Surface Electromyographic Responses During Rest on Mattresses with Different Firmness Levels in Adults with Normal BMI
Abstract
1. Introduction
2. Materials and Methods
2.1. Subjects
2.2. Instrument and Experiment Environment
2.3. Procedure
2.4. Measurements
2.5. Statistical Analysis
3. Results
3.1. Effect of Mattress Firmness on Pressure Distribution
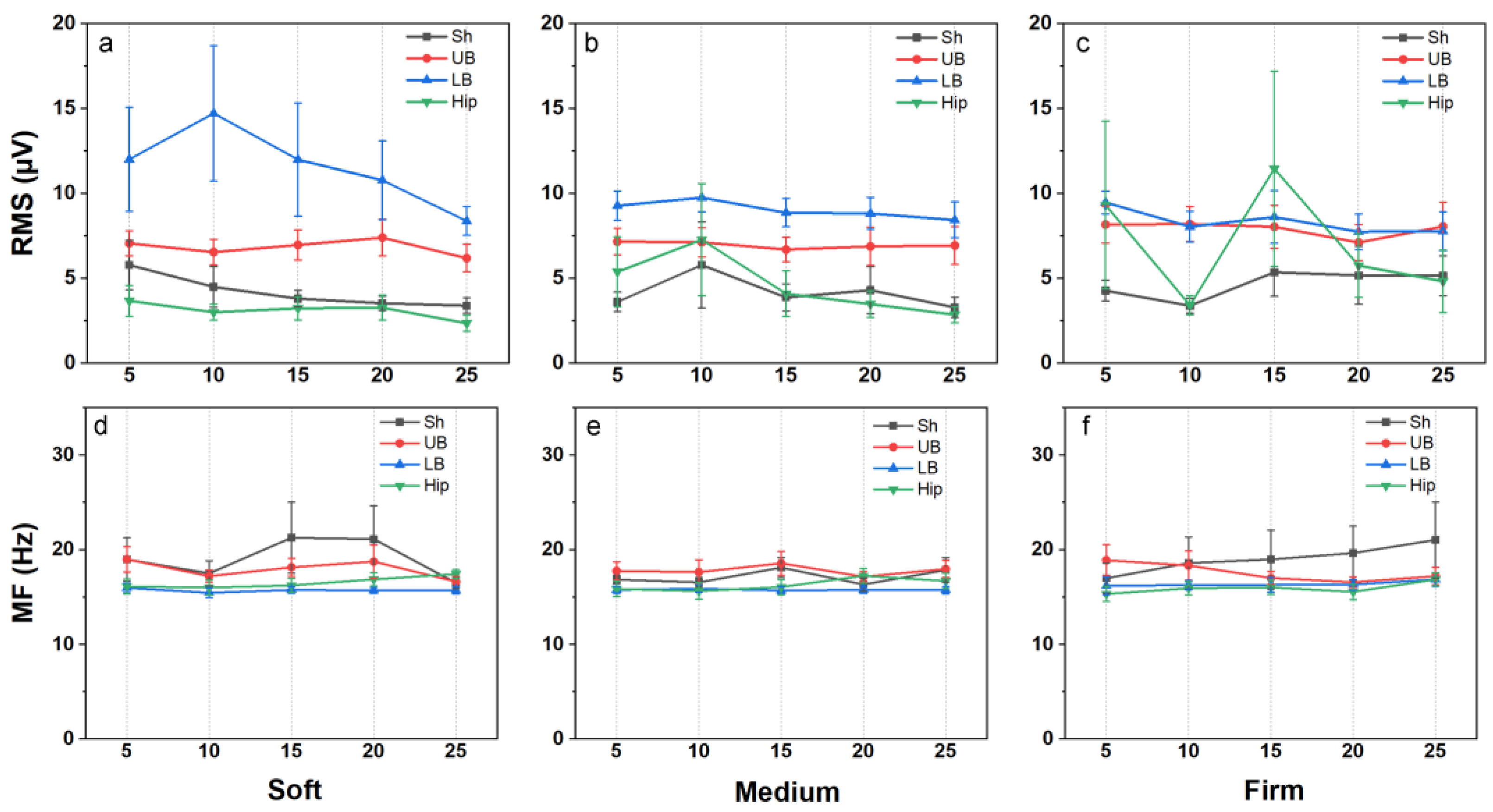
3.2. Effect of Mattress Firmness on Surface Electromyographic Changes over Time
3.3. Correlation Between Participant Body Parameters and sEMG Data
3.4. Electromyographic Comparison Study on Mattresses with Three Different Firmness Levels
3.5. Discomfort Ratings
4. Discussion
5. Conclusions
Author Contributions
Funding
Institutional Review Board Statement
Informed Consent Statement
Data Availability Statement
Acknowledgments
Conflicts of Interest
References
- Irwin, M. Effects of Sleep and Sleep Loss on Immunity and Cytokines. Brain Behav. Immun. 2002, 16, 503–512. [Google Scholar] [CrossRef] [PubMed]
- Krause, A.J.; Simon, E.B.; Mander, B.A.; Greer, S.M.; Saletin, J.M.; Goldstein-Piekarski, A.N.; Walker, M.P. The Sleep-Deprived Human Brain. Nat. Rev. Neurosci. 2017, 18, 404–418. [Google Scholar] [CrossRef] [PubMed]
- Björn, R.; Born, J. About Sleep’s Role in Memory. Physiol. Rev. 2013, 93, 681–766. [Google Scholar] [CrossRef]
- Feld, G.B.; Diekelmann, S. Building the Bridge: Outlining Steps Toward an Applied Sleep-and-Memory Research Program. Curr. Dir. Psychol. Sci. 2020, 29, 554–562. [Google Scholar] [CrossRef]
- Fernandez, L.M.; Lüthi, A. Sleep Spindles: Mechanisms and Functions. Physiol. Rev. 2020, 100, 805–868. [Google Scholar] [CrossRef] [PubMed]
- Goldstein, A.N.; Walker, M.P. The Role of Sleep in Emotional Brain Function. Annu. Rev. Clin. Psychol. 2014, 10, 679–708. [Google Scholar] [CrossRef]
- Rolls, A.; Makam, M.; Kroeger, D.; Colas, D.; De Lecea, L.; Heller, H.C. Sleep to Forget: Interference of Fear Memories during Sleep. Mol. Psychiatry 2013, 18, 1166–1170. [Google Scholar] [CrossRef]
- Cimmino, M.A.; Ferrone, C.; Cutolo, M. Epidemiology of Chronic Musculoskeletal Pain. Best Pract. Res. Clin. Rheumatol. 2011, 25, 173–183. [Google Scholar] [CrossRef]
- Mork, P.J.; Vik, K.L.; Moe, B.; Lier, R.; Bardal, E.M.; Nilsen, T.I.L. Sleep Problems, Exercise and Obesity and Risk of Chronic Musculoskeletal Pain: The Norwegian HUNT Study. Eur. J. Public Health 2014, 24, 924–929. [Google Scholar] [CrossRef] [PubMed]
- Jacobson, B.H.; Wallace, T.J.; Smith, D.B.; Kolb, T. Grouped Comparisons of Sleep Quality for New and Personal Bedding Systems. Appl. Ergon. 2008, 39, 247–254. [Google Scholar] [CrossRef]
