Novel Airfoil-Shaped Radar-Absorbing Inlet Grilles on Aircraft Incorporating Metasurfaces: Multidisciplinary Design and Optimization Using EHVI–Bayesian Method
Abstract
1. Introduction
2. Design Theory and Numerical Methods
2.1. Design Theory of RIGs
2.2. Model Description
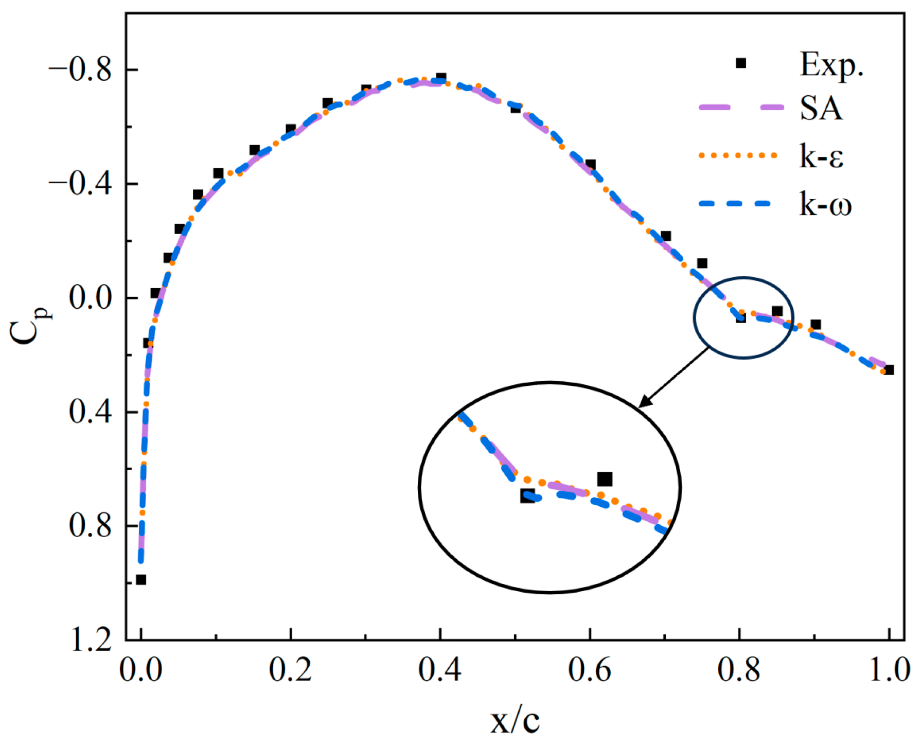
2.3. Aerodynamic Computation
2.4. Electromagnetic Computation
2.5. Performance Metrics and Formulas
3. Bayesian Optimization
3.1. Optimization Theory
3.2. Gaussian Process
3.3. Acquisition Function
3.4. Optimal Convergence Verification
4. Results and Discussion
4.1. Optimization Design
4.2. Comparison and Analysis of Optimization Results
4.3. Analysis of Inlet Loaded with Balanced Model
5. Conclusions
- (1)
- The proposed airfoil-shaped radar-absorbing inlet grille, compared with a rectangular one under the same geometric constraints, significantly improves the aerodynamic performance yet reduces the absorption capabilities, with a 66.08% reduction in aerodynamic losses and a 34.60% reduction in the absorption bandwidth.
- (2)
- A multi-objective Bayesian optimization framework suitable for periodic grille aerodynamic/stealth comprehensive optimization is proposed. In the optimization framework, Sobol low-discrepancy sequence sampling is used as the sampling method, Gaussian regression is used as the probabilistic surrogate model, and the EHVI acquisition function is used as the exploration strategy. Compared with traditional design methods, our framework can reduce the need for manual intervention and approach the Pareto front in fewer iterations.
