Polarization-Insensitive, High-Efficiency Metasurface with Wide Reception Angle for Energy Harvesting Applications
Abstract
1. Introduction
- Design and analysis of a compact, wide-angle, polarization-insensitive MS collector for energy harvesting application at the 5 GHz band.
- A near-unity harvesting efficiency exceeding 94% is achieved regardless of the polarization angle of the incident wave under normal incidence.
- Achieving a higher harvesting efficiency at different incident angles up 60° and 75° for TE and TM polarization, respectively.
2. Metasurface Unit Cell Design
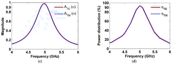
3. Results and Discussion
3.1. Impact of Structure Parameters
- Normal incident analysis
- B.
- Polarization angle analysis
- C.
- Incident angle analysis
3.2. Experimental Verification
4. Conclusions
Author Contributions
Funding
Data Availability Statement
Acknowledgments
Conflicts of Interest
References
- Nguyen, D.H.; Khazaei, J. Unified Distributed Control of Battery Storage with Various Primary Control in Power Systems. IEEE Trans. Sustain. Energy 2021, 12, 2332–2341. [Google Scholar] [CrossRef]
- Khanh, Q.V.; Hoai, N.V.; Manh, L.D.; Le, A.N.; Jeon, G. Wireless Communication Technologies for IoT in 5G: Vision, Applications, and Challenges. Wirel. Commun. Mob. Comput. 2022, 2022, 3229294. [Google Scholar] [CrossRef]
- Dangi, R.; Lalwani, P.; Choudhary, G.; You, I.; Pau, G. Study and Investigation on 5G Technology: A Systematic Review. Sensors 2021, 22, 26. [Google Scholar] [CrossRef]
- Heidari, H.; Onireti, O.; Das, R.; Imran, M. Energy Harvesting and Power Management for IoT Devices in the 5G Era. IEEE Commun. Mag. 2021, 59, 91–97. [Google Scholar] [CrossRef]
- Sarker, M.R.; Saad, M.H.M.; Olazagoitia, J.L.; Vinolas, J. Review of power converter impact of electromagnetic energy harvesting circuits and devices for autonomous sensor applications. Electronics 2021, 10, 1108. [Google Scholar] [CrossRef]
- Engheta, N.; Ziolkowski, R.W. (Eds.) Metamaterials; Wiley: Hoboken, NJ, USA, 2006; ISBN 9780471761020. [Google Scholar]
- Singh, G.; Ni, R.; Marwaha, A. A Review of Metamaterials and its Applications. Int. J. Eng. Trends Technol. 2015, 19, 305–310. [Google Scholar] [CrossRef]
- Holloway, C.L.; Kuester, E.F.; Gordon, J.A.; O’Hara, J.; Booth, J.; Smith, D.R. An Overview of the Theory and Applications of Metasurfaces: The Two-Dimensional Equivalents of Metamaterials. IEEE Antennas Propag. Mag. 2012, 54, 10–35. [Google Scholar] [CrossRef]
- Khanjarian, M.; Soleimani, M.; Nayyeri, V.; El Badawe, M.; Babazadeh, S.; Ramahi, O.M. A circularly polarized, high aperture efficiency metasurface antenna. Microw. Opt. Technol. Lett. 2021, 63, 3027–3034. [Google Scholar] [CrossRef]
- Sun, Y.; Cai, B.; Yang, L.; Wu, L.; Cheng, Y.; Luo, H.; Chen, F.; Li, X. High-Gain Dual-Polarization Microstrip Antenna Based on Transmission Focusing Metasurface. Materials 2024, 17, 3730. [Google Scholar] [CrossRef]
- Xu, H.X.; Hu, G.; Wang, Y.; Wang, C.; Wang, M.; Wang, S.; Huang, Y.; Genevet, P.; Huang, W.; Qiu, C.W. Polarization-insensitive 3D conformal-skin metasurface cloak. Light Sci. Appl. 2021, 10, 75. [Google Scholar] [CrossRef] [PubMed]