- Jacobson, B.H.; Wallace, T.; Gemmell, H. Subjective Rating of Perceived Back Pain, Stiffness and Sleep Quality Following Introduction of Medium-Firm Bedding Systems. J. Chiropr. Med. 2006, 5, 128–134. [Google Scholar] [CrossRef] [PubMed]
- Denninger, M.; Martel, F.; Rancourt, D. A Single Step Process to Design a Custom Mattress That Relieves Trunk Shear Forces. Int. J. Mech. Mater. Des. 2011, 7, 1–16. [Google Scholar] [CrossRef]
- Bain, D.; Ferguson-Pell, M.; McLeod, A. Evaluation of Mattresses Using Interface Pressure Mapping. J. Wound Care 2003, 12, 231–235. [Google Scholar] [CrossRef] [PubMed]
- Low, F.Z.; Chua, M.C.H.; Lim, P.Y.; Yeow, C.H. Effects of Mattress Material on Body Pressure Profiles in Different Sleeping Postures. J. Chiropr. Med. 2017, 16, 1–9. [Google Scholar] [CrossRef] [PubMed]
- Sewell, J.L.; Ong, E.; Wang, Y.; Monira Hussain, S.; Cicuttini, F. What Is an “optimal” Spinal Position during Sleep? A Systematic Review. Osteoarthr. Cartil. 2019, 27, S459. [Google Scholar] [CrossRef]
- Vitale, J.A.; Borghi, S.; Bassani, T.; Messina, C.; Sconfienza, L.M.; Galbusera, F. Effect of a Mattress on Lumbar Spine Alignment in Supine Position in Healthy Subjects: An MRI Study. Eur. Radiol. Exp. 2023, 7, 47. [Google Scholar] [CrossRef] [PubMed]
- Leilnahari, K.; Fatouraee, N.; Khodalotfi, M.; Sadeghein, M.A.; Amin Kashani, Y. Spine Alignment in Men during Lateral Sleep Position: Experimental Study and Modeling. Biomed. Eng. OnLine 2011, 10, 103. [Google Scholar] [CrossRef]
- Vink, P.; Hallbeck, S. Editorial: Comfort and Discomfort Studies Demonstrate the Need for a New Model. Appl. Ergon. 2012, 43, 271–276. [Google Scholar] [CrossRef]
- Naddeo, A.; Cappetti, N.; Vallone, M.; Califano, R. Proposal for a New Quantitative Method for Upper Limb Postural Comfort Evaluation. Int. J. Ind. Ergon. 2015, 48, 25–35. [Google Scholar] [CrossRef]
- Helander, M.G.; Zhang, L. Field Studies of Comfort and Discomfort in Sitting. Ergonomics 1997, 40, 895–915. [Google Scholar] [CrossRef] [PubMed]
- Jacobson, B.H.; Gemmell, H.A.; Hayes, B.M.; Altena, T.S. Effectiveness of a Selected Bedding System on Quality of Sleep, Low Back Pain, Shoulder Pain, and Spine Stiffness. J. Manip. Physiol. Ther. 2002, 25, 88–92. [Google Scholar] [CrossRef]
- Minetto, M.A.; Gamerro, G.; Gays, G.; Vigo, S.; Caresio, C.; Gorji, N.E.; Massazza, G. Effectiveness of an Innovative Mattress Overlay for Improving Rehabilitation in Low Back Pain: A Pilot Randomized Controlled Study. J. Back Musculoskelet. Rehabil. 2018, 31, 1075–1083. [Google Scholar] [CrossRef] [PubMed]
- Wong, D.W.C.; Wang, Y.; Lin, J.; Tan, Q.; Chen, T.L.W.; Zhang, M. Sleeping Mattress Determinants and Evaluation: A Biomechanical Review and Critique. PeerJ 2019, 7, e6364. [Google Scholar] [CrossRef] [PubMed]
