Research on Eddy Current Probes for Sensitivity Improvement in Fatigue Crack Detection of Aluminum Materials
Abstract
1. Introduction
2. Probe Design
2.1. Probe Structure
2.2. Simulation Analysis
2.3. Probe Optimization
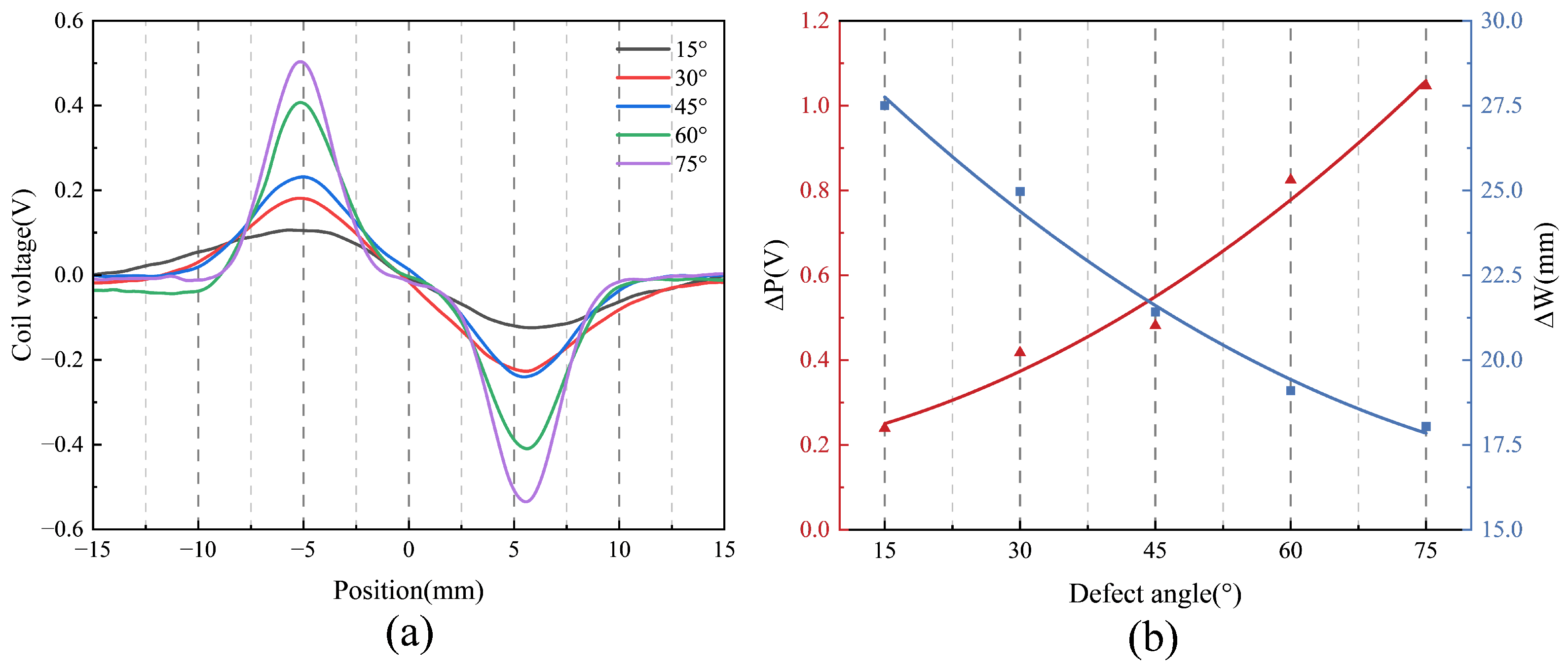
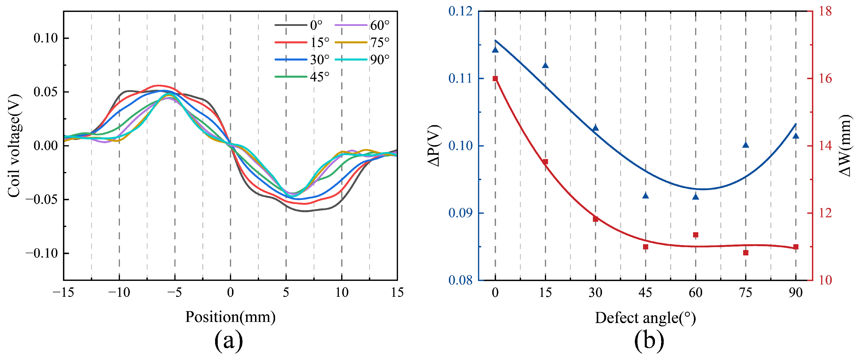
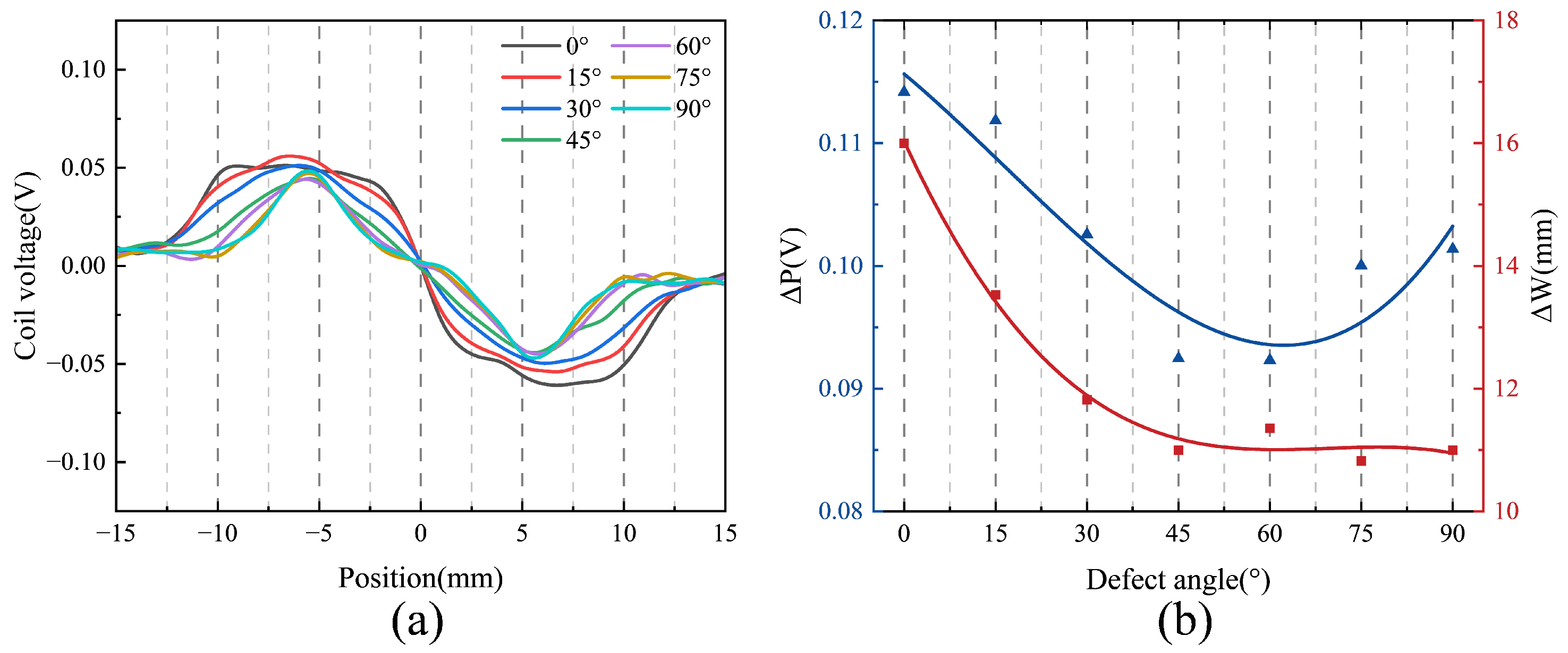
3. Simulation Analysis of FC with Different Angles
4. Experimental Setup
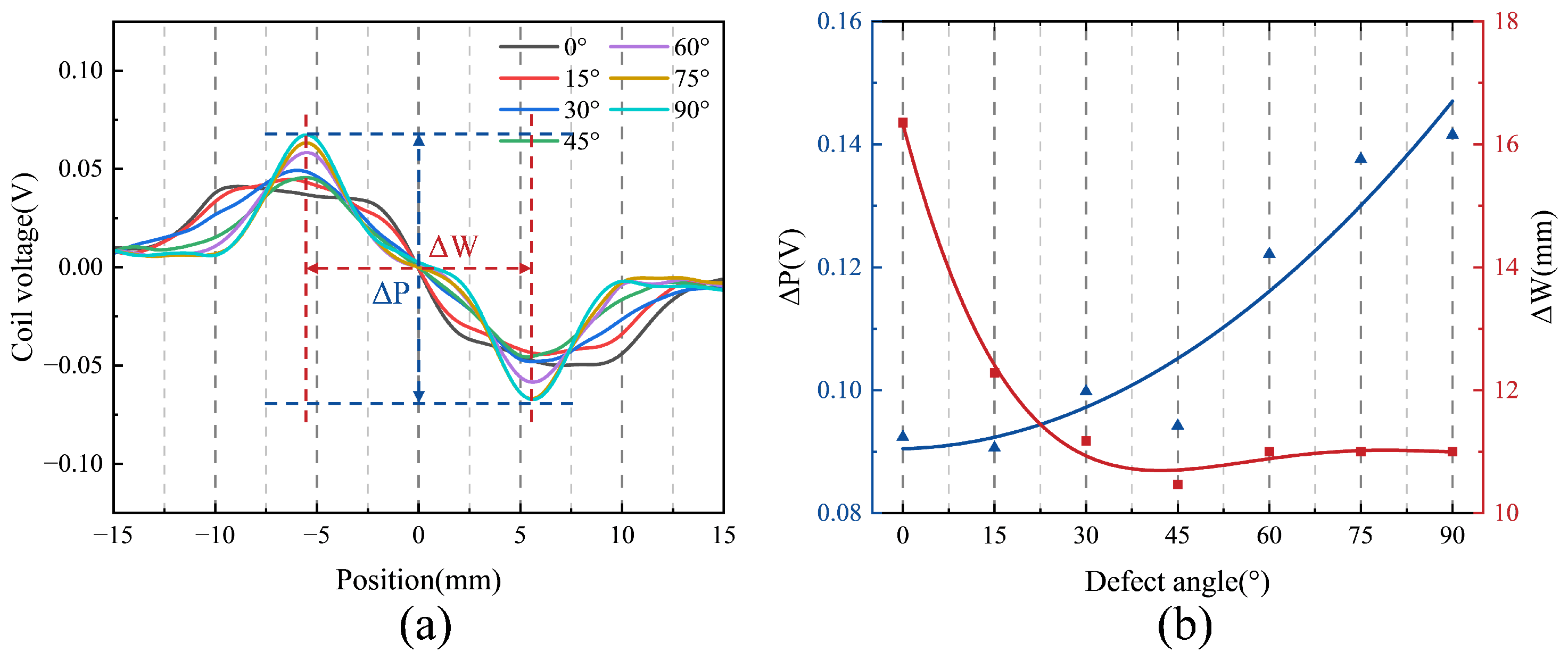
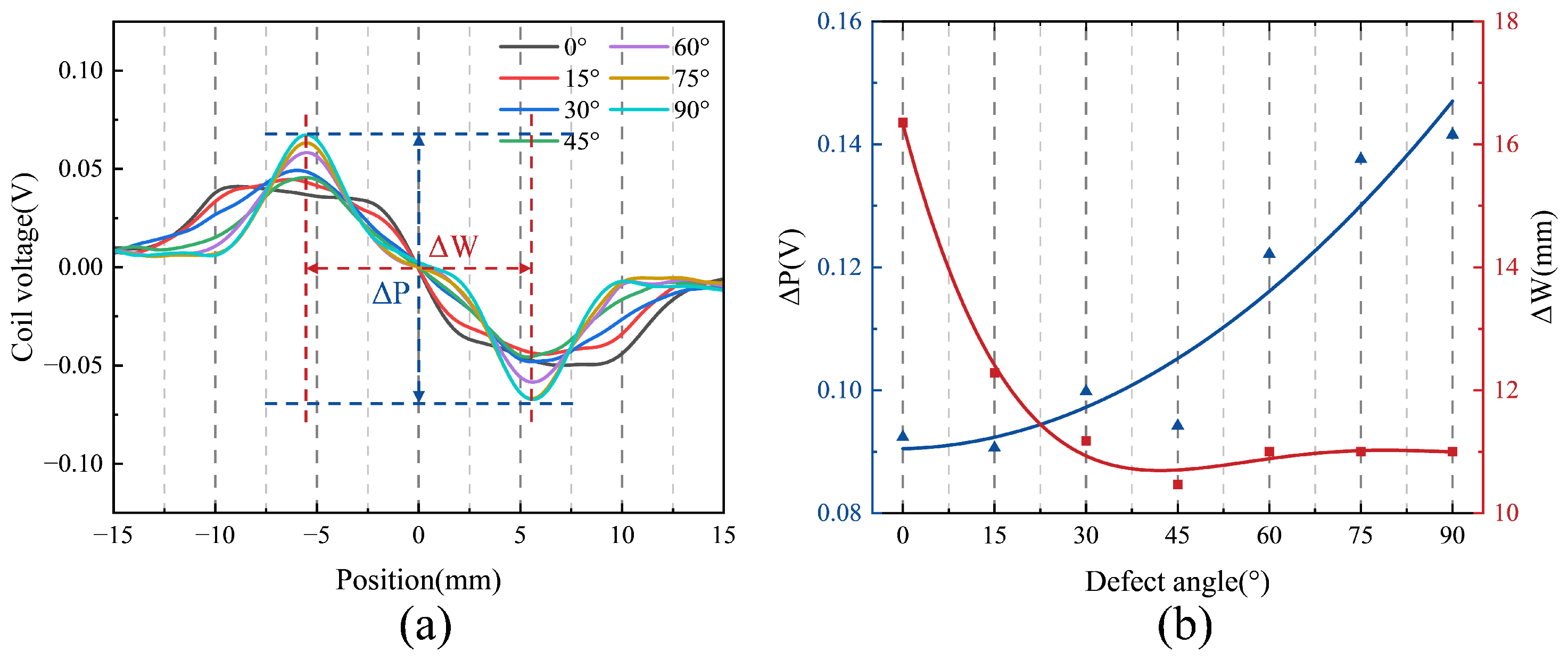
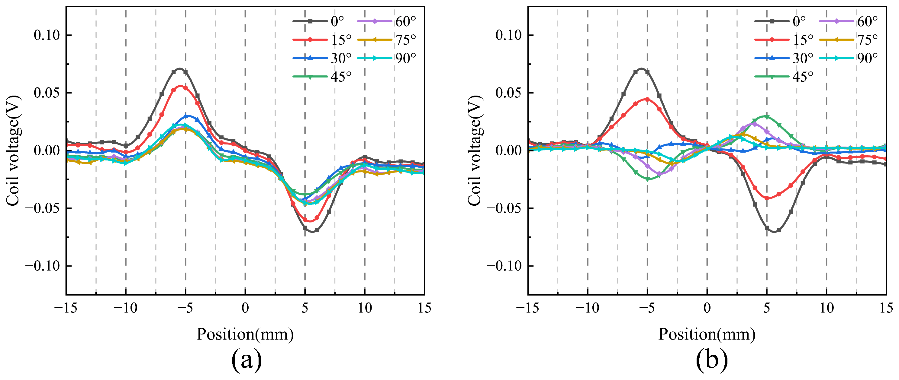
5. Discussion
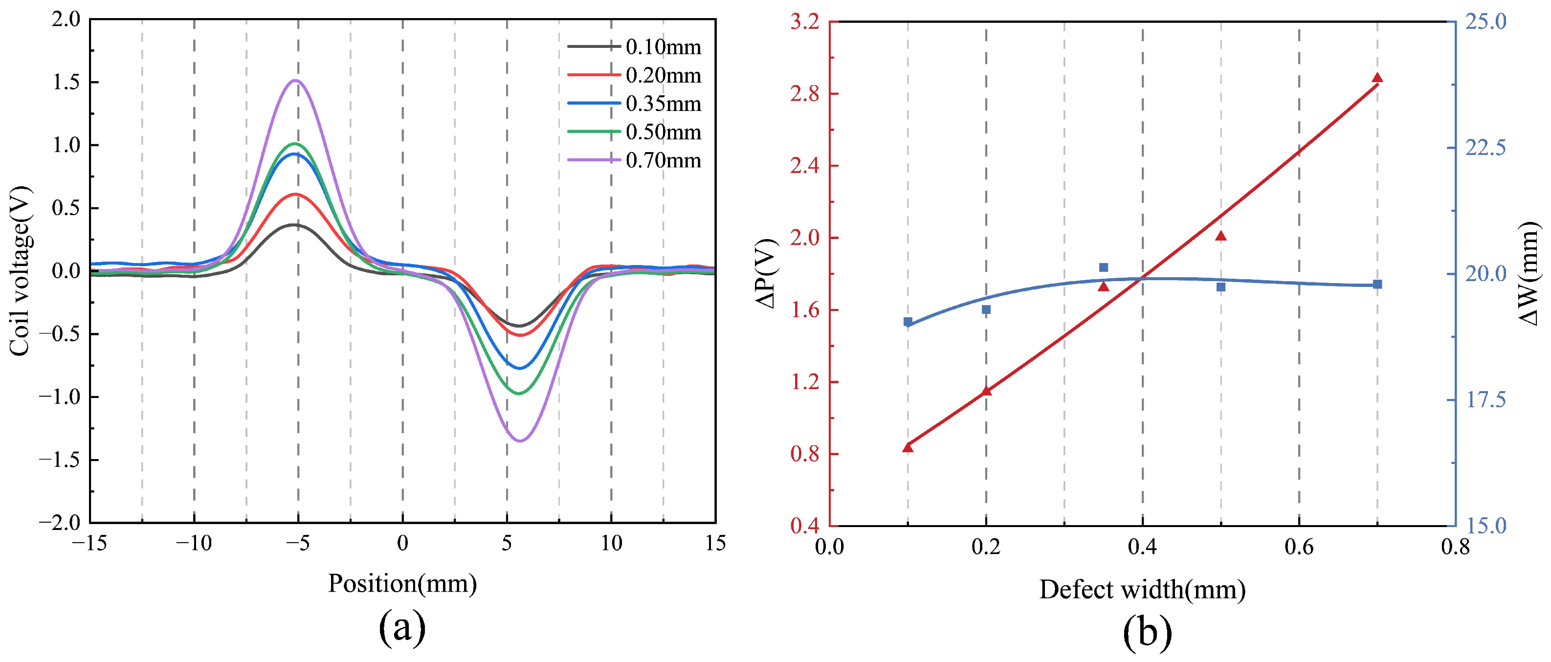
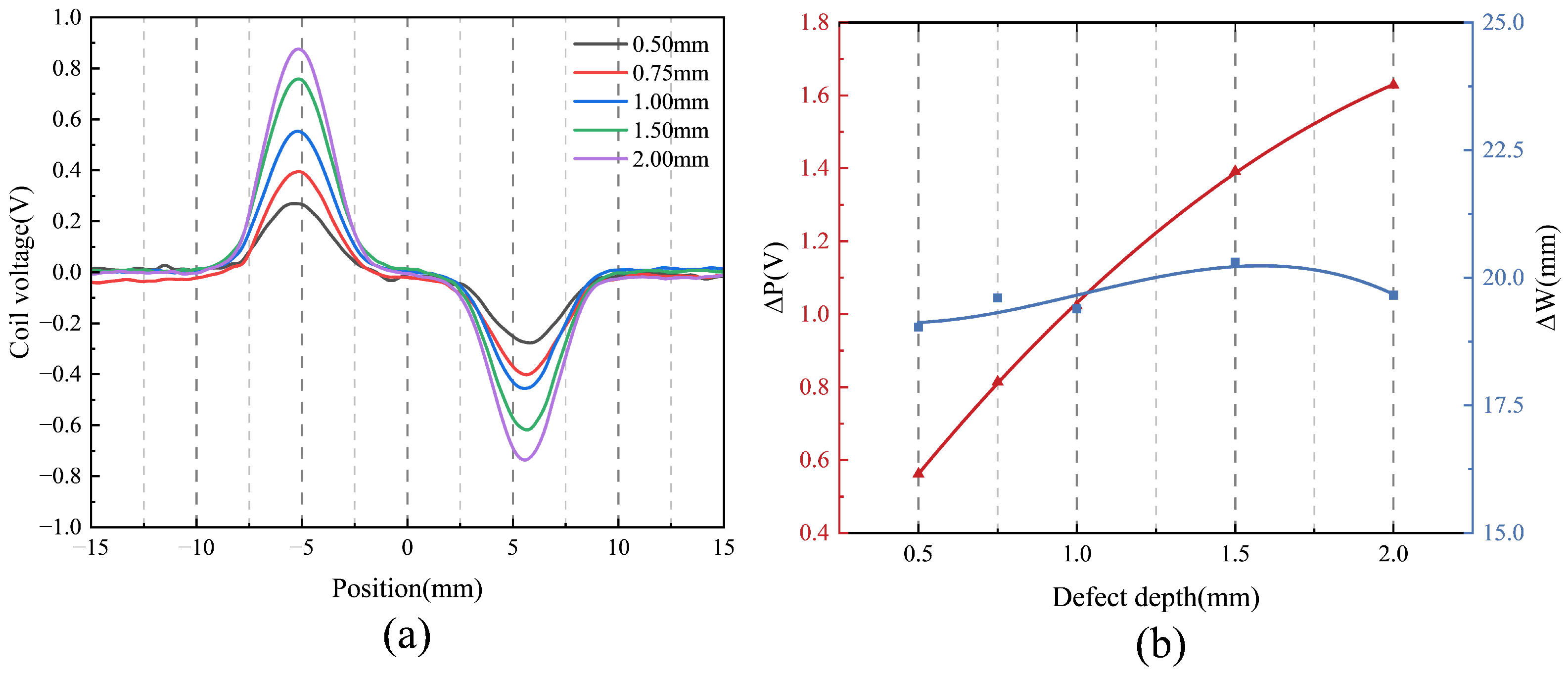
5.1. Experimental Validation of P and W for Defect Geometry Characterization
5.2. Transformer-Based Autoencoder for Defect Feature Analysis
6. Conclusions
Author Contributions
Funding
Institutional Review Board Statement
Informed Consent Statement
Data Availability Statement
Conflicts of Interest
References
- Li, S.S.; Yue, X.; Li, Q.Y.; Peng, H.L.; Dong, B.X.; Liu, T.S.; Yang, H.Y.; Fan, J.; Shu, S.L.; Qiu, F.; et al. Development and applications of aluminum alloys for aerospace industry. J. Mater. Res. Technol. 2023, 27, 944–983. [Google Scholar] [CrossRef]
