Research on a Calculation Model of Ankle-Joint-Torque-Based sEMG
Abstract
1. Introduction
- Analyze the data acquisition requirements and acquisition scheme, design the data acquisition circuit and fabricate the acquisition circuit board, and combine the software and hardware to form the robot data acquisition system.
- Based on the Hill model, the ankle joint movement calculation model is established, the experimental scheme is designed, the experimental data are collected, and the model parameters are optimized by using a genetic algorithm.
2. Materials and Methods
2.1. Calculation Model of Ankle Joint Movement
2.1.1. Muscle Activation Modeling
2.1.2. Neuromusculoskeletal Geometric Modeling
- (1)
- Relationship between muscle force and muscle fiber length
- (2)
- Relationship between muscle force and rate of muscle contraction
- (3)
- Tendon models
- (4)
- Pinnae and muscle tendon lengths
- (5)
- Muscles seek to solve
- (6)
- Solving for joint movements
2.1.3. Parametric Analysis
2.1.4. Parameter Optimization
2.2. Experimental Program
2.2.1. Lab Bench Design
- (1)
- Structural design
- (2)
- Signal Acquisition System Design
2.2.2. Implementation Program
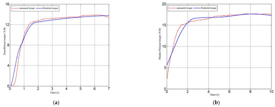
3. Results
4. Discussion
5. Conclusions
- Physiological parameters that have a greater effect on muscle force were identified;
- A model for calculating ankle joint movements based on surface muscle electrical signals was developed.
Author Contributions
Funding
Institutional Review Board Statement
Informed Consent Statement
Data Availability Statement
Acknowledgments
Conflicts of Interest
References
- Au, S.K.; Weber, J.; Herr, H. Powered Ankle–Foot Prosthesis Improves Walking Metabolic Economy. IEEE Trans. Robot. 2009, 25, 51–66. [Google Scholar] [CrossRef]
- Jin, Z. Design and Analysis of the Spatial Four-DegreE-of-Freedom Lower Limb Rehabilitation Robot. Master’s Thesis, Yanshan University, Qinhuangdao, China, 2019. [Google Scholar] [CrossRef]
- Luo, J.; Zheng, B.; Xie, H.D. Effects of Kinesio Taping on Biomechanics Characteristics of Ankle Joint: Theoretical Research and Application Advances. CJTER 2017, 21, 4570–4576. [Google Scholar] [CrossRef]
- Zoss, A.B.; Kazerooni, H.; Chu, A. Biomechanical Design of the Berkeley Lower Extremity Exoskeleton (BLEEX). IEEE/ASME Trans. Mechatron. 2006, 11, 128–138. [Google Scholar] [CrossRef]
- Chang, T.B.; Wang, K.; Huang, S.J.; Wang, L.; Zhang, S.; Niu, W.; Zhang, M. Biomechanical analysis of ankle-foot complex during a typical Tai Chi movement−Brush Knee and Twist Step. J. Biomed. Eng. 2021, 38, 97–104. [Google Scholar] [CrossRef] [PubMed]
- Shao, Q.; Bassett, D.N.; Manal, K. An EMG-driven model to estimate muscle forces and joint moments in stroke patients. Comput. Biol. Med. 2009, 39, 1083–1088. [Google Scholar] [CrossRef]
- Son, J.; Kim, S.; Ahn, S.; Ryu, J.; Hwang, S.; Kim, Y. Determination of the dynamic knee joint range of motion during leg extension exercise using an EMG-driven model. Int. J. Precis. Eng. Manuf. 2012, 13, 117–123. [Google Scholar] [CrossRef]
- Chen, J.C.; Zhang, X.D.; Li, R.; Shi, Q.Y.; Wang, H. Prediction Model for Dynamic Joint Torque of Lower Limb with Surface EMG. J. Xi’an Jiaotong Univ. 2015, 49, 26–33. [Google Scholar] [CrossRef]
- Wang, W.; Ding, J.Q.; Wang, Y.; Liu, Y.; Zhang, J.; Liu, J. Effects of ankle exoskeleton assistance during human walking on lower limb muscle contractions and coordination patterns. J. Biomed. Eng. 2022, 39, 75–83+91. [Google Scholar] [CrossRef] [PubMed]
