Improving the Orbit Injection Accuracy of a Launch Vehicle by Using a Mode-Switching Strategy for a Dual-Axis Rotational Inertial Navigation System
Abstract
1. Introduction
1.1. Related Work
1.2. Our Work
- 1.
- The error distribution model and simplified calculation method of the inertial navigation system with mode-switching are established;
- 2.
- The strategy of improving guidance accuracy by rotational inertial navigation mode switching is proposed and verified.
2. Problem Description
2.1. IMU Error Model
2.1.1. Coordinate System
2.1.2. Gyro Error Model
2.1.3. Accelerometer Error Model
2.2. Error Propagation Along the Flight Trajectory
2.3. RINS Operation Strategy for Launch Vehicle
3. Mode-Switching Strategy
3.1. Orbit Injection Error Estimation Theory
- 1.
- The navigation error of the near-platform mode;
- 2.
- The navigation error of the switching process;
- 3.
- The navigation error of the strap-down mode.
3.1.1. Switching Process Error
3.1.2. Error Propagation Model with Mode-Switching Strategy
- 1.
- The acceleration and angular velocity time series in pure strap-down and pure near-platform modes are calculated using standard trajectories.
- 2.
- 3.
3.1.3. Distribution Estimation of Orbit Injection Error
3.2. Generate Strategy by Optimization
4. Numerical and Semi-Physical Experiments
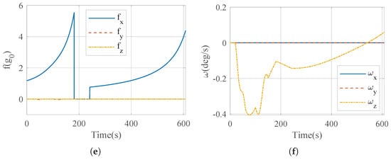
4.1. Numerical Experiment
4.1.1. Launch Mission and Inertial Navigation Configuration


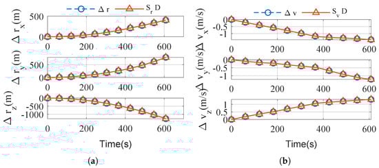
4.1.2. Orbit Injection Error Estimation
4.1.3. Monte Carlo Simulation
4.2. Semi-Physical Experiment
5. Discussion
6. Conclusions
Author Contributions
Funding
Institutional Review Board Statement
Informed Consent Statement
Data Availability Statement
Conflicts of Interest
References
- Levinson, E.; ter Horst, J.; Willcocks, M. The next generation marine inertial navigator is here now. In Proceedings of the 1994 IEEE Position, Location and Navigation Symposium—PLANS’94, Las Vegas, NV, USA, 11–15 April 1994; pp. 121–127. [Google Scholar] [CrossRef]
- King, A. Inertial navigation—Past, present, and future. In Proceedings of the IEE Colloquium on Airborne Navigation Systems Workshop, London, UK, 21 February 1997; Volume 1997, p. 3. [Google Scholar] [CrossRef]
- Wang, M.; Wang, L.; Han, H. Research on Innovative Self-Calibration Strategy for Error Parameters of Dual-Axis RINS. IEEE Sens. J. 2021, 21, 27918–27927. [Google Scholar] [CrossRef]
- Liu, B.; Wei, S.; Lu, J.; Wang, J.; Su, G. Fast Self-Alignment Technology for Hybrid Inertial Navigation Systems Based on a New Two-Position Analytic Method. IEEE Trans. Ind. Electron. 2020, 67, 3226–3235. [Google Scholar] [CrossRef]
- Wang, S.; Yang, G.; Wang, L. An Improve Hybrid Calibration Scheme for Strapdown Inertial Navigation System. IEEE Access 2019, 7, 151669–151681. [Google Scholar] [CrossRef]
- Liu, B.; Wei, S.; Su, G.; Wang, J.; Lu, J. An Improved Fast Self-Calibration Method for Hybrid Inertial Navigation System under Stationary Condition. Sensors 2018, 18, 1303. [Google Scholar] [CrossRef] [PubMed]
- Zha, F.; Chang, L.; He, H. Comprehensive Error Compensation for Dual-Axis Rotational Inertial Navigation System. IEEE Sens. J. 2020, 20, 3788–3802. [Google Scholar] [CrossRef]
