A Study on the Characterization of Novel Silicon-Based Heterojunctions for Optically Controlled Microwave Switching
Abstract
1. Introduction
2. Silicon-Based Optically Controlled Microwave Switch and Its Absorption Enhancement
2.1. Simulation Analysis of Silicon-Based Optically Controlled Microwave Switch
2.2. Silicon-Based Surface Absorption Enhancement Technology
3. Silicon-Based Heterojunction Optically Controlled Microwave Switch and Its Electromagnetic Response
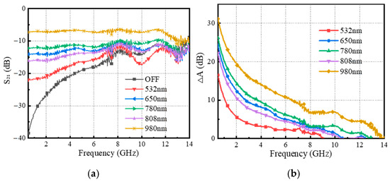
3.1. Wavelength of Pump Excitation and Resistivity of Silicon Substrate
3.2. HR-Si Based Photoluminescence Organic Semiconductor Heterojunction
3.3. Heterojunction of Pentacene Based on HR-Si of Pyramid Particle Surface
4. Conclusions
Author Contributions
Funding
Institutional Review Board Statement
Informed Consent Statement
Data Availability Statement
Conflicts of Interest
References
- Wang, Y.; Min, X.; Zhao, M.; Yuan, H.; Li, R.; Hu, X.; Cao, Q. Design of a frequency selective rasorber with a waveform selective passband. IEEE Antennas Wirel. Propag. Lett. 2022, 21, 2125–2129. [Google Scholar] [CrossRef]
- Min, P.; Song, Z.; Yang, L.; Ralchenko, V.G.; Zhu, J. Multispectral meta-film design: Simultaneous realization of wideband microwave absorption, low infrared emissivity, and visible transparency. Opt. Express 2022, 30, 32317–32332. [Google Scholar] [CrossRef] [PubMed]
- Song, Z.; Zhang, R.; Min, P.; Wang, T.; Cao, W.; He, Y.; Wu, L.; Zhu, J.; Qiu, C.W. Inverse Design of Diffusion–Absorption Hybrid Metasurfaces. Laser Photonics Rev. 2023, 17, 2300280. [Google Scholar] [CrossRef]
- Ni, J.; Zhao, W.; Pang, X.; Zhao, S.; Duan, K.; Wang, J.; Zhang, X.; Jiang, T.; Chen, K.; Zhao, J. A Fifth-Order X-Band Frequency Selective Surface with High Selectivity and Angular Stability Based on 3-D Coupling Slot. IEEE Trans. Antennas Propag. 2024, 72, 5743–5753. [Google Scholar] [CrossRef]
- Jiang, H.; Zhang, Y.; Wu, Y.; Jiang, B.; Liao, S.; Xue, Q. Reconfigurable Bandpass Frequency-Selective Rasorber with Perfect Elliptic Filtering Response. IEEE Trans. Microw. Theory Tech. 2024, 73, 423–435. [Google Scholar] [CrossRef]
- Guo, Q.; Hao, F.; Qu, M.; Su, J.; Li, Z. Multiband Multifunctional Polarization Converter Based on Reconfigurable Metasurface. IEEE Antennas Wirel. Propag. Lett. 2024, 23, 1241–1245. [Google Scholar] [CrossRef]
- Yu, D.; Dong, Y.; Zhang, Z.; Lin, M.; Han, L. High-selectivity frequency-selective rasorber with tunable absorptivity. IEEE Trans. Antennas Propag. 2023, 71, 3620–3630. [Google Scholar] [CrossRef]
- Fan, Y.; Li, D.; Ma, H.; Xing, J.; Gu, Y.; Ang, L.K.; Li, E.-P. Ultrawideband dual-polarized frequency-selective absorber with tunable reflective notch. IEEE Trans. Antennas Propag. 2023, 71, 2855–2860. [Google Scholar] [CrossRef]
- Yuan, H.; Li, H.; Feng, Y.; Xing, L.; Fang, X.; Wang, Y.; Cao, Q. Liquid-based transparent, wideband and reconfigurable absorber/reflector. Opt. Express 2022, 30, 18845–18853. [Google Scholar] [CrossRef]
- Dutta, R.K.; Jaiswal, R.K.; Saikia, M.; Srivastava, K.V. A Two-Stage Beamforming Antenna Using Butler Matrix and Reconfigurable Frequency Selective Surface for Wide Angle Beam Tilting. IEEE Antennas Wirel. Propag. Lett. 2023, 22, 2342–2346. [Google Scholar] [CrossRef]
- Kong, X.; Cao, Z.; Wang, X.; Lin, W.; Zou, Y.; Wang, H.; Zhang, X.; Wang, L.; Xing, L.; Gao, S. Wide-passband reconfigurable frequency selective rasorber design based on fluidity of EGaIn. IEEE Antennas Wirel. Propag. Lett. 2023, 22, 1922–1926. [Google Scholar] [CrossRef]
