Modeling Radiofrequency Electromagnetic Field Wearable Distributed (Multi-Location) Measurements System for Evaluating Electromagnetic Hazards in the Work Environment
Abstract
Highlights
- The appropriate use of a distributed (multi-location) wearable measurement system may significantly improve the quality of exposure evaluation, i.e., reduce discrepancies between the values of the unperturbed radiofrequency (RF) electromagnetic field (EMF), which is considered in the standardized procedure of evaluating workers’ EMF exposure, and EMF measured by wearable equipment, which is impacted by the proximity of the body of worker wearing this equipment.
- It was confirmed that the helmet, which is mandatory in many work environments, is a potential location of EMF prob in such of distributed measurement system.
- Distributed wearable EMF measurement systems may allow the autonomous evaluation of workers’ exposure to RF EMF without continuous supervision of shift-long measurements by personnel responsible for evaluating this exposure, while maintaining a quality sufficient for the exposure evaluation required by labor law.
- Using the helmet routinely worn by workers, adapted to carry an EMF-sensitive probe and other electronics of the distributed measurement system, would not unduly increase the worker’s load, unlike another additional (not routine) outfit supporting EMF probes, which would need to be carried by anyone whose EMF exposure is evaluated.
Abstract
1. Introduction
1.1. Sources of Environmental Radiofrequency EMF Exposure
1.2. Measurements of EMF Exposure
1.3. On-Body Data Loggers in EMF Monitoring
1.4. The Aim of the Study
2. Materials and Methods
2.1. Virtual Measurements
2.2. Physical Measurements Using Multi-Location On-Body RF EMF Measurements System
3. Results and Discussion
3.1. Single Location On-Body RF-EMF Exposure Evaluation (Virtual Measurements)
3.2. Multi-Location On-Body RF EMF Exposure Evaluation (Virtual Measurements)
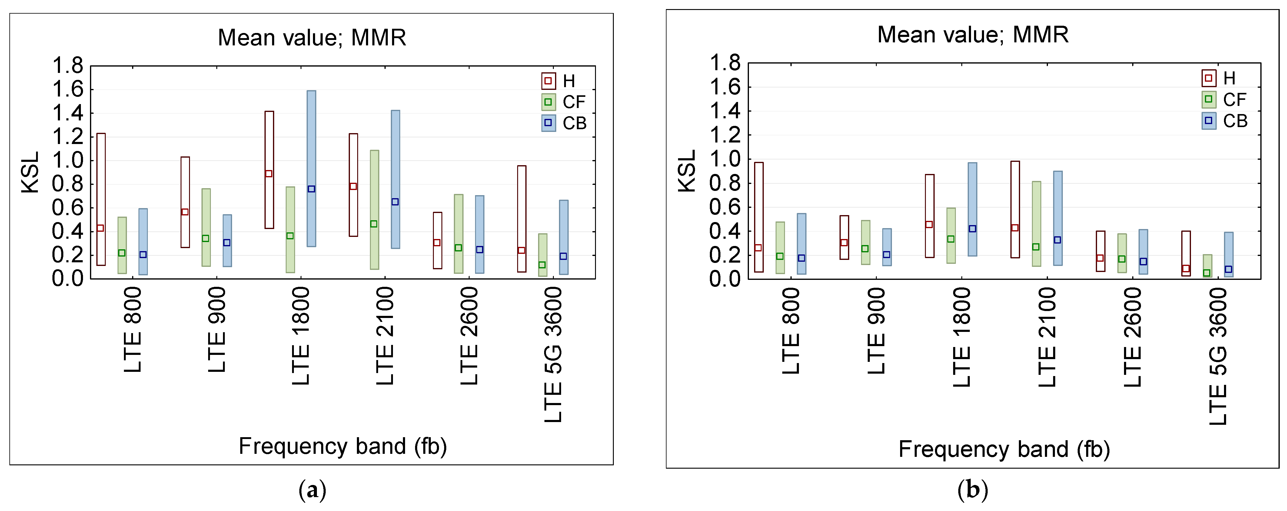
3.3. Multi-Location On-Body RF EMF Exposure Evaluation (Physical Measurements)
3.4. Distributed Measurement System Design
- -
- distributed measurement system composed of 3 autonomous (battery supplied) omnidirectional probes sensitive to E-field at relevant frequency bands
- -
- autonomous data logger ensuring the synchronised sampling of RMS E-field strength from all probes, with at least 1 Hz sampling frequency and sampling synchronization better than 10% of sampling rate
- -
- wireless communication between data logger and probes (to avoid safety hazards caused by cables connections of the measurements system components) or autonomous data logger in each probe
- -