- Zheng, J.; Gao, L.; Ma, Q.; Yang, S. Research on Self-compensation Technology of Strapdown Inertial Navigation System. In Proceedings of the 2019 Chinese Intelligent Systems Conference; Jia, Y., Du, J., Zhang, W., Eds.; Springer: Singapore, 2020; pp. 689–694. [Google Scholar] [CrossRef]
- Liu, Z.; Wang, L.; Li, K.; Gao, J. A compensation method of lever arm effect for tri-axis hybrid inertial navigation system based on fiber optic gyro. Meas. Sci. Technol. 2017, 28, 055103. [Google Scholar] [CrossRef]
- Li, J.; Zhang, S.; Yang, H.; Jiang, Z.; Bai, X. Fast alignment and calibration of rotational inertial system based on bilinear embedding. IEEE Sens. J. 2024, 24, 10700–10713. [Google Scholar] [CrossRef]
- Wu, M.; Wu, Y.; Hu, X.; Hu, D. Optimization-based alignment for inertial navigation systems: Theory and algorithm. Aerosp. Sci. Technol. 2011, 15, 1–17. [Google Scholar] [CrossRef]
- Bai, S.; Lai, J.; Lyu, P.; Xu, X.; Liu, M.; Huang, K. A System-Level Self-Calibration Method for Installation Errors in a Dual-Axis Rotational Inertial Navigation System. Sensors 2019, 19, 4005. [Google Scholar] [CrossRef] [PubMed]
- Zhu, T.; Wang, L.; Zou, T.; Peng, G. A Dual-Axis Rotation Scheme for Redundant Rotational Inertial Navigation System. Micromachines 2023, 14, 351. [Google Scholar] [CrossRef]
- Li, Q.; Li, K.; Liang, W. A Dual-Axis Rotation Scheme for Long-Endurance Inertial Navigation Systems. IEEE Trans. Instrum. Meas. 2022, 71, 8503510. [Google Scholar] [CrossRef]
- Wei, Q.; Zha, F.; Chang, L. Novel rotation scheme for dual-axis rotational inertial navigation system based on body diagonal rotation of inertial measurement unit. Meas. Sci. Technol. 2022, 33, 095105. [Google Scholar] [CrossRef]
- Xiaokai, W. Research on Key Technologies of Projectile-Borne Semi Strapdown Inertial-Based Integrated Navigation System. Ph.D. Thesis, North University of China, Taiyuan, China, 2023. (In Chinese). [Google Scholar] [CrossRef]
- Zhang, J.; Li, J.; Zhang, X.; Che, X.; Huang, Y.; Feng, K. Analysis and Compensation of Modulation Angular Rate Error Based on Missile-Borne Rotation Semi-Strapdown Inertial Navigation System. Sensors 2018, 18, 1430. [Google Scholar] [CrossRef]
- Jing, Z.; Zheng, T.; Li, J.; Feng, K. Optimized Design of an Anti-Rotation and Anti-Overload Structure Based on Missile-Borne Semi-Strap-Down Inertial Navigation System. IEEE Access 2019, 7, 179646–179657. [Google Scholar] [CrossRef]
- Jing, Z.; Li, J.; Zhang, X.; Feng, K.; Zheng, T. A Novel Rotation Scheme for MEMS IMU Error Mitigation Based on a Missile-Borne Rotation Semi-Strapdown Inertial Navigation System. Sensors 2019, 19, 1683. [Google Scholar] [CrossRef]
- Jiao, Z.; Wei, Z.; Gao, R. A new generation inertial navigation system for strategic missile. Navig. Control 2021, 20, 1–8. (In Chinese) [Google Scholar] [CrossRef]
- Tang, J.; Zhan, S.; Wei, C.; He, C.; Qu, X.; Jian, K. Restrain Technology of Heading-coupling Effect of Three- autonomy FOG INS Based on Planned Track. Navig. Position. Timing 2020, 7, 46–53. (In Chinese) [Google Scholar] [CrossRef]
- Du, W. Dynamic Modeling and Ascent Flight Control of Ares—I Crew Launch Vehicle. Ph.D. Thesis, Iowa State University, Ames, IA, USA, 2010. [Google Scholar] [CrossRef]
- Zhou, X.; Wang, Z.; Li, D.; Zhou, H.; Qin, Y.; Wang, J. Guidance Systematic Error Separation for Mobile Launch Vehicles Using Artificial Fish Swarm Algorithm. IEEE Access 2019, 7, 31422–31434. [Google Scholar] [CrossRef]