- Landy, N.I.; Sajuyigbe, S.; Mock, J.J.; Smith, D.R.; Padilla, W.J. Perfect Metamaterial Absorber. Phys. Rev. Lett. 2008, 100, 207402. [Google Scholar] [CrossRef] [PubMed]
- Shabanpour, J.; Beyraghi, S.; Ghorbani, F.; Oraizi, H. Implementation of conformal digital metasurfaces for THz polarimetric sensing. OSA Contin. 2021, 4, 1372. [Google Scholar] [CrossRef]
- Shabanpour, J.; Beyraghi, S.; Oraizi, H. Reconfigurable honeycomb metamaterial absorber having incident angular stability. Sci. Rep. 2020, 10, 14920. [Google Scholar] [CrossRef] [PubMed]
- Amer, A.A.G.; Sapuan, S.Z.; Othman, N.B.; Salem, A.A.; Al-Gburi, A.J.A.; Zakaria, Z. A Wide-Angle, Polarization-Insensitive, Wideband Metamaterial Absorber with Lumped Resistor Loading for ISM Band Applications. IEEE Access 2024, 12, 42629–42641. [Google Scholar] [CrossRef]
- Amer, A.A.G.; Sapuan, S.Z.; Nasimuddin, N. Efficient Metasurface Absorber for 2.4 GHz ISM-Band Applications. In Proceedings of the 2020 IEEE Student Conference on Research and Development (SCOReD), Johor, Malaysia, 27–28 September 2020; pp. 471–474. [Google Scholar] [CrossRef]
- Bait-Suwailam, M.M.; Almoneef, T.S.; Alomainy, A. A Dual-Band Flexible Frequency-Reconfigurable Metamaterial Absorber using Modified Split-Ring Resonator. In Proceedings of the 2019 2nd IEEE Middle East and North Africa COMMunications Conference (MENACOMM), Manama, Kingdom of Bahrain, 19–21 November 2019; pp. 1–4. [Google Scholar]
- Al Ajm, H.Y.; Bait-Suwailam, M.M. A Wideband Electromagnetic Energy Harvester Design for Internet of Things (IoT) applications. In Proceedings of the 2022 International Conference on Electrical and Computing Technologies and Applications (ICECTA), Ras Al Khaimah, United Arab Emirates, 23–25 November 2022; pp. 378–381. [Google Scholar]
- Feng, S.; Yang, L.; Cai, B.; Yang, W.; Wu, L.; Cheng, Y.; Chen, F.; Luo, H.; Li, X. Tri-band terahertz metamaterial absorber based on structural Ti3C2Tx MXene for enhanced sensing application. IEEE Sens. J. 2024, 24, 28889–28896. [Google Scholar] [CrossRef]
- Deng, M.; Kanwal, S.; Wang, Z.; Cai, C.; Cheng, Y.; Guan, J.; Hu, G.; Wang, J.; Wen, J.; Chen, L. Dielectric Metasurfaces for Broadband Phase-Contrast Relief-Like Imaging. Nano Lett. 2024, 24, 14641–14647. [Google Scholar] [CrossRef]
- Ojukwu, H.; Seet, B.-C.; Rehman, S.U. Metasurface-Aided Wireless Power Transfer and Energy Harvesting for Future Wireless Networks. IEEE Access 2022, 10, 52431–52450. [Google Scholar] [CrossRef]
- Ghaleb Amer, A.A.; Sapuan, S.Z.; Nasimuddin, N. Wide-Coverage Suspended Metasurface Energy Harvester for ISM Band Applications. In Proceedings of the 2021 IEEE 19th Student Conference on Research and Development (SCOReD), Kota Kinabalu, Malaysia, 23–25 November 2021; pp. 87–90. [Google Scholar]
- Amer, A.A.G.; Othman, N.; Sapuan, S.Z.; Alphones, A.; Salem, A.A. High-efficiency electromagnetic energy harvesting using double-elliptical metasurface resonators. PLoS ONE 2023, 18, e0291354. [Google Scholar] [CrossRef] [PubMed]
