Embedment of 3D Printed Self-Sensing Composites for Smart Cementitious Components
Abstract
1. Introduction
2. Background
2.1. Carbon Microfibers (CMF)
2.2. Composite Mixtures
2.3. Fabrication Process
- Cube Specimens
- Small Beam Specimens
2.4. Electromechanical Model
3. Experiments
3.1. Measurement
3.2. Compression and Flexural Tests
4. Results and Discussion
4.1. Self-Sensing Cube Specimen
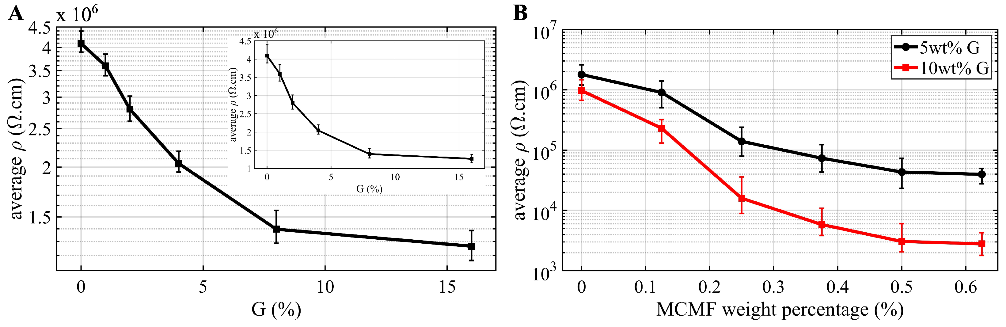
- Percolation
- Strain Sensing
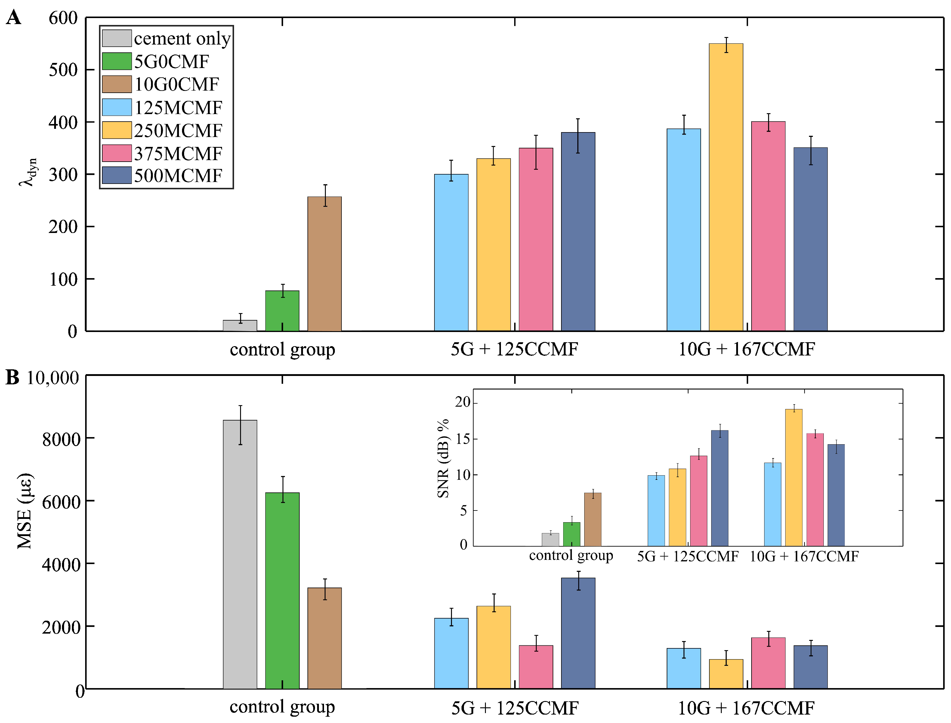
- Sensing Performance Metrics
4.2. Self-Sensing Beam Specimen
- Quasi-static Sensing
- Dynamic Sensing
- Sensing Performance Metrics
5. Conclusions
Author Contributions
Funding
Institutional Review Board Statement
Informed Consent Statement
Data Availability Statement
Acknowledgments
Conflicts of Interest
Abbreviations
| SHM | Structural Health Monitoring |
| 3DP | 3D Printing |
| G | Graphite |
| MCMF | Miller Carbon Microfiber |
| CCMF | Chopped Carbon Microfiber |
| CMF | Carbon Microfiber |
| FCR | Fractional Change in Resistivity |
| SNR | Signal-to-Noise Ratio |
| MAE | Mean Absolute Error |
| DAQ | Data Acquisition System |
| PE | Polyethylene |
| PSD | Power Spectral Densities |
| CI | Confidence Interval |
References
- Ko, C.H. Constraints and limitations of concrete 3D printing in architecture. J. Eng. Des. Technol. 2021, 20, 1334–1348. [Google Scholar] [CrossRef]
- Xiao, J.; Ji, G.; Zhang, Y.; Ma, G.; Mechtcherine, V.; Pan, J.; Wang, L.; Ding, T.; Duan, Z.; Du, S. Large-scale 3D printing concrete technology: Current status and future opportunities. Cem. Concr. Compos. 2021, 122, 104115. [Google Scholar] [CrossRef]
- Rollakanti, C.R.; Prasad, C.V.S.R. Applications, performance, challenges and current progress of 3D concrete printing technologies as the future of sustainable construction—A state of the art review. Mater. Today Proc. 2022, 65, 995–1000. [Google Scholar] [CrossRef]
- Zhang, J.; Wang, J.; Dong, S.; Yu, X.; Han, B. A review of the current progress and application of 3D printed concrete. Compos. Part A Appl. Sci. Manuf. 2019, 125, 105533. [Google Scholar] [CrossRef]
- Khan, S.A.; Koç, M.; Al-Ghamdi, S.G. Sustainability assessment, potentials and challenges of 3D printed concrete structures: A systematic review for built environmental applications. J. Clean. Prod. 2021, 303, 127027. [Google Scholar] [CrossRef]
- Liu, D.; Zhang, Z.; Zhang, X.; Chen, Z. 3D printing concrete structures: State of the art, challenges, and opportunities. Constr. Build. Mater. 2023, 405, 133364. [Google Scholar] [CrossRef]
- Sousa, I.; D’Alessandro, A.; Mesquita, E.; Laflamme, S.; Ubertini, F. Comprehensive review of 3D printed cementitious composites with carbon inclusions: Current Status and perspective for self-sensing capabilities. J. Build. Eng. 2024, 98, 111192. [Google Scholar] [CrossRef]
- Siddika, A.; Mamun, M.A.A.; Ferdous, W.; Saha, A.K.; Alyousef, R. 3D-printed concrete: Applications, performance, and challenges. J. Sustain. Cem.-Based Mater. 2019, 9, 127–164. [Google Scholar] [CrossRef]
- Zhao, Y.; Meng, W.; Wang, P.; Qian, D.; Cheng, W.; Jia, Z. Research Progress of Concrete 3D Printing Technology and Its Equipment System, Material, and Molding Defect Control. J. Eng. 2022, 2022, 6882386. [Google Scholar] [CrossRef]
- Raphael, B.; Senthilnathan, S.; Patel, A.; Bhat, S. A review of concrete 3D printed structural members. Front. Built Environ. 2023, 8, 1034020. [Google Scholar] [CrossRef]
- Wolfs, R.; Bos, F.; Salet, T. Hardened properties of 3D printed concrete: The influence of process parameters on interlayer adhesion. Cem. Concr. Res. 2019, 119, 132–140. [Google Scholar] [CrossRef]
- He, L.; Li, H.; Chow, W.T.; Zeng, B.; Qian, Y. Increasing the interlayer strength of 3D printed concrete with tooth-like interface: An experimental and theoretical investigation. Mater. Des. 2022, 223, 111117. [Google Scholar] [CrossRef]
- Liu, H.; Liu, C.; Bai, G.; Wu, Y.; He, C.; Zhang, R.; Wang, Y. Influence of pore defects on the hardened properties of 3D printed concrete with coarse aggregate. Addit. Manuf. 2022, 55, 102843. [Google Scholar] [CrossRef]
