The Fluorescent Detection of Alkaline Phosphatase Based on Iron Nanoclusters and a Manganese Dioxide Nanosheet
Abstract
1. Introduction
2. Experiments
2.1. Chemicals and Reagents
2.2. Synthesis of Hb−Fe NCs
2.3. Synthesis of MnO2 NS
2.4. The Effect of Ascorbic Acid on Hb−Fe NCs and MnO2 NS System
2.5. Detection of ALP Based on Hb−Fe NCs and MnO2 NS System
3. Results and Discussions
3.1. The Synthesis of Hb−Fe NCs and MnO2 NS
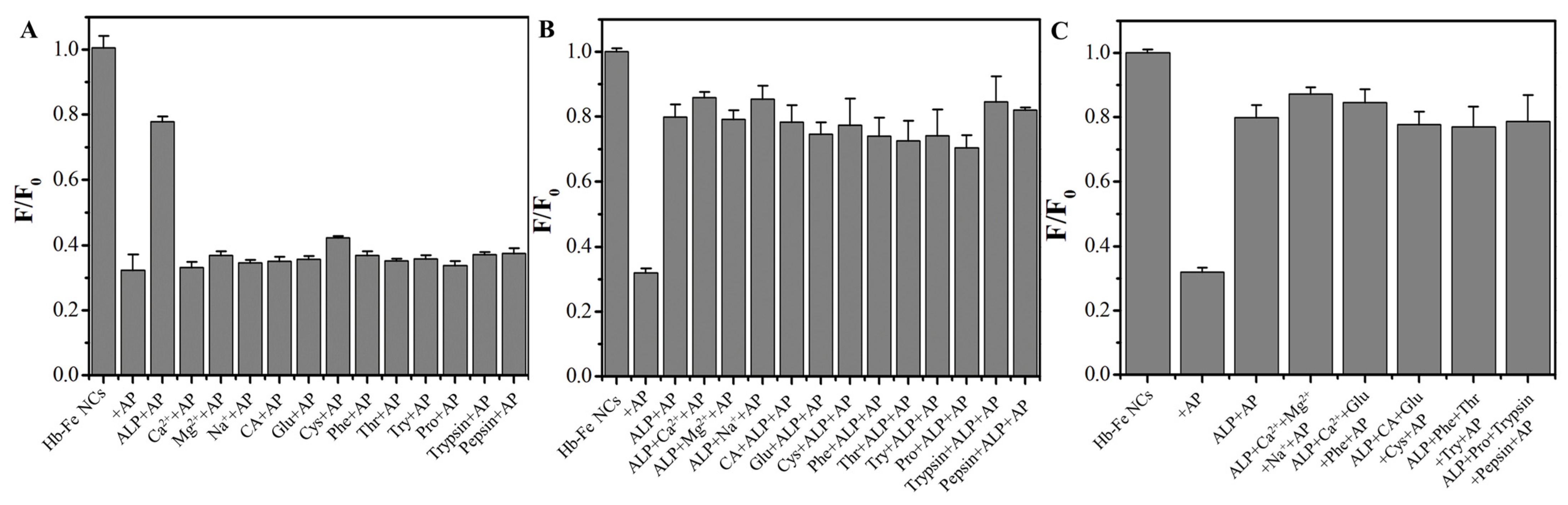
3.2. The Detection of ALP Based on Hb−Fe NCs−MnO2 NS-AP System
3.3. The Application in Real Samples
4. Conclusions
Author Contributions
Funding
Institutional Review Board Statement
Informed Consent Statement
Data Availability Statement
Acknowledgments
Conflicts of Interest
References
- Gong, Y.; Zhao, X.; Yan, X.; Zheng, W.; Chen, H.; Wang, L. Gold nanoclusters cure implant infections by targeting biofilm. J. Colloid. Interf. Sci. 2024, 674, 490–499. [Google Scholar] [CrossRef]
- Shi, Y.; Wu, Z.; Qi, M.; Liu, C.; Dong, W.; Sun, W.; Wang, X.; Jiang, F.; Zhong, Y.; Nan, D.; et al. Multiscale bioresponses of metal nanoclusters. Adv. Mater. 2024, 36, e231052. [Google Scholar] [CrossRef]
- Qiao, Z.; Zhang, J.; Hai, X.; Yan, Y.; Song, W.; Bi, S. Recent advances in templated synthesis of metal nanoclusters and their applications in biosensing, bioimaging and theranostics. Biosens. Bioelectron. 2021, 176, 112898. [Google Scholar] [CrossRef]
- Xu, J.; Zhou, H.; Zhang, Y.; Zhao, Y.; Yuan, H.; He, X.; Wu, Y.; Zhang, S. Copper nanoclusters-based fluorescent sensor array to identify metal ions and dissolved organic matter. J. Hazard. Mater. 2022, 428, 128158. [Google Scholar] [CrossRef]
- Xi, H.; Li, N.; Shi, Z.; Wu, P.; Pan, N.; Wang, D.; You, T.; Zhang, X.; Xu, G.; Gao, Y.; et al. A three-dimensional “turn-on” sensor array for simultaneous discrimination of multiple heavy metal ions based on bovine serum albumin hybridized fluorescent gold nanoclusters. Anal. Chim. Acta. 2022, 1220, 340023. [Google Scholar] [CrossRef]
- Zhang, C.; Xu, C.; Gao, X.; Yao, Q. Platinum-based drugs for cancer therapy and anti-tumor strategies. Theranostics 2022, 12, 2115–2132. [Google Scholar] [CrossRef]
- Zhang, C.; Yang, Y.; Qin, D.; Hu, R.; Hu, L. Silver nanocluster-based ratiometric fluorescence sensors for X-ray dose detection. Talanta 2024, 271, 125631. [Google Scholar] [CrossRef]