- (3)
- The geometric design parameters of the airfoil-shaped radar-absorbing grille significantly affect the flow field distribution and the aerodynamic and electromagnetic characteristics of the grille, while the sheet resistance of the ITO film has no effect on the aerodynamic performance. Compared with conventional radar-absorbing grilles, the optimized balanced model reduces aerodynamic losses by 57.79% and increases the absorption bandwidth by 111.99%.
- (4)
- Compared with the clear inlet without loading, the integrated coupling model with the optimized model has still low aerodynamic losses and better absorption performance, with the ability to significantly reduce the inlet RCS. When the incident wave is oblique, the integrated coupling model still maintains good performance in reducing the RCS.
Author Contributions
Funding
Institutional Review Board Statement
Informed Consent Statement
Data Availability Statement
Conflicts of Interest
References
- Knott, E.F.; Schaeffer, J.F. Radar Cross Section, 1st ed.; SciTech Publishing: Raleigh, NC, USA, 2004; pp. 1–12. [Google Scholar]
- Sang, J.H. Low-Observable Technologies of Aircraft; Aviation Industry Press: Beijing, China, 2013; pp. 33–47. [Google Scholar]
- Burkholder, R.J.; Chuang, C.W.; Pathak, P.H. Electromagnetic Fields Backscattered from an S-Shaped Inlet Cavity with an Absorber Coating on Its Inner Walls; NASA Technical Report. No. FR-715723-2; NASA: Washington, DC, USA, 1987.
- Xiang, G.; Yong-Qiang, S.; Qing-Zhen, Y.; Li-Hai, C. Electromagnetic Scattering Characteristics of Double S-Shape Exhaust Nozzle with Different Coating Medium Parts. Acta Phys. Sin. 2015, 64, 106–115. [Google Scholar] [CrossRef]
- Guo, X.; Yang, Q.; Wen, Z.; Li, S.; Fang, P. Influence of RAM Abscission on Electromagnetic Scattering Characteristic of Cavity. Acta Aeronaut. Astronaut. Sin. 2021, 42, 422–429. [Google Scholar]
- Song, Y.; Yang, Q.Z.; Gao, X.; Shi, Y.Q.; He, Y.B. Electromagnetic Scattering Characteristics of Binary Plug Nozzle with Coating Medium at Different Part. J. Propul. Technol. 2022, 43, 161–168. [Google Scholar]
- Zhang, X.; Yang, Q.; He, Y.; Wang, X.; Zhang, S. Aerodynamic and Stealth Characteristics Analysis for a New Type of S-Shaped Inlet with Inner Bulge. In Proceedings of the Turbo Expo: Power for Land, Sea, and Air, Virtual, Online, 21 September 2020. [Google Scholar]
- He, Y.-B.; Yang, Q.-Z.; Shi, Y.-Q.; Gao, X.; Yang, H.-C. Multi-Objective Optimization Design of S-shaped Inlet with Internal Bump. Aerosp. Sci. Technol. 2022, 130, 107901. [Google Scholar] [CrossRef]
- Xiang, H.; Yang, Q.; Wang, X.; Fan, J. Study on the Influence of Vortex Generator on Aerodynamic and Stealth Characteristics of Serpentine Inlet. In Proceedings of the 2023 AIAA AVIATION Forum, San Diego, CA, USA, 12 June 2023. [Google Scholar]
- Shivakumar, B.; Narahari, H.; Jayasimha, P.; Sriram, A. Numerical Study on the Influence of Inflow Conditions on the Performance of Vortex Generator in a Serpentine Air Intake Duct. Int. J. Veh. Struct. Syst. 2023, 6, 856–862. [Google Scholar] [CrossRef]