- Li, P.; Shi, Y.; Deng, Y.; Fay, P.; Liu, L. Tunable and reconfigurable bandstop filters enabled by optically controlled switching elements. Electron. Lett. 2022, 58, 985–987. [Google Scholar] [CrossRef]
- Reji, V.; Manimegalai, C. Light controlled frequency reconfigurable antenna for wireless applications. Int. J. Microw. Wirel. Technol. 2023, 15, 143–149. [Google Scholar] [CrossRef]
- Zhang, X.G.; Sun, Y.L.; Zhu, B.; Tian, H.W.; Wang, B.Y.; Zhang, Z.; Qiu, C.-W.; Cui, T.J.; Jiang, W.X. Wireless microwave-to-optical conversion via programmable metasurface without DC supply. Nat. Commun. 2025, 16, 528. [Google Scholar] [CrossRef]
- Li, J.; Ye, F.J.; Tan, H.R.; Luo, S.S.; Cui, H.Y.; Chen, L. Light-sensing metasurface with flexible reprogrammable functions. Appl. Phys. 2023, 129, 640. [Google Scholar] [CrossRef]
- Miao, S.Y.; Lin, F.H. Light-controlled large-scale wirelessly reconfigurable microstrip reflectarrays. IEEE Trans. Antennas Propag. 2022, 71, 1613–1622. [Google Scholar] [CrossRef]
- Zhang, X.G.; Sun, Y.L.; Zhu, B.; Jiang, W.X.; Zhang, Z.; Cui, T.J. Light-controllable time-domain digital coding metasurfaces. Adv. Photonics 2022, 4, 025001. [Google Scholar] [CrossRef]
- Zhang, X.G.; Sun, Y.L.; Zhu, B.; Wang, J.; Zhao, T.; Jiang, W.X.; Huang, Z.; Zhang, Z.; Cui, T.J. Optoelectronic Metasurface for Free-Space Optical–Microwave Interactions. ACS Appl. Mater. Interfaces 2023, 15, 22744–22751. [Google Scholar] [CrossRef]
- Fang, J.; Li, H.; Cao, Q.; Wang, Y. Study of an optically controlled active frequency selective surface. IEEE Antennas Wirel. Propag. Lett. 2018, 17, 1707–1711. [Google Scholar] [CrossRef]
- Sun, Z.; Chen, X.; He, Y.; Li, J.; Wang, J.; Yan, H.; Zhang, Y. Toward efficiency limits of crystalline silicon solar cells: Recent progress in high-efficiency silicon heterojunction solar cells. Adv. Energy Mater. 2022, 12, 2200015. [Google Scholar] [CrossRef]
- Lin, H.; Yang, M.; Ru, X.; Wang, G.; Yin, S.; Peng, F.; Hong, C.; Qu, M.; Lu, J.; Fang, L. Silicon heterojunction solar cells with up to 26.81% efficiency achieved by electrically optimized nanocrystalline-silicon hole contact layers. Nat. Energy 2023, 8, 789–799. [Google Scholar] [CrossRef]
- Du, Z.; Cao, Q.; Zhang, L.; Cui, Y.; Yang, S.; Li, H.; Ai, X.; Ge, B. Study of a Direct Optically Controlled Frequency Selective Surface. IEEE Antennas Wirel. Propag. Lett. 2023, 23, 833–837. [Google Scholar] [CrossRef]
- Popescu, A.-S.; Ali, T.; Bendoym, I.; Bikorimana, S.; Dorsinville, R.; Marchese, L.; Bergeron, A.; Terroux, M.; Golovin, A.B.; Crouse, D.T. Active metasurfaces. In Proceedings of the Terahertz, RF, Millimeter, and Submillimeter-Wave Technology and Applications VII, San Francisco, CA, USA, 4–6 February 2014; pp. 123–132. [Google Scholar]
- Tang, Z.; Chen, S.; Li, D.; Wang, X.; Pan, A. Two-dimensional optoelectronic devices for silicon photonic integration. J. Mater. 2023, 9, 551–567. [Google Scholar] [CrossRef]
- Zhou, Q.; Qiu, Q.; Wu, T.; Li, Y.; Huang, Z. Ultrafast all-optical switching modulation of terahertz polarization conversion metasurfaces based on silicon. ACS Omega 2023, 8, 48465–48479. [Google Scholar] [CrossRef] [PubMed]
- Guo, Z.H.; Sun, Y.Z.; Zeng, L.; Zhang, H.F. Temperature-Controlled and Photoexcited Multitasking Janus Metasurface in the Terahertz Region. Ann. Phys. 2022, 534, 2100499. [Google Scholar] [CrossRef]
- Shen, S.; Xie, Q.; Sahoo, S.R.; Jin, J.; Baryshnikov, G.V.; Sun, H.; Wu, H.; Ågren, H.; Liu, Q.; Zhu, L. Edible Long-Afterglow Photoluminescent Materials for Bioimaging. Adv. Mater. 2024, 36, 2404888. [Google Scholar] [CrossRef]
