. Signal Process. 2023, 204, 110764. [Google Scholar] [CrossRef]
- Yun, H.; Liu, L.; Li, Q.; Li, W.B.; Tang, L. Development of an isotropic Stewart platform for telescope secondary mirror. Mech. Syst. Signal Process. 2019, 127, 328–344. [Google Scholar] [CrossRef]
- Du, L.F.; Luo, Y.J.; Ji, L.W.; Yang, F.F.; Zhang, Y.H.; Xie, S.L. Comprehensive parametric model and decoupling design of a Stewart platform for a large spaceborne optical load. Acta Astronaut. 2025, 226, 119–134. [Google Scholar] [CrossRef]
- Tang, J.; Yang, Y.; Dou, C.H.; Li, Y.H.; Cao, D.Q. Micro-vibration control of spaceborne payload with smart parallel struts. Mech. Adv. Mater. Struct. 2024, 31, 12939–12953. [Google Scholar] [CrossRef]
- Preumont, A.; Horodinca, M.; Romanescu, I.; de Marneffe, B.; Avraam, M.; Deraemaeker, A.; Bossens, F.; Abu Hanieh, A. A six-axis single-stage active vibration isolator based on Stewart platform. J. Sound Vib. 2007, 300, 644–661. [Google Scholar] [CrossRef]




















| Parameter | Value |
|---|---|
| Mass | 260 kg |
| Platform radius | 0.40 m |
| ) | 40.49 kg·m2 |
| ) | 40.49 kg·m2 |
| ) | 22.26 kg·m2 |
| Frequency (Hz) | Output Force (N) |
|---|---|
| 0.1 | 28 |
| 0.2 | 28 |
| 0.3 | 27.5 |
| 0.4 | 26.8 |
| 0.5 | 26.2 |
| Parameter | Value |
|---|---|
| Peak force | 150 N |
| Continuous force | 40.8 N |
| Force constant | 19.5 N/A |
| Stroke | 30 mm |
| Mass of the coil assembly | 330 g |
| Mass of the magnet assembly | 1170 g |
| Pointing Condition | Phase Difference |
|---|---|
| Amplitude: 0.1°; Frequency: 0.1 Hz | 5.26% |
| Amplitude: 0.1°; Frequency: 0.2 Hz | 8.81% |
| Amplitude: 0.2°; Frequency: 0.1 Hz | 5.44% |
| Amplitude: 0.2°; Frequency: 0.2 Hz | 10.81% |
Disclaimer/Publisher’s Note: The statements, opinions and data contained in all publications are solely those of the individual author(s) and contributor(s) and not of MDPI and/or the editor(s). MDPI and/or the editor(s) disclaim responsibility for any injury to people or property resulting from any ideas, methods, instructions or products referred to in the content. |
© 2025 by the authors. Licensee MDPI, Basel, Switzerland. This article is an open access article distributed under the terms and conditions of the Creative Commons Attribution (CC BY) license (https://creativecommons.org/licenses/by/4.0/).
Share and Cite
Guo, Y.; Zhou, J.; Gao, Z.; Feng, B.; Xu, M. Integrated Design and Experiment of a Micro-Vibration Isolation and Pointing Platform for Large Space Optical Payloads Based on Voice Coil Motors. Sensors 2025, 25, 1179. https://doi.org/10.3390/s25041179
Guo Y, Zhou J, Gao Z, Feng B, Xu M. Integrated Design and Experiment of a Micro-Vibration Isolation and Pointing Platform for Large Space Optical Payloads Based on Voice Coil Motors. Sensors. 2025; 25(4):1179. https://doi.org/10.3390/s25041179
Chicago/Turabian StyleGuo, Yilin, Jian Zhou, Zehao Gao, Bo Feng, and Minglong Xu. 2025. "Integrated Design and Experiment of a Micro-Vibration Isolation and Pointing Platform for Large Space Optical Payloads Based on Voice Coil Motors" Sensors 25, no. 4: 1179. https://doi.org/10.3390/s25041179
APA StyleGuo, Y., Zhou, J., Gao, Z., Feng, B., & Xu, M. (2025). Integrated Design and Experiment of a Micro-Vibration Isolation and Pointing Platform for Large Space Optical Payloads Based on Voice Coil Motors. Sensors, 25(4), 1179. https://doi.org/10.3390/s25041179