- Liang, D.; Guo, R.; Zhao, M. Effect of Honeycomb on Aerodynamic Performance and Radar Cross Section of Inlet. Acta Aeronaut. Astronaut. Sin. 1998, 5, 56–58. [Google Scholar]
- Yin, C.; Luo, Y.; Li, K.X.; Wang, H. Integrated Design Method of Aerodynamic and Stealth Performance for Inlet Guide Vane and Wave Absorbing Deflector Ring. J. Propul. Technol. 2023, 44, 16–25. [Google Scholar]
- Zhang, L.; Zhou, Z.; Xu, X.P. Electromagnetic Scattering Characteristics and Experimental Verification of Inlet Grille. J. Nanjing Univ. Aeronaut. Astronaut. 2017, 49, 361–369. [Google Scholar]
- Zhang, L.; Zhou, Z.; Xu, X.P. Aerodynamic and Stealthy Integrated Performance of Conformal Inlet Coupling Entrance Grille of Flying Wing Unmanned Aerial Vehicle. J. Aerosp. Power 2018, 33, 1612–1621. [Google Scholar]
- Wang, X.; Yang, Q.; He, Y.; Zhang, S. Numerical Investigation On Aerodynamic and Electromagnetic Influence of Shape of the Grilles in a Rectangular Duct. In Proceedings of the 12th Asia Conference on Mechanical and Aerospace Engineering, Virtual, Online, 29 December 2021. [Google Scholar]
- Yu, L.Z.; Chen, X.; Huang, J.T.; Zhong, S.D.; Que, X.F. Electromagnetic Shielding Principles and Technologies of Cavity Grille. Acta Aeronaut. Astronaut. Sin. 2022, 43, 455–465. [Google Scholar]
- Zhang, J.; Zhan, H.; Mi, B. Study on Aerodynamic Design of the Front Auxiliary Inlet. Aerospace 2023, 10, 700. [Google Scholar] [CrossRef]
- Shirke, N.; Ghase, V.; Jamdar, V. Recent Advances in Stealth Coating. Polym. Bull. 2024, 81, 9389–9418. [Google Scholar] [CrossRef]
- Achouri, K.; Caloz, C. Electromagnetic Metasurfaces: Theory and Applications, 1st ed.; John Wiley & Sons: New York, NY, USA, 2021; pp. 1–22. [Google Scholar]
- Zahra, S.; Ma, L.; Wang, W.; Li, J.; Chen, D.; Liu, Y.; Zhou, Y.; Li, N.; Huang, Y.; Wen, G. Electromagnetic Metasurfaces and Reconfigurable Metasurfaces: A Review. Front. Phys. 2021, 8, 593411. [Google Scholar] [CrossRef]
- Foteinopoulou, S.; Economou, E.N.; Soukoulis, C.M. Refraction In Media with a Negative Refractive Index. Phys. Rev. Lett. 2003, 90, 107402. [Google Scholar] [CrossRef] [PubMed]
- Falcone, F.; Lopetegi, T.; Laso, M.A.G.; Baena, J.D.; Bonache, J.; Beruete, M.; Marqués, R.; Martín, F.; Sorolla, M. Babinet Principle Applied to the Design of Metasurfaces and Metamaterials. Phys. Rev. Lett. 2004, 93, 197401. [Google Scholar] [CrossRef] [PubMed]
- Pendry, J.B. Negative Refraction Makes a Perfect Lens. Phys. Rev. Lett. 2000, 85, 3966. [Google Scholar] [CrossRef] [PubMed]
- Smith, D.R.; Pendry, J.B.; Wiltshire, M.C.K. Metamaterials and Negative Refractive Index. Science 2004, 305, 788–792. [Google Scholar] [CrossRef] [PubMed]
- Wang, Z.; Fu, X.; Wang, J.; Fan, Y.; Li, Y.; Yan, M.; Ma, H.; Zhang, J.; Qu, S. Multi-Octave Radar Cross Section Reduction Via Integrated Dispersion Engineering of Polarization-Conversion Metasurface and Metamaterial Absorber. J. Phys. D Appl. Phys. 2019, 53, 03LT01. [Google Scholar] [CrossRef]