- Czerwinski, F. Aluminum alloys for electrical engineering: A review. J. Mater. Sci. 2024, 59, 14847–14892. [Google Scholar] [CrossRef]
- Huang, G.; Li, Z.H.; Sun, L.M.; Li, X.W.; Wen, K.; Yan, L.Z.; Xiong, B.Q.; Zhang, Y.A. Fatigue crack growth behavior of 2624-T39 aluminum alloy with different grain sizes. Rare Met. 2021, 40, 2523–2529. [Google Scholar] [CrossRef]
- Zhang, L.; Zhong, H.; Li, S.; Zhao, H.; Chen, J.; Qi, L. Microstructure, mechanical properties and fatigue crack growth behavior of friction stir welded joint of 6061-T6 aluminum alloy. Int. J. Fatigue 2020, 135, 105556. [Google Scholar] [CrossRef]
- Mughrabi, H. Microstructural mechanisms of cyclic deformation, fatigue crack initiation and early crack growth. Philos. Trans. R. Soc. A Math. Phys. Eng. Sci. 2015, 373, 20140132. [Google Scholar] [CrossRef] [PubMed]
- García-Martín, J.; Gómez-Gil, J.; Vázquez-Sánchez, E. Non-destructive techniques based on eddy current testing. Sensors 2011, 11, 2525–2565. [Google Scholar] [CrossRef]
- Xie, R.; Chen, D.; Pan, M.; Tian, W.; Wu, X.; Zhou, W.; Tang, Y. Fatigue crack length sizing using a novel flexible eddy current sensor array. Sensors 2015, 15, 32138–32151. [Google Scholar] [CrossRef]