- Zhou, J.; Zhang, P.; Han, J.; Li, L.; Huang, Y. Metamaterials and Metasurfaces for Wireless Power Transfer and Energy Harvesting. Proc. IEEE 2022, 110, 31–55. [Google Scholar] [CrossRef]
- Almoneef, T.; Ramahi, O.M. A 3-Dimensional Stacked Metamaterial Arrays for Electromagnetic Energy Harvesting. Prog. Electromagn. Res. 2014, 146, 109–115. [Google Scholar] [CrossRef]
- Alavikia, B.; Almoneef, T.S.; Ramahi, O.M. Electromagnetic energy harvesting using complementary split-ring resonators. Appl. Phys. Lett. 2014, 104, 163903. [Google Scholar] [CrossRef]
- Almoneef, T.S.; Ramahi, O.M. Metamaterial electromagnetic energy harvester with near unity efficiency. Appl. Phys. Lett. 2015, 106, 153902. [Google Scholar] [CrossRef]
- Alavikia, B.; Almoneef, T.S.; Ramahi, O.M. Wideband resonator arrays for electromagnetic energy harvesting and wireless power transfer. Appl. Phys. Lett. 2015, 107, 243902. [Google Scholar] [CrossRef]
- Duan, X.; Chen, X.; Zhou, Y.; Zhou, L.; Hao, S. Wideband Metamaterial Electromagnetic Energy Harvester with High Capture Efficiency and Wide Incident Angle. IEEE Antennas Wirel. Propag. Lett. 2018, 17, 1617–1621. [Google Scholar] [CrossRef]
- He, Z.; Deng, L.; Zhang, P.; Liu, Y.; Yan, T.; Liao, C.; Huang, S.; Qiu, L.; Zhu, L. Wideband High-Efficiency and Simple-Structured Rectifying Metasurface. IEEE Trans. Antennas Propag. 2023, 71, 6202–6207. [Google Scholar] [CrossRef]
- Duan, X.; Chen, X.; Zhou, L. A metamaterial electromagnetic energy rectifying surface with high harvesting efficiency. AIP Adv. 2016, 6, 125020. [Google Scholar] [CrossRef]
- Lee, K.; Hong, S.K. Rectifying Metasurface with High Efficiency at Low Power for 2.45 GHz Band. IEEE Antennas Wirel. Propag. Lett. 2020, 19, 2216–2220. [Google Scholar] [CrossRef]
- Li, L.; Zhang, X.; Song, C.; Zhang, W.; Jia, T.; Huang, Y. Compact Dual-Band, Wide-Angle, Polarization- Angle -Independent Rectifying Metasurface for Ambient Energy Harvesting and Wireless Power Transfer. IEEE Trans. Microw. Theory Tech. 2021, 69, 1518–1528. [Google Scholar] [CrossRef]
- Xu, P.; Wang, S.-Y.; Geyi, W. Design of an effective energy receiving adapter for microwave wireless power transmission application. AIP Adv. 2016, 6, 105010. [Google Scholar] [CrossRef]
- El Badawe, M.; Almoneef, T.S.; Ramahi, O.M. A metasurface for conversion of electromagnetic radiation to DC. AIP Adv. 2017, 7, 035112. [Google Scholar] [CrossRef]
- Almoneef, T.S.; Erkmen, F.; Ramahi, O.M. Harvesting the Energy of Multi-Polarized Electromagnetic Waves. Sci. Rep. 2017, 7, 14656. [Google Scholar] [CrossRef]
- Zhang, H.; Li, Y.; Hu, W.; Lu, Q.; Zhang, B.; Yang, L.Y. Polarization-Insensitive Electromagnetic Metamaterial Design for Multi-Band Energy Harvesting. IEEE Access 2023, 11, 143956–143963. [Google Scholar] [CrossRef]
- Amer, A.A.G.; Othman, N.; Sapuan, S.Z.; Alphones, A.; Hassan, M.F.; Al-Gburi, A.J.A.; Zakaria, Z. Dual-Band, Wide-Angle, and High-Capture Efficiency Metasurface for Electromagnetic Energy Harvesting. Nanomaterials 2023, 13, 2015. [Google Scholar] [CrossRef] [PubMed]
- Ghaderi, B.; Nayyeri, V.; Soleimani, M.; Ramahi, O.M. Pixelated Metasurface for Dual-Band and Multi-Polarization Electromagnetic Energy Harvesting. Sci. Rep. 2018, 8, 13227. [Google Scholar] [CrossRef] [PubMed]