- Wang, X.; Zhang, Q.; Wang, S.; Jin, C.; Zhu, B.; Su, Y.; Dong, X.; Liang, J.; Lu, Z.; Zhou, L. Sub-ambient full-color passive radiative cooling under sunlight based on efficient quantum-dot photoluminescence. Sci. Bull. 2022, 67, 1874–1881. [Google Scholar] [CrossRef]
- Zhang, L.; Zhou, F.; Zhang, X.; Yang, S.; Wen, B.; Yan, H.; Yildirim, T.; Song, X.; Yang, Q.; Tian, M. Discovery of type II interlayer trions. Adv. Mater. 2023, 35, 2206212. [Google Scholar] [CrossRef]
- Gan, Y.; Qin, S.; Du, Q.; Zhang, Y.; Zhao, J.; Li, M.; Wang, A.; Liu, Y.; Li, S.; Dong, R. Ultrafast and sensitive self-powered photodetector based on graphene/pentacene single crystal heterostructure with weak light detection capacity. Adv. Sci. 2022, 9, 2204332. [Google Scholar] [CrossRef]
- Han, Y.; Ning, W.; Du, H.; Yang, J.; Wang, N.; Cao, L.; Li, F.; Zhang, F.; Xu, F.; Tian, M. Preparation, optical and electrical properties of PTCDA nanostructures. Nanoscale 2015, 7, 17116–17121. [Google Scholar] [CrossRef]
- Balambiga, B.; Dheepika, R.; Devibala, P.; Imran, P.M.; Nagarajan, S. Picene and PTCDI based solution processable ambipolar OFETs. Sci. Rep. 2020, 10, 22029. [Google Scholar] [CrossRef] [PubMed]
- Usman, M.; Nisar, S.; Kim, D.-k.; Golovynskyi, S.; Imran, M.; Dastgeer, G.; Wang, L. Polarization-sensitive photodetection of anisotropic 2D black arsenic. J. Phys. Chem. 2023, 127, 9076–9082. [Google Scholar] [CrossRef]
- Yue, Z.; Shen, H.; Wang, C.; Xu, Y.; Zheng, J.; Li, Y.; Zhang, J.; Chen, J.; Bai, H.; Li, H. An ultrafast and self-powered MoSx Se2−x/Si photodetector with high light-trapping structures and a SiOx interface layer. Nanoscale 2023, 15, 19691–19702. [Google Scholar] [CrossRef] [PubMed]
- Dastgeer, G.; Nisar, S.; Rasheed, A.; Akbar, K.; Chavan, V.D.; Kim, D.-K.; Wabaidur, S.M.; Zulfiqar, M.W.; Eom, J. Atomically engineered, high-speed non-volatile flash memory device exhibiting multibit data storage operations. Nano Energy 2024, 119, 109106. [Google Scholar] [CrossRef]












Disclaimer/Publisher’s Note: The statements, opinions and data contained in all publications are solely those of the individual author(s) and contributor(s) and not of MDPI and/or the editor(s). MDPI and/or the editor(s) disclaim responsibility for any injury to people or property resulting from any ideas, methods, instructions or products referred to in the content. |
© 2025 by the authors. Licensee MDPI, Basel, Switzerland. This article is an open access article distributed under the terms and conditions of the Creative Commons Attribution (CC BY) license (https://creativecommons.org/licenses/by/4.0/).
Share and Cite
Li, L.; Mu, W.; Jiang, J.; Zhang, L.; Fang, X.; Yuan, H.; Cao, Q. A Study on the Characterization of Novel Silicon-Based Heterojunctions for Optically Controlled Microwave Switching. Sensors 2025, 25, 3531. https://doi.org/10.3390/s25113531
Li L, Mu W, Jiang J, Zhang L, Fang X, Yuan H, Cao Q. A Study on the Characterization of Novel Silicon-Based Heterojunctions for Optically Controlled Microwave Switching. Sensors. 2025; 25(11):3531. https://doi.org/10.3390/s25113531
Chicago/Turabian StyleLi, Li, Weidong Mu, Jun Jiang, Linglong Zhang, Xiaoxing Fang, Hang Yuan, and Qunsheng Cao. 2025. "A Study on the Characterization of Novel Silicon-Based Heterojunctions for Optically Controlled Microwave Switching" Sensors 25, no. 11: 3531. https://doi.org/10.3390/s25113531
APA StyleLi, L., Mu, W., Jiang, J., Zhang, L., Fang, X., Yuan, H., & Cao, Q. (2025). A Study on the Characterization of Novel Silicon-Based Heterojunctions for Optically Controlled Microwave Switching. Sensors, 25(11), 3531. https://doi.org/10.3390/s25113531