- Xue, W.; Shi, X.; Guo, J.; Wen, S.; Lin, W.; He, Q.; Gao, Y.; Wang, R.; Xu, Y. Affecting factors and mechanism of removing antibiotics and antibiotic resistance genes by nano zero-valent iron (nZVI) and modified nZVI: A critical review. Water Res. 2024, 253, 121309. [Google Scholar] [CrossRef]
- Li, Q.; Chen, Z.; Wang, H.; Yang, H.; Wen, T.; Wang, S.; Hu, B.; Wang, X. Removal of organic compounds by nanoscale zero-valent iron and its composites. Sci. Total Environ. 2021, 792, 148546. [Google Scholar] [CrossRef]
- Liang, W.; Wang, G.; Peng, C.; Tan, J.; Wan, J.; Sun, P.; Li, Q.; Ji, X.; Zhang, Q.; Wu, Y.; et al. Recent advances of carbon-based nano zero valent iron for heavy metals remediation in soil and water: A critical review. J. Hazard. Mater. 2022, 426, 127993. [Google Scholar] [CrossRef]
- Liu, J.; Ding, Y.; Qiu, W.; Cheng, Q.; Xu, C.; Fan, G.; Song, G.; Xiao, B. Enhancing anaerobic digestion of sulphate wastewater by adding nano-zero valent iron. Environ. Technol. 2023, 44, 3988–3996. [Google Scholar] [CrossRef]
- Liu, J.D.; Pang, B.; Liu, S.Y.; Li, Z. The synthesis of tunable fluorescence iron nanoclusters and the detection of pH value and hydroxyl radical. J. Photochem. Photobiol. A Chem. 2023, 439, 114601. [Google Scholar] [CrossRef]
- Shkhair, A.I.; Madanan, A.S.; Varghese, S.; Abraham, M.K.; Indongo, G.; Rajeevan, G.; Arathy, B.K.; Abbas, S.M.; George, S. Non-enzymatic detection of cardiac troponin-I with graphene oxide quenched fluorescent iron nanoclusters (Fe NCs). Chemistry 2024, 21, e202401867. [Google Scholar] [CrossRef]
- Yang, R.; Fan, Y.; Ye, R.; Tang, Y.; Cao, X.; Yin, Z.; Zeng, Z. MnO2 -based materials for environmental applications. Adv. Mater. 2021, 33, e2004862. [Google Scholar] [CrossRef]
- Wang, P.; Yan, Y.; Cao, J.; Feng, J.; Qi, J. Surface activation towards manganese dioxide nanosheet arrays via plasma engineering as cathode and anode for efficient water splitting. J. Colloid. Interface Sci. 2021, 586, 95–102. [Google Scholar] [CrossRef]
- Pan, L.; Wu, J.; Wang, R.; Zhang, Y.; Chen, B.; Zhu, X. Visualization the fixation of cadmium on manganese dioxide in sulfur reduction environments. J. Hazard. Mater. 2023, 442, 130022. [Google Scholar] [CrossRef]
- Yi, M.; Feng, Z.; He, H.; Dinulescu, D.; Xu, B. Evaluating alkaline phosphatase-instructed self-assembly of D-peptides for selectively inhibiting ovarian cancer cells. J. Med. Chem. 2023, 66, 10027–10035. [Google Scholar] [CrossRef]