- Gupta, M.; Khan, M.A.; Butola, R.; Singari, R.M. Advances in applications of Non-Destructive Testing (NDT): A review. Adv. Mater. Process. Technol. 2022, 8, 2286–2307. [Google Scholar] [CrossRef]
- Song, M.; Qiu, Y.; Xu, B.; Jiang, P.; Geng, S.; Wang, Y.; Zhao, J.; Hu, Y. Fatigue failure and grain refinement strengthening mechanism of aluminum alloy weld. Int. J. Fatigue 2025, 197, 108950. [Google Scholar] [CrossRef]
- Borrego, L.; Jesus, J.; Branco, R.; Ferreira, J.; Antunes, F.; Neto, D.; Sérgio, E. Mechanisms of fatigue crack growth in 7050-T6 aluminium alloy. Int. J. Fatigue 2025, 194, 108830. [Google Scholar] [CrossRef]
- Machado, M.A. Eddy currents probe design for NDT applications: A review. Sensors 2024, 24, 5819. [Google Scholar] [CrossRef] [PubMed]
- Mussatayev, M.; Yi, Q.; Fitzgerald, M.; Maes, V.K.; Wilcox, P.; Hughes, R. Directional eddy current probe configuration for in-line detection of out-of-plane wrinkles. Compos. Part B Eng. 2024, 268, 111048. [Google Scholar] [CrossRef]
- Fan, X.; Chen, T.; Du, J.; He, Y.; Cui, R.; Ma, B.; Song, Y. Methods for improving sensitivity of crack quantitative monitoring of flexible eddy current array sensor. Smart Mater. Struct. 2020, 29, 085033. [Google Scholar] [CrossRef]
