Evolution of Physiological Responses and Fatigue Analysis in Padel Matches According to Match Outcome and Playing Position
Abstract
1. Introduction
2. Materials and Methods
2.1. Participants
2.2. Procedure
2.3. Measurements
2.4. Statistical Analysis
3. Results
3.1. Physiological Responses by Match Outcome and Playing Position
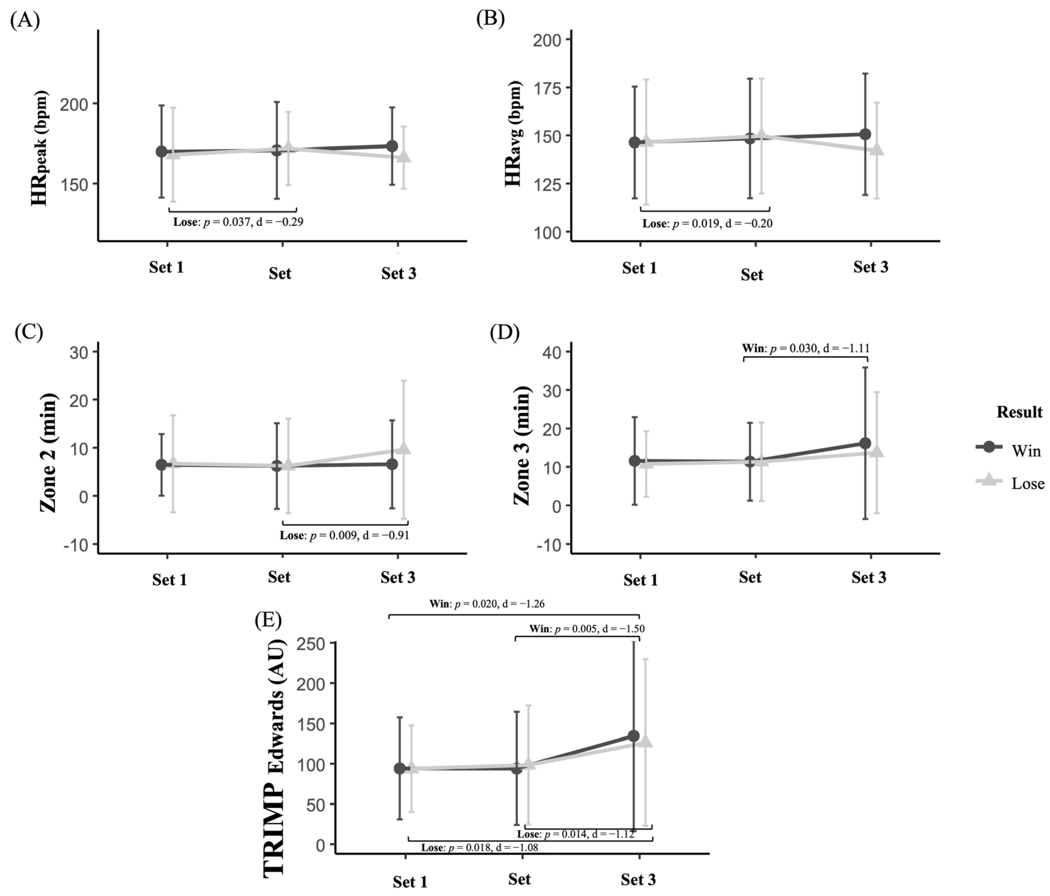
3.2. Physiological Evolution by Match Outcome
3.3. Physiological Evolution by Playing Position
3.4. Neuromuscular Responses by Match Outcome and Playing Position
3.5. Neuromuscular Evolution by Match Outcome and Playing Position
4. Discussion
4.1. Differences in Physiological Responses Based on Playing Position and Match Outcome
4.2. Evolution of Physiological Responses Across Different Sets of the Match
4.3. Neuromuscular Fatigue According to Playing Position and Match Outcome
5. Conclusions
Author Contributions
Funding
Institutional Review Board Statement
Informed Consent Statement
Data Availability Statement
Conflicts of Interest
Abbreviations
| %HRmean | Percentage of the Average Heart Rate Relative to the Peak Heart Rate |
| AU | Arbitrary Units |
| CMJ | Countermovement Jump |
| ES | Effect Size |
| HRavg | Average Heart Rate |
| HRpeak | Peak Heart Rate |
| LS | Left Side |
| RS | Right Side |
| S1 | Set 1 |
| S2 | Set 2 |
| S3 | Set 3 |
| T0 | Pre-Match Time Point |
| T1 | Post-Set 1 Time Point |
| T2 | Post-Set 2 Time Point |
| T3 | Post-Set 3 Time Point |
| TRIMPEdwards | Training Impulse by Edwards |
| Z1 | Heart Rate Zone 1 (<75% HRpeak) |
| Z2 | Heart Rate Zone 2 (75–85% HRpeak) |
| Z3 | Heart Rate Zone 3 (85–95% HRpeak) |
| Z4 | Heart Rate Zone 4 (>95% HRpeak) |
References
- Mellado-Arbelo, O.; Baiget, E. Activity profile and physiological demand of padel match play. A systematic review. Kinesiology 2022, 54, 51–61. [Google Scholar] [CrossRef]
- Priego Quesada, J.I.; Sanchis Almenara, M.; Kerr, Z.Y.; Al-cantara, E. Examination of the risk factors associated with injured recreational padel players in Spain. J. Sports Med. Phys. Fit. 2018, 58, 98–105. [Google Scholar] [CrossRef]
- Cifuentes Marín, J.B.; Bluas Carrillo, M.A.; Ibar Avilés, M.N. Requerimientos de rendimiento e incidencia lesional del pádel: Una revisión narrativa. Pensar Mov. Rev. Cienc. Ejerc. Salud 2024, 22, 9. [Google Scholar] [CrossRef]
- Federation, I.P.; List of Countries Associated with the International Padel Federation. International Padel Federation. 2024. Available online: https://www.padelfip.com/es/federaciones/ (accessed on 1 March 2025).
- Martín-Miguel, I.; Escudero-Tena, A.; Muñoz, D.; Sánchez-Alcaraz, B.J. Performance Analysis in Padel: A Systematic Review. J. Hum. Kinet. 2023, 89, 213–230. [Google Scholar] [CrossRef] [PubMed]