- Skibicki, S.; Szewczyk, P.; Majewska, J.; Sibera, D.; Ekiert, E.; Chung, S.Y.; Sikora, P. The effect of interlayer adhesion on stress distribution in 3D printed beam elements. J. Build. Eng. 2024, 87, 109093. [Google Scholar] [CrossRef]
- Wu, H.C.; Chen, T.C.T. Quality control issues in 3D-printing manufacturing: A review. Rapid Prototyp. J. 2018, 24, 607–614. [Google Scholar] [CrossRef]
- Buswell, R.; Kinnell, P.; Xu, J.; Hack, N.; Kloft, H.; Maboudi, M.; Gerke, M.; Massin, P.; Grasser, G.; Wolfs, R.; et al. Inspection Methods for 3D Concrete Printing. In Proceedings of the Second RILEM International Conference on Concrete and Digital Fabrication, Edinburgh, UK, 8–10 July 2024; Springer International Publishing: Berlin/Heidelberg, Germany, 2020; pp. 790–803. [Google Scholar] [CrossRef]
- Quah, T.K.N.; Tay, Y.W.D.; Lim, J.H.; Tan, M.J.; Wong, T.N.; Li, K.H.H. Concrete 3D Printing: Process Parameters for Process Control, Monitoring and Diagnosis in Automation and Construction. Mathematics 2023, 11, 1499. [Google Scholar] [CrossRef]
- Kazemian, A.; Seylabi, E.; Ekenel, M. Concrete 3D Printing: Challenges and Opportunities for the Construction Industry. In Innovation in Construction; Springer International Publishing: Berlin/Heidelberg, Germany, 2022; pp. 277–299. [Google Scholar] [CrossRef]
- Mechtcherine, V.; van Tittelboom, K.; Kazemian, A.; Kreiger, E.; Nematollahi, B.; Nerella, V.N.; Santhanam, M.; de Schutter, G.; Van Zijl, G.; Lowke, D.; et al. A roadmap for quality control of hardening and hardened printed concrete. Cem. Concr. Res. 2022, 157, 106800. [Google Scholar] [CrossRef]
- Li, H.N.; Ren, L.; Jia, Z.G.; Yi, T.H.; Li, D.S. State-of-the-art in structural health monitoring of large and complex civil infrastructures. J. Civ. Struct. Health Monit. 2015, 6, 3–16. [Google Scholar] [CrossRef]
- Gharehbaghi, V.R.; Noroozinejad Farsangi, E.; Noori, M.; Yang, T.Y.; Li, S.; Nguyen, A.; Málaga-Chuquitaype, C.; Gardoni, P.; Mirjalili, S. A Critical Review on Structural Health Monitoring: Definitions, Methods, and Perspectives. Arch. Comput. Methods Eng. 2021, 29, 2209–2235. [Google Scholar] [CrossRef]
- Mishra, M.; Lourenço, P.B.; Ramana, G. Structural health monitoring of civil engineering structures by using the internet of things: A review. J. Build. Eng. 2022, 48, 103954. [Google Scholar] [CrossRef]
- dos Reis, J.; Oliveira Costa, C.; Sá da Costa, J. Strain gauges debonding fault detection for structural health monitoring. Struct. Control Health Monit. 2018, 25, e2264. [Google Scholar] [CrossRef]
- Yoon, J.; Lee, J.; Kim, G.; Ryu, S.; Park, J. Deep neural network-based structural health monitoring technique for real-time crack detection and localization using strain gauge sensors. Sci. Rep. 2022, 12, 20204. [Google Scholar] [CrossRef]
- Aditama, V.; Dewi, S.M.; Wibowo, A.; Wijaya, M.N. Real-time structural health monitoring (SHM) using strain gauge Arduino sensor at reinfocement concrete under static and impact loading. In Proceedings of the The 3rd International Conference on Natural Sciences, Mathematics, Applications, Research, and Technology (ICON-SMART2022): Mathematical Physics and Biotechnology for Education, Energy Efficiency, and Marine Industries, Yogyakarta, Indonesia, 21 September 2022; AIP Publishing: Melville, NY, USA, 2024; Volume 3132, p. 050046. [Google Scholar] [CrossRef]
- Bado, M.F.; Casas, J.R. A Review of Recent Distributed Optical Fiber Sensors Applications for Civil Engineering Structural Health Monitoring. Sensors 2021, 21, 1818. [Google Scholar] [CrossRef]
- Jayawickrema, U.; Herath, H.; Hettiarachchi, N.; Sooriyaarachchi, H.; Epaarachchi, J. Fibre-optic sensor and deep learning-based structural health monitoring systems for civil structures: A review. Measurement 2022, 199, 111543. [Google Scholar] [CrossRef]
- Wang, H.; Guo, J.K.; Mo, H.; Zhou, X.; Han, Y. Fiber Optic Sensing Technology and Vision Sensing Technology for Structural Health Monitoring. Sensors 2023, 23, 4334. [Google Scholar] [CrossRef] [PubMed]