- the weight and dimensions of data logger and probes low enough to allow data-logger and probe#1 to be fixed into the regular helmet required to be used by worker in many work environments (or “measurement-helmet” structure designed to be the core of the distributed measurements system and used by worker instead of the regular one)
- -
- the minimum capacity for the supplying system ensuring at least a shift-long autonomous measurement duration
- -
- the shape, size and weights of probes#2 and #3 suitable to carry (wear) them in the locations discussed in this paper, e.g., in pockets of workers’ clothing (such as pockets of the special “measurement-vest”)
- -
4. Conclusions
Author Contributions
Funding
Institutional Review Board Statement
Informed Consent Statement
Data Availability Statement
Conflicts of Interest
Abbreviations
| CW | Continuous Wave |
| DAB | Digital Audio Broadcasting |
| DL | Downlink |
| DVB-T | Digital Video Broadcasting-Terrestrial |
| FDD | Frequency Division Duplex |
| GTEM | Gigahertz Transverse Electromagnetic Mode |
| IoT | Internet of Things |
| LTE | Long Term Evolution |
| MMR | Minimum to Maximum Range |
| PEM | Personal Exposure Meter |
| RF EMF | Radiofrequency Electromagnetic Field |
| RFID | Radiofrequency Identification |
| RMS | Root Mean Square |
| SAR | Specific Absorption Rate |
| TETRA | Terrestrial Trunked Radio |
| TDD | Time Division Duplex |
| UL | Uplink |
| Wi–Fi | Wireless Fidelity |
| WiMAX | Worldwide Interoperability for Microwave Access |
| WLAN | Wireless Local Area Network |
References
- Karpowicz, J.; Simunic, D.; Gryz, K. Can electromagnetic field exposure caused by mobile communication systems in a public environment be counted as dominant? In Mobile Communication and Public Health, 1st ed.; Markov, M., Ed.; CRC Press: Boca Raton, FL, USA, 2018; pp. 101–127. [Google Scholar] [CrossRef]
- Institut Luxembourgeois de la Normalisation, de l‘Accréditation, de la Sécurité et Qualité des Produits et Service (ILNAS). White Paper, Internet of Things (IoT), Technology, Economic View and Technical Standardization, 1st ed.; ILNAS: Luxembourg, 2018; Available online: https://portail-qualite.public.lu/dam-assets/publications/normalisation/2018/white-paper-iot-july-2018.pdf (accessed on 10 July 2025).
- Saleem, H.; Zamin Ali Khan, M.Z.; Afzal, S. Review of Various Aspects of Radio Frequency Identification (RFID) Technology. IOSR J Comput. Eng. 2012, 8, 1–6. [Google Scholar] [CrossRef]
- Cisco Systems, Inc. Chapter 3. WLAN Radio Frequency Design Considerations. In Enterprise Mobility 3.0 Design Guide; Cisco Systems, Inc.: San Jose, CA, USA, 2007; Volume 3.1–3.36. [Google Scholar]
- TS 122 261 V18.16.0 (2025-01); Service Requirements for the 5G System (3GPP TS 22.261 Version 18.16.0 Release 18). ETSI: Sophia Antipolis, France, 2017.