- Wu, D.; Cheng, F.; Yang, F.; Huang, C. Non-destructive testing for carbon-fiber-reinforced plastic (CFRP) using a novel eddy current probe. Compos. Part B Eng. 2019, 177, 107460. [Google Scholar] [CrossRef]
- Wang, Y.; Ye, C.; Wang, M. Synthetic magnetic field imaging with triangle excitation coil for inspection of any orientation defect. IEEE Trans. Instrum. Meas. 2019, 69, 533–541. [Google Scholar] [CrossRef]
- Ge, J.; Yang, C.; Yu, F.; Yusa, N. Transformation of the rotating eddy current testing signal at the desired eddy current orientation. NDT E Int. 2022, 125, 102551. [Google Scholar] [CrossRef]
- Ge, J.; Hu, B.; Yang, C.; Yu, F.; Yusa, N. Surface profile reconstruction of complex cracks using the signals of rotating eddy current testing through the eddy current imaging method. IEEE Trans. Ind. Electron. 2022, 70, 9632–9641. [Google Scholar] [CrossRef]
- Xu, Z.; Wang, X.; Deng, Y. Rotating focused field eddy-current sensing for arbitrary orientation defects detection in carbon steel. Sensors 2020, 20, 2345. [Google Scholar] [CrossRef]
- Trung, L.Q.; Kasai, N.; Sekino, K.; Miyazaki, S. An eddy current convergence probe with copper core and single detection coil to detect flaws on aluminum plates. NDT E Int. 2022, 132, 102707. [Google Scholar] [CrossRef]