- Wei, Y.; Duan, J.; Jing, H.; Yang, H.; Deng, H.; Song, C.; Wang, J.; Qu, Z.; Zhang, B. Scalable, Dual-Band Metasurface Array for Electromagnetic Energy Harvesting and Wireless Power Transfer. Micromachines 2022, 13, 1712. [Google Scholar] [CrossRef]
- Ghaderi, B.; Nayyeri, V.; Soleimani, M.; Ramahi, O.M. Multi-polarisation electromagnetic energy harvesting with high efficiency. IET Microw. Antennas Propag. 2018, 12, 2271–2275. [Google Scholar] [CrossRef]
- Shang, S.; Yang, S.; Shan, M.; Liu, J.; Cao, H. High performance metamaterial device with enhanced electromagnetic energy harvesting efficiency. AIP Adv. 2017, 7, 105204. [Google Scholar] [CrossRef]
- Yu, F.; He, G.-Q.; Yang, X.-X.; Du, J.; Gao, S. Polarization-Insensitive Metasurface for Harvesting Electromagnetic Energy with High Efficiency and Frequency Stability over Wide Range of Incidence Angles. Appl. Sci. 2020, 10, 8047. [Google Scholar] [CrossRef]
- Zhong, H.-T.; Yang, X.-X.; Song, X.-T.; Guo, Z.-Y.; Yu, F. Wideband metamaterial array with polarization-independent and wide incident angle for harvesting ambient electromagnetic energy and wireless power transfer. Appl. Phys. Lett. 2017, 111, 213902. [Google Scholar] [CrossRef]
- Zhong, H.-T.; Yang, X.-X.; Tan, C.; Yu, K. Triple-band polarization-insensitive and wide-angle metamaterial array for electromagnetic energy harvesting. Appl. Phys. Lett. 2016, 109, 253904. [Google Scholar] [CrossRef]
- Zhong, H.; Yang, X. Broadband meta-surface with polarization-insensitive and wide-angle for electromagnetic energy harvesting. In Proceedings of the 2017 International Workshop on Antenna Technology: Small Antennas, Innovative Structures, and Applications (iWAT), Athens, Greece, 1–3 March 2017; pp. 125–128. [Google Scholar]
- Younesiraad, H.; Bemani, M. Broadband polarisation-independent metasurface electromagnetic energy harvester with high capture efficiency. IET Microw. Antennas Propag. 2020, 14, 1530–1536. [Google Scholar] [CrossRef]
- Zhang, X.; Liu, H.; Li, L. Tri-band miniaturized wide-angle and polarization-insensitive metasurface for ambient energy harvesting. Appl. Phys. Lett. 2017, 111, 071902. [Google Scholar] [CrossRef]
- Ullah, N.; Islam, M.S.; Hoque, A.; Yong, W.H.; Alrashdi, A.M.; Soliman, M.S.; Islam, M.T. An efficient, compact, wide-angle, wide-band, and polarization-insensitive metamaterial electromagnetic energy harvester. Alexandria Eng. J. 2023, 82, 377–388. [Google Scholar] [CrossRef]
- Wei, Y.; Jing, H.; Deng, H.; Song, C.; Duan, J.; Wang, J.; Qu, Z.; Zhang, B. A dual-band, polarization-insensitive, wide-angle metasurface array for electromagnetic energy harvesting and wireless power transfer. Results Phys. 2023, 46, 106261. [Google Scholar] [CrossRef]
- Aldhaeebi, M.A.; Almoneef, T.S. Planar Dual Polarized Metasurface Array for Microwave Energy Harvesting. Electronics 2020, 9, 1985. [Google Scholar] [CrossRef]
- Marcuvitz, N. Waveguide Handbook; McGraw-Hill: New York, NY, USA, 1951; ISBN 0863410588. [Google Scholar]