- Urząd Kontroli Elektronicznej. Plany Zagospodarowania Częstotliwości [Office of Electronic Communications. Frequency Development Plans]. Available online: https://bip.uke.gov.pl/plany-zagospodarowania-czestotliwosci/ (accessed on 10 June 2025).
- Scientific Committee on Emerging and Newly Identified Health Risks (SCENIHR). Opinion on Potential Health Effects of Exposure to Electromagnetic Fields (EMF); European Commission: Luxembourg, 2015; Available online: https://ec.europa.eu/health/scientific_committees/emerging/docs/scenihr_o_041.pdf (accessed on 10 June 2025).
- Publications Office of the European Union. Directive 2013/35/EU of the European Parliament and of the Council of 26 June 2013 on the minimum health and safety requirements regarding the exposure of workers to the risks arising from physical agents (electromagnetic fields) (20th individual Directive within the meaning of Article 16(1) of Directive 89/391/EEC) and repealing Directive 2004/40/EC. Off. J. Eur. Union 2013, L 179/1, 1–21. [Google Scholar]
- Publications Office of the European Union. Council of the European Union Recommendation of 12 July 1999 on the limitation of exposure of the general public to electromagnetic fields (0 to 300 GHz), 1999/519/EC. Off. J. Eur. Communities 1999, L 199, 59–70. [Google Scholar]
- Ramirez-Vazquez, R.; Escobar, I.; Vandenbosch, G.A.E.; Arribas, E. Personal exposure to radiofrequency electromagnetic fields: A comparative analysis of international, national, and regional guidelines. Environ. Res. 2024, 246, 118124. [Google Scholar] [CrossRef] [PubMed]
- International Commission on Non-Ionizing Radiation Protection (ICNIRP). Guidelines for limiting exposure to time-varying electric, Magnetic, and electromagnetic fields (up to 300 GHz). Health Phys. 1998, 74, 494–522. [Google Scholar]
- International Commission on Non-Ionizing Radiation Protection (ICNIRP). Guidelines for limiting exposure to time-varying electric and magnetic fields (1 Hz–100 kHz). Health Phys. 2010, 99, 818–836. [Google Scholar] [CrossRef] [PubMed]
- International Commission on Non-Ionizing Radiation Protection (ICNIRP). Guidelines for limiting exposure to electromagnetic fields (100 kHz to 300 GHz). Health Phys. 2020, 118, 483–524. [Google Scholar] [CrossRef] [PubMed]
- C95.1-2019; IEEE Standard for Safety Levels with Respect to Human Exposure to Electric, Magnetic, and Electromagnetic Fields, 0 Hz to 300 GHz. IEEE: New York, NY, USA, 2019.
- EN 50413: 2019; Basic Standard on Measurement and Calculation Procedures for Human Exposure to Electric, Magnetic and Electromagnetic Fields (0 Hz–300 GHz). CENELEC: Brussels, Belgium, 2019.
- Ramirez-Vazquez, R.; Escobar, I.; Thielens, A.; Vandenbosch, G.A.E.; Caceres-Monllor, D.A.; Arribas, E. Measurement studies of personal exposure to radiofrequency electromagnetic fields: A systematic review. Environ. Res. 2023, 218, 114979. [Google Scholar] [CrossRef] [PubMed]
- Ramirez-Vazquez, R.; Escobar, I.; Arribas, E.; Vandenbosch, G.A.E. Systematic Review of Exposure Studies to Radiofrequency Electromagnetic Fields: Spot Measurements and Mixed Methodologies. Appl. Sci. 2024, 14, 11161. [Google Scholar] [CrossRef]
- Bhatt, C.R.; Henderson, S.; Brzozek, C.; Benke, G. Instruments to measure environmental and personal radiofrequency-electromagnetic field exposures: An update. Phys. Eng. Sci. Med. 2022, 45, 687–704. [Google Scholar] [CrossRef] [PubMed]
- Narda Safety Test Solutions. EMF-Personal Monitor. Available online: https://www.narda-sts.com/en/products/emf-personal-monitor/ (accessed on 10 June 2025).