- Aabid, A.; Parveez, B.; Raheman, M.A.; Ibrahim, Y.E.; Anjum, A.; Hrairi, M.; Parveen, N.; Mohammed Zayan, J. A Review of Piezoelectric Material-Based Structural Control and Health Monitoring Techniques for Engineering Structures: Challenges and Opportunities. Actuators 2021, 10, 101. [Google Scholar] [CrossRef]
- Aulakh, D.S.; Bhalla, S. 3D torsional experimental strain modal analysis for structural health monitoring using piezoelectric sensors. Measurement 2021, 180, 109476. [Google Scholar] [CrossRef]
- Le, T.C.; Luu, T.H.T.; Nguyen, H.P.; Nguyen, T.H.; Ho, D.D.; Huynh, T.C. Piezoelectric Impedance-Based Structural Health Monitoring of Wind Turbine Structures: Current Status and Future Perspectives. Energies 2022, 15, 5459. [Google Scholar] [CrossRef]
- Ju, M.; Dou, Z.; Li, J.W.; Qiu, X.; Shen, B.; Zhang, D.; Yao, F.Z.; Gong, W.; Wang, K. Piezoelectric Materials and Sensors for Structural Health Monitoring: Fundamental Aspects, Current Status, and Future Perspectives. Sensors 2023, 23, 543. [Google Scholar] [CrossRef] [PubMed]
- Karvelis, P.; Georgoulas, G.; Kappatos, V.; Stylios, C. Deep machine learning for structural health monitoring on ship hulls using acoustic emission method. Ships Offshore Struct. 2020, 16, 440–448. [Google Scholar] [CrossRef]
- Jinachandran, S.; Rajan, G. Fibre Bragg Grating Based Acoustic Emission Measurement System for Structural Health Monitoring Applications. Materials 2021, 14, 897. [Google Scholar] [CrossRef] [PubMed]
- Ghadarah, N.; Ayre, D. A Review on Acoustic Emission Testing for Structural Health Monitoring of Polymer-Based Composites. Sensors 2023, 23, 6945. [Google Scholar] [CrossRef]
- Gomasa, R.; Talakokula, V.; Kalyana Rama Jyosyula, S.; Bansal, T. A review on health monitoring of concrete structures using embedded piezoelectric sensor. Constr. Build. Mater. 2023, 405, 133179. [Google Scholar] [CrossRef]
- Laflamme, S.; Ubertini, F.; Di Matteo, A.; Pirrotta, A.; Perry, M.; Fu, Y.; Li, J.; Wang, H.; Hoang, T.; Glisic, B.; et al. Roadmap on measurement technologies for next generation structural health monitoring systems. Meas. Sci. Technol. 2023, 34, 093001. [Google Scholar] [CrossRef]
- Laflamme, S.; Ubertini, F. Self-Sensing Materials for Nondestructive Evaluation. Mater. Eval. 2020, 78, 526–536. [Google Scholar] [CrossRef]
- Bekzhanova, Z.; Memon, S.A.; Kim, J.R. Self-Sensing Cementitious Composites: Review and Perspective. Nanomaterials 2021, 11, 2355. [Google Scholar] [CrossRef]
- Ramachandran, K.; Vijayan, P.; Murali, G.; Vatin, N.I. A Review on Principles, Theories and Materials for Self Sensing Concrete for Structural Applications. Materials 2022, 15, 3831. [Google Scholar] [CrossRef]
- Gupta, S.; Lin, Y.A.; Lee, H.J.; Buscheck, J.; Wu, R.; Lynch, J.P.; Garg, N.; Loh, K.J. In situ crack mapping of large-scale self-sensing concrete pavements using electrical resistance tomography. Cem. Concr. Compos. 2021, 122, 104154. [Google Scholar] [CrossRef]
- Li, W.; Qu, F.; Dong, W.; Mishra, G.; Shah, S.P. A comprehensive review on self-sensing graphene/cementitious composites: A pathway toward next-generation smart concrete. Constr. Build. Mater. 2022, 331, 127284. [Google Scholar] [CrossRef]
- Gulisano, F.; Jimenez-Bermejo, D.; Castano-Solís, S.; Sánchez Diez, L.A.; Gallego, J. Development of Self-Sensing Asphalt Pavements: Review and Perspectives. Sensors 2024, 24, 792. [Google Scholar] [CrossRef]
- Han, B.; Ding, S.; Yu, X. Intrinsic self-sensing concrete and structures: A review. Measurement 2015, 59, 110–128. [Google Scholar] [CrossRef]
- Mu, S.; Yue, J.; Wang, Y.; Feng, C. Electrical, Piezoresistive and Electromagnetic Properties of Graphene Reinforced Cement Composites: A Review. Nanomaterials 2021, 11, 3220. [Google Scholar] [CrossRef]
- Adresi, M.; Pakhirehzan, F. Evaluating the performance of Self-Sensing concrete sensors under temperature and moisture variations—A review. Constr. Build. Mater. 2023, 404, 132923. [Google Scholar] [CrossRef]