- SpaceX. Falcon 9 Launch Vehicle Payload User’s Guide; SpaceX: Hawthorne, CA, USA, 2021. [Google Scholar]
- Boris, B.; Zavoli, A.; Colasurdo, G.; Pizzurro, S. Convex Approach to Three-Dimensional Launch Vehicle Ascent Trajectory Optimization. J. Guid. Control Dyn. 2021, 44, 1116–1131. [Google Scholar] [CrossRef]














| Parameters | First Stage | Second Stage |
|---|---|---|
| Mean thrust | 8227 kN | 934 kN |
| Structural weight | 22,200 kg | 4000 kg |
| Fuel weight | 410,843 kg | 107,509 kg |
| Burning time | 162 s | 397 s |
| Specific impulse | 3244 m/s | 3449 m/s |
| Item | gyr | |
|---|---|---|
| bias | 3 × 10−4 g0 | 1 × 10−2 deg/h |
| scale | 5 ppm | 5 ppm |
| installation | ||
| asymmetry | 1 ppm | — |
| quadratic | 1 × 10−5 g0−1 | 1 × 10−5 s/deg |
| noise |
| Item | Mean Value | Standard Deviation |
|---|---|---|
| 0 | ||
| 0 | ||
| 0 |
| Item/Mode | Strap-Down | Plat | Mode-Switching |
|---|---|---|---|
| (m/s) | 0.591 (1.629) | −0.590 (1.660) | −0.353 (1.117) |
| (m/s) | −0.570 (1.344) | −0.046 (1.269) | −0.225 (1.158) |
| (m/s) | −0.289 (1.978) | −0.106 (1.460) | −0.246 (1.480) |
| x (m) | 112.190 (428.340) | −187.040 (514.320) | −161.580 (441.620) |
| y (m) | −193.450 (448.470) | −5.759 (375.280) | −28.355 (357.430) |
| z (m) | −96.980 (607.950) | −43.214 (455.480) | −58.635 (456.150) |
| a (m) | −782.330 (2452.200) | 923.370 (2590.600) | 685.870 (1976.500) |
| e (1 × ) | −0.031 (0.167) | −0.052 (0.215) | −0.065 (0.184) |
| (arcmin) | 0.039 (1.772) | −0.090 (1.366) | −0.116 (1.367) |
| i (arcmin) | −0.004 (0.184) | 0.003 (0.138) | 0.009 (0.139) |
| Item | Mean Value | Standard Deviation |
|---|---|---|
| 0 | ||
| 0 | ||
| 0 |
Disclaimer/Publisher’s Note: The statements, opinions and data contained in all publications are solely those of the individual author(s) and contributor(s) and not of MDPI and/or the editor(s). MDPI and/or the editor(s) disclaim responsibility for any injury to people or property resulting from any ideas, methods, instructions or products referred to in the content. |
© 2024 by the authors. Licensee MDPI, Basel, Switzerland. This article is an open access article distributed under the terms and conditions of the Creative Commons Attribution (CC BY) license (https://creativecommons.org/licenses/by/4.0/).
Share and Cite
Li, J.; Zhang, S.; Ma, Z. Improving the Orbit Injection Accuracy of a Launch Vehicle by Using a Mode-Switching Strategy for a Dual-Axis Rotational Inertial Navigation System. Sensors 2025, 25, 177. https://doi.org/10.3390/s25010177
Li J, Zhang S, Ma Z. Improving the Orbit Injection Accuracy of a Launch Vehicle by Using a Mode-Switching Strategy for a Dual-Axis Rotational Inertial Navigation System. Sensors. 2025; 25(1):177. https://doi.org/10.3390/s25010177
Chicago/Turabian StyleLi, Jun, Shifeng Zhang, and Zhenlin Ma. 2025. "Improving the Orbit Injection Accuracy of a Launch Vehicle by Using a Mode-Switching Strategy for a Dual-Axis Rotational Inertial Navigation System" Sensors 25, no. 1: 177. https://doi.org/10.3390/s25010177
APA StyleLi, J., Zhang, S., & Ma, Z. (2025). Improving the Orbit Injection Accuracy of a Launch Vehicle by Using a Mode-Switching Strategy for a Dual-Axis Rotational Inertial Navigation System. Sensors, 25(1), 177. https://doi.org/10.3390/s25010177