- Yu, Y.; Rong, K.; Yao, D.; Zhang, Q.; Cao, X.; Rao, B.; Xia, Y.; Lu, Y.; Shen, Y.; Yao, Y.; et al. The structural pathology for hypophosphatasia caused by malfunctional tissue non-specific alkaline phosphatase. Nat. Commun. 2023, 14, 4048. [Google Scholar] [CrossRef]
- Jiang, Y.; Li, X.; Walt, D.R. Single-molecule analysis determines isozymes of human alkaline phosphatase in serum. Angew. Chem. Int. Ed. Engl. 2020, 59, 18010–18015. [Google Scholar] [CrossRef]
- Han, Y.; Chen, J.; Li, Z.; Chen, H.; Qiu, H. Recent progress and prospects of alkaline phosphatase biosensor based on fluorescence strategy. Biosens. Bioelectron. 2020, 148, 111811. [Google Scholar] [CrossRef]
- Feng, T.; Huang, Y.; Yan, S. Label-free fluorescence turn-on detection of alkaline phosphatase activity using the calcein-Ce3+ complex. Anal. Bioanal. Chem. 2024, 416, 5317–5324. [Google Scholar] [CrossRef] [PubMed]
- Mao, G.; Qiu, C.; Luo, X.; Liang, Y.; Zhao, L.; Huang, W.; Dai, J.; Ma, Y. Synergistic effect-triggered fluorescence quenching enables rapid and sensitive detection of alkaline phosphatase. Anal. Chim. Acta. 2023, 1272, 341510. [Google Scholar] [CrossRef] [PubMed]
- Niu, X.; Ye, K.; Wang, L.; Lin, Y.; Du, D. A review on emerging principles and strategies for colorimetric and fluorescent detection of alkaline phosphatase activity. Anal. Chim. Acta. 2019, 1086, 29–45. [Google Scholar] [CrossRef]
- Peng, C.; Xing, H.; Fan, X.; Xue, Y.; Li, J.; Wang, E. Glutathione regulated inner filter effect of MnO2 nanosheets on boron nitride quantum dots for sensitive assay. Anal. Chem. 2019, 91, 5762–5767. [Google Scholar] [CrossRef]
- He, M.; Shang, N.; Zheng, B.; Yue, G. An ultrasensitive colorimetric and fluorescence dual-readout assay for glutathione with a carbon dot-MnO2 nanosheet platform based on the inner filter effect. RSC Adv. 2021, 11, 21137–21144. [Google Scholar] [CrossRef]
- Tang, S.; You, X.; Fang, Q.; Li, X.; Li, G.; Chen, J.; Chen, W. A fluorescence inner-filter effect based sensing platform for turn-on detection of glutathione in human serum. Sensors 2019, 19, 228. [Google Scholar] [CrossRef]
- Yuan, Y.; Wu, S.; Shu, F.; Liu, Z. An MnO2 nanosheet as a label-free nanoplatform for homogeneous biosensing. Chem. Commun. 2014, 50, 1095–1097. [Google Scholar] [CrossRef]
- Wu, M.; Hou, P.; Dong, L.; Cai, L.; Chen, Z.; Zhao, M.; Li, J. Manganese dioxide nanosheets: From preparation to biomedical applications. Int. J. Nanomed. 2019, 14, 4781–4800. [Google Scholar] [CrossRef]