- WaveMon–Personal EMF monitor. Available online: https://www.wavecontrol.com/emf-products/personal-monitor/ (accessed on 10 June 2025).
- Microwave Vision Group. Products & Services. RF Safety. Available online: https://www.mvg-world.com/en/products/rf-safety (accessed on 10 June 2025).
- Fields at Work. Products. Available online: https://fieldsatwork.ch/products/ (accessed on 10 June 2025).
- Aminzadeh, R.; Thielens, A.; Agneessens, S.; Van Torre, P.; Van den Bossche, M.; Dongus, S.; Eeftens, M.; Huss, A.; Vermeulen, R.; de Seze, R.; et al. A Multi-Band Body-Worn Distributed Radio-Frequency Exposure Meter: Design, On-Body Calibration and Study of Body Morphology. Sensors 2018, 18, 272. [Google Scholar] [CrossRef] [PubMed]
- Aminzadeh, R.; Thielens, A.; Gaillot, D.P.; Liénard, M.; Koné, L.; Agneessens, S.; Van Torre, P.; Van den Bossche, M.; Verloock, L.; Dongus, S.; et al. A Multi-Band Body-Worn Distributed Exposure Meter for Personal Radio-Frequency Dosimetry in Diffuse Indoor Environments. IEEE Sens. J. 2019, 19, 6927–6937. [Google Scholar] [CrossRef]
- Huss, A.; Dongus, S.; Aminzadeh, R.; Thielens, A.; Van den Bossche, M.; Van Torre, P.; de Seze, R.; Cardis, E.; Eeftens, M.; Joseph, W.; et al. Exposure to radiofrequency electromagnetic fields: Comparison of exposimeters with a novel body-worn distributed meter. Environ. Int. 2021, 156, 106711. [Google Scholar] [CrossRef] [PubMed]
- Thielens, A.; Vanveerdeghem, P.; Van Torre, P.; Gängler, S.; Röösli, M.; Rogier, H.; Martens, L.; Joseph, W. A Personal, Distributed Exposimeter: Procedure for Design, Calibration, Validation, and Application. Sensors 2016, 16, 180. [Google Scholar] [CrossRef] [PubMed]
- Gryz, K.; Zradziński, P.; Karpowicz, J. The role of the location of personal exposimeters on the human body in their use for assessing exposure to electromagnetic field in the radiofrequency range 98–2450 MHz and compliance analysis–Evaluation by virtual measurements. BioMed Res. Int. 2015, 2015, 272460. [Google Scholar] [CrossRef] [PubMed]
- Bhatt, C.R.; Thielens, A.; Billah, B.; Redmayne, M.; Abramson, M.J.; Sim, M.R.; Vermeulen, R.; Martens, L.; Joseph, W.; Benke, G. Assessment of personal exposure from radiofrequency-electromagnetic fields in Australia and Belgium using on-body calibrated exposimeters. Environ. Res. 2016, 151, 547–563. [Google Scholar] [CrossRef] [PubMed]
- Ramirez-Vazquez, R.; Escobar, I.; Thielens, A.; Arribas, E. Measurements and Analysis of Personal Exposure to Radiofrequency Electromagnetic Fields at Outdoor and Indoor School Buildings: A Case Study at a Spanish School. IEEE Access 2020, 8, 195692–195702. [Google Scholar] [CrossRef]
- EN IEC 62232:2022; Determination of RF Field Strength, Power Density and SAR in the Vicinity of Base Stations for the Purpose of Evaluating Human Exposure. CENELEC: Brussels, Belgium, 2022.
- International Commission on Radiation Protection (ICRP). Adult Reference Computational Phantoms; ICRP Publication: Oxford, UK, 2009. [Google Scholar] [CrossRef]
- Baumgartner, C.; Hasgall, P.A.; Di Gennaro, F.; Neufeld, E.; Lloyd, B.; Gosselin, M.C.; Payne, D.; Klingenböck, A.; an Kuster, N. IT’IS Database for Thermal and Electromagnetic Parameters of Biological Tissues, Version 4.2. 2024. Available online: https://itis.swiss/virtual-population/tissue-properties/database/dielectric-properties (accessed on 10 July 2025).