- Miralles, R.; Martínez-Gallego, R.; Guzmán, J.; Ramón-Llin, J. Movement patterns and player load: Insights from professional padel. Biol. Sport 2025, 42, 163–169. [Google Scholar] [CrossRef] [PubMed]
- Miralles, R.; Guzmán, J.F.; Ramón-Llin, J.; Martínez-Gallego, R. Impact of Playing Position on Competition External Load in Professional Padel Players Using Inertial Devices. Sensors 2025, 25, 800. [Google Scholar] [CrossRef]
- Villafaina, S.; Fuentes-García, J.P.; Fernandes, O.; Muñoz, D.; Batalha, N.; Parraca, J.A. The impact of winning or losing a padel match on heart rate variability. Int. J. Sports Sci. Coach. 2024, 19, 1296–1305. [Google Scholar] [CrossRef]
- Pageaux, B.; Lepers, R. Fatigue Induced by Physical and Mental Exertion Increases Perception of Effort and Impairs Subsequent Endurance Performance. Front. Physiol. 2016, 7, 587. [Google Scholar] [CrossRef]
- Gandevia, S.C. Spinal and supraspinal factors in human muscle fatigue. Physiol. Rev. 2001, 81, 1725–1789. [Google Scholar] [CrossRef]
- Alba-Jiménez, C.; Moreno-Doutres, D.; Peña, J. Trends Assessing Neuromuscular Fatigue in Team Sports: A Narrative Review. Sports 2022, 10, 33. [Google Scholar] [CrossRef]
- Carnero-Diaz, Á.; Nuñez-González, J.L.; Fernández-DE-Ossó-Fuentes, A.I.; Pecci, J. Influence of competitive padel matches on physical fitness and perceptual responses in high-level players. J. Sports Med. Phys. Fit. 2024, 64, 1288–1293. [Google Scholar] [CrossRef]
- Cabarkapa, D.V.; Cabarkapa, D.; Whiting, S.M.; Fry, A.C. Fatigue-Induced Neuromuscular Performance Changes in Professional Male Volleyball Players. Sports 2023, 11, 120. [Google Scholar] [CrossRef]
- Picabea, J.M.; Cámara, J.; Yanci, J. Heart Rate Response, Temporal Structure and the Stroke Technique Distribution in Table Tennis National Category Matches. Int. J. Environ. Res. Public Health 2022, 20, 739. [Google Scholar] [CrossRef]
- Bustamante-Sánchez, Á.; Agúndez de San Sebastián, A.; Padilla-Crespo, A. El set disputado influye en la variabilidad de la frecuencia cardiaca en jugadores de pádel de élite: The set played influences the heart rate variability in elite padel players. Padel Sci. J. 2024, 2, 139–150. [Google Scholar] [CrossRef]
- World Medical Association. World Medical Association Declaration of Helsinki: Ethical Principles for Medical Research Involving Human Participants. JAMA 2025, 333, 71–74. [Google Scholar] [CrossRef]
- Rodríguez-Rosell, D.; Mora-Custodio, R.; Franco-Márquez, F.; Yáñez-García, J.M.; González-Badillo, J.J. Traditional vs. sport-specific vertical jump tests: Reliability, validity, and relationship with the legs strength and sprint performance in adult and teen soccer and basketball players. J. Strength Cond. Res. 2017, 31, 196–206. [Google Scholar] [CrossRef]