- Yuan, Y.Y.; Cao, D.G.; Li, C.; Liu, C. Feature Fusion of Electrocardiogram and Surface Electromyography for Estimating the Fatigue States During Lower Limb Rehabilitation. J. Biomed. Eng. 2020, 37, 1056–1064. [Google Scholar] [CrossRef]
- Chen, L.L.; Yang, P.; Geng, Y.L.; Liu, Z.J. Torque Recognition of Knee Joint Based on Electromyography; Control Science and Engineering College of Hebei University of Technology, Hebei Provincial Control Engineering Technology Research Center: Shijiazhuang, China, 2013. [Google Scholar]
- Liu, L.; Yang, P.; Liu, Z.J. Lower Limb Locomotion Modes Recognition Based on Multiple-Source Information and General Regression Neural Network. Robot 2015, 37, 310–317. [Google Scholar] [CrossRef]
- Xiong, B.P.; Shi, W.X.; Lin, Y.; Huang, M.L.; Du, M. Human Joint Moment Prediction Based on Artificial Neural Network. Beijing Biomed. Eng. 2021, 40, 11–23. [Google Scholar] [CrossRef]
- Buchanan, T.S.; Lloyd, D.G.; Manal, K.; Besier, T.F. Neuromusculoskeletal modeling: Estimation of muscle forces and joint moments and movements from measurements of neural command. J. Appl. Biomech. 2004, 20, 367–395. [Google Scholar] [CrossRef] [PubMed]
- Zajac, F.E. Muscle and tendon: Properties, models, scaling, and application to biomechanics and motor control. Crit. Rev. Biomed. Eng. 1989, 17, 359–411. [Google Scholar] [CrossRef]
- Corcos, D.M.; Gottlieb, G.L.; Latash, M.L.; Almeida, G.L.; Agarwal, G.C. Electromechanical delay: An experimental artifact. J. Electromyogr. Kinesiol. 1992, 2, 59–68. [Google Scholar] [CrossRef] [PubMed]
- Manal, K. A Real-Time Control of an EMG-Driven Virtual Arm. Med. Sci. Sports Exerc. 2004, 36, S1. [Google Scholar] [CrossRef] [PubMed]
- Walker, S.M.; Schrodt, G.R. I segment lengths and thin filament periods in skeletal muscle fibers of the rhesus monkey and the human. Anat. Rec. 1974, 178, 63–81. [Google Scholar] [CrossRef] [PubMed]
- Han, J.; Ding, Q.; Xiong, A.; Zhao, X. A State-Space EMG Model for the Estimation of Continuous Joint Movements. IEEE Trans. Ind. Electron. 2015, 62, 4267–4275. [Google Scholar] [CrossRef]
- Schutte, L.M.; Rodgers, M.M.; Zajac, F.E.; Glaser, R. Improving the efficacy of electrical stimulation-induced leg cycle ergometry: An analysis based on a dynamic musculoskeletal model. IEEE Trans. Rehabil. Eng. 1993, 1, 109–125. [Google Scholar] [CrossRef]
- Hill, A.V. The heat of shortening and the dynamic constants of muscle. Proc. R. Soc. 1938, 126, 136–195. [Google Scholar] [CrossRef]
- Jiang, F.; Yin, X.; Yi, C.; Yang, C. A Review of the Research and Application of Calculating Joint Torque by Electromyography Signals. CAAI Trans. Intell. Syst. 2020, 15, 193–203. [Google Scholar]
- Kawakami, Y.; Ichinose, Y.; Fukunaga, T. Architectural and functional features of human triceps surae muscles during contraction. J. Appl. Physiol. 1998, 85, 398–404. [Google Scholar] [CrossRef] [PubMed]
- Scott, S.H.; Winter, D.A. A comparison of three muscle pennation assumptions and their effect on isometric and isotonic force. J. Biomech. 1991, 24, 163–167. [Google Scholar] [CrossRef] [PubMed]
- Lloyd, D.G.; Besier, T.F. An EMG-driven musculoskeletal model to estimate muscle forces and knee joint moments in vivo. J. Biomech. 2003, 36, 765–776. [Google Scholar] [CrossRef] [PubMed]
- Menegaldo, L.L.; Fleury, A.d.T.; Weber, H.I. Moment arms and musculotendon lengths estimation for a three-dimensional lower-limb model. J. Biomech. 2004, 37, 1447–1453. [Google Scholar] [CrossRef] [PubMed]