- Caggiari, G.; Talesa, G.R.; Toro, G.; Jannelli, E.; Monteleone, G.; Puddu, L. What Type of Mattress Should Be Chosen to Avoid Back Pain and Improve Sleep Quality? Review of the Literature. J. Orthop. Traumatol. 2021, 22, 51. [Google Scholar] [CrossRef]
- Esquirol Caussa, J.; Palmero Cantariño, C.; Bayo Tallón, V.; Cos Morera, M.À.; Escalera, S.; Sánchez, D.; Sánchez Padilla, M.; Serrano Domínguez, N.; Relats Vilageliu, M. Automatic RBG-Depth-Pressure Anthropometric Analysis and Individualised Sleep Solution Prescription. J. Med. Eng. Technol. 2017, 41, 486–497. [Google Scholar] [CrossRef] [PubMed]
- Lee, Y.-C.; Lee, C.-Y.; Wang, M.-J. Better Combination of Thickness and Hardness of Mattress Topper for Supine Sleeping Posture: A Physiological Measurements Evaluation. Int. J. Ind. Ergon. 2020, 78, 102979. [Google Scholar] [CrossRef]
- Bridges, E.J.; Schmelz, J.O.; Mazer, S. Skin Interface Pressure on the NATO Litter. Mil. Med. 2003, 168, 280–286. [Google Scholar] [CrossRef] [PubMed][Green Version]
- Ren, L.; Shi, Y.; Xu, R.; Wang, C.; Guo, Y.; Yue, H.; Ni, Z.; Sha, X.; Chen, Y. Effect of Mattress Bedding Layer Structure on Pressure Relief Performance and Subjective Lying Comfort. J. Tissue Viability 2023, 32, 9–19. [Google Scholar] [CrossRef] [PubMed]
- Moysidis, T.; Niebel, W.; Bartsch, K.; Maier, I.; Lehmann, N.; Nonnemacher, M.; Kroeger, K. Prevention of Pressure Ulcer: Interaction of Body Characteristics and Different Mattresses. Int. Wound J. 2011, 8, 578–584. [Google Scholar] [CrossRef]
- DeVocht, J.W.; Wilder, D.G.; Bandstra, E.R.; Spratt, K.F. Biomechanical Evaluation of Four Different Mattresses. Appl. Ergon. 2006, 37, 297–304. [Google Scholar] [CrossRef]
- Zhong, S.; Shen, L.; Zhou, L.; Guan, Z. Predict Human Body Indentation Lying on a Spring Mattress Using a Neural Network Approach. Proc. Inst. Mech. Eng. Part H 2014, 228, 787–799. [Google Scholar] [CrossRef] [PubMed]
- Vaughn McCall, W.; Boggs, N.; Letton, A. Changes in Sleep and Wake in Response to Different Sleeping Surfaces: A Pilot Study. Appl. Ergon. 2012, 43, 386–391. [Google Scholar] [CrossRef]
- Bader, G.G.; Engdal, S. The Influence of Bed Firmness on Sleep Quality. Appl. Ergon. 2000, 31, 487–497. [Google Scholar] [CrossRef]
- Lahm, R.; Iaizzo, P.A. Physiologic Responses during Rest on a Sleep System at Varied Degrees of Firmness in a Normal Population. Ergonomics 2002, 45, 798–815. [Google Scholar] [CrossRef]
- Sammonds, G.M.; Mansfield, N.J.; Fray, M. Improving Long Term Driving Comfort by Taking Breaks—How Break Activity Affects Effectiveness. Appl. Ergon. 2017, 65, 81–89. [Google Scholar] [CrossRef] [PubMed]
- SENIAM Surface Electromyography for the Non-Invasive Assessment of Muscles. Available online: http://www.seniam.org/ (accessed on 21 November 2024).