- Han, J.; Cai, J.; Pan, J.; Sun, Y. Study on the conductivity of carbon fiber self-sensing high ductility cementitious composite. J. Build. Eng. 2021, 43, 103125. [Google Scholar] [CrossRef]
- Ding, S.; Wang, X.; Qiu, L.; Ni, Y.; Dong, X.; Cui, Y.; Ashour, A.; Han, B.; Ou, J. Self-Sensing Cementitious Composites with Hierarchical Carbon Fiber-Carbon Nanotube Composite Fillers for Crack Development Monitoring of a Maglev Girder. Small 2022, 19, 2206258. [Google Scholar] [CrossRef]
- Birgin, H.B.; D’Alessandro, A.; Ubertini, F. A new smart sustainable earth-cement composite doped by carbon microfibers with self-sensing properties. Dev. Built Environ. 2023, 14, 100168. [Google Scholar] [CrossRef]
- Luo, T.; Wang, Q.; Fang, Z. Effect of graphite on the self-sensing properties of cement and alkali-activated fly ash/slag based composite cementitious materials. J. Build. Eng. 2023, 77, 107493. [Google Scholar] [CrossRef]
- Wang, X.; Cao, B.; Vlachakis, C.; Al-Tabbaa, A.; Haigh, S.K. Characterization and piezo-resistivity studies on graphite-enabled self-sensing cementitious composites with high stress and strain sensitivity. Cem. Concr. Compos. 2023, 142, 105187. [Google Scholar] [CrossRef]
- Abebe, T.N.; Woo, B.H.; Kim, H.G.; Ryou, J.S. Real-time monitoring of self-sensing cementitious composite incorporating hybrid silicon carbide and graphite for enhanced structural health monitoring. Cem. Concr. Compos. 2024, 146, 105404. [Google Scholar] [CrossRef]
- Dinesh, A.; Sudharsan, S.; Haribala, S. Self-sensing cement-based sensor with carbon nanotube: Fabrication and properties—A review. Mater. Today Proc. 2021, 46, 5801–5807. [Google Scholar] [CrossRef]
- Li, L.; Wei, H.; Hao, Y.; Li, Y.; Cheng, W.; Ismail, Y.A.; Liu, Z. Carbon nanotube (CNT) reinforced cementitious composites for structural self-sensing purpose: A review. Constr. Build. Mater. 2023, 392, 131384. [Google Scholar] [CrossRef]
- Prudente, I.N.R.; Santos, H.C.d.; Fonseca, J.L.; de Almeida, Y.A.; Gimenez, I.d.F.; Barreto, L.S. Graphene family (GFMs), carbon nanotubes (CNTs) and carbon black (CB) on smart materials for civil construction: Self-cleaning, self-sensing and self-heating. J. Build. Eng. 2024, 95, 110175. [Google Scholar] [CrossRef]
- Laflamme, S.; Eisenmann, D.; Wang, K.; Ubertini, F.; Pinto, I.; DeMoss, A. Smart Concrete for Enhanced Nondestructive Evaluation. In Proceedings of the 2017 Annual Conference Proceedings, ASNT Annual Conference, Nashville, TN, USA, 30 October–2 November 2017; pp. 253–265, ISBN 978-57117-436-9. [Google Scholar]
- Dinesh, A.; Saravanakumar, P.; Rahul Prasad, B.; Kilbert Raj, S. Carbon black based self-sensing cement composite for structural health monitoring—A review on strength and conductive characteristics. Mater. Today Proc. 2023. [Google Scholar] [CrossRef]
- Li, W.; Guo, Y.; Zhang, X.; Dong, W.; Li, X.; Yu, T.; Wang, K. Development of self-sensing ultra-high-performance concrete using hybrid carbon black and carbon nanofibers. Cem. Concr. Compos. 2024, 148, 105466. [Google Scholar] [CrossRef]
- Suo, Y.; Guo, R.; Xia, H.; Yang, Y.; Zhou, B.; Zhao, Z. A review of graphene oxide/cement composites: Performance, functionality, mechanisms, and prospects. J. Build. Eng. 2022, 53, 104502. [Google Scholar] [CrossRef]
- Suo, Y.; Xia, H.; Guo, R.; Yang, Y. Study on self-sensing capabilities of smart cements filled with graphene oxide under dynamic cyclic loading. J. Build. Eng. 2022, 58, 104775. [Google Scholar] [CrossRef]
- Kang, M.; Kang, M.C.; Yonis, A.; Vashistha, P.; Pyo, S. Effect of steel slag on the mechanical properties and self-sensing capability of ultra-high performance concrete (UHPC). Dev. Built Environ. 2024, 17, 100342. [Google Scholar] [CrossRef]
- Monteiro, A.O.; Costa, P.M.F.J.; Oeser, M.; Cachim, P.B. Dynamic sensing properties of a multifunctional cement composite with carbon black for traffic monitoring. Smart Mater. Struct. 2020, 29, 025023. [Google Scholar] [CrossRef]
- Ding, S.; Wang, Y.W.; Ni, Y.Q.; Han, B. Structural modal identification and health monitoring of building structures using self-sensing cementitious composites. Smart Mater. Struct. 2020, 29, 055013. [Google Scholar] [CrossRef]