- Chen, S.; Yu, Y.L.; Wang, J.H. Inner filter effect-based fluorescent sensing systems: A review. Anal. Chim. Acta. 2018, 999, 13–26. [Google Scholar] [CrossRef]
- Yan, F.; Wang, X.; Wang, Y.; Yi, C.; Xu, M.; Xu, J. Sensing performance and mechanism of carbon dots encapsulated into metal-organic frameworks. Mikrochim. Acta 2022, 189, 379. [Google Scholar] [CrossRef]
- Liu, J.; Chen, Y.; Wang, W.; Feng, J.; Liang, M.; Ma, S.; Chen, X. “Switch-On” fluorescent sensing of ascorbic acid in food samples based on carbon quantum dots-MnO2 probe. J. Agric. Food Chem. 2016, 64, 371–380. [Google Scholar] [CrossRef]














| A1 | τ1 | A2 | τ2 | R2 | |
|---|---|---|---|---|---|
| Hb−Fe NCs | 553.6 | 5.529 | 279.6 | 0.8325 | 0.9316 |
| Hb−Fe NCs−MnO2 NS | 463.3 | 6.490 | 385.1 | 1.350 | 0.9409 |
| Samples | Added (μg/mL) | Found (μg/mL) | Recovery (%) | RSD (n = 3, %) |
|---|---|---|---|---|
| 1 | 5.0 | 4.9 | 98% | 1.2% |
| 2 | 10.0 | 10.3 | 103% | 3.6% |
Disclaimer/Publisher’s Note: The statements, opinions and data contained in all publications are solely those of the individual author(s) and contributor(s) and not of MDPI and/or the editor(s). MDPI and/or the editor(s) disclaim responsibility for any injury to people or property resulting from any ideas, methods, instructions or products referred to in the content. |
© 2025 by the authors. Licensee MDPI, Basel, Switzerland. This article is an open access article distributed under the terms and conditions of the Creative Commons Attribution (CC BY) license (https://creativecommons.org/licenses/by/4.0/).
Share and Cite
Zhao, L.; Liu, X.; Zhang, X.; Liu, S.; Wu, J. The Fluorescent Detection of Alkaline Phosphatase Based on Iron Nanoclusters and a Manganese Dioxide Nanosheet. Sensors 2025, 25, 585. https://doi.org/10.3390/s25020585
Zhao L, Liu X, Zhang X, Liu S, Wu J. The Fluorescent Detection of Alkaline Phosphatase Based on Iron Nanoclusters and a Manganese Dioxide Nanosheet. Sensors. 2025; 25(2):585. https://doi.org/10.3390/s25020585
Chicago/Turabian StyleZhao, Liang, Xinyue Liu, Xinwen Zhang, Siyu Liu, and Jiazhen Wu. 2025. "The Fluorescent Detection of Alkaline Phosphatase Based on Iron Nanoclusters and a Manganese Dioxide Nanosheet" Sensors 25, no. 2: 585. https://doi.org/10.3390/s25020585
APA StyleZhao, L., Liu, X., Zhang, X., Liu, S., & Wu, J. (2025). The Fluorescent Detection of Alkaline Phosphatase Based on Iron Nanoclusters and a Manganese Dioxide Nanosheet. Sensors, 25(2), 585. https://doi.org/10.3390/s25020585