- Trung, L.Q.; Kasai, N.; Sekino, K.; Miyazaki, S. Eddy current convergence probes with self-differential and self-nulling characteristics for detecting cracks in conductive materials. Sens. Actuators A Phys. 2023, 349, 114084. [Google Scholar] [CrossRef]
- Liu, Z.; Li, Y.; Ma, W.; Tang, Z.; He, C. A novel magnetic flux-convergence semi-ellipsoidal eddy current probe for defect detection. IEEE Sens. J. 2025, 25, 19001–19013. [Google Scholar] [CrossRef]
- Wang, G.; Zhong, Y.; Xiao, Q.; Li, Q. Eddy current sensor with multiple spatial degrees of freedom for concentrating magnetic fields. IEEE Trans. Instrum. Meas. 2023, 72, 6007711. [Google Scholar] [CrossRef]
- Li, X.; Tian, G.; Li, K.; Wang, H.; Zhang, Q. Differential ECT probe design and investigation for detection of rolling contact fatigue cracks with different orientations. IEEE Sens. J. 2022, 22, 11615–11625. [Google Scholar] [CrossRef]
- She, S.; He, Y.; Chen, Y.; Chady, T. Flexible floral eddy current probe for detecting flaws in metal plate. IEEE Sens. J. 2020, 20, 10521–10529. [Google Scholar] [CrossRef]
- Chen, G.; Li, Z.; Cao, Z.; Gao, W.; Jin, W. A differential excitation eddy current probe based on novel annular fractal curve for defects inspection. IEEE Sens. J. 2022, 22, 15903–15915. [Google Scholar] [CrossRef]