- Cheng, Y.; Li, W.; Mao, X. Triple-Band Polarization Angle Independent 90° Polarization Rotator Based on Fermat’s Spiral Structure Planar Chiral Metamaterial. Prog. Electromagn. Res. 2019, 165, 35–45. [Google Scholar] [CrossRef]
- Huang, X.; Lu, C.; Rong, C.; Hu, Z.; Liu, M. Multiband Ultrathin Polarization-Insensitive Terahertz Perfect Absorbers with Complementary Metamaterial and Resonator Based on High-Order Electric and Magnetic Resonances. IEEE Photonics J. 2018, 10, 2878455. [Google Scholar] [CrossRef]
- Pan, M.; Su, Z.; Yu, Z.; Wu, P.; Jile, H.; Yi, Z.; Chen, Z. A Narrowband Perfect Absorber with High Q-Factor and Its Application in Sensing in the Visible Region. Results Phys. 2020, 19, 103415. [Google Scholar] [CrossRef]
- Pang, Y.; Wang, J.; Ma, H.; Feng, M.; Li, Y.; Xu, Z.; Xia, S.; Qu, S. Spatial k-dispersion Engineering of Spoof Surface Plasmon Polaritons for Customized Absorption. Sci. Rep. 2016, 6, 29429. [Google Scholar] [CrossRef] [PubMed]
- Priyanka; Mohanty, S.; Alegaonkar, P.S.; Baskey, H.B. Design and Manufacturing of a Hexapattern Frequency Selective Surface Absorber for Aerospace Stealth Application. ACS Appl. Mater. Interfaces 2023, 15, 37107–37115. [Google Scholar] [CrossRef] [PubMed]
- Chen, T.-H.; Zheng, B.; Qian, C.; Chen, H.-S. Progress of Novel Electromagnetics Cloaking Research. Acta Phys. Sin. 2020, 69, 46–62. [Google Scholar] [CrossRef]
- Sheokand, H.; Ghosh, S.; Singh, G.; Saikia, M.; Srivastava, K.V.; Ramkumar, J.; Ramakrishna, S.A. Transparent Broadband Metamaterial Absorber Based on Resistive Films. J. Appl. Phys. 2017, 122, 105105. [Google Scholar] [CrossRef]
- Sheokand, H.; Singh, G.; Ghosh, S.; Ramkumar, J.; Ramakrishna, S.A.; Srivastava, K.V. An Optically Transparent Broadband Microwave Absorber Using Interdigital Capacitance. IEEE Antenn. Wirel. Propag. Lett. 2018, 18, 113–117. [Google Scholar] [CrossRef]
- Yu, J.; Jiang, W.; Gong, S. Wideband Angular Stable Absorber Based on Spoof Surface Plasmon Polariton for RCS Reduction. IEEE Antenn. Wirel. Propag. Lett. 2020, 19, 1058–1062. [Google Scholar] [CrossRef]
- Shen, Y.; Zhang, J.; Dong, B.; Pang, Y.; Wang, J.; Ma, H.; Qu, S. Plasmonic Absorbing Structure Using Horizontal Bent-Wire Array for Low-Frequency Absorption Enhancement. Opt. Commun. 2019, 443, 90–95. [Google Scholar] [CrossRef]
- Shen, Y.; Zhang, J.; Meng, Y.; Wang, Z.; Pang, Y.; Wang, J.; Ma, H.; Qu, S. Merging Absorption Bands of Plasmonic Structures Via Dispersion Engineering. Appl. Phys. Lett. 2018, 112, 254103. [Google Scholar] [CrossRef]
- Shen, Y.; Zhang, J.; Wang, J.; Pang, Y.; Ma, H.; Qu, S. Multistage Dispersion Engineering in a Three-Dimensional Plasmonic Structure for Outstanding Broadband Absorption. Opt. Mater. Express 2019, 9, 1539–1550. [Google Scholar] [CrossRef]