- Downey, A.; D’Alessandro, A.; Baquera, M.; García-Macías, E.; Rolfes, D.; Ubertini, F.; Laflamme, S.; Castro-Triguero, R. Damage detection, localization and quantification in conductive smart concrete structures using a resistor mesh model. Eng. Struct. 2017, 148, 924–935. [Google Scholar] [CrossRef]
- Dong, W.; Li, W.; Lu, N.; Qu, F.; Vessalas, K.; Sheng, D. Piezoresistive behaviours of cement-based sensor with carbon black subjected to various temperature and water content. Compos. Part B Eng. 2019, 178, 107488. [Google Scholar] [CrossRef]
- Birgin, H.B.; Laflamme, S.; D’Alessandro, A.; Garcia-Macias, E.; Ubertini, F. A Weigh-in-Motion Characterization Algorithm for Smart Pavements Based on Conductive Cementitious Materials. Sensors 2020, 20, 659. [Google Scholar] [CrossRef]
- Borke Birgin, H.; D’Alessandro, A.; Favaro, M.; Sangiorgi, C.; Laflamme, S.; Ubertini, F. Field investigation of novel self-sensing asphalt pavement for weigh-in-motion sensing. Smart Mater. Struct. 2022, 31, 085004. [Google Scholar] [CrossRef]
- Deng, Z.; Nguyen, Q.D.; Mahmood, A.H.; Pang, Y.; Shi, T.; Sheng, D. Piezoresistivity assessment of self-sensing asphalt-based pavements with machine learning algorithm. Constr. Build. Mater. 2025, 468, 140291. [Google Scholar] [CrossRef]
- Xu, J.; Butler, L.J.; Elshafie, M.Z. Experimental and numerical investigation of the performance of self-sensing concrete sleepers. Struct. Health Monit. 2019, 19, 66–85. [Google Scholar] [CrossRef]
- Castañeda-Saldarriaga, D.L.; Alvarez-Montoya, J.; Martínez-Tejada, V.; Sierra-Pérez, J. Toward Structural Health Monitoring of Civil Structures Based on Self-Sensing Concrete Nanocomposites: A Validation in a Reinforced-Concrete Beam. Int. J. Concr. Struct. Mater. 2021, 15. [Google Scholar] [CrossRef]
- Qiu, L.; Ding, S.; Wang, D.; Han, B. Self-sensing GFRP-reinforced concrete beams containing carbon nanotube-nano carbon black composite fillers. Meas. Sci. Technol. 2023, 34, 084003. [Google Scholar] [CrossRef]
- Wang, L.; Aslani, F. Structural performance of reinforced concrete beams with 3D printed cement-based sensor embedded and self-sensing cementitious composites. Eng. Struct. 2023, 275, 115266. [Google Scholar] [CrossRef]
- Gong, Z.; Han, L.; An, Z.; Yang, L.; Ding, S.; Xiang, Y. Empowering smart buildings with self-sensing concrete for structural health monitoring. In Proceedings of the ACM SIGCOMM 2022 Conference, Amsterdam, The Netherlands, 22–26 August 2022; SIGCOMM ’22. pp. 560–575. [Google Scholar] [CrossRef]
- Downey, A.; D’Alessandro, A.; Laflamme, S.; Ubertini, F. Smart bricks for strain sensing and crack detection in masonry structures. Smart Mater. Struct. 2017, 27, 015009. [Google Scholar] [CrossRef]
- Ubertini, F.; D’Alessandro, A.; Downey, A.; García-Macías, E.; Laflamme, S.; Castro-Triguero, R. Recent Advances on SHM of Reinforced Concrete and Masonry Structures Enabled by Self-Sensing Structural Materials. Proceedings 2018, 2, 119. [Google Scholar] [CrossRef]
- Nalon, G.H.; Ribeiro, J.C.L.; Pedroti, L.G.; da Silva, R.M.; de Araújo, E.N.D. Behavior of self-sensing masonry structures exposed to high temperatures and rehydration. Structures 2024, 68, 107083. [Google Scholar] [CrossRef]
- Birgin, H.B.; D’Alessandro, A.; Laflamme, S.; Ubertini, F. Hybrid Carbon Microfibers-Graphite Fillers for Piezoresistive Cementitious Composites. Sensors 2021, 21, 518. [Google Scholar] [CrossRef]
- Liu, H.; Laflamme, S.; D’Alessandro, A.; Ubertini, F. 3D printed self-sensing cementitious composites using graphite and carbon microfibers. Meas. Sci. Technol. 2024, 35, 085105. [Google Scholar] [CrossRef]
- Liu, H.; Laflamme, S.; Cai, B.; Lyu, P.; Sritharan, S.; Wang, K. Investigation of 3D Printed Self-Sensing UHPC Composites Using Graphite and Hybrid Carbon Microfibers. Sensors 2024, 24, 7638. [Google Scholar] [CrossRef]
- Carbon, S. Sigrafil Short Carbon Fibers. SGL. Available online: https://www.sglcarbon.com/en/markets-solutions/material/sigrafil-short-carbon-fibers (accessed on 25 September 2025).