- Sartori, M.; Reggiani, M.; van den Bogert, A.J.; Lloyd, D.G. Estimation of musculotendon kinematics in large musculoskeletal models using multidimensional B-splines. J. Biomech. 2012, 45, 595. [Google Scholar] [CrossRef] [PubMed]
- Delp, S.L. Surgery Simulation: A Computer Graphics System to Analyze and Design Musculoskeletal Reconstructions of the Lower Limb; Stanford University: Stanford, CA, USA, 1990. [Google Scholar]
- Yamaguchi, G.T.; Sawa, A.; Moran, D.W.; Fessler, M.J.; Winters, J.M. A survey of human musculotendon actuator parameters. Multiple Muscle Systems 1990. [Google Scholar]
- Gu, D.M.; Miao, J.C. Drawings by Ding, Y.S. Atlas of Exercise Anatomy; People’s Sports Publishing House of China: Shijiangzhuang, China, 1986. [Google Scholar]
- Hou, X.L.; Xu, M.J.; Li, Q. Research on Surface EMG Signal Collection and Anti-interference Technology. Tech. Market. 2019, 26, 65–66. [Google Scholar]
- Hermens, H.J.; Freriks, B.; Disselhorst-Klug, C.; Rau, G. Development of recommendations for SEMG sensors and sensor placement procedures. J. Electromyogr. Kinesiol. 2000, 10, 361–374. [Google Scholar] [CrossRef]















| Parameters | Tibialis Anterior Muscle (Anatomy) | Flounder Muscle | Medial Head of Gastrocnemius | Lateral Head of the Gastrocnemius Muscle | Range of Values |
|---|---|---|---|---|---|
| Maximum muscle force | 1270 | 2830 | 1115 | 490 | ±50% |
| Optimal muscle fiber length | 0.031 | 0.030 | 0.045 | 0.064 | ±50% |
| Tendon relaxation length | 0.31 | 0.268 | 0.408 | 0.385 | ±15% |
| Feather angle at optimal muscle fiber length | 12 | 25 | 17 | 8 | ±50% |
| Parameters | Minimum Value | Regular Value | Maximum Values |
|---|---|---|---|
| Supply Voltage (Vs) | ±3 V | ±5 V | ±18 V |
| Gain (207 × (x/1 kΩ)) | 0.01 Ω (0.002×) | 50 kΩ (10,350×) | 100 kΩ (20,700×) |
| output voltage | 0 V | -- | +Vs |
| Differential Input Voltage | 0 mV | 2–5 mV | +Vs/Gain |
| Parameters | Tibialis Anterior Muscle | Flounder Muscle | Medial Head of Gastrocnemius | Lateral Head of the Gastrocnemius Muscle |
|---|---|---|---|---|
| 1247.985 | 4070.933 | 1422.002 | 632.503 | |
| 0.027 | 0.032 | 0.050 | 0.059 | |
| 0.314 | 0.309 | 0.326 | 0.422 | |
| 12.010 | 25.702 | 14.302 | 7.307 |
Disclaimer/Publisher’s Note: The statements, opinions and data contained in all publications are solely those of the individual author(s) and contributor(s) and not of MDPI and/or the editor(s). MDPI and/or the editor(s) disclaim responsibility for any injury to people or property resulting from any ideas, methods, instructions or products referred to in the content. |
© 2024 by the authors. Licensee MDPI, Basel, Switzerland. This article is an open access article distributed under the terms and conditions of the Creative Commons Attribution (CC BY) license (https://creativecommons.org/licenses/by/4.0/).
Share and Cite
Qiu, X.; Zhao, H.; Xu, P.; Li, J. Research on a Calculation Model of Ankle-Joint-Torque-Based sEMG. Sensors 2024, 24, 2906. https://doi.org/10.3390/s24092906
Qiu X, Zhao H, Xu P, Li J. Research on a Calculation Model of Ankle-Joint-Torque-Based sEMG. Sensors. 2024; 24(9):2906. https://doi.org/10.3390/s24092906
Chicago/Turabian StyleQiu, Xu, Haiming Zhao, Peng Xu, and Jie Li. 2024. "Research on a Calculation Model of Ankle-Joint-Torque-Based sEMG" Sensors 24, no. 9: 2906. https://doi.org/10.3390/s24092906
APA StyleQiu, X., Zhao, H., Xu, P., & Li, J. (2024). Research on a Calculation Model of Ankle-Joint-Torque-Based sEMG. Sensors, 24(9), 2906. https://doi.org/10.3390/s24092906