- Christensen, H.; Søgaard, K.; Jensen, B.R.; Finsen, L.; Sjøgaard, G. Intramuscular and Surface EMG Power Spectrum from Dynamic and Static Contractions. J. Electromyogr. Kinesiol. 1995, 5, 27–36. [Google Scholar] [CrossRef] [PubMed]
- De Luca, C.J. The Use of Surface Electromyography in Biomechanics. J. Appl. Biomech. 1997, 13, 135–163. [Google Scholar] [CrossRef]
- Borg, G.A.V. Psychophysical Bases of Perceived Exertion. Med. Sci. Sports Exerc. 1982, 14, 377–381. [Google Scholar] [CrossRef]
- Hermens, H.J.; Freriks, B.; Disselhorst-Klug, C.; Rau, G. Development of Recommendations for SEMG Sensors and Sensor Placement Procedures. J. Electromyogr. Kinesiol. 2000, 10, 361–374. [Google Scholar] [CrossRef] [PubMed]
- Yu, N.; Yu, C.; Li, H.; Li, M. Effects of Mattress Firmness on Infant Body Pressure Distribution. Int. J. Ind. Ergon. 2021, 83, 103101. [Google Scholar] [CrossRef]
- López-Torres, M.; Porcar, R.; Solaz, J.; Romero, T. Objective Firmness, Average Pressure and Subjective Perception in Mattresses for the Elderly. Appl. Ergon. 2008, 39, 123–130. [Google Scholar] [CrossRef]
- Cheng, H.-I.; Kim, Y.-H. Ergonomic Assessment of Four Different Mattresses. ICIC Express Lett. Part B Appl. Int. J. Res. Surv. 2019, 10, 743–748. [Google Scholar]
- Ankrum, D.R. Questions to Ask When Interpreting Surface Electromyography (SEMG) Research. Proc. Hum. Factors Ergon. Soc. Annu. Meet. 2000, 44, 5-530–5-533. [Google Scholar] [CrossRef]
- Kovacs, F.M.; Abraira, V.; Peña, A.; Martín-Rodríguez, J.G.; Sánchez-Vera, M.; Ferrer, E.; Ruano, D.; Guillén, P.; Gestoso, M.; Muriel, A.; et al. Effect of Firmness of Mattress on Chronic Non-Specific Low-Back Pain: Randomised, Double-Blind, Controlled, Multicentre Trial. Lancet 2003, 362, 1599–1604. [Google Scholar] [CrossRef] [PubMed]
- Radwan, A.; Fess, P.; James, D.; Murphy, J.; Myers, J.; Rooney, M.; Taylor, J.; Torii, A. Effect of Different Mattress Designs on Promoting Sleep Quality, Pain Reduction, and Spinal Alignment in Adults with or without Back Pain; Systematic Review of Controlled Trials. Sleep Health 2015, 1, 257–267. [Google Scholar] [CrossRef] [PubMed]
- Busetto, L.; Dicker, D.; Frühbeck, G.; Halford, J.C.G.; Sbraccia, P.; Yumuk, V.; Goossens, G.H. A New Framework for the Diagnosis, Staging and Management of Obesity in Adults. Nat. Med. 2024, 30, 2395–2399. [Google Scholar] [CrossRef] [PubMed]
- Gibson, S.; Ashwell, M. A Simple Cut-off for Waist-to-Height Ratio (0·5) Can Act as an Indicator for Cardiometabolic Risk: Recent Data from Adults in the Health Survey for England. Br. J. Nutr. 2020, 123, 681–690. [Google Scholar] [CrossRef]
- Shi, X.; Zhang, F. Analysis of the Hanging Actions and Operating Heights of Storage Furniture Suitable for the Elderly. Sensors 2023, 23, 3850. [Google Scholar] [CrossRef]
- Cheng, S.; Wu, L.; Zhang, S.; Zhang, D.; Liu, F.; Wang, H.; Xie, P. A Model for Lumbar EMG Signal Recognition Based on Stacking Integration Learning. IEEE Sens. J. 2023, 23, 3766–3775. [Google Scholar] [CrossRef]