- Whittington, H.W.; McCarter, J.; Forde, M.C. The conduction of electricity through concrete. Mag. Concr. Res. 1981, 33, 48–60. [Google Scholar] [CrossRef]
- Luo, T.; Wang, Q. Effects of Graphite on Electrically Conductive Cementitious Composite Properties: A Review. Materials 2021, 14, 4798. [Google Scholar] [CrossRef]
- Tian, Z.; Li, Y.; Zheng, J.; Wang, S. A state-of-the-art on self-sensing concrete: Materials, fabrication and properties. Compos. Part B Eng. 2019, 177, 107437. [Google Scholar] [CrossRef]
- Li, W.; Dong, W.; Guo, Y.; Wang, K.; Shah, S.P. Advances in multifunctional cementitious composites with conductive carbon nanomaterials for smart infrastructure. Cem. Concr. Compos. 2022, 128, 104454. [Google Scholar] [CrossRef]
- Oumer, A.; Lee, C.; Ahn, E.; Gwon, S. Review on self-heating electrically conductive cementitious composites: Focus on deicing and electrical curing. Constr. Build. Mater. 2024, 439, 137232. [Google Scholar] [CrossRef]
- Fulham-Lebrasseur, R.; Sorelli, L.; Conciatori, D. Development of electrically conductive concrete and mortars with hybrid conductive inclusions. Constr. Build. Mater. 2020, 237, 117470. [Google Scholar] [CrossRef]
- Wang, L.; Aslani, F. Self-sensing performance of cementitious composites with functional fillers at macro, micro and nano scales. Constr. Build. Mater. 2022, 314, 125679. [Google Scholar] [CrossRef]
- Zhao, Y.; Zhang, J.; Qiang, S.; Lu, H.; Li, J. Effect of carbon fibers and graphite particles on mechanical properties and electrical conductivity of cement composite. J. Build. Eng. 2024, 94, 110036. [Google Scholar] [CrossRef]
- Razzaghian Ghadikolaee, M.; Cerro-Prada, E.; Pan, Z.; Habibnejad Korayem, A. Nanomaterials as Promising Additives for High-Performance 3D-Printed Concrete: A Critical Review. Nanomaterials 2023, 13, 1440. [Google Scholar] [CrossRef]
- Barbero-Barrera, M.M.; Flores Medina, N.; Guardia-Martín, C. Influence of the addition of waste graphite powder on the physical and microstructural performance of hydraulic lime pastes. Constr. Build. Mater. 2017, 149, 599–611. [Google Scholar] [CrossRef]
- Papanikolaou, I.; Litina, C.; Zomorodian, A.; Al-Tabbaa, A. Effect of Natural Graphite Fineness on the Performance and Electrical Conductivity of Cement Paste Mixes for Self-Sensing Structures. Materials 2020, 13, 5833. [Google Scholar] [CrossRef]
- Rehman, A.U.; Kim, J.H. 3D Concrete Printing: A Systematic Review of Rheology, Mix Designs, Mechanical, Microstructural, and Durability Characteristics. Materials 2021, 14, 3800. [Google Scholar] [CrossRef]
- Han, D.; Ferron, R.D. Effect of mixing method on microstructure and rheology of cement paste. Constr. Build. Mater. 2015, 93, 278–288. [Google Scholar] [CrossRef]
- Han, B.; Zhang, K.; Yu, X.; Kwon, E.; Ou, J. Electrical characteristics and pressure-sensitive response measurements of carboxyl MWNT/cement composites. Cem. Concr. Compos. 2012, 34, 794–800. [Google Scholar] [CrossRef]
- Dong, W.; Li, W.; Tao, Z.; Wang, K. Piezoresistive properties of cement-based sensors: Review and perspective. Constr. Build. Mater. 2019, 203, 146–163. [Google Scholar] [CrossRef]
- Hou, Y.Y.; Sun, M.Q.; Chen, J.Z. Electrical resistance and capacitance responses of smart ultra-high performance concrete with compressive strain by DC and AC measurements. Constr. Build. Mater. 2022, 327, 127007. [Google Scholar] [CrossRef]
- Piro, N.S.; Mohammed, A.S.; Jalil, P.J.; Hamad, S.M. Comparison between Four-Probe and Two-Probe Electrical Resistivity Measurement to Monitor the Curing and Piezoresistivity Behavior of Smart Cement Paste Modified with Waste Steel Slag and Green Nano-magnetite. J. Test. Eval. 2023, 52, 873–896. [Google Scholar] [CrossRef]
- Wen, S.; Chung, D. Cement-based materials for stress sensing by dielectric measurement. Cem. Concr. Res. 2002, 32, 1429–1433. [Google Scholar] [CrossRef]