- Kozinc, Ž.; Žitnik, J.; Smajla, D.; Šarabon, N. The difference between squat jump and countermovement jump in 770 male and female participants from different sports. Eur. J. Sport Sci. 2022, 22, 985–993. [Google Scholar] [CrossRef]
- Roldan, A.; Henríquez, M.; Iturricastillo, A.; Castillo, D.; Yanci, J.; Reina, R. To What Degree Does Limb Spasticity Affect Motor Performance in Para-Footballers With Cerebral Palsy. Front. Physiol. 2022, 12, 807853. [Google Scholar] [CrossRef]
- Sánchez-Muñoz, C.; Muros, J.J.; Cañas, J.; Courel-Ibáñez, J.; Sánchez-Alcaraz, B.J.; Zabala, M. Anthropometric and Physical Fitness Profiles of World-Class Male Padel Players. Int. J. Environ. Res. Public Health 2020, 17, 508. [Google Scholar] [CrossRef] [PubMed]
- Parraca, J.A.; Alegrete, J.; Villafaina, S.; Batalha, N.; Fuentes-García, J.P.; Muñoz, D.; Fernandes, O. Heart Rate Variability Monitoring during a Padel Match. Int. J. Environ. Res. Public Health 2022, 19, 3623. [Google Scholar] [CrossRef] [PubMed]
- Ascondo, J.; Iturricastillo, A.; Granados, C.; Fernandez-Lasa, U.; Romaratezabala, E.; Yanci, J. Neuromuscular Fatigue after Small-Sided Games in Wheelchair Basketball Players with and without Spinal Cord Injury. Res. Q. Exerc. Sport 2024, 95, 519–528. [Google Scholar] [CrossRef] [PubMed]
- Iturricastillo, A.; Yanci, J.; Los Arcos, A.; Granados, C. Physiological responses between players with and without spinal cord injury in wheelchair basketball small-sided games. Spinal Cord 2016, 54, 1152–1157. [Google Scholar] [CrossRef] [PubMed]
- Edwards, S. High Performance Training and Racing. In The Heart Rate Monitor Book; Edwards, S., Ed.; Heart Zones Company: Sacramento, CA, USA, 1993; pp. 113–123. [Google Scholar]
- Iturricastillo, A.; Granados, C.; Los Arcos, A.; Yanci, J. Objective and subjective methods for quantifying training load in wheelchair basketball small-sided games. J. Sports Sci. 2016, 35, 749–755. [Google Scholar] [CrossRef]
- Vermeire, K.M.; Van de Casteele, F.; Gosseries, M.; Bourgois, J.G.; Ghijs, M.; Boone, J. The Influence of Different Training Load Quantification Methods on the Fitness-Fatigue Model. Int. J. Sports Physiol. Perform. 2021, 16, 1261–1269. [Google Scholar] [CrossRef]
- Cohen, J. Statistical Power Analysis for the Behavioral Sciences (2. Auflage); Erlbaum: Hillsdale, MI, USA, 1988. [Google Scholar]
- López-Martín, E.; Ardura, D. The effect size in scientific publication. Educ. XX1 2023, 26, 9–17. [Google Scholar] [CrossRef]