- Zhou, Q.; Ma, W.; Wu, T.; Li, Y.; Qiu, Q.; Duan, J.; Li, J.; Jiang, L.; Zhou, W.; Gao, Y.; et al. Metasurface Terahertz Perfect Absorber with Strong Multi-Frequency Selectivity. ACS Omega 2022, 7, 36712–36727. [Google Scholar] [CrossRef] [PubMed]
- Johnson, R.C.; Ecker, H.A.; Hollis, J.S. Determination of far-field antenna patterns from near-field measurements. Proc. IEEE 1973, 61, 1668–1694. [Google Scholar] [CrossRef]
- Yu, F.; Yang, X.; Zhong, H.; Chu, C.; Gao, S. Polarization-insensitive wide-angle-reception metasurface with simplified structure for harvesting electromagnetic energy. Appl. Phys. Lett. 2018, 113, 123903. [Google Scholar] [CrossRef]















| Parameters | Value (mm) |
|---|---|
| Periodicity of the cell (P) | 12.7 |
| Outer radius (R1) | 6.1 |
| Inner radius R2 | 3.9 |
| Length of cross-shaped strip (L) | 7.73 |
| Width of cross-shaped strip (W) | 1 |
| Cross-shaped slot (g) | 2.6 |
| Ref. | Size | Center Freq. (GHz) | Frequency Deviation | Incident Angle | Efficiency at 0° | Efficiency at 60° |
|---|---|---|---|---|---|---|
| [25] | 5.8 | 300 MHz (5.17%) | 0°–60° | 52% | 68% | |
| [43] | 5.8 | 48 MHz (0.83%) | 0°–30° | 91% | 72% | |
| [44] | 7 | - | 0°–45 | 95% | N/A | |
| [46] | 5.4 | 300 MHz (5.55%) | 0°–60° | 92% | 48% | |
| [47] | 9.6 | - | 0°–30° | 95% | N/A | |
| [48] | 5.7 | 120 MHz (4.44%) | 0°–60° | 81% | 30% | |
| [55] | 5.8 | 75 MHz (1.3%) | 0°–30° | 88% | 62% | |
| This work | 5 | 19 MHz (0.32%) | 0°–60° | 94% | 76% |
Disclaimer/Publisher’s Note: The statements, opinions and data contained in all publications are solely those of the individual author(s) and contributor(s) and not of MDPI and/or the editor(s). MDPI and/or the editor(s) disclaim responsibility for any injury to people or property resulting from any ideas, methods, instructions or products referred to in the content. |
© 2025 by the authors. Licensee MDPI, Basel, Switzerland. This article is an open access article distributed under the terms and conditions of the Creative Commons Attribution (CC BY) license (https://creativecommons.org/licenses/by/4.0/).
Share and Cite
Amer, A.A.G.; Othman, N.; Bait-Suwailamn, M.M.; Sapuan, S.Z.; Salem, A.A.A.; Salh, A. Polarization-Insensitive, High-Efficiency Metasurface with Wide Reception Angle for Energy Harvesting Applications. Sensors 2025, 25, 429. https://doi.org/10.3390/s25020429
Amer AAG, Othman N, Bait-Suwailamn MM, Sapuan SZ, Salem AAA, Salh A. Polarization-Insensitive, High-Efficiency Metasurface with Wide Reception Angle for Energy Harvesting Applications. Sensors. 2025; 25(2):429. https://doi.org/10.3390/s25020429
Chicago/Turabian StyleAmer, Abdulrahman Ahmed Ghaleb, Nurmiza Othman, Mohammed M. Bait-Suwailamn, Syarfa Zahirah Sapuan, Ali Ahmed Ali Salem, and Adeb Salh. 2025. "Polarization-Insensitive, High-Efficiency Metasurface with Wide Reception Angle for Energy Harvesting Applications" Sensors 25, no. 2: 429. https://doi.org/10.3390/s25020429
APA StyleAmer, A. A. G., Othman, N., Bait-Suwailamn, M. M., Sapuan, S. Z., Salem, A. A. A., & Salh, A. (2025). Polarization-Insensitive, High-Efficiency Metasurface with Wide Reception Angle for Energy Harvesting Applications. Sensors, 25(2), 429. https://doi.org/10.3390/s25020429