- Sun, J.; Liu, G.; Sun, Y.; Lin, K.; Zhou, Z.; Cai, J. Application of Surface Electromyography in Exercise Fatigue: A Review. Front. Syst. Neurosci. 2022, 16, 893275. [Google Scholar] [CrossRef] [PubMed]
- Shore, H.; Richards, J.; Chohan, A. Determining the Ideal Mattress Firmness Based on Anthropometric Measurements. Sleep Med. 2019, 64, S350. [Google Scholar] [CrossRef]





| Title 1 | Age (Years) | Height (m) | Mass (Kg) | BMI |
|---|---|---|---|---|
| Mean | 23.09 | 1.72 | 63.64 | 21.41 |
| Std. Deviation | 1.86 | 0.81 | 7.15 | 1.42 |
| Minimum | 20.00 | 1.60 | 50.00 | 19.05 |
| Maximum | 26.00 | 1.86 | 75.00 | 24.22 |
| Soft | Medium | Firm | F | p | Partial η2 | |
|---|---|---|---|---|---|---|
| PP | 59.36 ± 5.36 a | 47.60 ± 1.97 a | 134.48 ± 9.87 b | 186.18 | <0.001 | 0.949 |
| AP | 11.56 ± 0.81 a | 15.08 ± 0.43 b | 33.03 ± 1.64 c | 67.42 | <0.001 | 0.871 |
| CA | 2450.45 ± 75.69 a | 1958.34 ± 61.23 b | 1059.80 ± 44.40 c | 331.82 | <0.001 | 0.971 |
| Soft | Medium | Firm | F | p | Partial η2 | |
|---|---|---|---|---|---|---|
| Shoulder | 1.72 ± 0.60 | 0.91 ± 0.25 | 1.54 ± 0.43 | 1.09 | 0.356 | 0.098 |
| UB | 1.46 ± 0.67 | 1.27 ± 0.20 | 1.91 ± 0.71 | 0.50 | 0.616 | 0.096 |
| LB | 3.00 ± 0.81 | 0.91 ± 0.25 a | 3.36 ± 0.62 b | 5.84 | 0.010 | 0.369 |
| Buttock | 2.46 ± 0.81 | 0.91 ± 0.29 | 2.82 ± 0.67 | 3.53 | 0.049 | 0.261 |
Disclaimer/Publisher’s Note: The statements, opinions and data contained in all publications are solely those of the individual author(s) and contributor(s) and not of MDPI and/or the editor(s). MDPI and/or the editor(s) disclaim responsibility for any injury to people or property resulting from any ideas, methods, instructions or products referred to in the content. |
© 2024 by the authors. Licensee MDPI, Basel, Switzerland. This article is an open access article distributed under the terms and conditions of the Creative Commons Attribution (CC BY) license (https://creativecommons.org/licenses/by/4.0/).
Share and Cite
Hu, X.; Gao, Y.; Liu, K.; Xiang, L.; Luo, B.; Li, L. Surface Electromyographic Responses During Rest on Mattresses with Different Firmness Levels in Adults with Normal BMI. Sensors 2025, 25, 14. https://doi.org/10.3390/s25010014
Hu X, Gao Y, Liu K, Xiang L, Luo B, Li L. Surface Electromyographic Responses During Rest on Mattresses with Different Firmness Levels in Adults with Normal BMI. Sensors. 2025; 25(1):14. https://doi.org/10.3390/s25010014
Chicago/Turabian StyleHu, Xiaohong, Yuhong Gao, Keyang Liu, Luyao Xiang, Bin Luo, and Li Li. 2025. "Surface Electromyographic Responses During Rest on Mattresses with Different Firmness Levels in Adults with Normal BMI" Sensors 25, no. 1: 14. https://doi.org/10.3390/s25010014
APA StyleHu, X., Gao, Y., Liu, K., Xiang, L., Luo, B., & Li, L. (2025). Surface Electromyographic Responses During Rest on Mattresses with Different Firmness Levels in Adults with Normal BMI. Sensors, 25(1), 14. https://doi.org/10.3390/s25010014