- Zhou, F.; Fu, Y.; Tan, R.; Zhou, J.; Chen, P. Broadband and Wide-Angle Metamaterial Absorber Based on The Hybrid of Spoof Surface Plasmonic Polariton Structure and Resistive Metasurface. Opt. Express 2021, 29, 34735–34747. [Google Scholar] [CrossRef] [PubMed]
- Yang, C.; Chen, S.; Niu, S.; Xiao, L.; Qu, Y.-C. Transparent Broadband Microwave Metamaterial Absorber with Thermal Insulating and Soundproof. Optoelectron. Lett. 2021, 17, 85–89. [Google Scholar] [CrossRef]
- Yang, C.; Chang, H.; Xiao, L.; Qu, Y. Visible and NIR Transparent Broadband Microwave Absorption Metamaterial Based on Silver Nanowires. Opt. Mater. 2022, 131, 112464. [Google Scholar] [CrossRef]
- Deb, K.; Karthik, S. Decision Sciences, 1st ed.; CRC Press: Boca Raton, FL, USA, 2016; pp. 161–200. [Google Scholar]
- Li, Z.; Chen, C.; Pei, H.; Kong, B. Structural Optimization of the Aircraft NACA Inlet Based on BP Neural Networks and Genetic Algorithms. Int. J. Aerosp. Eng. 2020, 2, 8857821. [Google Scholar] [CrossRef]
- Sudasinghe, A.; Rajakareyar, P.; Matida, E.; El Ella, H.A.; ElSayed, M.S.A. Aerodynamic Shape Optimization of an Aircraft Propulsor Air Intake with Boundary Layer Ingestion. Appl. Mech. 2022, 3, 1123–1144. [Google Scholar] [CrossRef]
- Wang, X.; Jin, Y.; Schmitt, S.; Olhofer, M. Recent Advances in Bayesian Optimization. ACM Comput. Surv. 2023, 55, 1–36. [Google Scholar] [CrossRef]
- Lam, R.; Poloczek, M.; Frazier, P.; Willcox, K.E. Advances In Bayesian Optimization with Applications in Aerospace Engineering. In Proceedings of the 2018 AIAA Non-deterministic Approaches Conference, Kissimmee, FL, USA, 8 January 2018. [Google Scholar]
- Laumanns, M.; Ocenasek, J. Bayesian Optimization Algorithms for Multi-Objective Optimization. In Proceedings of the International Conference on Parallel Problem Solving from Nature, Granada, Spain, 7 September 2002. [Google Scholar]
- Saves, P.; Nguyen Van, E. Bayesian Optimization for Mixed Variables Using an Adaptive Dimension Reduction Process: Applications to Aircraft Design. In Proceedings of the AIAA Science and Technology Forum, San Diego, CA, USA, 3 January 2022. [Google Scholar]
- Zhang, S.; Yang, Q.; Wang, R.; Wang, X. Multi-Objective Bayesian Optimization Design of Elliptical Double Serpentine Nozzle. Aerospace 2023, 11, 48. [Google Scholar] [CrossRef]
- Tang, W.X.; Zhang, H.C.; Ma, H.F.; Jiang, W.X.; Cui, T.J. Concept, theory, design, and applications of spoof surface plasmon polaritons at microwave frequencies. Adv. Opt. Mater. 2019, 7, 1800421. [Google Scholar] [CrossRef]
- Anderson, J. Fundamentals of Aerodynamics, 6th ed.; McGraw-Hill Education: New York, NY, USA, 2017. [Google Scholar]
- Landy, N.I.; Sajuyigbe, S.; Mock, J.J.; Smith, D.R.; Padilla, W.J. Perfect metamaterial absorber. Phys. Rev. Lett. 2008, 100, 207402. [Google Scholar] [CrossRef] [PubMed]
- Watts, C.M.; Liu, X. Metamaterial electromagnetic wave absorbers. Adv. Mater. 2012, 24, OP98–OP120. [Google Scholar] [CrossRef] [PubMed]