- Gabriel, S.; Lau, R.W.; Gabriel, C. The dielectric properties of biological tissues: II. Measurements in the frequency range 10 Hz to 20 GHz. Phys. Med. Biol. 1996, 41, 2251–2269. [Google Scholar] [CrossRef] [PubMed]
- EN ISO/IEC 17025:2017; General requirements for the competence of testing and calibration laboratories. CENELEC: Brussels, Belgium, 2017.
- Karpowicz, J. Electromagnetic Eronomics. From Electrification to a Wireless Society, 1st ed.; CRC Press: Boca Raton, FL, USA, 2023. [Google Scholar] [CrossRef]
- Hansson Mild, K.; Alanko, T.; Decat, G.; Falsaperla, R.; Gryz, K.; Hietanen, M.; Karpowicz, J.; Rossi, P.; Sandström, M. Exposure of workers to electromagnetic fields. A review of open questions on exposure assessment techniques. Int. J. Occup. Saf. Ergon. 2009, 15, 3–33. [Google Scholar] [CrossRef] [PubMed]
- Karpowicz, J.; Bieńkowski, P.; Kieliszek, J. Model of the minimum requirements regarding electric and magnetic field strength measurement devices for use in the near-field occupational exposure in compliance testing with respect to the requirements of European Directive 2013/35/EU. In Proceedings of the 2016 International Symposium on Electromagnetic Compatibility-EMC EUROPE, Wroclaw, Poland, 5–9 September 2016; pp. 668–671. [Google Scholar] [CrossRef]
- Gryz, K.; Karpowicz, J.; Zradziński, P. Challenges and Opportunities from the Out-of-Band Sensitivity of Data Loggers in a (Quasi)Autonomous Evaluation of Electromagnetic Exposure. In Proceedings of the 2024 IEEE International Symposium on Measurements & Networking (M & N), Rome, Italy, 2–5 July 2024; pp. 1–6. [Google Scholar] [CrossRef]











| RF EMF Sources | Frequency Band, MHz |
|---|---|
| Radio transmitters: analogue FM (Frequency Modulation) and digital DAB + (Digital Audio Broadcasting) | 88–108 and 176–225 |
| DVB-T (Digital Video Broadcasting-Terrestrial) TV transmitters | 174–694 |
| TETRA (Terrestrial Trunked Radio) digital mobile communication system | 380–400 |
| LTE (Long Term Evolution)—public mobile and Internet access systems: | |
| LTE700 (5G) 1 | 694–790 |
| LTE800: DL and UL 2 | 791–821 and 832–862 |
| LTE900: UL and DL | 876–915 and 921–960 |
| LTE1800: UL and DL | 1710–1785 and 1805–1880 |
| LTE2100: UL and DL | 1920–1980 and 2110–2170 |
| LTE2600: UL and DL | 2500–2570 and 2620–2690 |
| LTE2600 1 | 2570–2620 |
| LTE3600 (5G) 1 | 3400–3800 |
| WiMAX (Worldwide Interoperability for Microwave Access) broadband Internet access systems 1 | 3600–3800 |
| Wi–Fi (Wireless Fidelity)—local area network connectivity between devices and Internet access systems: Wi–Fi 2.4 GHz (used also by Bluetooth devices) 1 Wi–Fi 5 GHz 1 | 2400–2483 5150–5350 and 5470–5725 |
| Type of PEM, Manufacturer (Country) | Parameter | ||||