- Chen, G.; Wei, J.; Zhang, S.; Gao, W.; Jin, W.; Fan, L. Differential Koch planar eddy current probe sensitivity boosting by iron particulate sheet. IEEE Trans. Instrum. Meas. 2023, 72, 6010609. [Google Scholar] [CrossRef]
- Trung, L.Q.; Kasai, N.; Le, M.; Sekino, K. Predicting actual crack size through crack signal obtained by advanced Flexible Eddy Current Sensor using ResNet integrated with CBAM and Huber loss function. NDT E Int. 2025, 149, 103249. [Google Scholar] [CrossRef]
- Ma, Q.; Gao, B.; Tian, G.; Yang, C.; Xie, L.; Chen, K. High sensitivity flexible double square winding eddy current array for surface micro-defects inspection. Sens. Actuators A Phys. 2020, 309, 111844. [Google Scholar] [CrossRef]
- Arismendi, N.O.R.; Pacheco, E.R.; López, O.P.; Espina-Hernández, J.H.; Benitez, J.A.P. Classification of artificial near-side cracks in aluminium plates using a GMR-based eddy current probe. In Proceedings of the 2018 International Conference on Electronics, Communications and Computers (CONIELECOMP), Cholula, Mexico, 21–23 February 2018; pp. 31–36. [Google Scholar] [CrossRef]

















| Parameter | Specimen | Excitation Coil | Receiving Coil | Air Domain |
|---|---|---|---|---|
| Materials | 6061-T6 | Copper | Copper | Air |