- Corral-Higuera, R.; Arredondo-Rea, S.P.; Neri Flores, M.A.; Orozco-Carmona, V.; Gómez-Soberón, J.M.; Almeraya Calderon, F.; Almaral-Sánchez, J.L. Dielectric and Electrochemical Properties of Sustainable Concrete. ECS Trans. 2010, 29, 115–124. [Google Scholar] [CrossRef]
- Sun, M.; Liu, Q.; Li, Z.; Hu, Y. A study of piezoelectric properties of carbon fiber reinforced concrete and plain cement paste during dynamic loading. Cem. Concr. Res. 2000, 30, 1593–1595. [Google Scholar] [CrossRef]
- Chung, D.D.L. Piezoresistive Cement-Based Materials for Strain Sensing. J. Intell. Mater. Syst. Struct. 2002, 13, 599–609. [Google Scholar] [CrossRef]
- Sassani, A.; Ceylan, H.; Kim, S.; Gopalakrishnan, K.; Arabzadeh, A.; Taylor, P.C. Influence of mix design variables on engineering properties of carbon fiber-modified electrically conductive concrete. Constr. Build. Mater. 2017, 152, 168–181. [Google Scholar] [CrossRef]
- McCarter, W.J.; Taha, H.M.; Suryanto, B.; Starrs, G. Two-point concrete resistivity measurements: Interfacial phenomena at the electrode–concrete contact zone. Meas. Sci. Technol. 2015, 26, 085007. [Google Scholar] [CrossRef]
- Reddy, P.N.; Kavyateja, B.V.; Jindal, B.B. Structural health monitoring methods, dispersion of fibers, micro and macro structural properties, sensing, and mechanical properties of self-sensing concrete—A review. Struct. Concr. 2020, 22, 793–805. [Google Scholar] [CrossRef]
- Szelag, M. Evaluation of Cracking Patterns in Cement Composites From Basics to Advances: A Review. Materials 2020, 13, 2490. [Google Scholar] [CrossRef]
- Laflamme, S.; Ubertini, F.; Saleem, H.; D’Alessandro, A.; Downey, A.; Ceylan, H.; Materazzi, A.L. Dynamic Characterization of a Soft Elastomeric Capacitor for Structural Health Monitoring. J. Struct. Eng. 2015, 141, 04014186. [Google Scholar] [CrossRef]
- Pan, S.; Feng, J.; Safaei, B.; Qin, Z.; Chu, F.; Hui, D. A comparative experimental study on damping properties of epoxy nanocomposite beams reinforced with carbon nanotubes and graphene nanoplatelets. Nanotechnol. Rev. 2022, 11, 1658–1669. [Google Scholar] [CrossRef]
- Gardea, F.; Glaz, B.; Riddick, J.; Lagoudas, D.C.; Naraghi, M. Energy Dissipation Due to Interfacial Slip in Nanocomposites Reinforced with Aligned Carbon Nanotubes. ACS Appl. Mater. Interfaces 2015, 7, 9725–9735. [Google Scholar] [CrossRef] [PubMed]
- Koo, G.; Tallman, T. Frequency-dependent alternating current piezoresistive switching behavior in self-sensing carbon nanofiber composites. Carbon 2021, 173, 384–394. [Google Scholar] [CrossRef]
- Dong, W.; Li, W.; Shen, L.; Sheng, D. Piezoresistive behaviours of carbon black cement-based sensors with layer-distributed conductive rubber fibres. Mater. Des. 2019, 182, 108012. [Google Scholar] [CrossRef]
- Klimm, W.; Kwok, K. Computational analysis of tunneling conduction in piezoresistive carbon nanotube polymer composites. J. Intell. Mater. Syst. Struct. 2022, 34, 928–943. [Google Scholar] [CrossRef]










| Material Properties | Units | G Powder | MCMF | CCMF |
|---|---|---|---|---|
| density | g/cm3 | 1.06 | 1.80 | 1.80 |
| mean fiber length | m | - | 150 | 6000 |
| filament diameter | m | 37 | 7 | 7 |
| tensile strength | GPa | - | 4.0 | 4.0 |
| tensile modulus | GPa | - | 240 | 240 |
| elongation at break | % | - | 1.7 | 1.7 |
| single filament | m | 40 | 15 | 15 |
| bulk density | g/L | 800 | 250 | - |
| sizing type | - | unsized | unsized | glycerin |
| sizing mass content | % | - | - | 4.0 |
| Material | Density (g/cm3) | Conductivity (S/m) | Aspect Ratio (-) |
|---|---|---|---|
| water | 1.0 | 5 × 10−2 | N/A |
| cement (powder) | 1.5 | 0.9–1.5 × 10−6 | N/A |
| G (powder) | 2.2 | 2–3 × 103 | ≈12 |
| MCMF | 1.8 | 4.3 × 104 | ≈80 |
| CCMF | 1.8 | 6.5 × 104 | ≈1000 |
| Mixture Type | Cement (g) | G (g) | G/c (%) | MCMF (g) | MCMF/c (%) | CCMF (g) | CCMF/c (%) | w/c (%) |
|---|---|---|---|---|---|---|---|---|
| 0G0CMF | 120 | - | - | - | - | - | - | 0.360 |
| 5G0CMF | 120 | 6 | - | - | - | - | - | 0.483 |
| 10G0CMF | 120 | 12 | - | - | - | - | - | 0.583 |
| 5G125M125CCMF | 120 | 6 | 5 | 0.15 | 0.125 | 0.15 | 0.125 | 0.483 |