|---|---|---|---|---|---|
| Frequency Band, MHz | E-Field Measurement Range | Sampling Rate, s | Dimensions, cm | Weight, g | |
| RadMan 2XT, Narda (Germany) | 0.9–60,000 | up to 200% of WELs | 0.03 or 1 | 17 × 5 × 3.5 | 190 |
| RadMan 2LT, Narda (Germany) | 50–8000 | up to 200% of WELs | 1 | 17 × 5 × 3.5 | 190 |
| WaveMon RF-8, Wavecontrol (Spain) | 0.3–8000 | up to 300% of WELs | 1–3600 | 17 × 4.5 × 3.5 | 190 |
| WaveMon RF-60, Wavecontrol (Spain) | 0.1–60,000 | up to 1000% of WELs | 1–3600 | 17 × 4.5 × 3.5 | 190 |
| EME Guard, MVG (France) | 27–40,000 | 5–200 V/m | 1–255 | 17 × 6 × 3.5 | 300 |
| EME Guard Plus, MVG (France) | 1–40,000 | 5–350 V/m | 1–255 | 17 × 6 × 4 | 300 |
| Type of PEM, Manufacturer (Country) | Parameter | |||||
|---|---|---|---|---|---|---|
| Frequency Band, MHz | Number of Frequency Bands (Channels) | E-Field Measurement Range, V/m | Sampling Rate, s | Dimensions, cm | Weight, g | |
| ESM-140, Satimo (France) | 88–2480 | 8 | 0.001–0 | 0.5–10 | 12 × 4.5 × 3 | 87 |
| EME SPY 121, Satimo (France) | 88–2450 | 12 | 0.05–10 | 4–255 | 19 × 10 × 7 | 450 |
| EME SPY 140, Satimo (France) | 88–5850 | 14 | 0.01–5 | 4–255 | 17 × 8 × 6 | 410 |
| EME SPY 200, MVG (France) | 87–5875 | 20 | 0.05–6 | 2–255 | 17 × 8 × 6 | 440 |
| EME SPY Evolution, MVG (France) | 87–5875 | max 20 | 0.05–6 | 2–255 | 18 × 7 × 5 | 520 |
| ExpoM-RF3, Fields at Work (Switzerland) | 87–5875 | 16 | 0.005–6 | 3–6000 | 16 × 8 × 5 | 320 |
| ExpoM-RF4, Fields at Work (Switzerland) | 50–6000 | max 25 | 0.005–6 (optional 60) | 3–6000 | 16 × 8 × 5 | 360 |
| Measurement Points | KX1bp Range for Frequency | ||||||
|---|---|---|---|---|---|---|---|
| 100 MHz | 400 MHz | 700 MHz | 1000 MHz | 1800 MHz | 2600 MHz | 3600 MHz | |
| Head | 0.56–3.21 | 0.59–1.05 | 0.94–1.47 | 0.93–1.07 | 0.72–1.15 | 0.96–1.23 | 0.89–1.07 |
| Head + any 1 location | 1.23–1.84 | 0.61–0.96 | 0.76–1.13 | 0.70–1.06 | 0.73–1.14 | 0.73–1.18 | 0.69–1.11 |
| Head + any 2 locations | 1.05–1.77 | 0.59–0.86 | 0.67–0.90 | 0.61–0.86 | 0.63–0.93 | 0.64–0.96 | 0.63–0.91 |
| Head + any 3 locations | 1.04–1.58 | 0.60–0.80 | 0.65–0.83 | 0.61–0.80 | 0.63–0.87 | 0.65–0.89 | 0.64–0.87 |
| Head + any 4 locations | 1.04–1.41 | 0.61–0.76 | 0.65–0.79 | 0.61–0.76 | 0.63–0.82 | 0.66–0.84 | 0.66–0.83 |
| Head + any 5 locations | 1.15–1.34 | 0.64–0.73 | 0.65–0.74 | 0.63–0.71 | 0.66–0.75 | 0.68–0.78 | 0.68–0.77 |
| Head + 6 locations | 1.24 | 0.68 | 0.69 | 0.66 | 0.70 | 0.72 | 0.72 |
| Measurement Points | KX1ss Range for 100 MHz Frequency, Point Probe at Various Distances to Body | |||
|---|---|---|---|---|
| 5 mm | 10 mm | 15 mm | 20 mm | |
| Head | 0.19–5.29 | 0.31–4.74 | 0.38–4.15 | 0.45–3.83 |
| Head + any 1 location | 1.58–2.47 | 1.42–2.24 | 1.36–2.09 | 1.32–2.00 |