| Dimension (mm) | 80.0/50.0/8.0 | 19.0/12.0/0.017 | 5.6/16.6/0.017 | 120.0/90.0/90.0 |
| Relative permeability | 1 | 1 | 1 | 1 |
| Conductivity (S/m) | 1 |
| Coil | Wire Diameter (mm) | Wire Spacing (mm) | Wire Turns | Unit Width (mm) | Lateral Width (mm) |
|---|---|---|---|---|---|
| Excitation coil | 0.1 | 0.1 | 26 | \ | 47.85 |
| Receiving coil | 0.1 | 0.1 | 13 | 5.6 | 23.6 |
| Defect Number | Length (mm) | Width (mm) | Depth (mm) | Angle (°) |
|---|---|---|---|---|
| A1 | 75 | |||
| A2 | 60 | |||
| A3 | 20 | 0.35 | 2 | 45 |
| A4 | 30 | |||
| A5 | 15 | |||
| B1 | 0.10 | |||
| B2 | 0.20 | |||
| B3 | 20 | 0.35 | 2 | 90 |
| B4 | 0.50 | |||
| B5 | 0.70 | |||
| C1 | 0.50 | |||
| C2 | 0.75 | |||
| C3 | 20 | 0.35 | 1.00 | 90 |
| C4 | 1.50 | |||
| C5 | 2.00 |
| Model | Epoch | Accuracy (%) | Precision (%) | Training Time (s) |
|---|---|---|---|---|
| Transformer | 150 | 98.0 | 98.2 | 55.5 |
| CNN | 150 | 97.3 | 97.7 | 37.6 |
Disclaimer/Publisher’s Note: The statements, opinions and data contained in all publications are solely those of the individual author(s) and contributor(s) and not of MDPI and/or the editor(s). MDPI and/or the editor(s) disclaim responsibility for any injury to people or property resulting from any ideas, methods, instructions or products referred to in the content. |