| 5G250M125CCMF | 120 | 6 | 5 | 0.3 | 0.250 | 0.15 | 0.125 | 0.483 |
| 5G375M125CCMF | 120 | 6 | 5 | 0.45 | 0.375 | 0.15 | 0.125 | 0.483 |
| 5G500M125CCMF | 120 | 6 | 5 | 0.6 | 0.500 | 0.15 | 0.125 | 0.483 |
| 10G125M167CCMF | 120 | 12 | 10 | 0.15 | 0.125 | 0.2 | 0.167 | 0.583 |
| 10G250M167CCMF | 120 | 12 | 10 | 0.3 | 0.250 | 0.2 | 0.167 | 0.583 |
| 10G375M167CCMF | 120 | 12 | 10 | 0.45 | 0.375 | 0.2 | 0.167 | 0.583 |
| 10G500M167CCMF | 120 | 12 | 10 | 0.6 | 0.500 | 0.2 | 0.167 | 0.583 |
| Mix Design | (-) | (-) | (%) | SNR (dB) | (%) | MAE () | (%) |
|---|---|---|---|---|---|---|---|
| 0G0CMF | 22 | 2.4 | - | 1.83 | - | 7562 | - |
| 5G0CMF | 95 | 7.0 | - | 3.35 | - | 5251 | - |
| 10G0CMF | 181 | 13.52 | 193 | 7.49 | 124 | 3219 | 38 |
| 5G125M125CCMF | 301 | 8.16 | 217 | 9.93 | 196 | 2251 | 57 |
| 5G250M125CCMF | 331 | 11.44 | 248 | 10.85 | 224 | 2638 | 49 |
| 5G375M125CCMF | 356 | 24.99 | 274 | 12.65 | 277 | 1382 | 74 |
| 5G500M125CCMF | 382 | 9.74 | 302 | 16.22 | 384 | 3534 | 33 |
| 10G125M167CCMF | 387 | 13.56 | 307 | 11.68 | 249 | 1293 | 75 |
| 10G250M167CCMF | 550 | 12.25 | 480 | 19.19 | 473 | 721 | 86 |
| 10G375M167CCMF | 401 | 9.09 | 322 | 15.80 | 372 | 1639 | 69 |
| 10G500M167CCMF | 351 | 12.32 | 269 | 14.52 | 333 | 1004 | 81 |
| Mix Design | SNRstat (dB) | SNRdyn (dB) | ΔSNR (%) | MAE () | R2 (-) | (-) | (-) | 95% CI | () | |
|---|---|---|---|---|---|---|---|---|---|---|
| -FCR | res ( ) | |||||||||
| 1-strip—S1 | 7.71 | 8.06 | 4.54 | 212 | 0.98 | 664 | 621 | 0.017 | 28 | - |
| 1-strip—S2 | 8.95 | 9.10 | 1.68 | 224 | 0.97 | 629 | 579 | 0.020 | 35 | - |
| 1-strip—S3 | 9.07 | 10.4 | 14.88 | 249 | 0.99 | 601 | 551 | 0.018 | 39 | - |
| average | 8.58 | 9.19 | 7.04 | 228 | 0.98 | 631 | 583 | 0.018 | 34 | 5.56 |
| 2-strip—S1 | 10.02 | 11.4 | 13.67 | 219 | 0.97 | 596 | 542 | 0.018 | 40 | - |
| 2-strip—S2 | 9.83 | 10.6 | 7.93 | 132 | 0.98 | 581 | 509 | 0.022 | 44 | - |
| 2-strip—S3 | 8.65 | 9.58 | 10.75 | 244 | 0.97 | 536 | 481 | 0.021 | 50 | - |
| average | 9.50 | 10.74 | 14.3 | 198 | 0.98 | 571 | 510 | 0.020 | 44 | 5.03 |
| 3-strip—S1 | 8.08 | 8.72 | 7.92 | 106 | 0.98 | 686 | 652 | 0.025 | 39 | - |
| 3-strip—S2 | 7.34 | 8.21 | 11.85 | 242 | 0.97 | 701 | 658 | 0.028 | 43 | - |
| 3-strip—S3 | 8.51 | 9.82 | 15.39 | 206 | 0.96 | 621 | 580 | 0.029 | 58 | - |
| average | 7.98 | 8.91 | 11.7 | 185 | 0.97 | 669 | 630 | 0.027 | 46 | 10.0 |
Disclaimer/Publisher’s Note: The statements, opinions and data contained in all publications are solely those of the individual author(s) and contributor(s) and not of MDPI and/or the editor(s). MDPI and/or the editor(s) disclaim responsibility for any injury to people or property resulting from any ideas, methods, instructions or products referred to in the content. |
© 2025 by the authors. Licensee MDPI, Basel, Switzerland. This article is an open access article distributed under the terms and conditions of the Creative Commons Attribution (CC BY) license (https://creativecommons.org/licenses/by/4.0/).
Share and Cite
Liu, H.; Sousa, I.; Laflamme, S.; Doyle, S.E.; D’Alessandro, A.; Ubertini, F. Embedment of 3D Printed Self-Sensing Composites for Smart Cementitious Components. Sensors 2025, 25, 6005. https://doi.org/10.3390/s25196005
Liu H, Sousa I, Laflamme S, Doyle SE, D’Alessandro A, Ubertini F. Embedment of 3D Printed Self-Sensing Composites for Smart Cementitious Components. Sensors. 2025; 25(19):6005. https://doi.org/10.3390/s25196005
Chicago/Turabian StyleLiu, Han, Israel Sousa, Simon Laflamme, Shelby E. Doyle, Antonella D’Alessandro, and Filippo Ubertini. 2025. "Embedment of 3D Printed Self-Sensing Composites for Smart Cementitious Components" Sensors 25, no. 19: 6005. https://doi.org/10.3390/s25196005
APA StyleLiu, H., Sousa, I., Laflamme, S., Doyle, S. E., D’Alessandro, A., & Ubertini, F. (2025). Embedment of 3D Printed Self-Sensing Composites for Smart Cementitious Components. Sensors, 25(19), 6005. https://doi.org/10.3390/s25196005