- Pino, J.; Molina, I. Revisión sobre los sistemas tecnológicos empleados en detectar y registrar la frecuencia cardiaca en deporte. E-Balonmanocom J. Sport Sci. 2013, 9, 91–104. [Google Scholar]
- Roldán-Márquez, R.; Onetti-Onetti, W.; Alvero-Cruz, J.R.; Castillo-Rodríguez, A. Win or lose. Physical and physiological responses in paddle tennis competition according to the game result. Int. J. Perform. Anal. Sport 2022, 22, 479–490. [Google Scholar] [CrossRef]
- Amatori, S.; Gobbi, E.; Moriondo, G.; Gervasi, M.; Sisti, D.; Rocchi, M.B.; Perroni, F. Effects of a Tennis Match on Perceived Fatigue, Jump and Sprint Performances on Recreational Players. Open Sports Sci. J. 2020, 13, 54–59. [Google Scholar] [CrossRef]
- Armstrong, C.; Reid, M.; Beale, C.; Girard, O. A Comparison of Match Load Between Padel and Singles and Doubles Tennis. Int. J. Sports Physiol. Perform. 2023, 18, 512–522. [Google Scholar] [CrossRef] [PubMed]
- Fischer, J.; Paternoster, F.K. Post-Activation-Performance Enhancement: Possible Contributing Factors. J. Sports Sci. Med. 2024, 23, 34–45. [Google Scholar] [CrossRef]
- Sun, S.; Yu, Y.; Niu, Y.; Ren, M.; Wang, J.; Zhang, M. Post-activation performance enhancement of flywheel and traditional squats on vertical jump under individualized recovery time. Front. Physiol. 2024, 15, 1443899. [Google Scholar] [CrossRef] [PubMed]
- Ashtiani, F.; Sreedhara, V.S.M.; Vahidi, A.; Hutchison, R.; Mocko, G. Experimental Modeling of Cyclists Fatigue and Recovery Dynamics Enabling Optimal Pacing in a Time Trial. In Proceedings of the 2019 American Control Conference (ACC), Philadelphia, PA, USA, 10–12 July 2019; pp. 1–6. [Google Scholar] [CrossRef]
- Marqués, D.; Calleja, J.; Arratibel, I.; Terados, N. Fatiga y daño muscular en fútbol: Un proceso complejo. Rev. Prep. Fís. Fútb. 2016, 21, 19–29. [Google Scholar]
- Ramón-Llin, J.; Sánchez-Alcaraz, B.J.; Sánchez-Pay, A.; Guzmán, J.F.; Martínez-Gallego, R.; Muñoz, D. Influencia de la lateralidad y el lado de juego de los jugadores de pádel de alto nivel en parámetros técnico-tácticos (Influence of hand-dominance and the game side on technique and tactical parameters in high-level padel). Cult. Cienc. Deporte 2021, 16, 2. [Google Scholar] [CrossRef]




| HRpeak (bpm) | HRavg (bpm) | %HRmean | Z1 (min) | Z2 (min) | Z3 (min) | Z4 (min) | TRIMPEdwards (AU) | ||
|---|---|---|---|---|---|---|---|---|---|
| Match outcome | |||||||||
| Whole match | Win (n = 26) | 173.00 ± 14.28 | 147.42 ± 15.46 | 85.11 ± 3.74 | 6.12 ± 7.48 | 18.28 ± 7.43 | 29.69 ± 13.32 | 5.42 ± 5.74 | 242.29 ± 74.87 |
| Lose (n = 26) | 174.69 ± 10.64 | 147.71 ± 14.51 | 84.41 ± 4.08 | 8.53 ± 7.96 | 21.05 ± 11.56 | 28.13 ± 12.15 | 4.37 ± 3.14 | 249.93 ± 64.26 | |