- Smith, D.R.; Vier, D.C.; Koschny, T.; Soukoulis, C.M. Electromagnetic parameter retrieval from inhomogeneous metamaterials. Phys. Rev. E. 2005, 71, 036617. [Google Scholar] [CrossRef] [PubMed]
























| Design Parameter | Symbol | Value |
|---|---|---|
| RIG interval | 8.00 mm | |
| RIG chord length | 8.00 mm | |
| RIG maximum thickness ratio | 6.65 mm | |
| Metal strip width | 0.125 mm | |
| Metal strip interval | 0.125 mm | |
| Metal strip thickness | 0.01 mm | |
| ITO film thickness | 1.00 mm | |
| ITO film resistance |
| Boundary Condition | Attribute |
|---|---|
| Pressure farfield | |
| Pressure outlet | |
| Period | |
| Wall | No slip |
| Design Parameter | |||
|---|---|---|---|
| 0.04 | 0.06 | 0.93 | |
| 0.02 | 0.06 | 0.99 | |
| 0.03 | 0.06 | 0.93 | |
| 0.04 | 0.10 | 0.93 |
| Model | L (mm) | c (mm) | t (mm) | ρ (Ω/sq) |
|---|---|---|---|---|
| Baseline 1 | 10.00 | 10.00 | 10.00 | 100.00 |
| Baseline 2 | 10.00 | 10.00 | 10.00 | 100.00 |
| Balanced | 11.62 | 16.00 | 8.00 | 375.27 |
| AERO | 13.63 | 13.56 | 8.00 | 461.90 |
| EM | 11.85 | 16.00 | 12.83 | 292.31 |
| Design Parameter | Symbol | Value (mm) |
|---|---|---|
| Width of inlet | 105 | |
| Length of intake | 300 | |
| Radius of intake interface | 59 |
Disclaimer/Publisher’s Note: The statements, opinions and data contained in all publications are solely those of the individual author(s) and contributor(s) and not of MDPI and/or the editor(s). MDPI and/or the editor(s) disclaim responsibility for any injury to people or property resulting from any ideas, methods, instructions or products referred to in the content. |
© 2025 by the authors. Licensee MDPI, Basel, Switzerland. This article is an open access article distributed under the terms and conditions of the Creative Commons Attribution (CC BY) license (https://creativecommons.org/licenses/by/4.0/).
Share and Cite
Wang, X.; Shi, Y.; Yang, Q.; Xiang, H.; Zhang, S. Novel Airfoil-Shaped Radar-Absorbing Inlet Grilles on Aircraft Incorporating Metasurfaces: Multidisciplinary Design and Optimization Using EHVI–Bayesian Method. Sensors 2025, 25, 4525. https://doi.org/10.3390/s25144525
Wang X, Shi Y, Yang Q, Xiang H, Zhang S. Novel Airfoil-Shaped Radar-Absorbing Inlet Grilles on Aircraft Incorporating Metasurfaces: Multidisciplinary Design and Optimization Using EHVI–Bayesian Method. Sensors. 2025; 25(14):4525. https://doi.org/10.3390/s25144525
Chicago/Turabian StyleWang, Xufei, Yongqiang Shi, Qingzhen Yang, Huimin Xiang, and Saile Zhang. 2025. "Novel Airfoil-Shaped Radar-Absorbing Inlet Grilles on Aircraft Incorporating Metasurfaces: Multidisciplinary Design and Optimization Using EHVI–Bayesian Method" Sensors 25, no. 14: 4525. https://doi.org/10.3390/s25144525
APA StyleWang, X., Shi, Y., Yang, Q., Xiang, H., & Zhang, S. (2025). Novel Airfoil-Shaped Radar-Absorbing Inlet Grilles on Aircraft Incorporating Metasurfaces: Multidisciplinary Design and Optimization Using EHVI–Bayesian Method. Sensors, 25(14), 4525. https://doi.org/10.3390/s25144525