© 2025 by the authors. Licensee MDPI, Basel, Switzerland. This article is an open access article distributed under the terms and conditions of the Creative Commons Attribution (CC BY) license (https://creativecommons.org/licenses/by/4.0/).
Share and Cite
Zhang, Q.; Zheng, J.; Wu, S.; Wang, Y.; Li, L.; Wang, H. Research on Eddy Current Probes for Sensitivity Improvement in Fatigue Crack Detection of Aluminum Materials. Sensors 2025, 25, 6100. https://doi.org/10.3390/s25196100
Zhang Q, Zheng J, Wu S, Wang Y, Li L, Wang H. Research on Eddy Current Probes for Sensitivity Improvement in Fatigue Crack Detection of Aluminum Materials. Sensors. 2025; 25(19):6100. https://doi.org/10.3390/s25196100
Chicago/Turabian StyleZhang, Qing, Jiahuan Zheng, Shengping Wu, Yanchang Wang, Lijuan Li, and Haitao Wang. 2025. "Research on Eddy Current Probes for Sensitivity Improvement in Fatigue Crack Detection of Aluminum Materials" Sensors 25, no. 19: 6100. https://doi.org/10.3390/s25196100
APA StyleZhang, Q., Zheng, J., Wu, S., Wang, Y., Li, L., & Wang, H. (2025). Research on Eddy Current Probes for Sensitivity Improvement in Fatigue Crack Detection of Aluminum Materials. Sensors, 25(19), 6100. https://doi.org/10.3390/s25196100