| ES Win vs. Lose | 0.02 | −0.13 | 0.18 | −0.21 | −0.28 | 0.07 | 0.06 | −0.07 | |
| Set 1 (S1) | Win (n = 26) | 169.92 ± 14.37 | 146.35 ± 14.54 | 86.09 ± 3.69 | 1.44 ± 1.54 | 6.44 ± 3.20 | 11.57 ± 5.70 | 2.54 ± 1.80 | 94.13 ± 31.60 |
| Lose (n = 26) | 168.00 ± 14.66 | 146.46 ± 16.25 | 87.07 ± 4.09 | 2.00 ± 2.60 | 6.67 ± 5.04 | 10.76 ± 4.26 | 2.87 ± 1.59 | 93.82 ± 26.87 | |
| ES Win vs. Lose | −0,01 | −0.07 | −0.14 | −0.07 | 0.08 | 0.07 | −0.18 | 0.19 | |
| Set 2 (S2) | Win (n = 26) | 170.65 ± 15.10 | 148.36 ± 15.52 | 86.85 ± 3.13 | 1.59 ± 2.93 | 6.19 ± 4.45 | 11.36 ± 5.06 | 2.94 ± 2.04 | 94.09 ± 35.08 |
| Lose (n = 26) | 171.81 ± 11.41 | 149.63 ± 14.90 | 86.96 ± 4.27 | 2.00 ± 2.41 | 6.22 ± 4.91 | 11.34 ± 5.11 | 3.59 ± 3.00 | 98.35 ± 36.91 | |
| ES Win vs. Lose | −0.16 | −0.07 | −0.03 | −0.14 | −0.08 | −0.03 | −0.06 | −0.041 | |
| Set 3 (S3) | Win (n = 13) | 173.33 ± 12.06 | 150.56 ± 15.76 | 86.77 ± 5.29 | 2.75 ± 3.89 | 6.56 ± 4.57 | 16.16 ± 9.84 | 5.78 ± 6.59 | 134.56 ± 59.17 |
| Lose (n = 13) | 166.14 ± 9.69 | 142.13 ± 12.45 | 85.50 ± 4.81 | 3.85 ± 5.41 | 9.60 ± 7.18 | 13.71 ± 7.86 | 3.61 ± 2.99 | 126.14 ± 51.63 | |
| ES Win vs. Lose | 0.66 | 0.60 | 0.53 | −0.03 | −0.49 | 0.28 | 0.19 | 0.39 | |
| Playing position | |||||||||
| Whole match | RS (n = 26) | 172± 11.75 | 146.51 ± 15.59 | 84.55 ± 4.55 | 8.85 ± 9.81 | 21.68 ± 11.05 | 28.61 ± 13.39 | 5.53 ± 6.03 | 257.09 ± 66.61 |
| LS (n = 26) | 174.73 ± 13.38 | 148.62 ± 14.29 | 84.97 ± 3.17 | 5.81 ± 4.60 | 17.64 ± 7.89 | 29.21 ± 12.12 | 4.26 ± 2.49 | 235.13 ± 71.26 | |
| ES RS vs. LS | −0.18 | −0.10 | −0.11 | 0.03 | 0.42 | −0.04 | −0.02 | 0.18 | |
| Set 1 (S1) | RS (n = 26) | 168.88 ± 12.86 | 145.90 ± 15.32 | 86.29 ± 4.81 | 2.02 ± 2.64 | 7.78 ± 5.10 | 10.69 ± 4.23 | 2.71 ± 1.91 | 96.81 ± 29.67 |
| LS (n = 26) | 169.04 ± 16.06 | 146.92 ± 15.50 | 86.86 ± 2.74 | 1.42 ± 1.39 | 5.32 ± 2.55 | 11.65 ± 5.71 | 2.69 ± 1.48 | 91.15 ± 28.70 | |
| ES RS vs. LS | −0.13 | −0.01 | −0.15 | 0.06 | −0.06 | −0.04 | −0.19 | 0.28 | |
| Set 2 (S2) | RS (n = 26) | 170.19 ± 13.16 | 148.46 ± 15.74 | 87.08 ± 3.85 | 1.89 ± 3.32 | 6.03 ± 4.93 | 11.28 ± 4.74 | 3.24 ± 2.51 | 95.48 ± 33.88 |
| LS (n = 26) | 172.27 ± 13.54 | 149.53 ± 14.68 | 86.73 ± 3.63 | 1.71 ± 1.85 | 6.38 ± 4.43 | 11.41 ± 5.41 | 3.29 ± 2.66 | 96.96 ± 38.12 | |
| ES RS vs. LS | −0.13 | −0.07 | 0.10 | −0.15 | −0.01 | 0.01 | −0.02 | −0.12 | |
| Set 3 (S3) | RS (n = 13) | 166.69 ± 11.65 | 142.30 ± 16.81 | 85.23 ± 5.99 | 4.62 ± 6.04 | 9.58 ± 6.14 | 14.57 ± 9.74 | 4.82 ± 6.05 | 137.63 ± 51.05 |
| LS (n = 13) | 172.23 ± 10.51 | 149.74 ± 11.00 | 86.95 ± 3.76 | 2.01 ± 2.31 | 6.81 ± 6.26 | 15.04 ± 7.82 | 4.31 ± 3.62 | 121.54 ± 58.23 | |