| Head + any 2 locations | 1.25–2.33 | 1.16–2.17 | 1.13–2.04 | 1.10–1.96 |
| Head + any 3 locations | 1.16–2.01 | 1.10–1.89 | 1.09–1.79 | 1.08–1.73 |
| Head + any 4 locations | 1.14–1.79 | 1.09–1.70 | 1.08–1.63 | 1.07–1.58 |
| Head + any 5 locations | 1.29–1.59 | 1.25–1.52 | 1.23–1.47 | 1.20–1.43 |
| Head + 6 locations | 1.43 | 1.37 | 1.33 | 1.31 |
| Measurement Points | KX1ss Range for 3600 MHz Frequency, Point Probe at Various Distances to Body | |||
|---|---|---|---|---|
| 5 mm | 10 mm | 15 mm | 20 mm | |
| Head | 0.56–1.33 | 0.95–1.18 | 0.91–1.34 | 0.87–1.49 |
| Head + any 1 location | 0.54–0.73 | 0.65–0.89 | 0.71–1.02 | 0.75–1.09 |
| Head + any 2 locations | 0.44–0.66 | 0.52–0.82 | 0.58–0.94 | 0.63–0.99 |
| Head + any 3 locations | 0.43–0.60 | 0.51–0.74 | 0.58–0.87 | 0.63–0.93 |
| Head + any 4 locations | 0.42–0.56 | 0.52–0.69 | 0.60–0.81 | 0.65–0.87 |
| Head + any 5 locations | 0.44–0.51 | 0.54–0.62 | 0.63–0.73 | 0.68–0.79 |
| Head + 6 locations | 0.46 | 0.56 | 0.66 | 0.72 |
Disclaimer/Publisher’s Note: The statements, opinions and data contained in all publications are solely those of the individual author(s) and contributor(s) and not of MDPI and/or the editor(s). MDPI and/or the editor(s) disclaim responsibility for any injury to people or property resulting from any ideas, methods, instructions or products referred to in the content. |
© 2025 by the authors. Licensee MDPI, Basel, Switzerland. This article is an open access article distributed under the terms and conditions of the Creative Commons Attribution (CC BY) license (https://creativecommons.org/licenses/by/4.0/).
Share and Cite
Gryz, K.; Karpowicz, J.; Zradziński, P. Modeling Radiofrequency Electromagnetic Field Wearable Distributed (Multi-Location) Measurements System for Evaluating Electromagnetic Hazards in the Work Environment. Sensors 2025, 25, 4607. https://doi.org/10.3390/s25154607
Gryz K, Karpowicz J, Zradziński P. Modeling Radiofrequency Electromagnetic Field Wearable Distributed (Multi-Location) Measurements System for Evaluating Electromagnetic Hazards in the Work Environment. Sensors. 2025; 25(15):4607. https://doi.org/10.3390/s25154607
Chicago/Turabian StyleGryz, Krzysztof, Jolanta Karpowicz, and Patryk Zradziński. 2025. "Modeling Radiofrequency Electromagnetic Field Wearable Distributed (Multi-Location) Measurements System for Evaluating Electromagnetic Hazards in the Work Environment" Sensors 25, no. 15: 4607. https://doi.org/10.3390/s25154607
APA StyleGryz, K., Karpowicz, J., & Zradziński, P. (2025). Modeling Radiofrequency Electromagnetic Field Wearable Distributed (Multi-Location) Measurements System for Evaluating Electromagnetic Hazards in the Work Environment. Sensors, 25(15), 4607. https://doi.org/10.3390/s25154607