| ES RS vs. LS | −0.30 | −0.52 | −0.34 | −0.23 | −0.49 | 0.28 | −0.11 | 0.39 | |
| T0 | T1 | T2 | T3 | ||
|---|---|---|---|---|---|
| Match outcome (Win or Lose) | |||||
| CMJ | Win | 31.13 ± 5.91 | 37.02 ± 7.13 | 36.26 ± 7.79 | 36.68 ± 7.59 |
| Lose | 29.67 ± 5.57 | 34.93 ± 5.68 | 34.76 ± 5.28 | 34.99 ± 5.06 | |
| ES Win vs. Lose | 0.26 | 0.33 | 0.23 | 0.27 | |
| Handgrip | Win | 55.2 ± 8.7 | 53.5 ± 9.1 | 53.7 ± 10.2 | 51.8 ± 8.6 |
| Lose | 52.3 ± 9.5 | 49.1 ± 9.3 | 50.0 ± 10.8 | 51.0 | |
| ES Win vs. Lose | 0.32 | 0.48 | 0.35 | 0.08 | |
| Playing position (RS or LS) | |||||
| CMJ | RS | 31.40 ± 6.49 | 36.95 ± 6.86 | 36.08 ± 7.13 | 35.81 ± 6.03 |
| LS | 29.40 ± 4.78 | 35.00 ± 6.02 | 34.94 ± 6.19 | 35.66 ± 6.71 | |
| ES RS vs. LS | 0.35 | 0.30 | 0.17 | 0.02 | |
| Handgrip | RS | 52.11 ± 7.48 | 48.10 ± 7.51 | 48.85 ± 10.14 | 50.36 ± 10.22 |
| LS | 55.35 ± 10.47 | 54.51 ± 10.03 | 54.88 ± 10.30 | 52.47 ± 8.10 | |
| ES RS vs. LS | −0.36 | −0.72 * | −0.59 * | −0.23 | |
Disclaimer/Publisher’s Note: The statements, opinions and data contained in all publications are solely those of the individual author(s) and contributor(s) and not of MDPI and/or the editor(s). MDPI and/or the editor(s) disclaim responsibility for any injury to people or property resulting from any ideas, methods, instructions or products referred to in the content. |
© 2025 by the authors. Licensee MDPI, Basel, Switzerland. This article is an open access article distributed under the terms and conditions of the Creative Commons Attribution (CC BY) license (https://creativecommons.org/licenses/by/4.0/).
Share and Cite
Marcos-Rivero, B.; Yanci, J.; Granados, C.; Picabea, J.M.; Ascondo, J. Evolution of Physiological Responses and Fatigue Analysis in Padel Matches According to Match Outcome and Playing Position. Sensors 2025, 25, 5240. https://doi.org/10.3390/s25175240
Marcos-Rivero B, Yanci J, Granados C, Picabea JM, Ascondo J. Evolution of Physiological Responses and Fatigue Analysis in Padel Matches According to Match Outcome and Playing Position. Sensors. 2025; 25(17):5240. https://doi.org/10.3390/s25175240
Chicago/Turabian StyleMarcos-Rivero, Bingen, Javier Yanci, Cristina Granados, Jon Mikel Picabea, and Josu Ascondo. 2025. "Evolution of Physiological Responses and Fatigue Analysis in Padel Matches According to Match Outcome and Playing Position" Sensors 25, no. 17: 5240. https://doi.org/10.3390/s25175240
APA StyleMarcos-Rivero, B., Yanci, J., Granados, C., Picabea, J. M., & Ascondo, J. (2025). Evolution of Physiological Responses and Fatigue Analysis in Padel Matches According to Match Outcome and Playing Position. Sensors, 25(17), 5240. https://doi.org/10.3390/s25175240

